Next Article in Journal
First-Principles Study on the Mechanical Properties of Gd-Doped BCZT Ceramics
Next Article in Special Issue
D,L-Citrullinato-bipyridine Copper Complex: Experimental and Theoretical Characterization
Previous Article in Journal
Glassy Properties of the Lead-Free Isovalent Relaxor BaZr0.4Ti0.6O3
Previous Article in Special Issue
Synthesis and Spectroscopic Characterizations of Some Essential Metal Ion (MgII, CaII, ZnII, and FeIII) Pipemidic Acid Chemotherapeutic Agent Complexes
 
 
Font Type:
Arial Georgia Verdana
Font Size:
Aa Aa Aa
Line Spacing:
Column Width:
Background:
Review

Imidazol(in)ium-2-Thiocarboxylate Zwitterion Ligands: Structural Aspects in Coordination Complexes

by
David Elorriaga
1,*,
Blanca Parra-Cadenas
2,
Paula Pérez-Ramos
1,
Raquel G. Soengas
1,
Fernando Carrillo-Hermosilla
2,* and
Humberto Rodríguez-Solla
1
1
Departamento de Química Orgánica e Inorgánica, Universidad de Oviedo, Julián Clavería 7, 33006 Oviedo, Spain
2
Departamento de Química Inorgánica, Orgánica y Bioquímica—Centro de Innovación en Química vanzada (ORFEO-CINQA), Facultad de Ciencias y Tecnologías Químicas, Universidad de Castilla-La Mancha, 13071 Ciudad Real, Spain
*
Authors to whom correspondence should be addressed.
Crystals 2023, 13(9), 1304; https://doi.org/10.3390/cryst13091304
Submission received: 14 August 2023 / Revised: 23 August 2023 / Accepted: 24 August 2023 / Published: 26 August 2023

Abstract

:
Azolium-2-thiocarboxylate zwitterion ligands have emerged as a promising class of compounds in the field of coordination chemistry due to their unique structural features and versatile applications. These ligands are characterized by a positively charged azolium ring and a negatively charged thiocarboxylate moiety, making them capable of forming stable coordination complexes with various metal ions. One of the key structural aspects that make these ligands attractive for coordination chemistry is their ability to adopt diverse coordination modes with metal centers. The nature of these ligands enables them to engage in both monodentate and bidentate coordination, resulting in the formation of chelated complexes with enhanced stability and controlled geometry or the formation of polynuclear structures. This versatility in coordination behavior allows for the design of tailored ligands with specific metal-binding preferences, enabling the creation of unique and finely tuned coordination architectures. The azolium-2-thiocarboxylate zwitterionic ligands offer a promising platform for the design of coordination complexes with diverse structural architectures.

1. Introduction

Since the first N-heterocyclic carbene (NHCs) was isolated and characterized in 1991 by Arduengo [1], it becomes one of the most recurrent ligands in organometallics chemistry, transforming the coordination chemistry and reactivity of main group and transition metal complexes [2,3]. The attractiveness of these ligands is due to the easy tuneability of their electronic and steric proprieties. Although NHCs are well known, their zwitterionic dithiocarboxylate derivates are not that popular. The first report of the synthesis of theses betaines is dated from 1965 by Winberg and Coffman [4]. Since then not many advances have been obtained. Until the last decade, the chemistry of these zwitterionic compounds remained almost unexplored. However, due to their potential as ligands, they have evoked increased interest. The versatility of these ligands is based on the different coordination modes they can adopt. These derivatives have been reported as ligands that coordinate as monodentate, bidentate, and bidentate bridges to one or several metal centers (Figure 1).
This work reviews the reported structures of the complexes bearing these ligands in the three coordination modes mentioned above and the most peculiar characteristic found for each of them.

2. Monodentate κ1-S

There are only eight examples that will be discussed in this section: five of them are gold complexes [5,6], and the other three correspond to zinc, cadmium, and mercury complexes (Figure 2) [7,8].

2.1. Gold

Gold complexes adopt a lineal geometry around the metal center, showing triphenylphosphine, 1,3-bis (2,6-diisopropylphenyl) imidazole-2-ylidene, or chloride ligands in trans-position to the S atom bonded to gold (Figure 3). Table 1 lists the most significant distances and angles. In complexes 15, the distance S1-C1 is longer than the distance S2-C1 which indicates a double bond character between S2 and C1. However, both bonds are in a middle situation between single and double bonds (approx. 1.67 Å for the S=C bonds and approx. 1.75 Å for the S-C bonds) [9]. The distance S1-Au1 shows a clear trans influence: in complexes 12, the distances S1-Au1 (2.3223 (1) Å and 2.3147 (5) Å, respectively) are larger than in complexes 34 (2.2912 (10) Å and 2.3047 (8) Å, respectively) and in these they are larger than in complex 5 (2.256 (2) Å). Given that the sum of the van der Waals radii for sulfur and gold is 3.46 Å, the S2-Au1 distance of 3.3549 (8) Å in 2 indicates a weak interaction. However, for the rest of the complexes, this distance is bigger than the sum of the van der Waals radii, being too long to be considered as an interaction. Furthermore, the angle of the fragment CS2 in all complexes are very similar and close to 130°, which matches with that found in the free ligands [10,11,12]. Additionally, the angles S1-Au1-L are very close to 180°, highlighting the linearity of the metal centers. It is worth mentioning that the imidazolium ring and the dithiocarboxilate moiety led to dihedral angles in the range of 50–80°, which are closer to orthogonality than the coplanarity. Moreover, the distances C-N in the azolium ring for complexes 15 are near equivalent (ca. 1.33 Å for 14 and 1.31 Å for 5) revealing the electronic conjugation within the CN2+ moiety and a dominant double bond behavior (typical values of C=N and C-N bonds are 1.31 and 1.38 Å, respectively) [9].

2.2. Zinc, Cadmium, and Mercury

Complexes 68 show a distorted tetrahedral geometry around the metal atoms (Figure 4). Table 2 lists the most significant distances and angles. The distances S1-C1 and S3-C3 (ca. 1.68 Å) are longer than the distances S2-C1 and S4-C3 (ca. 1.63 Å). This again indicates a contribution of double bonds for those non-coordinated sulfur atoms. Moreover, the distances between S2-M1 and S4-M1 are greater than the sum of the van der Waals radii in complexes 6 and 8, being too long to be considered as an interaction. In contrast, in complex 7, the distances S2-Cd1 and S4-Cd1 are 3.2493 (14) Å and 3.3495 (14) respectively, which indicates a weak interaction since the sum of the van der Waals radii is 3.38 Å. Additionally, the angles formed in the CS2 unit are close to 130°, similar to that found in the free ligand [13]. The C-N distances in the azolium motifs are very similar (ca. 1.31 Å), showing an electronic conjugation in the CN2+ fragment. Furthermore, the dihedral angle formed between the azolium rings and CS2 motifs are between 83.33° and 87.97° for the three complexes, being closer to the orthogonality than the coplanarity.

3. Bidentate κ2-S,S′

This section contains most of the complexes bearing azoli(ni)um-2-thiocarboxylate zwitterionic ligands, with up to 26 structurally characterized examples.

3.1. Manganese

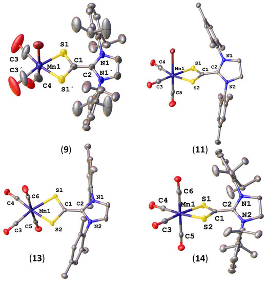
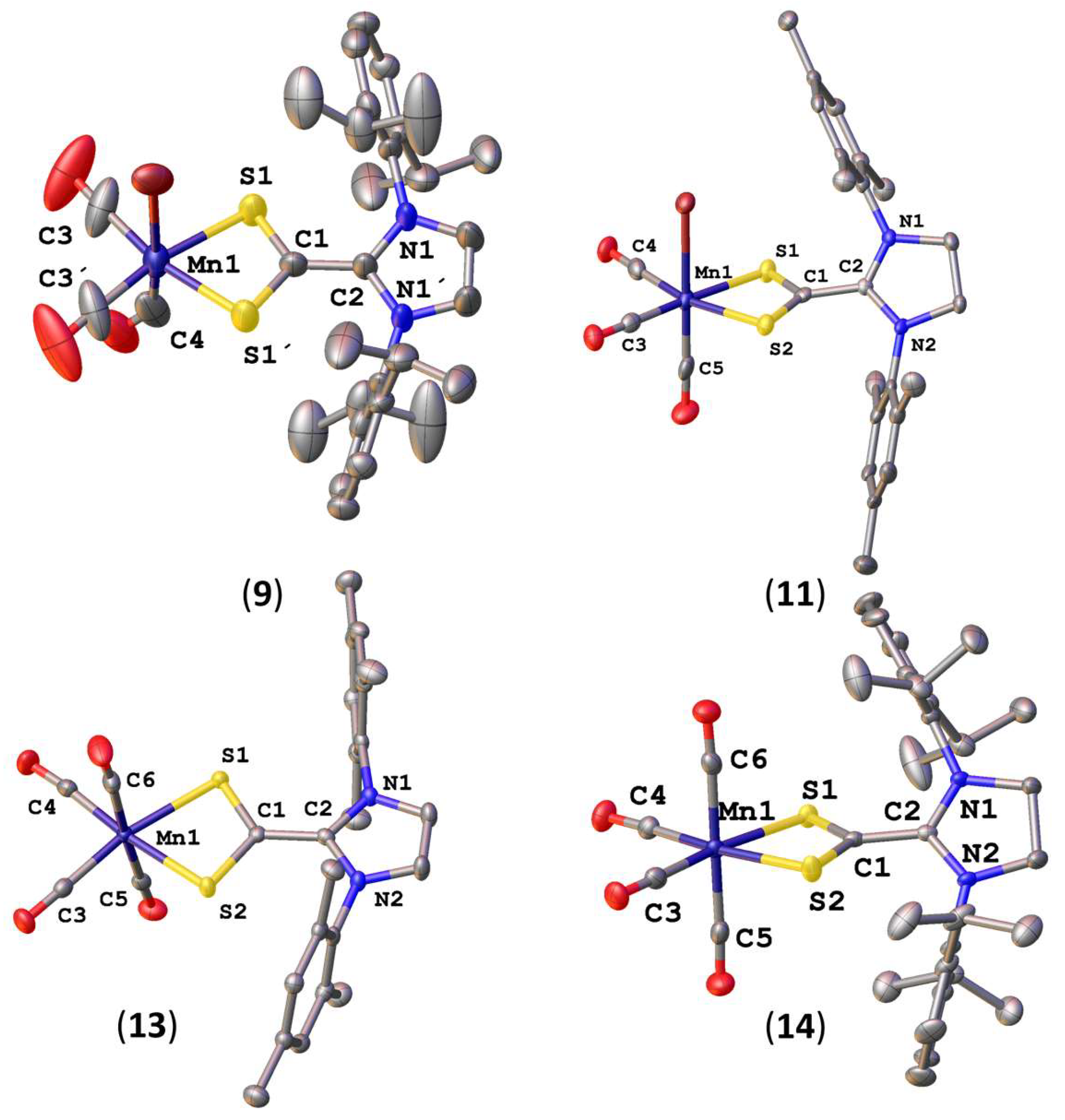
Complexes 9 and 12 crystalize with only one half of the molecule forming the asymmetric unit, and the data referring to the structural parameters are modulated according to it. In all cases, the metal center shows a distorted octahedral geometry with a coordinated NHC·CS2 zwitterion ligand in a bidentate mode, a bromide and three carbonyl ligands in complexes 911 [14], and a zwitterion ligand and four carbonyl ligands in complexes 1215 [15] (Figure 5 and Figure 6). Table 3 lists the most significant distances and angles. In all these complexes, the S1-C1 and S2-C2 distances are almost equal, indicating that the negative charge of the CS2 unit is equally spread over the two sulfur atoms. Furthermore, these lengths fit better with a double bond S=C (1.67 Å) rather than a single bond S-C (1.75 Å) [9]. Regarding the CN2+ unit, the distances N1-C2 and N2-C2 are very similar in all complexes and nearly to 1.33 Å, which matches with a major contribution of a double bond N=C [9]. For complexes 10, 11, 14, and 15, the dihedral angle formed between the units CN2 and CS2 are closer to an orthogonal disposition, whereas the complexes 9, 12, and 13 show a situation closer to coplanarity, being basically coplanar in complex 13 with a value of 2.24°. The biting angle of the bidentate NHC·CS2 zwitterion is slightly smaller in all complexes (113–116°) than in the free ligands (ca. 130°) [10]. Moreover, for complexes 1115, the equatorial distances Mn1-C3 and Mn1-C4, which are facing the sulfur atoms, are shorter than the axial ones of Mn1-C5 and Mn1-C6, due to a greater trans influence of the carbonyl ligands.

3.2. Rhenium

In all the examples, the metal center shows a distorted octahedral geometry with a bidentate NHC·CS2 zwitterion ligand, a bromide, and three carbonyl ligands (Figure 7 and Figure 8) [16,17]. Table 4 summarizes the most significant distances and angles. In all these complexes, the distances S1-C1 and S2-C2 are almost identical, indicating that the negative charge of the CS2 unit is equally spread over the two sulfur atoms. However, in complexes 1619, these distances are slightly shorter (ca. 1.67 Å) than in the complexes 2021 (ca. 1.70 Å). Furthermore, these lengths suit better in the range of a double bond S=C (1.67 Å) rather than a single bond S-C (1.75 Å) [9]. Regarding the unit CN2+, again, a small difference can be observed: the distances N1-C2 and N2-C2 are very similar in complexes 1619, nearly to 1.33 Å, and slightly longer (ca. 1.35 Å) in complexes 2021. These distances indicate a major contribution of a double bond N=C [9]. For complexes 1619, the dihedral angle formed between the units CN2 and CS2 is closer to an orthogonal disposition, whereas in complexes 2021, this angle shows a situation closer to coplanarity. The biting angles of the bidentate NHC·CS2 zwitterion are slightly smaller (ranging between 113 and 116°) in all complexes than in the free ligands (ca. 130°) [10,14].

3.3. Ruthenium

This section is divided in two different blocks, one describing complexes with a three-legged piano stool geometry (2228) [17,18,19] and the other dedicated to pseudooctahedral complexes (2931) (Figure 9) [20,21]. Table 5 lists the most significant distances and angles for complexes 2228. Complexes bearing para-cymene units (2228) have a three-legged piano stool geometry around the ruthenium centers, as indicated before (Figure 10). In all these complexes, the distances C1-S1 and C1-S2 are very similar, and the lengths are much closer to the distance commonly observed for C=S double bonds [9]. This indicates the delocalization of a negative charge between the two sulfur atoms. Regarding the unit CN2+, the distances N1-C2 and N2-C2 are very similar in all complexes and nearly to 1.34 Å, which points out a dominant character of a double bond N=C [9]. For all complexes but 24 and 26, the dihedral angle formed between the units CN2 and CS2 are closer to a coplanar disposition, whereas in complexes 24 and 26, this angle shows a situation closer to orthogonality. The biting angle of the bidentate NHC·CS2 zwitterion ligand in all complexes is around 110–112°, which is slightly smaller than in the free ligands (ca. 130°) [10,14].
Table 6 lists the most significant distances and angles for complexes 2931. Complexes 2931 have a distorted octahedral geometry around the ruthenium centers (Figure 10). The distances S1-Ru1 are similar in all complexes, however, the distance S2-Ru1 decreased in the order of 29 > 30 > 31, reflecting the greater trans influence of the enynyl ligand over the carbonyl ligand. The distances C1-S1 and C1-S2 are again very similar and closer to the commonly observed distance for a C=S double bond [9], indicating that the delocalization of the negative charge is equally spread over the two sulfur atoms. Regarding the N2C+ fragment, due to the disorder in the imidazolium unit in complex 29, the bond parameters are not reliable. Nevertheless, the distances N1-C2 and N2-C2 are very similar in complexes 30 and 31 and nearly to 1.34 Å, as indicated before; thus, revealing a major contribution of a double bond N=C [9]. In complex 30, the dihedral angle formed between the units N2C and CS2 is closer to a coplanar disposition (38.5°), whereas in complex 31, this angle shows a situation closer to orthogonality (46.3 (7)°). The biting angle of the bidentate NHC·CS2 zwitterion (110–112°) is slightly smaller than in the free ligands (ca. 130°) [10,11].

3.4. Nickel

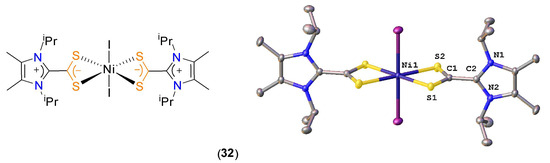
There is only one example with nickel bearing imidazolium-2-dithiocarboxylate ligands (Figure 11) [22]. Thus, complex 32 presents a pseudooctahedral geometry around the Ni atom where the axial positions are occupied by two iodine atoms and the equatorial plane is occupied by two chelated bidentate imidazolium-2-dithiocarboxylate ligands, although the asymmetric unit is made up of half of the molecule. The distances Ni1-S1 and Ni1-S2 are 2.3781 (5) Å and 2.4879 (5) Å, respectively. The distances C1-S1 (1.666 (2) Å) and C1-S2 (1.670 (2) Å) are very similar, and the lengths are much closer to the distance commonly observed for the C=S double bond [9]. This indicates that the distribution of the negative charge between the two sulfur atoms is equally shared. Regarding the unit CN2+, the distances N1-C2 and N2-C2 are similar (1.336 (3) Å) and close to 1.34 Å, indicating a major character of double bond N=C [9]. The dihedral angle formed between the units CN2 and CS2 is 86.8 (3)°, closer to an orthogonal disposition. The biting angle of the bidentate NHC·CS2 zwitterion is 120.66 (12)°, slightly smaller than in the free ligands (ca. 130°) [23].

3.5. Palladium

Two examples are known for palladium (Figure 12) [24]. Complexes 33 and 34 have a distorted square planar geometry around the palladium centers (Figure 13). The distances Pd1-S1 and Pd-S2 are similar in both complexes, 2.3339 (6) Å and 2.3724 (6) Å, respectively, for 33, and 2.3390 (7) Å and 2.3680 (6) Å, respectively, for 34. The distance C1-S1(1.683 (2) Å for 33 and 1.685 (3) Å for 34) and C1-S2 (1.692 (2) Å for 33 and 1.684 (3) Å for 34) are very similar, and the lengths are much closer to the distance corresponding to a C=S double bond [9]. This indicates, one more time, that the delocalization of the negative charge between the two sulfur atoms is equally spread. Regarding the unit CN2+, the distances N1-C2 (1.351 (3) Å and 1.354 (3) Å for 33 and 34, respectively) and N2-C2 (1.352 (3) Å and 1.346 (3) Å for 33 and 34, respectively) are very similar and nearly to 1.34 Å, which indicates a major contribution of a double bond N=C [9]. In both complexes, the dihedral angle formed between the units CN2 and CS2 are closer to a coplanar disposition, 10.8 (3)° and 17.3 (4)° for 33 and 34, respectively. The biting angles of the bidentate NHC·CS2 zwitterions, 113.5 (1)° in complexes 33 and 114.3 (1)° in 34, are in both complexes slightly smaller than in the free ligands (ca. 130°) [10].

4. Bidentate Bridge µ21-S,κ1-S′

This section involves ten complexes where the imidazole(in)ium-dithiocarboxylate betaines are coordinated to the metal centers as the bidentate bridge ligands form dimers, clusters, or coordination polymers.

4.1. Rhenium

There are only three examples of rhenium complexes bearing azolium-2-thiocarboxylate zwitterionic ligands as a bidentate bridge, which are 3537 (Figure 14) [16]. In this case, the complexes are dimers where two cis-tetracarbonyl rhenium fragments are connected via a metal–metal bond and a CS2 bridge. Each compound crystallizes within a different asymmetric unit. Complex 35 presents a whole molecule in the asymmetric unit, whereas complex 36 has two different half molecules which generate two independent whole molecules (36 and 36b). On the other hand, complex 37 only shows a half molecule in the asymmetric unit. For this reason, the data referring to structural parameters are modulated according to it. Table 7 summarizes the distances and angles more significant for complexes 3537. In all complexes, the distance Re1-Re1b is around 2.9 Å, which confirms the presence of a single Re–Re bond [25]. Comparing the distances Re-S for these complexes and the complexes described for rhenium in the section before, there is not a substantial difference around 2.4 Å in both types of complexes. The distances S-C for all complexes are similar to those described before (Section 3.2) and around to 1.67 Å, and the lengths are closer to the distance for the C=S double bond [9], indicating that the negative charge of the CS2 unit is equally spread over the two sulfur atoms. Keeping the attention in the CS2 motif, the angle S1-C1-S1b is approximately 130° for all complexes, being identical to the free ligands [10]. Regarding the CN2+ unit, the distances N-C2 are nearly 1.34 Å, which suggests a certain double bond character [9] as found in Section 3.2. For all these complexes (3537), the angle between the planes formed by the CN2 and CS2 units are closer to an orthogonal disposition.

4.2. Copper

This is the most populated subsection with five examples: three of them are discrete molecules of two [26], three [27], and four [27] copper centers, and the other two examples are 1-D coordination polymers [12] (Figure 15).
Complex 38 [26] crystallizes showing two unique molecules in the unit cell, with one being a full dimer molecule (38) and showing only a half of another molecule due to the plane of symmetry (38b). This means that for the molecule with that symmetry element, there is just one set of bond distances and angles, whereas for the other molecule, there is one set of data for each copper center (two sets in total). Table 8 shows the most representative structural parameters of both molecules of 38. The structure of this dinuclear copper complex shows two zwitterion ligands and two THF molecules coordinated to each metallic atom. The azolium-2-dithiocarboxilate ligand bonds each sulfur atom to a different copper center (Figure 16). The distance between the copper atoms in each molecule is in both cases around 2.7 Å, longer than the distances reported in the literature for a Cu1+-Cu1+ bond; thus, it cannot be considered formally a single bond Cu-Cu [28,29]. The distances S-C of the core CS2 are around 1.67 Å, which is indicative of a major double bond character [9], indicating that the negative charge of the CS2 unit is equally spread over the two sulfur atoms. Additionally, the angle formed in unit CS2 is approximately 130° for both molecules, which is very similar to that found in the free ligand [10]. Focusing on the CN2+ unit, the distances N-C2 are nearly 1.34 Å, making it clear that there is a strong influence of the double bond N=C [9]. Moreover, the planes formed by the units CS2 and CN2 are angled in almost an orthogonal disposition.
In complex 39 [27], there are three atoms of copper and five zwitterionic ligands, and each copper atom is bounded to four sulfur atoms. On the other hand, sulfur atoms S2 and S7 are bonded to two copper atoms, whereas the rest of them are only connected to one (Figure 17). Table 9 shows the most representative structural parameters of 39. The metal atoms draw almost an isosceles triangle with edge values of 2.6608 (13) Å, 2.6221 (11) Å, and 3.1991 (14) Å. In all cases, the distance is too long to be considered as a formal single bond between the copper atoms [28]. Regarding the S-C bond length, all of them are c.a. 1.67 Å, indicating the major contribution of a double bond [9]. The same is observed in the distances C-N of the CN2 units, being near to 1.34 Å [9]. The angles within the CS2 moiety of the betaines show a clear difference between those which have a shared S atom with two Cu atoms and the ones which share the S atoms with only one. Thus, the angles S1-C1-S2 and S7-C7-S8 are smaller than the rest (around 5°). However, all of them match very well with the free ligand (approx. 130°) [12]. Moreover, the planes formed by the units CS2 and CN2 generate an angle between them almost orthogonal.
Complex 40 [27] shows a core formed by four copper atoms, two chlorine ligands and four zwitterionic ligands; two of them are bridging to two Cu atoms with each S atom, whereas the other two betaine ligands are bonded to two Cu centers by each S atom (Figure 18). However, the asymmetric unit only contains half of it. Thus, the structural parameters collected in Table 10 will refer to it. The distance between neighboring copper atoms is 2.5868 (5) Å, and the distance between the copper atoms in the other asymmetric unit is 3.23664 (5) Å. For the two coordination types of the azolium-2-thiocarboxylate zwitterion ligands in this complex, the distances S-C of the core CS2 are almost identical between them, indicating an equal distribution of the negative charge around both sulfur atoms and fitting better with a majority contribution of a S=C double bond [9]. For the CN2+ moieties, the distances of the bonds N-C are around 1.32 Å, which are closer to the double bond N=C [9]. Contrary to complex 39, in this case the angle of the unit CS2 is bigger for the ligand with sulfur atoms coordinated to two copper atoms each than the one formed by the ligand which sulfur atoms are only coordinated to one metal atom each (134.07 (17)° vs. 131.99 (15)°). However, these values remain in the free ligand range [12]. As an additional feature, the angles formed by the planes containing the CS2 and CN2 units are more proximal to an orthogonal disposition.
Complexes 41 and 42 are coordination polymers in which single 1-D chains are formed by alternating fragments of CuX (X = Cl (41), Br (42)), and the azolinium-2-thiocarboxylate zwitterion ligand (Figure 19) [12]. This ligand coordinates via one of its sulfur atoms to a CuX fragment and the other one to the contiguous CuX fragment. In these complexes, Cu atoms adopt a trigonal planar geometry where two of the positions are occupied by two betaines and in the other one is placed the corresponding halide. The bond lengths S1-C1 (1.682 (3) Å for 41 and 1.6802 (15) Å for 42) and S1-C2 (1.678 (3) Å for 41 and 1.6830 (15) Å for 42) are very close to the normal distance for a double bond S=C [9], which indicates that the negative charge is spread over the two sulfur atoms equally. Regarding the CN2+ unit of the betaine, the bond lengths N1-C2 (1.317 (4) Å for 41 and 1.3193 (19) Å for 42) and N2-C2 (1.322 (3) Å for 41 and 1.3155 (19) Å for 42) show a major character of a double bond for that motif [9]. The angles formed by the CS2 unit in these complexes are 124.18 (18)° and 123.55 (9)° for 41 and 42 respectively, being shorter than the free ligand [12]. These values are in an intermediate situation to those described in the previous sections, where these angles range from 130° (for the monodentate κ1-S complexes, Section 2) to approx. 114° (for the bidentate κ2-S,S’ complexes, Section 3). Additionally, for both complexes, the angle formed by the planes of the units CS2 and CN2 is 82,12°, describing almost an orthogonal disposition.

4.3. Silver

There is only one structurally characterized example where a silver atom bears these betaines acting as a bidentate bridge [26].
The molecular structure is similar to that found in 38, but instead of bearing two THF molecules coordinated to each metal center, in this case, there is only one. The asymmetric unit of this compound is a half of the molecule (Figure 20). Each sulfur atom of the azolium-2-dithiocarboxylate ligand was bonded to a different silver atom. However, the distances between these silver and sulfur atoms are similar (S1-Ag1 = 2.4303 Å; S2-Ag1′= 2.4310 (7) Å). The length of the S-C bonds (S1-C1 = 1.663 (3) Å; S2-C2 = 1.669 (3) Å) fall in the range of a double bond, suggesting that the negative charge is equally distributed on both sulfur atoms [9]. Furthermore, the fragment CN2+ shows C-N distances close to a double bond C=N [9]. On the other hand, the S1-C1-S2 angle is 132.11 (17)°, which matches with the data found for the free ligand [10]. Additionally, the angle between the planes of the units CS2 and CN2 is 87.95°, which is closer to orthogonality. Moreover, the distance between silver nuclei is too long to be considered as a formal Ag-–Ag single bond (Ag1-Ag1′= 2.8979 (5)) [30].

4.4. Gold

Only one structurally characterized example is known where gold is bearing an azolinium-2-dithiocarboxylate zwitterionic ligand in a coordination mode of the bidentate bridge [31]. Complex 44 shows a betaine in which each sulfur atom is coordinated to an independent gold atom in a total of two gold cores (Figure 21). Both gold nuclei show a typical lineal geometry with an additional chlorine ligand as well. Curiously, both Au-Cl fragments are placed in opposite directions instead of being parallels. The distances S1-C1 and S2-C2 are 1.677 (6) Å and 1.679 (6) Å, respectively, revealing a double bond character, and thus, suggesting an equal distribution of the negative charge over the two sulfur atoms [9]. Moreover, the distances N1-C2 and N2-C2 are 1.310 (7) Å and 1.328 (8) Å, respectively, which fit better with a double bond N=C than a single one [9]. Otherwise, the angle formed in the fragment CS2 is 127.8 (4)°, which is very similar to the free ligand [12]. Additionally, the angle of the planes of the fragments CS2 and CN2 is almost orthogonal with a value of 88.42°.

5. Conclusions

The zwitterionic azoli(ni)um-2-thiocarboxylate ligands present different coordination possibilities, ranging from monodentate ligands to bridging ligands, including the most common mode of chelating as bidentate. This wide variety gives rise to a plethora of structures in coordination compounds, including mononuclear or multinuclear complexes, mainly of late transition metals. In the case of some polynuclear systems, these ligands provide support for metal-to-metal bonds.
Measurements of distances and bond angles allow establishing positive charge delocalization within the heterocyclic fragment, between the two nitrogen atoms and the carbon atom, and negative charge delocalization between the sulfur atoms and the carbon of the dithiocarboxylate group for the bidentate coordination modes. Both ligand fragments tend to orient themselves orthogonally to achieve the appropriate charge distribution in the orbitals.

Author Contributions

Conceptualization, D.E.; writing—original draft preparation, D.E. and B.P.-C.; writing—review and editing, D.E., B.P.-C., P.P.-R., R.G.S., F.C.-H. and H.R.-S. contributed equally. All authors have read and agreed to the published version of the manuscript.

Funding

This work was funded by MICIN/AEI/10.13039/501100011033 (PID2020-117353GB-I00 and RED2018-102387-T), MICIN (AES PI22/00148), Principado de Asturias (FICYT AYUD/2021/51542), and the Universidad Castilla-La Mancha (2022-GRIN-34031). D.E. thanks the Junta de Comunidades de Castilla-La Mancha and EU for their financial support through the European Regional Development Fund (ERDF; SBPLY/19/180501/000137). P.P.R. thanks the Plan Nacional de Recuperación, Transformación y Resiliencia through NextGenerationEU (Programa Investigo AYUD/2022/9313).

Data Availability Statement

The data presented in this study are openly available in CCDC repository.

Conflicts of Interest

The authors declare no conflict of interest.

References

  1. Arduengo, A.J.; Harlow, R.L.; Kline, M. Stable crystalline carbene. J. Am. Chem. Soc. 1991, 113, 361–363. [Google Scholar] [CrossRef]
  2. Nolan, S.P. N-Heterocyclic Carbenes: Effective Tools for Organometallic Synthesis; Wiley-VCH: Weinheim, Germany, 2014. [Google Scholar]
  3. Díez-González, S. N-Heterocyclic Carbenes: From Laboratory Curiosities to Efficient Synthetic Tools, RSC Catalysis Series, 2nd ed.; Royal Society of Chemistry: Cambridge, UK, 2017; Volume 27. [Google Scholar]
  4. Winberg, H.E.; Coffman, D.D. Chemistry of Peraminoethylenes. J. Am. Chem. Soc. 1965, 87, 2776–2777. [Google Scholar] [CrossRef]
  5. Naeem, S.; Delaude, L.; White, A.J.P.; Wilton-Ely, J.D.E.T. The use of imidazolium-2-dithiocarboxylates in the formation of gold (I) complexes and gold nanoparticles. Inorg. Chem. 2010, 49, 1784–1793. [Google Scholar] [CrossRef] [PubMed]
  6. Florke, U.; Ortemeyer, J.; Henkel, G. CCDC 1581790: Experimental Crystal Structure Determination; Cambridge Crystallographic Data Centre: Cambridge, UK, 2017. [Google Scholar] [CrossRef]
  7. Fujihara, T.; Sugasa, T.; Nagasama, J. Tetrakis(1,3-dimethylimidazolidinium-2-dithiocarboxylate-κS)zinc(II) diperchlorate. Acta Crystallogr. Sect. E Struct. Rep. Online 2004, 60, m282–m284. [Google Scholar] [CrossRef]
  8. Sugaya, T.; Fujihara, T.; Nagasawa, A.; Unoura, K. Group 12 metal complexes with inner-salt, bis(N,N-disubstituted amino)-carbeniumdithiocarboxylate. Asymmetric stretching vibration of thiocarboxylate and reduction potential as probes for the coordination mode. Inorganica Chim. Acta 2009, 362, 4813–4822. [Google Scholar] [CrossRef]
  9. Allen, F.H.; Watson, D.G.; Brammer, L.; Orpen, A.G.; Taylor, R. International Tables for Crystallography; Prince, E., Ed.; Springer: Berlin/Heidelberg, Germany, 2006; Volume C, pp. 790–811. [Google Scholar]
  10. Delaude, L.; Demonceau, A.; Wouters, J. Assessing the Potential of Zwitterionic NHC·CS2 Adducts for Probing the Stereoelectronic Parameters of N-Heterocyclic Carbenes. Eur. J. Inorg. Chem. 2009, 13, 1882–1891. [Google Scholar] [CrossRef]
  11. Siemeling, U.; Memczak, H.; Bruhn, C.; Vogel, F.; Trager, F.; Baio, J.E.; Weidner, T. Zwitterionic dithiocarboxylates derived from N-heterocyclic carbenes: Coordination to gold surfaces. Dalton Trans. 2012, 41, 2986–2994. [Google Scholar] [CrossRef]
  12. Neuba, A.; Ortmeyer, J.; Konieczna, D.D.; Weigel, G.; Florke, U.; Henkel, G.; Wilhelm, R. Synthesis of new copper(i) based linear 1-D-coordination polymers with neutral imidazolinium-dithiocarboxylate ligands. RSC Adv. 2014, 5, 9217–9220. [Google Scholar] [CrossRef]
  13. Nakayama, J.; Kitahara, T.; Sugihara, Y.; Sakamoto, A.; Ishii, A. Isolable, Stable Diselenocarboxylate and Selenothiocarboxylate Salts:  Syntheses, Structures, and Reactivities of 2-(1,3-Dimethylimidazolidinio)diselenocarboxylate and 2-(1,3-Dimethylimidazolidinio)selenothiocarboxylate. J. Am. Chem. Soc. 2000, 122, 9120–9126. [Google Scholar] [CrossRef]
  14. Beltrán, T.F.; Zaragoza, G.; Delaude, L. Mono- and bimetallic manganese–carbonyl complexes and clusters bearing imidazol(in)ium-2-dithiocarboxylate ligands. Dalton Trans. 2017, 46, 1779–1788. [Google Scholar] [CrossRef]
  15. Beltrán, T.F.; Zaragoza, G.; Delaude, L. Synthesis and characterization of cationic manganese-carbonyl complexes bearing imidazole(in)ium-2-dithiocarboxylate ligands. Polyhedron 2021, 197, 115055–115062. [Google Scholar] [CrossRef]
  16. Beltrán, T.F.; Zaragoza, G.; Delaude, L. Synthesis, characterization, and gas-phase fragmentation of rhenium–carbonyl complexes bearing imidazol(in)ium-2-dithiocarboxylate ligands. Dalton Trans. 2016, 45, 18346–18355. [Google Scholar] [CrossRef] [PubMed]
  17. Beltrán, T.F.; Zaragoza, G.; Delaude, L. Synthesis and complexation of superbulky imidazolium-2-dithiocarboxylate ligands. Dalton Trans. 2017, 46, 9036–9048. [Google Scholar] [CrossRef] [PubMed]
  18. Aldin, M.Z.; Zaragoza, G.; Deschamps, W.; Tomani, J.-C.D.; Souopgui, J.; Delaude, L. Synthesis, Characterization, and Biological Activity of Water-Soluble, Dual Anionic and Cationic Ruthenium−Arene Complexes Bearing Imidazol(in)ium-2-dithiocarboxylate Ligands. Inorg. Chem. 2021, 60, 16769–16781. [Google Scholar] [CrossRef] [PubMed]
  19. Delaude, L.; Sauvage, X.; Demonceau, A.; Wouters, J. Synthesis and catalytic evaluation of ruthenium-arene complexes generated using imidazole(in)ium-2-carboxylates and dithiocarboxylates. Organometallics 2009, 28, 4056–4064. [Google Scholar] [CrossRef]
  20. Naeem, S.; Thompson, A.L.; Delaude, L.; Wilton-Ely, J.D.E.T. Non-innocent Behaviour of Dithiocarboxylate Ligands Based on N-Heterocyclic Carbenes. Chem. Eur. J. 2010, 16, 10971–10974. [Google Scholar] [CrossRef]
  21. Naeem, S.; Thompson, A.L.; White, A.J.P.; Delaude, L.; Wilton-Ely, J.D.E.T. Dithiocarboxylate Complexes of Ruthenium(II) and Osmium(II). Dalton Trans. 2011, 40, 3737–3747. [Google Scholar] [CrossRef]
  22. Florke, U.; Egold, H.; Henkel, G. CCDC 1521481: Experimental Crystal Structure Determination; Cambridge Crystallographic Data Centre: Cambridge, UK, 2016. [Google Scholar] [CrossRef]
  23. Florke, U.; Egold, H.; Henkel, G. CCDC 991795: Experimental Crystal Structure Determination; Cambridge Crystallographic Data Centre: Cambridge, UK, 2014. [Google Scholar] [CrossRef]
  24. Champion, M.J.D.; Solanki, R.; Delaude, L.; White, A.J.P.; Wilton-Ely, J.D.E.T. Synthesis and Catalytic Application of Palladium Imidazol(in)ium-2-dithiocarboxylate Complexes. Dalton Trans. 2012, 41, 12386–12394. [Google Scholar] [CrossRef]
  25. Cao, K.; Skowron, S.T.; Biskupek, J.; Stoppiello, C.T.; Leist, C.; Besley, E.; Khlobystov, A.N.; Kaiser, U. Imaging an unsupported metal-metal bond in dirhenium molecules at the atomic scale. Sci. Adv. 2020, 6, eaay5849. [Google Scholar] [CrossRef]
  26. Rungthanaphatsophon, P.; Gremillion, A.J.; Wang, Y.; Kelley, S.P.; Robison, G.H.; Walensky, J.R. Structure of copper(I) and silver(I) complexes with zwitterionic ligands derived fron N-heterocyclic carbenes. Inorganica Chim. Acta 2020, 514, 120033. [Google Scholar] [CrossRef]
  27. Ortmeyer, J.; Flörke, U.; Henkel, G.; Wilhelm, R.; Neuba, A. A Sophisticated Approach towards a New Class of Copper(I)–Sulfur Cluster Complexes with Imidazolinium–Dithiocarboxylate Ligands. Eur. J. Inorg. Chem. 2017, 25, 3191–3197. [Google Scholar] [CrossRef]
  28. Jaque, P.; Toro-Labbé, A. Characterization of copper clusters through the use of density functional theory reactivity descriptors. J. Chem. Phys. 2002, 117, 3208–3218. [Google Scholar] [CrossRef]
  29. Liddle, S.T. Molecular Metal-Metal Bonds: Compounds, Synthesis, Properties; Wiley: Weinheim, Germany, 2015. [Google Scholar]
  30. Lane, A.C.; Vollmer, M.V.; Laber, C.H.; Melgarejo, D.Y.; Chiarella, G.M.; Fackler, J.P.; Yang, X.; Baker, G.A.; Walensky, J.R. Multinuclear Copper(I) and Silver(I) Amidinate Complexes: Synthesis, Luminescence, and CS2 Insertion Reactivity. Inorg. Chem. 2014, 53, 11357–11366. [Google Scholar] [CrossRef] [PubMed]
  31. Florke, U.; Egold, H.; Henkel, G. CCDC 1581514: Experimental Crystal Structure Determination; Cambridge Crystallographic Data Centre: Cambridge, UK, 2017. [Google Scholar] [CrossRef]
Figure 1. Possible coordination modes of azolium-2-thiocarboxylate zwitterionic ligands to metal centers.
Figure 1. Possible coordination modes of azolium-2-thiocarboxylate zwitterionic ligands to metal centers.
Crystals 13 01304 g001
Figure 2. Reported complexes with monodentate azoli(in)um-2-thiocarboxylate zwitterionic ligands structurally characterized (18).
Figure 2. Reported complexes with monodentate azoli(in)um-2-thiocarboxylate zwitterionic ligands structurally characterized (18).
Crystals 13 01304 g002
Figure 3. Molecular structures of 1, 3, and 5 as representative examples of monodentate κ1-S coordination in gold complexes.
Figure 3. Molecular structures of 1, 3, and 5 as representative examples of monodentate κ1-S coordination in gold complexes.
Crystals 13 01304 g003
Figure 4. Molecular structure of 6.
Figure 4. Molecular structure of 6.
Crystals 13 01304 g004
Figure 5. Reported manganese complexes with azoli(ni)um-2-thiocarboxylate zwitterionic ligands structurally characterized (915).
Figure 5. Reported manganese complexes with azoli(ni)um-2-thiocarboxylate zwitterionic ligands structurally characterized (915).
Crystals 13 01304 g005
Figure 6. Molecular structures of 9, 11, 13, and 14 as representative examples of bidentate κ2-S,S′ coordination in manganese complexes.
Figure 6. Molecular structures of 9, 11, 13, and 14 as representative examples of bidentate κ2-S,S′ coordination in manganese complexes.
Crystals 13 01304 g006
Figure 7. Reported rhenium complexes with azoli(ni)um-2-thiocarboxylate zwitterionic ligands structurally characterized (1621).
Figure 7. Reported rhenium complexes with azoli(ni)um-2-thiocarboxylate zwitterionic ligands structurally characterized (1621).
Crystals 13 01304 g007
Figure 8. Molecular structures of 17, 19, and 20 as representative examples of bidentate κ2-S,S′ coordination in rhenium complexes.
Figure 8. Molecular structures of 17, 19, and 20 as representative examples of bidentate κ2-S,S′ coordination in rhenium complexes.
Crystals 13 01304 g008
Figure 9. Reported ruthenium complexes with azoli(ni)um-2-thiocarboxylate zwitterionic ligands structurally characterized (2231).
Figure 9. Reported ruthenium complexes with azoli(ni)um-2-thiocarboxylate zwitterionic ligands structurally characterized (2231).
Crystals 13 01304 g009
Figure 10. Molecular structures of 22, 30, and 31 as representative examples of bidentate κ2-S,S′ coordination in ruthenium complexes.
Figure 10. Molecular structures of 22, 30, and 31 as representative examples of bidentate κ2-S,S′ coordination in ruthenium complexes.
Crystals 13 01304 g010
Figure 11. Molecular structure of complex 32.
Figure 11. Molecular structure of complex 32.
Crystals 13 01304 g011
Figure 12. Reported palladium complexes with azolium-2-thiocarboxylate zwitterionic ligands structurally characterized (3334).
Figure 12. Reported palladium complexes with azolium-2-thiocarboxylate zwitterionic ligands structurally characterized (3334).
Crystals 13 01304 g012
Figure 13. Molecular structures of complexes 33 and 34.
Figure 13. Molecular structures of complexes 33 and 34.
Crystals 13 01304 g013
Figure 14. Reported rhenium complexes structurally characterized with azolium-2-thiocarboxylate zwitterionic ligands as bidentate bridges 3537 and molecular structure of 35.
Figure 14. Reported rhenium complexes structurally characterized with azolium-2-thiocarboxylate zwitterionic ligands as bidentate bridges 3537 and molecular structure of 35.
Crystals 13 01304 g014
Figure 15. Reported rhenium complexes structurally characterized with azolium-2-thiocarboxylate zwitterionic ligands as bidentate bridge 3842.
Figure 15. Reported rhenium complexes structurally characterized with azolium-2-thiocarboxylate zwitterionic ligands as bidentate bridge 3842.
Crystals 13 01304 g015
Figure 16. Molecular structure of 38.
Figure 16. Molecular structure of 38.
Crystals 13 01304 g016
Figure 17. Whole molecular structure of 39 (left) and core portion of 39 (right).
Figure 17. Whole molecular structure of 39 (left) and core portion of 39 (right).
Crystals 13 01304 g017
Figure 18. Whole molecular structure of 40 (left) and core portion of 40 (right).
Figure 18. Whole molecular structure of 40 (left) and core portion of 40 (right).
Crystals 13 01304 g018
Figure 19. 1-D polymeric structure of 42 (top) and its asymmetric unit (bottom).
Figure 19. 1-D polymeric structure of 42 (top) and its asymmetric unit (bottom).
Crystals 13 01304 g019
Figure 20. Reported silver complex structurally characterized with azolium-2-thiocarboxylate zwitterion ligands as bidentate bridge 43 and its molecular structure.
Figure 20. Reported silver complex structurally characterized with azolium-2-thiocarboxylate zwitterion ligands as bidentate bridge 43 and its molecular structure.
Crystals 13 01304 g020
Figure 21. Reported gold complex structurally characterized with azolinium-2-thiocarboxylate zwitterionic ligands as bidentate bridge 44 and its molecular structure.
Figure 21. Reported gold complex structurally characterized with azolinium-2-thiocarboxylate zwitterionic ligands as bidentate bridge 44 and its molecular structure.
Crystals 13 01304 g021
Table 1. Selected geometric parameters for 1–5.
Table 1. Selected geometric parameters for 1–5.
Parameter12345
S1-Au1 (Å)2.3223 (1)2.3147 (5)2.2912 (10)2.3047 (8)2.256 (2)
S1-C1 (Å)1.7027 (14)1.708 (3)1.701 (4)1.702 (5)1.695 (8)
S2-C1 (Å)1.6420 (16)1.640 (3)1.639 (4)1.643 (4)1.646 (7)
S2···Au1 (Å)3.4825 (5)3.3549 (8)3.5612 (9)3.4817 (11)3.467 (2)
S1-Au1-L (°)173.63 (2)178.94 (3)175.97 (8)169.5 (1)175.38 (7)
SCS^Au1 (°)129.6 (1)128.3 (2)130.1 (2)128.3 (2)130.4 (5)
CS2^CN2 (°)50.0557.2287.9154.4377.02
C2-N1 (°)1.343 (2)1.333 (3)1.336 (5)1.334 (5)1.311 (9)
C2-N2 (°)1.343 (2)1.337 (3)1.345 (4)1.339 (5)1.317 (9)
Table 2. Selected geometric parameters for 6–8.
Table 2. Selected geometric parameters for 6–8.
Parameter678
S1-M1 (Å)2.3811 (13)2.5929 (13)2.5543 (7)
S3-M1 (Å)2.3747 (13)2.5978 (13)2.5746 (7)
S1-C1 (Å)1.698 (5)1.686 (5)1.688 (3)
S2···C1 (Å)1.635 (5)1.637 (5)1.644 (3)
S3-C3 (Å)1.685 (5)1.682 (5)1.691 (3)
S4···C3 (Å)1.634 (5)1.648 (5)1.643 (3)
SCS^M1 (°)130.9 (3)/130.7 (3)129.5 (3)/129.9 (3)130.99 (17)/131.27 (16)
CS2^CN2 (°)83.33/87.2187.06/88.7586.18/87.97
C2-N1 (°)1.310 (7)1.305 (6)1.319 (4)
C2-N2 (°)1.316 (7)1.306 (7)1.309 (4)
C4-N3 (°)1.310 (7)1.306 (6)1.309 (3)
C4-N4 (°)1.313 (6)1.309 (6)1.317 (3)
Table 3. Selected geometric parameters for 915.
Table 3. Selected geometric parameters for 915.
Parameter9101112131415
S1-Mn1 (Å)2.3639 (18)2.3902 (7)2.359 (2)2.3716 (9)2.3484 (6)2.389 (1)2.3748 (6)
S2-Mn1 (Å)--2.4005 (7)2.410 (2)--2.3778 (6)2.3700 (7)2.3698 (5)
S1-C1 (Å)1.691 (4)1.670 (2)1.665 (6)1.679 (2)1.687 (2)1.673 (3)1.673 (2)
S2-C1 (Å)--1.671 (2)1.667 (5)--1.683 (2)1.675 (4)1.664 (2)
C3-Mn1 (Å)1.801 (8)1.811 (3)1.800 (7)1.831 (3)1.819 (2)1.830 (4)1.830 (2)
C4-Mn1 (Å)--1.803 (2)1.822 (6)--1.825 (2)1.827 (2)1.815 (2)
C5-Mn1 (Å)1.82(3)1.795 (2)1.789 (6)1.858 (4)1.876 (2)1.861 (3)1.883 (2)
C6-Mn1 (Å)--------1.863 (2)1.875 (3)1.860 (2)
SCS^Mn1 (°)113.68117.0 (1)116.9 (3)114.37113.3 (1)115.4 (2)116.7 (1)
CS2^CN2 (°)24.45 (1)58.3 (2)47.9 (7)42.77 (1)1.3 (3)45.0 (4)78.8 (2)
C2-N1 (°)1.347 (6)1.324 (3)1.315 (7)1.347 (3)1.358 (2)1.332 (3)1.310 (2)
C2-N2 (°)--1.323 (3)1.327 (6)--1.356 (2)1.328 (3)1.319 (2)
Table 4. Selected geometric parameters for 16–21.
Table 4. Selected geometric parameters for 16–21.
Parameter161718192021
S1-Re1 (Å)2.5061 (6)2.507 (1)2.5169 (9)2.479 (3)2.4999 (8)2.491 (2)
S2-Re1 (Å)2.5056 (7)2.5098 (8)2.507 (1)2.527 (3)2.4535 (7)2.459 (2)
S1-C1 (Å)1.673 (2)1.667 (3)1.675 (3)1.67 (1)1.691 (2)1.695 (9)
S2-C1 (Å)1.676 (2)1.670 (4)1.673 (3)1.69 (1)1.688 (2)1.700 (8)
C3-Re1 (Å)1.926 (2)1.919 (4)1.929 (4)1.92 (1)1.923 (3)1.91 (1)
C4-Re1 (Å)1.908 (2)1.913 (3)1.905 (4)1.90 (1)1.931 (2)1.922 (8)
C5-Re1 (Å)1.950 (2)1.894 (4)1.916 (4)1.86 (1)1.920 (3)1.90 (1)
SCS^Re1 (°)117.6 (1)118.0 (2)117.9 (2)116.9 (6)113.6 (1)113.1 (5)
CS2^CN2 (°)54.7 (2)83.3 (4)51.9 (3)52 (1)9.5 (3)12 (1)
C2-N1 (°)1.343 (3)1.324 (5)1.316 (4)1.31 (1)1.356 (3)1.37 (1)
C2-N2 (°)1.347 (3)1.341 (5)1.325 (4)1.32 (1)1.356 (3)1.34 (1)
S1-Re1 (Å)2.5061 (6)2.507 (1)2.5169 (9)2.479 (3)2.4999 (8)2.491 (2)
Table 5. Selected geometric parameters for 22–28.
Table 5. Selected geometric parameters for 22–28.
Parameter22232425262728
S1-Ru1 (Å)2.346 (2)2.353 (2)2.3597 (9)2.3743 (5)2.3756 (6)2.3473 (7)2.349 (1)
S2-Ru1 (Å)2.356 (2)2.381 (2)2.3781 (9)2.3847 (6)2.3811 (7)2.3459 (5)2.346 (1)
S1-C1 (Å)1.688 (6)1.674 (6)1.681 (3)1.679 (2)1.680 (2)1.686 (1)1.685 (4)
S2-C1 (Å)1.684 (6)1.679 (6)1.676 (3)1.681 (2)1.673 (2)1.689 (2)1.684 (5)
SCS^Ru1 (°)110.3 (3)112.4 (3)111.9 (2)112.3 (1)112.3 (1)110.46 (8)110.6 (3)
CS2^CN2 (°)16.2 (9)37.0 (8)79.5 (4)30.5 (3)48.1 (3)6.1 (2)1.9 (7)
C2-N1 (°)1.357 (8)1.321 (8)1.345 (5)1.358 (3)1.351(3)1.357 (2)1.349 (6)
C2-N2 (°)1.348 (8)1.311 (8)1.333 (4)1.350 (3)1.342 (4)1.360 (2)1.366 (5)
Table 6. Selected geometric parameters for 29–31.
Table 6. Selected geometric parameters for 29–31.
Parameter293031
S1-Ru1 (Å)2.4682 (6)2.4898 (8)2.477 (2)
S2-Ru1 (Å)2.4713 (7)2.4580 (7)2.439 (2)
S1-C1 (Å)1.679 (2)1.691 (3)1.690 (7)
S2-C1 (Å)1.675 (2)1.685 (3)1.663 (7)
SCS^Ru1 (°)115.4 (2)113.3 (2)114.7 (4)
CS2^CN2 (°)--38.5 (4)46.3 (7)
C2-N1 (°)2.4713 (7)1.344 (4)1.36 (1)
C2-N2 (°)--1.352 (4)1.359 (9)
Table 7. Selected geometric parameters for 3537.
Table 7. Selected geometric parameters for 3537.
Parameter353636b37
Re1-Re1b (Å)2.9873 (3)2.9661 (4)2.9578 (4)2.972 (4)
S1-Re1 (Å)2.4493 (11)2.4550 (11)2.4632 (11)2.4586 (13)
S1b-Re1b (Å)2.4614 (12)------
S1-C1 (Å)1.683 (5)1.682 (3)1.679 (3)1.680 (3)
S1b-C1 (Å)1.676 (5)------
S-C-S (°)130.5 (3)129.3129.6131.5
CS2^CN2 (°)73.8257.4657.0178.77
C2-N1 (°)1.342 (5)1.344 (5)1.350 (5)1.343 (5)
C2-N1b (°)1.343 (5)------
Table 8. Selected geometric parameters for 38–38b.
Table 8. Selected geometric parameters for 38–38b.
Parameter3838bParameter3838b
S1-Cu1 (Å)2.2080 (15)2.2025 (16)SCS^Cu1Cu1b (°)130.2 (3)129.6 (3)
S2-Cu1b (Å)2.2068 (15)2.2205 (16)SCSb^Cu1Cu1b (°)129.8 (3)--
S1b-Cu1 (Å)2.2031 (15)--CS2^CN2 (°)80.8584.12
S2b-Cu1b (Å)2.2106 (16)--CS2b^CN2b (°)77.75--
S1-C1 (Å)1.670 (5)1.674 (5)C2-N1 (°)1.331 (7)1.345 (7)
S2-C1 (Å)1.666 (5)1.661 (6)C2-N2 (°)1.346 (6)1.348 (7)
S1b-C1b (Å)1.672 (6)--C2b-N1b (°)1.341 (7)--
S2b-C1b (Å)1.663 (6)--C2b-N2b (°)1.348 (7)--
Table 9. Selected geometric parameters for 39.
Table 9. Selected geometric parameters for 39.
Parameter39Parameter39
Cu1-Cu2 (Å)2.6608 (13)S7-C7 (Å)1.671 (4)
Cu2-Cu3 (Å)2.6221 (11)S8-C7 (Å)1.665 (4)
Cu1-Cu3 (Å)3.191 (14)S9-C9 (Å)1.667 (4)
S1-C1 (Å)1.660 (4)S10-C9 (Å)1.685 (4)
S2-C1 (Å)1.673 (4)S1-C1-S2 (°)128.2 (2)
S3-C3 (Å)1.664 (4)S3-C3-S4 (°)133.0 (2)
S4-C3 (Å)1.679 (4)S5-C5-S6 (°)132.4 (2)
S5-C5 (Å)1.688 (4)S7-C7-S8 (°)128.6 (2)
S6-C5 (Å)1.6664 (4)S9-C9-S10 (°)132.6 (2)
Table 10. Selected geometric parameters for 40.
Table 10. Selected geometric parameters for 40.
Parameter40Parameter40
Cu1-Cu2 (Å)2.5868 (5)N2-C2 (Å)1.321 (3)
Cu1-Cu1′ (Å)3.2364 (5)N3-C4 (Å)1.319 (3)
S1-C1 (Å)1.674 (3)N4-C4 (Å)1.314 (3)
S2-C1 (Å)1.677 (3)S1-C1-S2 (°)134.07 (17)
S3-C3 (Å)1.675 (3)S3-C3-S4 (°)131.99 (15)
S4-C3 (Å)1.674 (3)N1C2N2^S1C1S2 (°)85.00 (7)
N1-C2 (Å)1.316 (3)N3C4N5^S3C4S4 (°)89.03 (9)
Disclaimer/Publisher’s Note: The statements, opinions and data contained in all publications are solely those of the individual author(s) and contributor(s) and not of MDPI and/or the editor(s). MDPI and/or the editor(s) disclaim responsibility for any injury to people or property resulting from any ideas, methods, instructions or products referred to in the content.

Share and Cite

MDPI and ACS Style

Elorriaga, D.; Parra-Cadenas, B.; Pérez-Ramos, P.; Soengas, R.G.; Carrillo-Hermosilla, F.; Rodríguez-Solla, H. Imidazol(in)ium-2-Thiocarboxylate Zwitterion Ligands: Structural Aspects in Coordination Complexes. Crystals 2023, 13, 1304. https://doi.org/10.3390/cryst13091304

AMA Style

Elorriaga D, Parra-Cadenas B, Pérez-Ramos P, Soengas RG, Carrillo-Hermosilla F, Rodríguez-Solla H. Imidazol(in)ium-2-Thiocarboxylate Zwitterion Ligands: Structural Aspects in Coordination Complexes. Crystals. 2023; 13(9):1304. https://doi.org/10.3390/cryst13091304

Chicago/Turabian Style

Elorriaga, David, Blanca Parra-Cadenas, Paula Pérez-Ramos, Raquel G. Soengas, Fernando Carrillo-Hermosilla, and Humberto Rodríguez-Solla. 2023. "Imidazol(in)ium-2-Thiocarboxylate Zwitterion Ligands: Structural Aspects in Coordination Complexes" Crystals 13, no. 9: 1304. https://doi.org/10.3390/cryst13091304

APA Style

Elorriaga, D., Parra-Cadenas, B., Pérez-Ramos, P., Soengas, R. G., Carrillo-Hermosilla, F., & Rodríguez-Solla, H. (2023). Imidazol(in)ium-2-Thiocarboxylate Zwitterion Ligands: Structural Aspects in Coordination Complexes. Crystals, 13(9), 1304. https://doi.org/10.3390/cryst13091304

Note that from the first issue of 2016, this journal uses article numbers instead of page numbers. See further details here.

Article Metrics

Back to TopTop