Catalyst-Free Synthesis of Novel 4-(Benzofuran-2-yl)-N-phenylthiazol-2(3H)-imines, Crystal Structure Elucidation, and the Effect of Phenyl Substitution on Crystal Packing
Abstract
1. Introduction
2. Materials and Methods
2.1. General
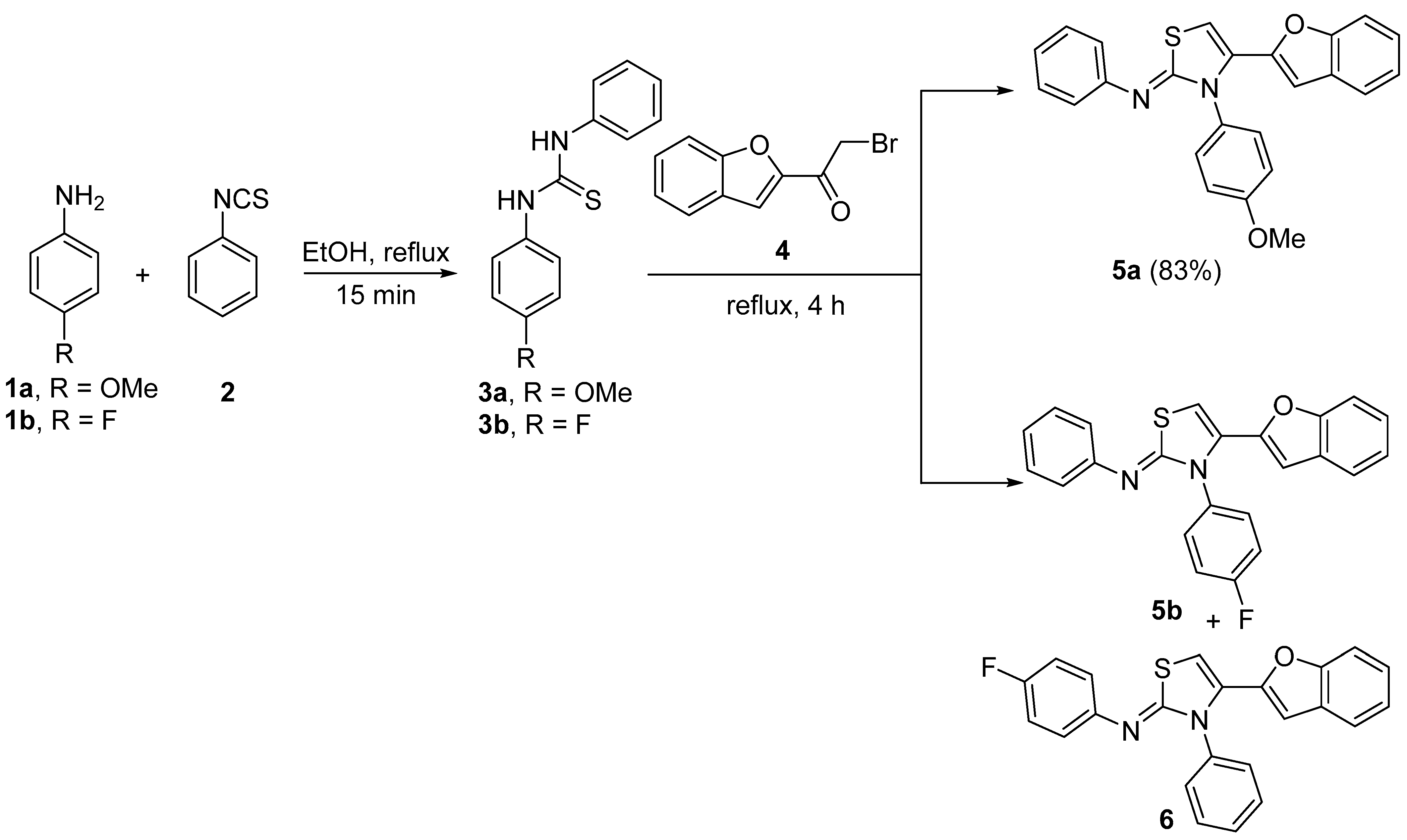
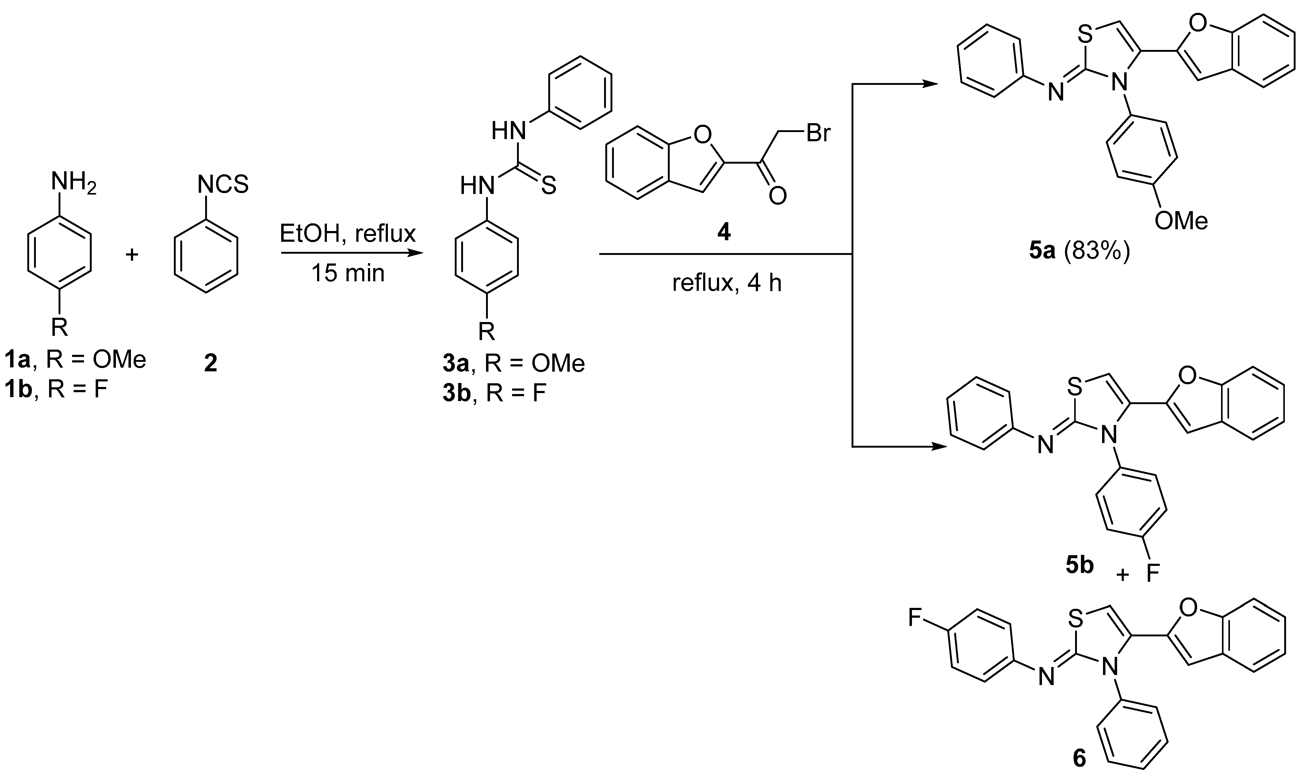
2.2. Synthesis of 4-(Benzofuran-2-yl)-N-phenylthiazol-2(3H)-imines 5a and a Mixture of 5b and 6
2.2.1. 4-(Benzofuran-2-yl)-3-(4-methoxyphenyl)-N-phenylthiazol-2(3H)-imine (5a)
2.2.2. 4-(Benzofuran-2-yl)-3-(4-fluorophenyl)-N-phenylthiazol-2(3H)-imine (5b) and 4-(Benzofuran-2-yl)-N-(4-fluorophenyl)-3-phenylthiazol-2(3H)-imine (6)
2.3. X-ray Crystal Structure
2.4. Electrostatic Potentials and Hirshfeld Surface Calculations
3. Results and Discussion
3.1. Synthesis of 5 and 6
3.2. IR and NMR Spectroscopy of 5 and 6
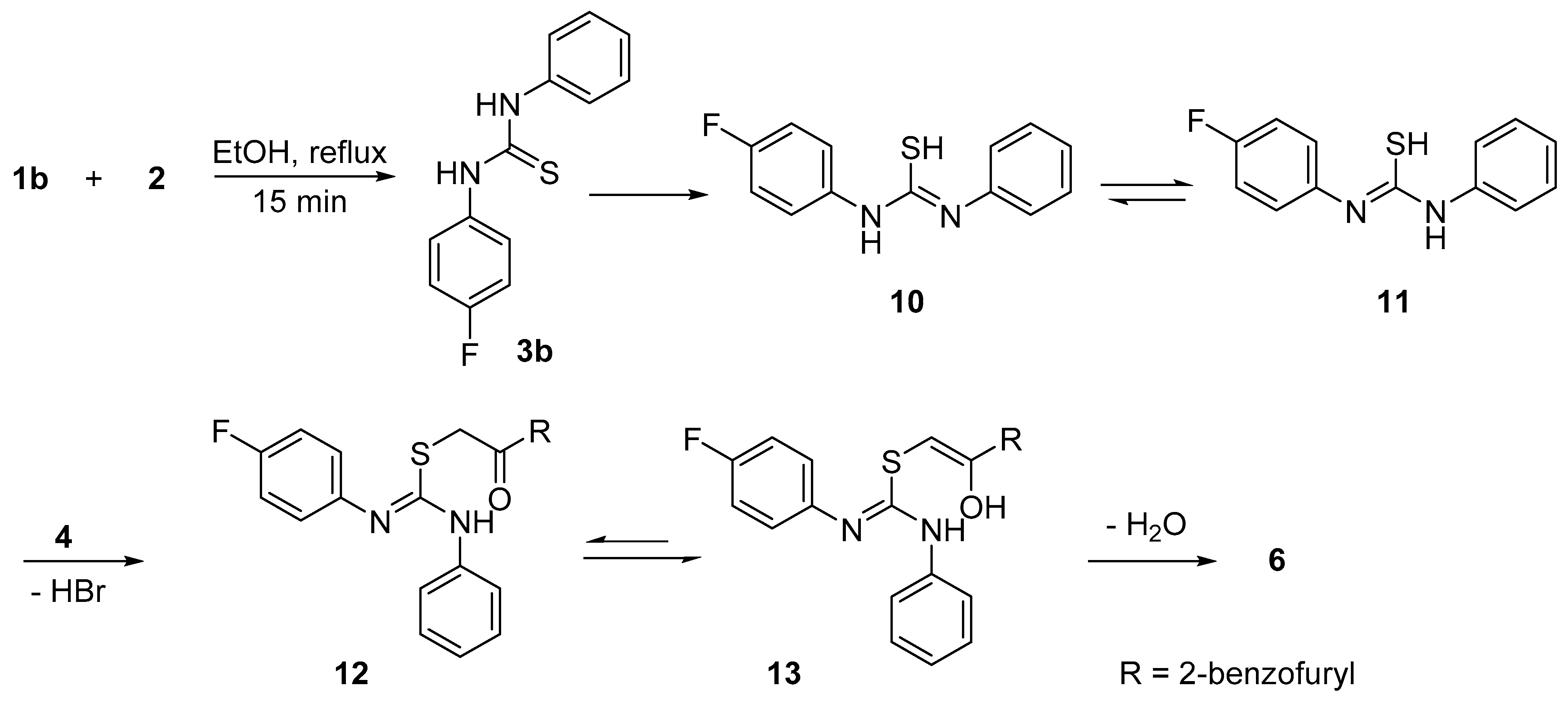
3.3. Proposed Mechanisms for the Formation of 5 and 6
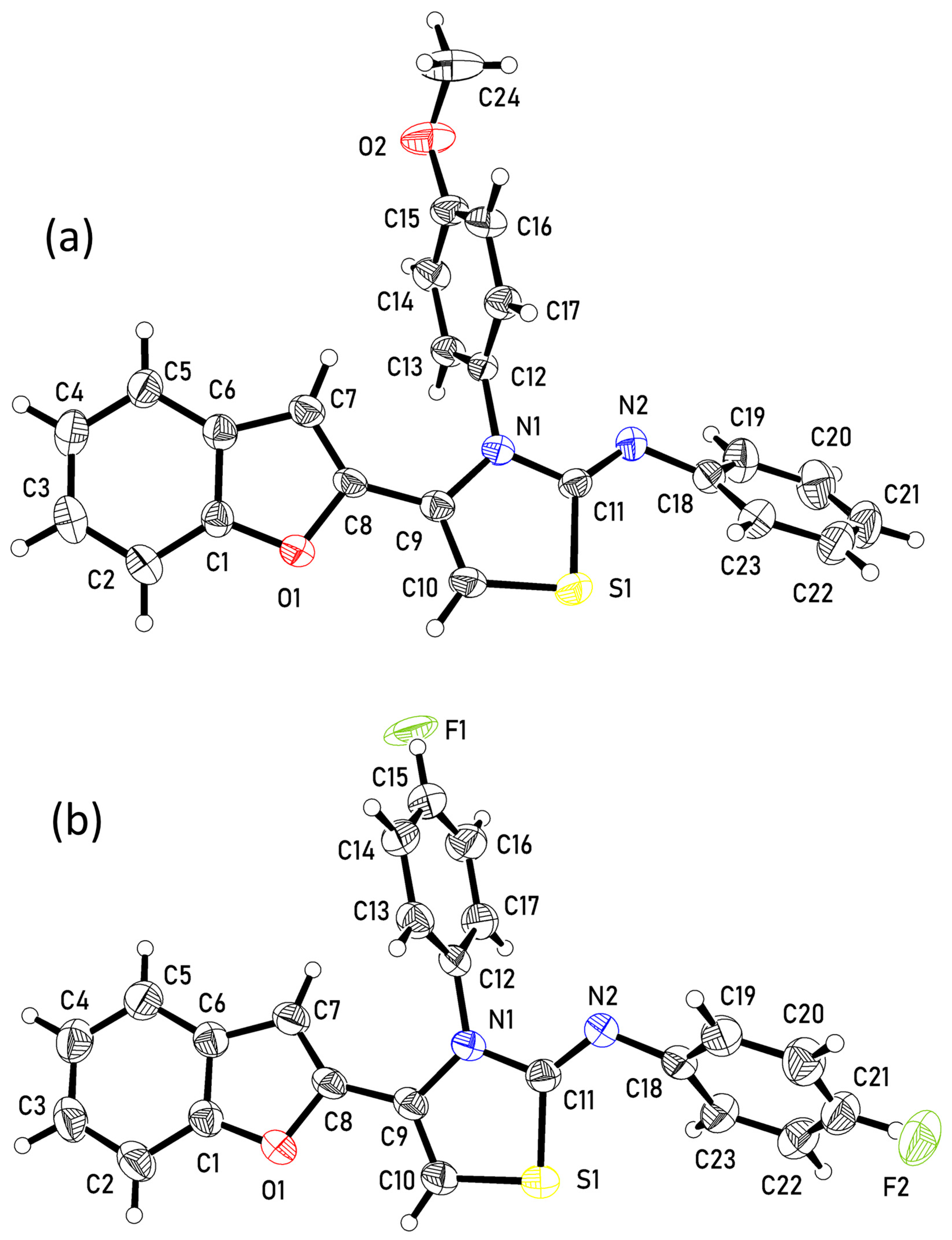
3.4. X-ray Crystal Structures
3.4.1. Crystal Structure of 5a
3.4.2. Structure of the Mixed Crystal of 5b and 6
3.4.3. Comparison of Crystal Packing
4. Conclusions
Supplementary Materials
Author Contributions
Funding
Data Availability Statement
Acknowledgments
Conflicts of Interest
References
- Kerru, N.; Gummidi, L.; Maddila, S.; Gangu, K.K.; Jonnalagadda, S.B. A review on recent advances in nitrogen-containing molecules and their biological applications. Molecules 2020, 25, 1909. [Google Scholar] [CrossRef] [PubMed]
- Kabir, E.; Monir Uzzaman, M. A review on the biological and medicinal impact of heterocyclic compounds. Results Chem. 2022, 4, 100606. [Google Scholar] [CrossRef]
- Amin, A.; Qadir, T.; Sharma, P.K.; Jeelani, I.; Abe, H. A review on the medicinal and industrial applications of N-containing heterocycles. Open Med. Chem. J. 2022, 16, 1–27. [Google Scholar] [CrossRef]
- Jampilek, J. Heterocycles in medicinal chemistry. Molecules 2019, 24, 3839. [Google Scholar] [CrossRef] [PubMed]
- Szumilak, M.; Stanczak, A. Cinnoline scaffold-A molecular heart of medicinal chemistry? Molecules 2019, 24, 2271. [Google Scholar] [CrossRef]
- Kalaria, P.N.; Karad, S.C.; Raval, D.K. A review on diverse heterocyclic compounds as the privileged scaffold in antimalarial drug discovery. Eur. J. Med. Chem. 2018, 158, 917–936. [Google Scholar] [CrossRef] [PubMed]
- Kerru, N.; Bhaskaruni, S.V.H.S.; Gummidi, L.; Maddila, S.N.; Maddila, S.; Jonnalagadda, S.B. Recent advances in heterogeneous catalysts for the synthesis of imidazole derivatives. Synth. Commun. 2019, 49, 2437–2459. [Google Scholar] [CrossRef]
- Kerru, N.; Singh, P.; Koorbanally, N.; Raj, R.; Kumar, V. Recent advances (2015–2016) in anticancer hybrids. Eur. J. Med. Chem. 2017, 142, 179–212. [Google Scholar] [CrossRef]
- Heravi, M.M.; Zadsirjan, V. Prescribed drugs containing nitrogen heterocycles: An overview. RSC Adv. 2020, 10, 44247–44311. [Google Scholar] [CrossRef]
- Bellotti, P.; Koy, M.; Hopkinson, M.N.; Glorius, F. Recent advances in the chemistry and applications of N-heterocyclic carbenes. Nat. Rev. Chem. 2021, 5, 711–725. [Google Scholar] [CrossRef]
- Kerru, N.; Maddila, S.; Jonnalagadda, S.B. Design of carbon–carbon and carbon–heteroatom bond formation reactions under green conditions. Curr. Org. Chem. 2019, 23, 3156–3192. [Google Scholar] [CrossRef]
- Zarate, D.Z.; Aguilar, R.; Hernandez-Benitez, R.I.; Labarrios, E.M.; Delgado, F.; Tamariz, J. Synthesis of α-ketols by functionalization of captodative alkenes and divergent preparation of heterocycles and natural products. Tetrahedron 2015, 71, 6961–6978. [Google Scholar] [CrossRef]
- Eftekhari-Sis, B.; Zirak, M.; Akbari, A. Arylglyoxals in synthesis of heterocyclic compounds. Chem. Rev. 2013, 113, 2958–3043. [Google Scholar] [CrossRef] [PubMed]
- Chhabria, M.T.; Patel, S.; Modi, P.; Brahmkshatriya, P.S. Thiazole: A review on chemistry, synthesis and therapeutic importance of its derivatives. Curr. Top. Med. Chem. 2016, 16, 2841–2862. [Google Scholar] [CrossRef] [PubMed]
- Nayak, S.; Gaonkar, S.L. A review on recent synthetic strategies and pharmacological importance of 1,3-thiazole derivatives. Mini-Rev. Med. Chem. 2019, 19, 215–238. [Google Scholar] [CrossRef]
- Pawar, S.; Kumar, K.; Gupta, M.K.; Rawal, R.K. Synthetic and medicinal perspective of fused-thiazoles as anticancer agents. Anticancer Agents Med. Chem. 2021, 21, 1379–1402. [Google Scholar] [CrossRef] [PubMed]
- Heravi, M.M.; Moghimi, S. An efficient synthesis of thiazol-2-imine derivatives via a one-pot, three-component reaction. Tetrahedron Lett. 2012, 53, 392–394. [Google Scholar] [CrossRef]
- Nasiri, F.; Sabahi-Agabager, L. Efficient one-pot synthesis of thiazol-2-imine derivatives through regioselective reaction between primary amines, phenylisothiocyanate, and α-chloroacetaldehyde. Comb. Chem. High Throughput Screen. 2017, 20, 35–40. [Google Scholar] [CrossRef]
- Singh, C.B.; Murru, S.; Kavala, V.; Patel, B.K. 3-Aryl-1-benzoylthioureas with a-bromoketones in water form 2-N-benzoyl-3-arylthiazol-2(3H)-imines, not 3-aryl-1-benzoylimidazoline-2-thiones. J. Chem. Res. 2007, 2007, 136–137. [Google Scholar] [CrossRef]
- Dai, H.; Liu, J.; Zhang, X.; Yu, H.; Qin, X.; Qin, Z.; Wang, T.; Fang, J. Synthesis and biological activities of novel imine derivatives containing 2-substituted-1,3-thiazolidine and thiazole rings. Chin. J. Org. Chem. 2009, 29, 123–127. [Google Scholar]
- Ramachandran, S.; Cheriyan, B.V.; Aanandhi, M.V. Activities of thiazolidine-4-one and azetidine-2-one derivatives—A review. Res. J. Pharm. Tech. 2021, 14, 4513–4516. [Google Scholar] [CrossRef]
- Kumar, R.; Shuklab, A.; Tyagi, D.S. Synthesis of bioactive azetidinones of 4-phenyl-1,3-thiazole-2-amine. Chem. Sci. Trans. 2013, 2, 1518–1522. [Google Scholar] [CrossRef]
- Yu, H.; Shao, L.; Fang, J. Synthesis and biological activity research of novel ferrocenyl-containing thiazole imine derivatives. J. Organomet. Chem. 2007, 692, 991–996. [Google Scholar] [CrossRef]
- Sharma, P.C.; Bansal, K.K.; Sharma, A.; Sharma, D.; Deep, A. Thiazole-containing compounds as therapeutic targets for cancer therapy. Eur. J. Med. Chem. 2020, 188, 112016. [Google Scholar] [CrossRef]
- Petrou, A.; Fesatidou, M.; Geronikaki, A. Thiazole ring-a biologically active scaffold. Molecules 2021, 26, 3166. [Google Scholar] [CrossRef]
- Arshad, M.F.; Alam, A.; Alshammari, A.A.; Alhazza, M.B.; Alzimam, I.M.; Alam, M.A.; Mustafa, G.; Ansari, M.S.; Alotaibi, A.M.; Alotaibi, A.A.; et al. Thiazole: A versatile standalone moiety contributing to the development of various drugs and biologically active agents. Molecules 2022, 27, 3994. [Google Scholar] [CrossRef]
- Miao, Y.H.; Hu, Y.-H.; Yang, J.; Liu, T.; Sun, J.; Wang, X.-J. Natural source, bioactivity and synthesis of benzofuran derivatives. RSC Adv. 2019, 9, 27510–27540. [Google Scholar] [CrossRef]
- Khanam, H.; Shamsuzzaman. Bioactive Benzofuran derivatives: A review. Eur. J. Med. Chem. 2015, 97, 483–504. [Google Scholar] [CrossRef]
- Metwally, M.A.; Abdel-Wahab, B.F.; El-Hiti, G.A. 2-Acetylbenzofurans: Synthesis, reactions and applications. Curr. Org. Chem. 2010, 14, 48–64. [Google Scholar] [CrossRef]
- Nevagi, R.J.; Dighe, S.N.; Dighe, S.N. Biological and medicinal significance of benzofuran. Eur. J. Med. Chem. 2015, 97, 561–581. [Google Scholar] [CrossRef]
- Abdel-Wahab, B.F.; Abdel-Aziz, H.A.; Ahmed, E.M. Convenient synthesis and antimicrobial activity of new 3-substituted 5-(benzofuran-2-yl)-pyrazole derivatives. Arch. Pharm. 2008, 341, 734–739. [Google Scholar] [CrossRef] [PubMed]
- Abdel-Wahab, B.F.; Abdel-Aziz, H.A.; Ahmed, E.M. Synthesis and antimicrobial evaluation of 1-(benzofuran-2-yl)-4-nitro-3-arylbutan-1-ones and 3-(benzofuran-2-yl)-4,5-dihydro-5-aryl-1-[4-(aryl)-1,3-thiazol-2-yl]-1H-pyrazoles. Eur. J. Med. Chem. 2009, 44, 2632–2635. [Google Scholar] [CrossRef] [PubMed]
- Baashen, M.A.; Abdel-Wahab, B.F.; El-Hiti, G.A. A simple procedure for the synthesis of novel 3-(benzofur-2-yl)pyrazole-based heterocycles. Chem. Pap. 2017, 71, 2159–2166. [Google Scholar] [CrossRef]
- Pirouz, M.; Abaee, M.S.; Harris, P.; Mojtahedi, M.M. One-pot synthesis of benzofurans via heteroannulation of benzoquinones. Synth. Commun. 2021, 27, 24–31. [Google Scholar] [CrossRef]
- Zhu, X.-R.; Deng, C.-L. Nickel-catalyzed intramolecular nucleophilic addition of aryl halides to aryl ketones for the synthesis of benzofuran derivatives. Synthesis 2021, 53, 1842–1848. [Google Scholar] [CrossRef]
- Abdel-Wahab, B.F.; Bekheit, M.S.; Kariuki, B.M.; El-Hiti, G.A. (E)-N’-(1-(Benzofuran-2-yl)ethylidene)-1-(4-methoxyphenyl)-5-methyl-1H-1,2,3-triazole-4-carbohydrazide. Molbank 2023, 2023, M1657. [Google Scholar] [CrossRef]
- El-Hiti, G.A.; Abdel-Wahab, B.F.; Baashen, M.; Ghabbour, H.A.; Alruqi, O.S. Crystal structure of 3-(benzofuran-2-yl)-5-(4-fluorophenyl)-4,5-dihydro-1H-pyrazole-1-carbothioamide, C18H14FN3OS. Z. Kristallogr. New Cryst. Struct. 2016, 231, 887–888. [Google Scholar] [CrossRef]
- El-Hiti, G.A.; Abdel-Wahab, B.F.; Hegazy, A.S.; Ajarim, M.D.; Kariuki, B.M. Crystal structure of 4-(benzofuran-2-yl)-2-(3-(4-fluorophenyl)-3,3a,4,5-tetrahydro-2H-benzo[g]indazol-2-yl)thiazole, C28H20FN3OS. Z. Kristallogr. New Cryst. Struct. 2016, 231, 1171–1173. [Google Scholar] [CrossRef]
- Kariuki, B.M.; Abdel-Wahab, B.F.; Bekheit, M.S.; El-Hiti, G.A. Intermolecular interactions of 3,5-bis(4-methoxyphenyl)-4,5-dihydro-1H-pyrazole-1-carbothioamide in a cocrystal with 1,3-bis(4-methoxyphenyl)prop-2-en-1-one and dimethylformamide solvate. Crystals 2022, 12, 663. [Google Scholar] [CrossRef]
- Desiraju, G.R.; Vittal, J.J.; Ramanan, A. Crystal Engineering: A Textbook; IISc Press, World Scientific: Singapore, 2011. [Google Scholar]
- Anthony, A.; Desiraju, G.R.; Jetti, R.K.R.; Kuduva, S.S.; Madhavi, N.N.L.; Nangia, A.; Thaimattam, R.; Thalladi, V.R. Crystal engineering: Some further strategies. Cryst. Eng. 1998, 1, 1–18. [Google Scholar] [CrossRef]
- Braga, D. Crystal engineering, Where from? Where to? Chem. Commun. 2003, 22, 2751–2754. [Google Scholar] [CrossRef] [PubMed]
- Kitaigorodskii, A. The principle of close packing and the condition of thermodynamic stability of organic crystals. Acta Crystallogr. 1965, 18, 585–590. [Google Scholar] [CrossRef]
- Steiner, T. Reviews: The hydrogen bond in the solid state. Angew. Chem. Int. Ed. 2002, 41, 48–76. [Google Scholar] [CrossRef]
- Nishio, M.; Umezawa, Y.; Fantini, J.; Weiss, M.S.; Chakrabarti, P. CH–π hydrogen bonds in biological macromolecules. Phys. Chem. Chem. Phys. 2014, 16, 12648–12683. [Google Scholar] [CrossRef] [PubMed]
- Thakuria, R.; Nath, N.K.; Saha, B.K. The Nature and Applications of π–π Interactions: A Perspective. Cryst. Growth Des. 2019, 19, 523–528. [Google Scholar] [CrossRef]
- Shriner, R.L.; Anderson, J. Derivatives of coumaran. VI. Reduction of 2-acetobenzofuran and its derivatives. J. Am. Chem. Soc. 1939, 61, 2705–2708. [Google Scholar] [CrossRef]
- Sheldrick, G.M. A short history of SHELX. Acta Cryst. 2008, A64, 112–122. [Google Scholar] [CrossRef] [PubMed]
- Sheldrick, G.M. Crystal structure refinement with SHELXL. Acta Cryst. 2008, C71, 3–8. [Google Scholar] [CrossRef]
- Hanwell, M.D.; Curtis, D.E.; Lonie, D.C.; Vandermeersch, T.; Zurek, E.; Hutchison, G.R. Avogadro: An advanced semantic chemical editor, visualization, and analysis platform. J. Cheminform. 2012, 4, 17. [Google Scholar] [CrossRef]
- Barca, G.M.J.; Bertoni, C.; Carrington, L.; Datta, D.; De Silva, N.; Deustua, J.E.; Fedorov, D.G.; Gour, J.R.; Gunina, A.O.; Guidez, E.; et al. Recent developments in the general atomic and molecular electronic structure system. J. Chem. Phys. 2020, 152, 154102. [Google Scholar] [CrossRef]
- Bode, B.M.; Gordon, M.S. Macmolplt: A graphical user interface for GAMESS. J. Mol. Graph. Model. 1998, 16, 133–138. [Google Scholar] [CrossRef] [PubMed]
- Spackman, P.R.; Turner, M.J.; McKinnon, J.J.; Wolff, S.K.; Grimwood, D.J.; Jayatilaka, D.; Spackman, M.A. CrystalExplorer: A program for Hirshfeld surface analysis, visualization and quantitative analysis of molecular crystals. J. Appl. Crystallogr. 2021, 54, 1006–1011. [Google Scholar] [CrossRef] [PubMed]
- Ali, S.H.; Sayed, A.R. Review of the synthesis and biological activity of thiazoles. Synth. Commun. 2021, 51, 670–700. [Google Scholar] [CrossRef]
- Byers, J.R.; Dickey, J.B. 2-Amino-4-methylthiazole. Org. Synth. 1939, 19, 10. [Google Scholar] [CrossRef]
- Schwarz, G. 2,4-Dimethylthiazole. Org. Synth. 1945, 25, 35. [Google Scholar] [CrossRef]
- Sheldrake, P.W.; Matteucci, M.; McDonald, E. Facile generation of a library of 5-aryl-2-arylsulfonyl-1,3-thiazoles. Synlett 2006, 460–462. [Google Scholar] [CrossRef]
- Tang, X.; Yang, J.; Zhu, Z.; Zheng, M.; Wu, W.; Jiang, H. Access to thiazole via copper-catalyzed [3+1+1]-type condensation reaction under redox-neutral conditions. J. Org. Chem. 2016, 81, 11461–11466. [Google Scholar] [CrossRef] [PubMed]
- Wang, X.; Qiu, X.; Wei, J.; Liu, J.; Song, S.; Wang, W.; Jiao, N. Cu-Catalyzed aerobic oxidative sulfuration/annulation approach to thiazoles via multiple Csp3-H bond cleavage. Org. Lett. 2018, 20, 2632–2636. [Google Scholar] [CrossRef]
- Lingaraju, G.S.; Swaroop, T.R.; Vinayaka, A.C.; Kumar, K.S.S.; Sadashiva, M.P.; Ragappa, K.S. An easy access to 4,5-disubstituted thiazoles via base-induced click reaction of active methylene isocyanides with methyl dithiocarboxylates. Synthesis 2012, 44, 1373–1379. [Google Scholar] [CrossRef]
- Abdelfattah, A.M.; Sanad, S.M.H.; Ahmed, E.M.; Mekky, A.E.M. Regioselective synthesis and antibacterial screening of new thiazol-2(3H)-imines linked to arene or chromene units. Synth. Commun. 2023, 53, 1398–1411. [Google Scholar] [CrossRef]
- Chakraborty, S.; Desiraju, G.R. C–H···F Hydrogen bonds in solid solutions of benzoic acid and 4-fluorobenzoic acid. Cryst. Growth Des. 2018, 18, 3607–3615. [Google Scholar] [CrossRef]









| Identification Code | 5a | 5b/6 |
|---|---|---|
| Empirical formula | C24H18N2O2S | C23H15FN2OS |
| Formula weight | 398.46 | 386.43 |
| T (K) | 296(2) | 293(2) |
| λ Å | 0.71073 | 0.71073 |
| Crystal system | Orthorhombic | Monoclinic |
| Space group | P212121 | P21/c |
| a (Å) | 5.5731(5) | 10.6289(9) |
| b (Å) | 10.2520(9) | 5.6010(3) |
| c (Å) | 34.307(3) | 30.567(2) |
| α (°) | 90 | 90 |
| β (°) | 90 | 95.645(7) |
| γ (°) | 90 | 90 |
| Volume (Å3) | 1960.1(3) | 1810.9(2) |
| Z | 4 | 4 |
| Density (calculated) (Mg/m3) | 1.350 | 1.417 |
| Absorption coefficient (mm–1) | 0.188 | 0.205 |
| Crystal size (mm3) | 0.392 × 0.090 × 0.049 | 0.550 × 0.130 × 0.070 |
| Reflections collected | 16,408 | 15,447 |
| Independent reflections | 4878 | 4636 |
| R(int) | 0.0497 | 0.0539 |
| Parameters | 263 | 264 |
| Goodness-of-fit on F2 | 1.055 | 1.059 |
| R1 [I > 2σ(I)] | 0.050 | 0.0584 |
| wR2 [I > 2σ(I)] | 0.0988 | 0.1076 |
| R1 | 0.0843 | 0.1354 |
| wR2 | 0.1143 | 0.1410 |
| Largest diff. peak and hole (e.Å−3) | 0.195 and −0.214 | 0.206 and −0.255 |
| A/B | B/C | B/D | |
|---|---|---|---|
| 5a | 16.98(16) | 77.82(1) | 49.55(12) |
| 5b/6 | 17.55(12) | 77.45(8) | 54.51(8) |
| D···A | D–H···A | ||
|---|---|---|---|
| 5a | C13–H13···N2 | 3.523(5) | 162.8 |
| C10–H10···O1 | 3.280(4) | 120.0 | |
| C19–H19···O2 | 3.398(5) | 136.3 | |
| 5b/6 | C13–H13···N2 | 3.634(3) | 167.4 |
| C10–H10···O1 | 3.261(3) | 117.2 | |
| C7–H7···F2 | 3.392(4) | 142.7 | |
| C19–H19···F1 | 3.192(6) | 156.1 | |
| C2–H2···S1 | 3.812(3) | 123.0 |
Disclaimer/Publisher’s Note: The statements, opinions and data contained in all publications are solely those of the individual author(s) and contributor(s) and not of MDPI and/or the editor(s). MDPI and/or the editor(s) disclaim responsibility for any injury to people or property resulting from any ideas, methods, instructions or products referred to in the content. |
© 2023 by the authors. Licensee MDPI, Basel, Switzerland. This article is an open access article distributed under the terms and conditions of the Creative Commons Attribution (CC BY) license (https://creativecommons.org/licenses/by/4.0/).
Share and Cite
Abdel-Wahab, B.F.; Kariuki, B.M.; Mohamed, H.A.; El-Hiti, G.A. Catalyst-Free Synthesis of Novel 4-(Benzofuran-2-yl)-N-phenylthiazol-2(3H)-imines, Crystal Structure Elucidation, and the Effect of Phenyl Substitution on Crystal Packing. Crystals 2023, 13, 1239. https://doi.org/10.3390/cryst13081239
Abdel-Wahab BF, Kariuki BM, Mohamed HA, El-Hiti GA. Catalyst-Free Synthesis of Novel 4-(Benzofuran-2-yl)-N-phenylthiazol-2(3H)-imines, Crystal Structure Elucidation, and the Effect of Phenyl Substitution on Crystal Packing. Crystals. 2023; 13(8):1239. https://doi.org/10.3390/cryst13081239
Chicago/Turabian StyleAbdel-Wahab, Bakr F., Benson M. Kariuki, Hanan A. Mohamed, and Gamal A. El-Hiti. 2023. "Catalyst-Free Synthesis of Novel 4-(Benzofuran-2-yl)-N-phenylthiazol-2(3H)-imines, Crystal Structure Elucidation, and the Effect of Phenyl Substitution on Crystal Packing" Crystals 13, no. 8: 1239. https://doi.org/10.3390/cryst13081239
APA StyleAbdel-Wahab, B. F., Kariuki, B. M., Mohamed, H. A., & El-Hiti, G. A. (2023). Catalyst-Free Synthesis of Novel 4-(Benzofuran-2-yl)-N-phenylthiazol-2(3H)-imines, Crystal Structure Elucidation, and the Effect of Phenyl Substitution on Crystal Packing. Crystals, 13(8), 1239. https://doi.org/10.3390/cryst13081239

