Abstract
This paper studied the structural and luminescent characteristics of undoped and doped-with-Tb3+-ions ZnO films of 200 nm and 600 nm thicknesses, grown via RF magnetron sputtering on (100) silicon substrate in Ar and Ar-O2 plasma. X-ray diffraction (XRD) patterns revealed a strong preferred orientation of ZnO and ZnO:Tb crystals of the wurtzite structure along the c-axis, perpendicular to the substrate. In the as-deposited ZnO:Tb films, the additional crystal phases, namely, Tb2O3, TbO2, and an amorphous phase, were revealed. The as-deposited undoped films were under tensile strain, that increased in the doped films. This proved the incorporation of the Tb3+ ions into the ZnO grains, and agreed with the Raman spectra investigation. The XRD data and atomic force microscopy study showed that Tb doping impeded the growth of grains and columns, respectively. The photoluminescence (PL) spectra of the doped films contained the UV band ascribed to exciton PL, a broad intrinsic defect-related band, and the narrow bands caused by the intra-shell transitions of the Tb3+ ions. Terbium doping suppressed ZnO emissions. The post-deposition rapid thermal annealing at up to 800 °C of both the undoped and doped films promoted tensile strain relaxation, grain growth, improvement in the ZnO crystal structure, and an increase in the exciton PL. The intensity of the Tb3+ PL changed non-monotonically, and was the highest for the film annealed at 600 °C. The conventional thermal annealing promoted the non-monotonic changes in the strains and grain sizes in such a way that, after annealing at 900 °C, their values became the same as in the as-deposited ZnO:Tb film. This structural change was accompanied by a decrease in the exciton and Tb3+ PL intensity. The formation of the Zn2SiO4 phase was observed via XRD, and confirmed via scanning electron microscopy. It was attributed to the interdiffusion through the film/substrate interface. The deposition in the Ar-O2 atmosphere is found to be more preferable for the formation of Tb3+ emission centers in the ZnO matrix.
1. Introduction
Zinc oxide (ZnO) is a wide and direct band gap semiconductor (Eg = 3.37 eV at 300 K) which has a high transparency in the visible light spectrum range, and a large exciton binding energy of about 60 meV [1]. It also demonstrates n-type conductivity, which can be modulated by appropriate doping and thermal annealing, a high electron mobility, and large piezoelectric constants, as well as a good thermal conductivity, and a high thermal, chemical, and mechanical stability. All these properties make ZnO attractive for potential applications in electronics, optoelectronics, photonics, solar cells, photocatalysis, sensing, etc. [1,2,3]. ZnO is a low-cost and abundant natural metal oxide, biocompatible, biodegradable, and low-toxic. ZnO-nanostructured materials of different dimensions and shapes, which show good charge carrier transport, and desired optical properties, as well as a high crystalline quality, can be relatively easily synthesized [1,3]. ZnO thin films continue to attract research interest for a wide variety of applications, in transparent conductive contacts and thin film transistors, solar cells, surface electro–acoustic wave devices, UV photodetectors, thin-film gas and bio-sensors, light emitting diodes (LEDs), high-power lasers, etc. [2,3,4,5,6]. ZnO thin films exhibit strong emissions in the UV spectral range, due to exciton recombination, and in the green/yellow spectral region, owing to intrinsic defects, even at room temperature [1]. The doping of ZnO with selective elements has become an important route for the tuning and improvement of its structural, optical, and electrical characteristics, which are usually crucial for various applications [7,8,9,10].
Rare earth (RE) doping of wide-band-gap materials is often used to achieve efficient, controllable, and stable optical emissions in a specific spectral range. ZnO, as the host material doped with different RE elements, attracts great interest for its possible application in emitting phosphors in the visible spectrum [1,11]. White light emission can be obtained for ZnO doped with RE, as the contribution of intrinsic defects created in the matrix of ZnO, and the emission of rare earth, owing to their special 4f intra-shell transitions [11]. However, the incorporation of RE3+ ions into the Zn2+ site is not favorable, due to a large difference in the ionic radius, and the different charge state. At once, the optical properties of the ZnO doped with RE depend on the rare earth element as the dopant, its concentration, the crystal microstructure, and the growth process [11]. Terbium is one of several RE elements, and Tb3+ ions exhibit emission bands in the visible spectral range, due to 5D4 → 7FJ (J = 3, 4, 5, 6) transitions. ZnO doped with Tb (ZnO:Tb3+) is assumed to be a new type of green phosphor, with interesting photoluminescence (PL) properties [12,13,14]. The co-doping of ZnO with Tb and Eu ions can also be used for the enhancement of the Eu3+ emission, through the energy transfer from Tb3+ to Eu3+, provided by the spectral overlap of the 5D4 → 7F6 emission of Tb3+, and the 7F0 → 5D2 absorption of Eu3+ [14,15]. Recently, a (Tb, Eu) co-doped ZnO/Si electroluminescent structure was produced via RF magnetron sputtering, and showed very promising results for application in thin film LEDs [16]. Meanwhile, the doping of ZnO films with Tb with a concentration of 0.029 at.% enhanced the UV emission, due to the crystallinity improvement in the film [17]. Several articles focus on the fabrication and characterization of ZnO thin films doped with Tb [13,14,15,16,17,18]. ZnO thin films were deposited using different techniques, such as electrodeposition [19], pulsed laser deposition [20], radio frequency (RF) magnetron sputtering [21,22], spray pyrolysis [23], sol–gel [24], etc.
RF magnetron sputtering offers the possibility to grow the films with well-controlled parameters on substrates of different types and of a large area which, along with the good repeatability of the method, makes it easy to industrialize. Compared to other deposition techniques, RF magnetron sputtering has advantages such as: a low cost, simplicity, the high packing density of the film, good interfacial adhesion with the substrate, and a low operating temperature [1]. RF magnetron sputtering is also one of the most useful techniques for the fabrication of ZnO thin films with various dopants [21,25]. The diverse content of RE ions can be incorporated easily in a ZnO film, and its structural properties can be controlled by changing the sputtering conditions [26,27]. Specifically, it has been found that, through the varying of the nature of the gases used in the deposition process, the concentration of native point defects can be changed, and both the defect-related emission and the electrical conductivity of the film can be tuned [27,28]. Therefore, it can be expected that the growth ambient can also affect the Tb3+ emission intensity in ZnO films. It has been shown that various post-deposition thermal treatments of ZnO films grown by RF magnetron sputtering can improve the PL and structural properties of the films [1,13,22]. The annealing treatment of ZnO:Tb films can also be useful in increasing the Tb3+ emission being limited by the diffusion of RE ions from ZnO grains, and the formation of secondary crystal phases at elevated temperatures [13,22,29]. Although the influence of the atmosphere of the post-deposition thermal treatment on the RE ion emission in ZnO films has been studied [30,31], the effect of the growth ambient on the RE ion PL has hardly been addressed.
In this work, we have studied the structural, morphological, and optical properties of nominally-undoped and doped-with-Tb3+-ions ZnO thin films, with various film thicknesses and dopant concentrations, deposited on monocrystalline Si substrate via RF magnetron sputtering, in different ambients. The effects of rapid and conventional post-deposition thermal treatments at temperatures in the range of 300–900 °C on the film structure and morphology, the formation of the interface between the film and silicon substrate, and the evolution of optical properties are reported. We have used several methods, such as XRD, EDX, AFM, SEM, Raman, and PL for the analysis of the prepared thin films. It is expected that the current research will be a practical roadmap to improving the optical characteristics of RE-ion-doped ZnO structures for various applications.
2. Experimental Details
Undoped and Tb-doped ZnO thin films were grown on (100) silicon substrates via RF magnetron sputtering, using a pure ZnO target, and a ZnO target with Tb4O7 calibrated pellets placed on the surface, respectively. The number of the pellets corresponded to a given concentration of the dopant in the film. The substrate temperature of 100 °C, and the RF power of 100 or 150 W were used. The undoped ZnO and doped ZnO:Tb film with a Tb concentration of about 0.14 at.%, and a thickness of 200 nm, were grown, using Ar-O2 plasma, and the doped ZnO:Tb film with a Tb concentration of about 1.07 at.%, and a thickness of 600 nm, was grown using Ar plasma, respectively. The 5 s post-deposition rapid thermal annealing (RTA) of the films with a thickness of 200 nm was realized at temperatures in the 500–800 °C range, and 1 h conventional thermal annealing (CTA) of the films with a thickness of 600 nm was realized at temperatures in the 300–900 °C range. The annealing was carried out under a continuous nitrogen (N2) flow.
The structural characteristics of the films were investigated via the X-ray diffraction (XRD) method, both using the Panalitycal Xpert PRO MRD diffractometer, equipped with a Goebel Mirror, with the small angular divergence of the incident beam at 0.08 degrees and Cu Kα radiation, and using the Bruker D8 Advance diffractometer, with an Euler cradle in Bragg–Brentano geometry, with the large angular divergence in the incident beam of 0.29 degrees, and non-polarized Co Kα radiation.
Atomic force microscopy (AFM), operated in tapping mode (Veeco DiInnova), was used for the evaluation of the film surface morphology. A scanning electron microscope JSM 7800F, equipped with the EDX JEOL setup, was used to obtain the transversal surface image of the backscattered electron image analysis, for the determination of the film thickness and the chemical characterization of the film, via energy-dispersive X-ray spectroscopy (EDS) microanalysis.
The micro-photoluminescence (PL) and micro-Raman spectra were excited with a 488.0 nm line of an Ar–Kr ion laser, and a 325 nm line of a He–Cd laser, and collected in a quasi-backscattering geometry, using a triple Raman spectrometer Horiba Jobin-Yvon T64000, integrated with the Olympus BX-41 microscope and air-cooled CCD detector. The spectral reflection characteristics of the films in the region of 0.6–5 eV were studied, with the help of a multi-angle spectral ellipsometer SE-2100 from SEMILAB Semiconductor Physics Laboratory Co. Ltd., and analyzed using the software SEA (WinElli 3) 1.7.9. The measurements were carried out at room temperature.
3. Results and Discussion
3.1. Structural and Morphological Properties
The quantitative local chemical analysis of the ZnO:Tb films with thicknesses of 200 nm and 600 nm was carried out using EDS analysis. An EDS spectrum of the ZnO:Tb film with a thickness of about 200 nm is shown in Figure 1.
Figure 1.
EDS spectrum of the doped ZnO:Tb thin film with a thickness of about 200 nm, obtained through 5 keV excitation.
The elemental microanalysis realized in different areas of the films showed that the element distribution somewhat varied. The L-series emission of Zn, the K-series of oxygen, and the M-series of Tb were observed in the X-ray emission spectrum. The Si peaks in the spectrum appeared from the substrate. The evaluated concentration of Tb in the ZnO:Tb film with a thickness of 200 nm varied, in the range from 0.13 at.% to 0.15 at. % while, in the film with the thickness of 600 nm, it varied from 1.12 at. % to 1.02 at.%. The EDS analysis showed that the atomic ratio [Zn]/[O] was not equal to unity. We observed a slight excess of oxygen in the film with a thickness of 200 nm deposited under Ar–O2 plasma, and a slight excess of zinc in the film with a thickness of 600 nm deposited under Ar plasma, as could be expected.
The AFM three-dimensional images of the films (Figure 2) showed that the column-formation mechanism was realized during the RF magnetron sputtering deposition, and that the films consisted of a densely packed agglomeration of small columns, the diameter of which depended on the film type. In the undoped film, deposited using Ar–O2 plasma, the agglomerates were distributed nonuniformly throughout the substrate, and were formed as strips, while in the film doped with Tb, with the same thickness of 200 nm, and grown using the same Ar–O2 plasma, a uniform distribution in the columns was observed. The increase in the thickness and Tb concentration in the film grown using Ar plasma led to the disappearance of the stripes, but the columns were still nonuniformly distributed throughout the substrate. The columns in the undoped ZnO film had the largest diameter, of about 120 nm (Figure 2a), and the smallest diameter (about 50 nm) was found in the ZnO:Tb film with 0.14 at.% Tb (Figure 2b). The columns in the ZnO:Tb films with 1.07 at.% Tb, and a thickness of 600 nm, had the intermediate diameter of about 90 nm (Figure 2c). As the undoped ZnO and doped-ZnO:Tb (with 0.14 at.% Tb) films have the same thickness (200 nm), it can be assumed that Tb-doping inhibits crystal growth, whereas the increase in the column diameter in the film with a thickness of 600 nm can be connected with the increase in the deposition time, or the influence of the atmosphere in which the film was deposited. The estimated value of the root-mean-square roughness (RMS) was the largest in the undoped ZnO film (about 67.3 nm). It decreased considerably in the Tb-doped films, and was about 8.6 nm and 5.7 nm in the films with 0.14 at.% Tb, and 1.07 at.% Tb, respectively.
Figure 2.
AFM images of: the ZnO film with a thickness of 200 nm (a); the ZnO:Tb film with 0.14 at% Tb, and a thickness of 200 nm (b); the ZnO:Tb film with 1.07 at.% Tb, and a thickness of 600 nm (c).
The XRD investigation of the ZnO:Tb film structure was realized using a large angular divergence in the incident beam. Figure 3 shows the XRD patterns for the as-deposited ZnO:Tb film at 150 W RF power, with a thickness of 600 nm, measured at different angular orientations of the sample (phi-rotation and chi-tilt), with respect to the incident beam, using the Euler cradle of the diffractometer. The configuration of the reflection curves obtained in the θ–2θ scan changed, depending on the sample orientation that indicated the spatial distribution of the formed phases. In the low-angle range of the pattern, we can see a wide and intensive scattering curve, with small peaks on it. It should be noted that the XRD pattern of a crystalline material has sharp diffraction peaks, the width of which depends on the grain size and which, in nanosized particles, can reach several degrees [32], while the pattern of a non-crystalline (amorphous) material of the same composition has a continuous hump. So, the wide scattering curve in Figure 3 was produced by the overlapping of the hump from the amorphous phase, and peaks from the nanoparticles of the terbium and zinc oxides phases. It was shown that the sputtered ZnO:Al thin films had an amorphous (at 100 W RF power) or crystalline (at 200 W RF power) structure, depending on the RF power [33]. To identify the phases, according to the small diffraction peaks that could be formed upon deposition, the crystallographic database cards JCPDS for ZnO (00-001-1136), Tb2O3 (00-043-1032), and TbO2 (00-047-1269) were used.
Figure 3.
The XRD patterns for the as-deposited ZnO:Tb film, with a thickness of 600 nm, measured at different angular sample orientations (Co Kα radiation).
At any sample position, only one peak for the 0002 reflection of ZnO:Tb film was observed at 2θ = 39.8 degrees (the peak position for the 0002 reflection of ZnO powder is 2θ = 40.31 degrees) with different intensities. The obtained results indicated that, during the film deposition, the ZnO compound was not completely crystalized, and the crystalline part of the ZnO:Tb film had a hexagonal structure, with a strong crystal-preferred orientation (texture) along the [0001] direction, almost perpendicular to the substrate surface. On the scattering curve, small peaks for the Tb2O3 and Tb2O phases can also be revealed (Figure 3), indicating the incomplete incorporation of Tb into the ZnO crystal lattice. The diffraction peak at about 2θ = 82 degrees appeared for the 400 reflection from the Si substrate, and its intensity varied, depending on the sample orientation.
The XRD patterns of the ZnO:Tb films with a thickness of 600 nm, and a Tb concentration of 1.07 at.%, as deposited and after CTA at different temperatures, are shown in Figure 4. The peak position for the 0002 reflection of the ZnO shifted depending on the annealing temperature. After the annealing at 300 °C, the intensity and the angle range of the wide scattering curve in the low angle range considerably decreased, leading to a decrease in the volume fraction of the amorphous phase and the nanoparticles. The peaks from the crystalline particles of the Tb oxides were not observed after CTA at 300 °C; however, a small hump in the angle range of 2θ = 27–32 degrees, which includes the peak positions of the terbium oxides, was still observed, testifying to the presence of these nanoparticles in the film, i.e., an incomplete terbium incorporation. It has been shown that, during the annealing of the Tb-doped ZnO film up to 300 °C, all the Tb3+ ions could incorporate into the ZnO lattice [29]. However, the contrary was observed in our case; i.e., only part of the non-incorporated Tb in the as-deposited film entered the ZnO crystal lattice.
Figure 4.
The XRD patterns of the ZnO:Tb films with a thickness of 600 nm, as deposited, and annealed via CTA at different temperatures (Co Kα radiation).
The best crystal structure was observed in the ZnO:Tb film annealed at 600 °C, when only one peak for the 0002 reflection of the ZnO was revealed. This result implies that the film consisted only of ZnO:Tb crystals. The annealing at 900 °C led to the appearance of the hump in the angle range of 2θ = 27–32 degrees in the XRD pattern, indicating once more the formation of nanoparticles, probably of Tb oxides. The inclusion of Tb oxides was observed in the ZnO:Tb, Eu thin films, on the grain boundaries and film surface, after CTA [34].
The XRD patterns of the ZnO:Tb films with a thickness of 200 nm, and a Tb concentration of 0.14 at.%, as deposited at 100 W RF power, and after RTA at different temperatures, are shown in Figure 5. A low-angle intensive scattering curve in the range of 2θ = 12–16 degrees, and a weakly marked hump in the range of 2θ = 27–32 degrees, can be observed in the XRD pattern for the as-deposited film.
Figure 5.
The XRD patterns of the ZnO:Tb films with a thickness of 200 nm, as deposited, and annealed through RTA at different temperatures (Co Kα radiation).
As mentioned above [33], the film deposition at such an RF power led mainly to the formation of non-crystalline ZnO film, which is revealed by the hump in the angle range of 2θ = 12–16 degrees. The formation of crystalline ZnO was confirmed by the small peak for the 0002 reflection. It was impossible to reveal the individual reflection peaks from the Tb oxides phases, owing to the low Tb concentration, though a low intensity hump in the range of 2θ = 27–32 degrees, which includes the peaks positions of terbium oxides, was observed. Apparently, this hump was formed by the overlapping of the wide peaks for the nanocrystalline phases of TbO2 and Tb2O3. The presence of the amorphous phase and the nanocrystals of terbium compounds led us to assume that the ZnO crystallization at such deposition conditions was incomplete, and some part of the terbium did not incorporate into the ZnO crystals. After the RTA at 500 °C and 600 °C, the intensities of these scattering curves decreased significantly and, after the RTA at 700 °C and 800 °C, the curves practically disappeared. Therefore, it can be considered that, during RTA, a crystallization of the amorphous phase, and the Tb incorporation into the ZnO crystal lattice, take place, and that these processes occur in a more evident manner at a higher RTA temperature. Only one small diffraction peak for the 0002 reflection of the ZnO at 2θ = 40.07 degrees was observed. Thus, the crystalline part of the ZnO:Tb film had a hexagonal structure, with a strong texture along the [0001] direction, perpendicular to the substrate surface. The peak position for the 0002 reflection of the ZnO:Tb film did not exactly coincide with the peak position of the ZnO powder (40.31 degrees), and shifted, depending on the temperature of the RTA.
A detailed investigation into the structural characteristics of the films was carried out using the diffractometer, a with small angular divergence of the incident beam. The series of XRD patterns for the undoped and doped films are shown in Figure 6.
Figure 6.
The XRD patterns of the thin films, as deposited, and after thermal treatments at different temperatures: (a) the undoped ZnO film (thickness of 200 nm) annealed through RTA; (b) the ZnO:Tb films (0.14 at.% Tb, thickness of 200 nm) annealed through RTA; and (c) the ZnO:Tb films (1.07 at. % Tb, thickness of 600 nm) annealed through CTA (Cu Kα radiation).
In the XRD patterns of the as-deposited films, one strong peak for the 0002 reflection of ZnO or ZnO:Tb can be observed. The variation in the integrated intensities of the diffraction peaks for the annealed samples with the same layer thickness is related to a slight angular deviation in the texture direction, with respect to the substrate-surface normal, as noted above (Figure 3). The positions of the peak maxima of the as-deposited undoped and doped films were shifted toward lower angles, with respect to the peak maximum position for the 0002 reflection of the ZnO powder (2θCuKα = 34.4 degrees), leading to an increase in the lattice parameter in the whole volume in the [0001] direction; i.e., the as-deposited films were under tensile strain. The shift of the peak maximum toward lower angle values was also observed for the as-grown RF-magnetron-sputtered ZnO:Tb [22] and ZnO:Yb [35] thin films. There are two reasons that can induce strain, and lead to such a result: (i) the effect of the lattice mismatch between the single crystalline Si substrate and the polycrystalline ZnO thin film, or (ii) the effect of native point defects [36] and/or an effect of the extrinsic point defects and size difference between the Tb3+ and Zn2+ ions at the Tb incorporation into the ZnO crystal lattice. In the ZnO crystal, six types of intrinsic (native) point defects were identified [37]: oxygen vacancies (VO), zinc interstitials (Zni), oxygen interstitials (Oi), oxygen antisites (ZnO), zinc vacancies (VZn), and zinc antisites (OZn).
Between the Si substrate and grains of the ZnO thin film, an incoherent interface boundary was formed, owing to the different crystal structures (cubic and hexagonal), the different planes (100 and 0001), and the difference in the misfit lattice parameters of more than 25% (aSi = 0.543 nm, a = bZnO = 0.325 nm). The detailed atomic structure of such interfaces is not sufficiently known; however, the lattice mismatch effect can be neglected for such interfaces. It also should be noted that, if this effect takes place, it should lead to tensile strain in the interface plane, and to compressive strain in the perpendicular [0001] direction, in such a way that the peak position must shift toward higher angle values. Therefore, the effect of the lattice mismatch on the shift of the peak maximum for the 0002 reflection of the as-deposited undoped and doped thin films can be neglected.
In the XRD pattern for the as-deposited undoped ZnO film, the peak for the 0002 reflection was observed at the angle 2θ = 34.21 degrees, shifted by about 0.19 degrees with respect to the peak position of the ZnO powder (Figure 6a). The reason for the shift could be the presence of excess interstitial oxygen atoms Oi and/or zinc antisites OZn in the film, deposited using Ar–O2 plasma (excess O). For the doped ZnO:Tb film with 0.14 at.% Tb, the peak for the 0002 reflection was observed at the angle 2θ = 34.04 degrees and, for the film with 1.07 at.% Tb, it was observed at the angle 2θ = 33.68 degrees, respectively (Figure 6b,c). As one can see, the shifts in the peak maximum for the doped films with respect to the position of the ZnO powder are larger than for the undoped film. It is possible to assume that these shifts are related to the incorporation of Tb3+ ions with radii of 92 pm into the ZnO crystal lattice, substituting the Zn2+ ions with radii of 74 pm. So, such a substitution must lead to an increase in the lattice parameter for the ZnO:Tb film, and a shift of the diffraction peak maximum toward lower angle values. The shift of the peak maximum for the ZnO:Tb film with 1.07 at.% Tb is considerably larger than for other films, confirming the higher concentration of the incorporated Tb ions into the ZnO crystal lattice. The profile of the diffracted peak for the as-deposited ZnO:Tb film with 1.07 at.% Tb is asymmetrical, with a long tail at the higher-angle side that can be associated with the nonuniform distribution of the incorporated Tb ions in the ZnO crystal grains, from the surface to their center.
The XRD patterns for the undoped and doped films with a thickness of 200 nm after the RTA reveal a new peak at the angle 2θ = 32.9 degrees (Figure 6a,b), indicating the formation of a new crystalline phase. The intensity of this peak increased with the annealing temperature, and was higher in the doped films than in the pure ZnO films. This peak can be attributed to the 312 reflection for Zn2SiO4 (JCPDS No. 00-001-1076 card). No other diffraction peaks were observed for this compound, evidently, due to the very strong crystal-preferred orientation of the crystallites, which were formed between the ZnO film and the Si substrate, as the result of the interdiffusion through the film/substrate interface. The presence of Tb ions in the deposited film leads to a more intense interdiffusion. The formation of the same phase was observed in [17,22], after the annealing of the Tb-doped ZnO films. In the XRD pattern for the ZnO:Tb film with a thickness of 600 nm after CTA, this new peak for the Zn2SiO4 phase was not observed, apparently, due to its low intensity and overlapping with the intensity of the wide tail of the ZnO diffraction peak at lower angles (Figure 6c). Only after CTA at 900 °C was a weakly convex hill at 33 degrees revealed.
The backscattered electrons (BSEs) in a scanning electron microscope (SEM) are high-energy electrons used to obtain chemical contrast imaging showing the distribution of various elements in a sample. The atomic number sensitivity of BSE imaging can be used to distinguish the contrast between areas with different chemical compositions [38].
The BSE images of the cross-section of the ZnO:Tb thin films with the thickness of 200 nm and 600 nm, as deposited on the Si substrate, and after annealing, were used to confirm the formation of a new phase in the film/substrate interface, via the changes in the film thickness owing to the contrast differences between the intensities of the images from the silicon substrate and the film of ZnO:Tb with Zn silicate. Figure 7 shows the cross-section BSE images of the ZnO:Tb (200 nm) films, as deposited, and after the RTA. A well-defined thin film, with the thicknesses of 155.62 nm, for the as-deposited film, and 185.62 nm, for the film after RTA, respectively, can be distinguished from the Si substrate. The increase in the film thickness can be explained only by the formation of the additional Zn2SiO4 layer at the film/substrate interface. Figure 8 shows the cross-sectional BSE images of the ZnO:Tb (600 nm) films, as deposited, and after CTA. The film thickness increased from 631.87 nm, for the as-deposited film, to 746.25 nm after CTA at 600 °C, and to 832.50 nm after CTA at 900 °C, respectively.
Figure 7.
Cross-section BSE images of the ZnO:Tb (0.14 at.% Tb, thickness of 200 nm) films: (a) as deposited, and (b) after RTA at 600 °C.
Figure 8.
Cross-section BSE images of the ZnO:Tb (600 nm) films: (a) as deposited, (b) after CTA at 600 °C, and (c) after CTA at 900 °C.
The obtained results are consistent with those of the XRD regarding the formation of a new layer between the Si substrate and the ZnO:Tb thin film, which appeared during the annealing. The thickness of this layer increases with the increase in the annealing temperature. A well-defined border between the ZnO and Zn2SiO4 layers was not observed, due to the weak difference in the element composition of the layers. However, in Figure 8c, at the bottom of the layer, a slightly darker band, with a thickness of about 218 nm, can be seen. The BSE image of the as-deposited ZnO:Tb film, presented in Figure 8a, clearly shows the columns of the ZnO crystals, grown almost perpendicular to the Si substrate, which coincides with the AFM result, as well as the individual small crystals, probably Tb oxides, that confirm the XRD data.
The microstructure of the as-deposited and annealed ZnO and ZnO:Tb films was analyzed, in terms of the macro-strain states, using the of the peak maximum position for the 0002 reflection of ZnO, and the average grain sizes from the widening in the diffraction peak, respectively.
The strains presented in the crystal grains due to point defects were estimated as:
where c is the lattice parameter of the ZnO or ZnO:Tb film, calculated from the position of the peak maximum, and is the strain-free lattice parameter for ZnO in the [0001] direction ( = 0.52 nm). The stresses in the films were calculated, using Young’s modulus of ZnO in the [0001] direction, as 140 GPa [39]:
σ = ε × 140 (GPa).
The profiles of the measured peaks were adjusted via Gaussian function, and the value of the full width at half maximum (FWHM) without the instrumental width βphys was obtained via the deconvolution of the measured (βmeas) and the instrumental FWHM as [32]:
where βmeas is the value of the measured FWHM for the diffraction peaks obtained after decomposition into two peaks for the Cu–Kα1 and Cu–Kα2 radiations, and βinst = 0.00136 Rad (0.08 degree) is the value of the instrumental FWHM for the diffractometer used.
The micro-strain in the films cannot be evaluated, as only one peak in the 0002 reflection for ZnO was observed. So, only the average grain size was calculated from the FWHM of the 0002 diffraction peak for the ZnO film, using the Scherrer equation [32] as:
where D is the average grain size, K is the shape factor, βphys is the physical FWHM, θ is the Bragg diffraction angle, and λ is the X-ray wavelength used.
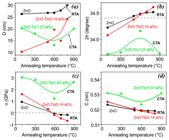
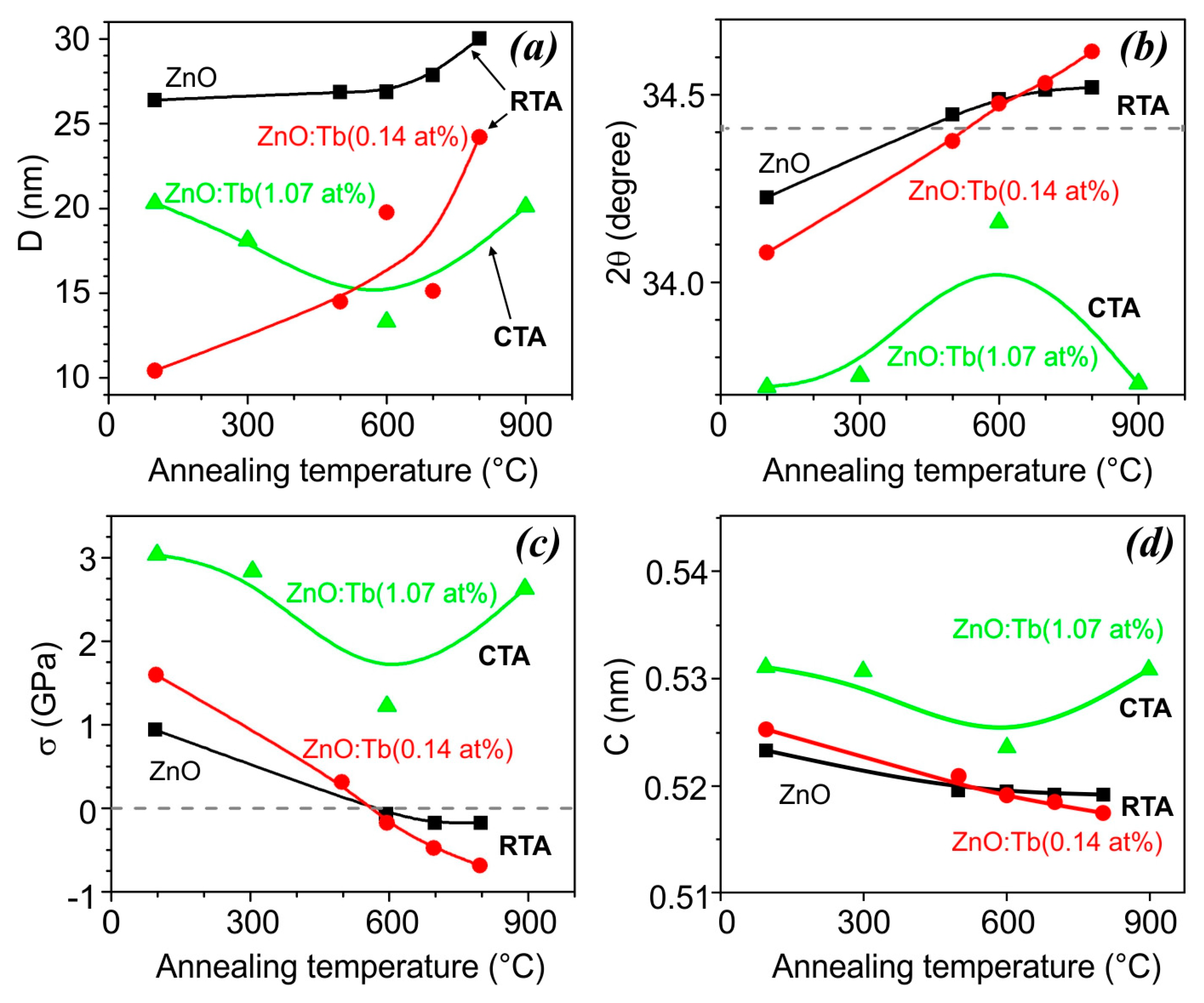
The estimated characteristics of the microstructure for the undoped and doped films, as deposited and after thermal treatments, in dependence of the annealing temperature, are shown in Figure 9.
Figure 9.
The estimated microstructural characteristics for the ZnO (1) and ZnO:Tb films (2,3) as deposited and subjected to RTA (1,2) and CTA (3) treatments: (a) the average grain size; (b) the position of the diffraction peak maximum; (c) the stresses; (d) the lattice parameter in the [0001] direction.
The evaluated average crystallite sizes in the as-deposited and annealed ZnO and ZnO:Tb films are shown in Figure 9a. Among the different as-deposited films, the average grain size was the largest in the undoped film (26 nm), which allowed us to suppose that the presence of Tb in the deposition process impeded the growth of the ZnO:Tb crystals. The obtained results coincide with the AFM results (Figure 2), though the grain sizes estimated from the AFM images were larger than those calculated from the XRD data. As is known, XRD investigations give the grain size as the size of perfect crystallites (coherent domains), and AFM shows the grains as aggregation of crystallites, which can have sizes 5–6 times larger [40].
After RTA, a slight increase in the grain size with the increase in the annealing temperature was observed for the undoped ZnO films (Figure 9a). In the ZnO:Tb film with 0.14 at.% Tb, and a thickness of 200 nm, at RTA, the grain size increased faster than in the undoped ZnO film, and increased by more twice after annealing at 800 °C.
The average crystal size in the ZnO:Tb film with 1.07 at.% Tb, and a thickness of 600 nm varied non-monotonically with the CTA temperature. It decreased as the annealing temperature increased up to 600 °C, and had almost the same value as in the as-deposited film after CTA at 900 °C. The as-deposited ZnO:Tb films with 1.07 at.% Tb had both crystalline and amorphous phases (Figure 3). During CTA, the processes of ZnO crystallization, Tb incorporation, and redistribution in the grains took place. CTA at 300 °C led to a more uniform Tb distribution in the grains, but not completely (a long tail at the higher-angle side of the XRD peak was still observed (Figure 6c)), resulting in an increase in Tb concentration in the grain center and, therefore, in a decrease in grain growth in the center, whereas the grain growth near the grain surface was about the same. As a result, a decrease in the average grain size was observed. After CTA at 600 °C, the profile of the XRD peak was almost symmetrical, indicating a uniform Tb distribution in the grain volume, and inhibiting a uniform grain growth. As mentioned above, the wide scattering curve in the range of 2θ = 27–32 degrees in the XRD pattern after CTA at 900 °C (Figure 4) could be associated with the formation of nanosized Tb oxide inclusions. The latter was also observed in [29,34], and a decrease in Tb concentration in thick (about 1000 nm) ZnO films after annealing at 1000 °C was observed in [17]. So, the Tb concentration after the annealing decreased, and a fast grain-growth process could be realized, leading to an increase in the average crystal size. Thereby, the Tb concentration, the Tb distribution in the grain, and the temperature and duration of the annealing affect the grain-growth process during annealing and, consequently, the average crystal size.
The strain/stress state of the as-deposited and annealed ZnO and ZnO:Tb films was analyzed using the peak maxima positions in the XRD patterns (Figure 9b), and calculated from the position of the lattice parameter (Figure 9d). The stress values depended on the film; the smallest was observed for the undoped ZnO film, and the largest for the ZnO:Tb film, with 1.07 at.% Tb (Figure 9c).
The RTA of the undoped ZnO film led to the shift of the peak position toward the position of the strain-free ZnO lattice, and even surpassed its value, leading to a change in the deformation sign from tensile (positive) to compressive (negative). The observed result can be related to the modification of intrinsic point defects in the crystals during RTA, through the changing of the ratio between their type and concentration at a high temperature, due to excess vacancies and/or oxygen antisites in the ZnO. The plateau in high temperature dependence indicates that this ratio did not change at these temperatures. The effect of annealing on changes in the diffraction peak position is reported in various investigations of doped ZnO films, and one of the proposed explanations [22] was the influence of the new phase at the film/substrate interface. The formation of such a new phase was also observed in undoped ZnO, and the thickness of the new phase layer increased with the temperature increase. In our case, the presence of the plateau in high temperature dependence cannot be explained by new phase formation. At the same time, the study of the effect of the RTA in the N2 ambient gas on the PL properties of ZnO thin films deposited on a Si substrate [41] showed that the films had oxygen vacancies instead of zinc interstitials.
The temperature dependence of the peak position for the ZnO:Tb films with 0.14 at.% Tb after RTA is similar to the dependence observed for the undoped ZnO films (Figure 9b). The peak maximum position gradually shifted toward a higher angle value, surpassing the position for the strain-free ZnO lattice and, after RTA at 800 °C, the value was 2θ = 34.63°, somewhat larger than for the undoped ZnO film (Figure 6b). Using the XRD data (Figure 5), it can be assumed that the RTA at 500 °C and 600 °C led to subsequent crystallization in the ZnO amorphous phase, with Tb ion incorporation. After RTA at 600 °C, the strains in the undoped ZnO and Zn:Tb films almost coincide, and they are somewhat larger than for the undoped ZnO after RTA at 800 °C. The obtained results can be explained by point defect evolution and, most probably, the formation of excess vacancies. A more pronounced temperature dependence of strains can also be explained by the formation of the new phase layer, the thickness of which increased with the annealing temperature.
After the CTA of the ZnO:Tb films with 1.07 at.% Tb, not only did the peak position shift toward higher angles without reaching the position for the strain-free ZnO lattice, but the asymmetry of the peak profile also decreased, which can be associated with a more uniform distribution of Tb in the volume of the crystal grains. CTA leads to non-monotonic temperature dependence in the strains (Figure 9c). The XRD data (Figure 5) showed a significant decrease in the intensity of the diffraction curve for the ZnO amorphous phase and the Tb oxide crystal after CTA at 300 °C, indicating the further crystallization of ZnO:Tb films. The decrease in the peak profile asymmetry after CTA at 300 °C also indicates the redistribution of Tb ions in the ZnO crystals, with a slight decrease in the tensile strain. This result may be related to a new phase formation, a change in the ratio between the type and concentration of intrinsic point defects, and the generation of extrinsic point defects (zinc vacancies) at the incorporation of Tb3+ ions into the central part of the ZnO crystal, substituting Zn2+ ions as:
where: (″) is the negative charge, (•) is the positive charge, and (x) represents the neutral charge.
Annealing at 600 °C results in a larger decrease in tensile strain, for the same reasons as CTA at 300 °C. After CTA at 900 °C, the peak position was almost the same as for the as-deposited film. The increase in tensile strain in the ZnO:Tb film cannot be explained by the formation of a new phase at interface, because its thickness increased, and this must lead to a decrease in the tensile strain. The obtained result can be associated with the partial Tb escape from the crystal lattice onto the grain boundaries, the annihilation of zinc vacancies (decrease in compressive strains), and the formation of Tb oxide nanocrystals (Figure 4) on the grain surface, with additional tensile effects. A decrease in the Tb concentration in a ZnO:Tb film after annealing was reported in [17], and Tb oxide inclusions of 10–20 nm between the crystal columns were revealed in ZnO:Tb, Eu films after annealing at 900 °C [34].
Thereby, the film thickness, Tb concentration, and type of annealing affect the strains in ZnO:Tb films that relate to point defect modifications, the Tb distribution in the crystals, and the formation of a new phase at the interface.
3.2. Optical Characteristics
The optical properties of the films were studied using spectroscopic ellipsometry. The experimental spectra were analyzed within the two-layer model, with the upper (near the surface) inhomogeneous rough layer, and the bottom (adjacent to the Si substrate) homogeneous layer [27]. The upper layer was simulated within Bruggeman’s model of effective medium, as a mixture of void space and ZnO, with parameters like those of a bottom layer. The parameters of a bottom layer were simulated using the Tanguy model [42], considering both bound and free excitons with the Drude component [43], which takes into consideration the interaction between light and free charge carriers. The modelling showed that, for all films, the contribution of the Drude component was absent and, hence, was not considered.
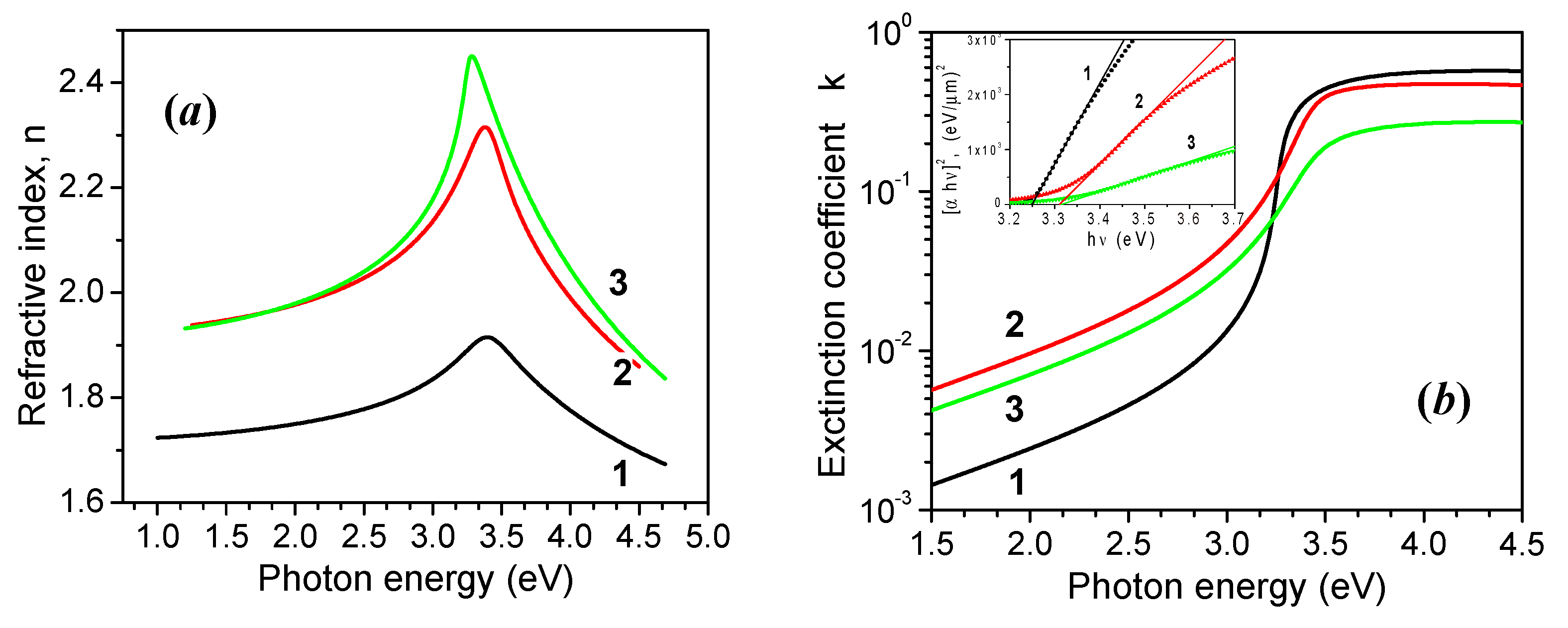
Figure 10 shows the variation in the refractive index n and the extinction coefficient k, extracted from the simulation of the ellipsometry data for the as-deposited films. The undoped ZnO film is characterized by a lower refractive index, which testifies to a better crystallinity that agrees with the results of structural investigations. Tb-doping leads to an increase in the refractive index n in the entire spectral range, and a decrease in the extinction coefficient k in the range of band-to-band absorption but, in the region below the band gap, the extinction coefficient k increases. The optical band gap of the as-grown and thermally annealed films, estimated from the modelling of the ellipsometry spectra, varied in the range of 3.25–3.28 eV for the undoped ZnO film, and in the ranges of 3.33–3.56 eV and 3.30–3.43 eV for ZnO films doped with 0.14 at.% and 1.07 at% Tb, correspondingly. The optical band gap of the as-deposited film extracted from the Tauc plot ((α∙hν)2 versus hν) for the absorption coefficient α (inset in Figure 10b) is found to be 3.25 eV for the undoped film, and 3.31 eV for the Tb-doped (both 0.14 at.% and 1.07 at%) films. Both methods of band-gap estimation indicate the effect of doping on the ZnO band-gap energy, increasing its value.
Figure 10.
(a) Spectral dependence of refractive index, and (b) extinction coefficient of the as-deposited undoped ZnO film (1), and ZnO films doped with 0.14 at% Tb (2), and 1.07 at% Tb (3). The inset graph in (b) shows the Tauc plots for the absorption coefficient α of the as-deposited films.
The PL spectra of the doped films detected under ZnO band-to-band excitation show the PL bands caused by the radiative recombination of the exciton (IEXC) and intrinsic defects in ZnO (IDEF), as well as the narrow PL bands in the green–yellow spectral range, due to the intra-shell 4f transitions of the Tb3+ ions (Figure 11a,b). In the as-deposited films doped with Tb, the intensity of the PL bands, due to exciton and intrinsic defects, is strongly quenched, compared with the as-deposited undoped ZnO film (Figure 11a). The higher the Tb concentration, the stronger the quenching.

Figure 11.
PL spectra of the as-deposited and thermally annealed ZnO films doped with 0.14 at.% Tb (a,c) and 1.07 at% Tb (b,d), excited with 325 nm (a,b), and 488.0 nm (c,d) laser lines.
The distribution of the dopant over the film area was found to be inhomogeneous: the films contain the regions where no Tb3+ emission is found, but the intensity of the ZnO-related PL is like that observed in the undoped ZnO film, and the regions with Tb3+ PL and quenched ZnO-related PL. In any case, the intensity of the Tb3+ emission under UV excitation is rather low. One of the main reasons is that Tb3+ ions are not excited through energy transfer from the ZnO host, and 325 nm light apparently stimulates the 4f75d1→9DJ transitions of the Tb3+ ions located in the distorted ZnO matrix [34]. Surprisingly, in both the doped films, the intensities of the Tb3+ PL recorded under resonant excitation are found to be comparable, although the concentrations of Tb3+ ions differ 10 times (Figure 11c,d). This leads to different concentrations of the Tb3+ active centers that can be explained by different deposition conditions, for example, sputtering in different atmospheres. Specifically, it has been shown that the free carrier concentration of the undoped ZnO film deposited in Ar–O2 plasma is about 100 times lower than that of the film deposited in Ar plasma [27]. The effect has been explained by smaller thickness of the ZnO columns, compared with the width of the depletion region, as well as by the smaller concentration of native shallow donors that are interstitial zinc, Zni. However, the lower free carrier concentration could also be due to a higher concentration of native acceptors that have zinc vacancy, VZn, and interstitial oxygen, Oi. In [14], the model of the Tb3+ emission center in ZnO has been proposed. It includes the substitutional defect TbZn, and a defect in the oxygen sublattice, presumably Oi, which arises to compensate for the excess charge of the Tb3+ ion. Therefore, it can be supposed that a higher intensity of Tb3+ emission in the film deposited in Ar–O2 plasma is mainly due to a larger concentration of Oi compensating acceptors. However, we cannot exclude the possibility that the low intensity of Tb3+ emission in the film with 1.07 at% Tb is due to a higher concentration of Zni donors. In any case, a high concentration of free carriers should hinder the formation of the Tb3+ center.
The thermal annealing of the films produces non-monotonic changes in different emission bands in the PL spectra (Figure 11 and Figure 12). The exciton PL shows a consistent increase in intensity with the rise in the annealing temperature. It increases up to 10 times in the film with 0.14 at% Tb after RTA at 800 °C, and in the film with 1.07 at.% Tb after CTA at 600 °C. This is testimony to an improvement in the crystal structure of doped films, apparently due to the annealing of the defects. It should be noted that, up to the annealing temperatures of 600–700 °C, the intensity of the Tb3+ PL also increased both under UV and resonant excitation (Figure 11). The largest increase, by more than 10 times (under 488 nm excitation), is observed for the film with 1.07 at.% Tb. In [22], the maximum PL intensity of Tb3+ ions in ZnO films has been reached after annealing at 600 °C. Presumably, the increase in Tb3+ emission occurs due to improvements in the crystal structure, and the formation of Tb3+ active centers. At the same time, both RTA at 800 °C and CTA at 900 °C result in a decrease in the Tb3+ emission. In the film with 1.07 at% Tb, this process is accompanied by a decrease in the exciton PL intensity.
Figure 12.
The intensity dependence of the exciton, defect-related, and Tb3+-related PL bands on the temperature of the thermal treatment of ZnO films doped with (a) 0.14 at% Tb, and (b) 1.07 at % Tb, under 325 nm excitation.
The non-resonance Raman spectra of the undoped and Tb-doped films (Figure 13) show both the phonons of the Si substrate and ZnO film (E2high, qA1(LO) and AM mode). The E2high mode associated with oxygen atom vibrations has a low intensity, and a relatively large halfwidth. It is shifted to the low-energy side, compared with the peak position in the relaxed undoped ZnO (ω0 = 437,0 cm−1), and the shift increases as the Tb ions doped the film. In the as-grown films, the peak position is detected at 436.3, 433.8, and 433.2 cm−1 for the undoped, 0.14 at% Tb, and 1.07 at% Tb doped films, respectively.
Figure 13.
The non-resonance micro-Raman spectra of the (a) as-deposited and thermally annealed undoped ZnO films, and the ZnO films doped with (b) 0.14 at.% Tb, and (c) 1.07 at.% Tb.
The low-energy shift of the E2high mode testifies to the tensile strains in the plane of the substrate, and is apparently caused by the presence of native defects and dopants. These data imply the incorporation of Tb ions into the ZnO film, resulting in lattice deformation (stretching). The thermal annealing of the doped films produces only a small shift (~0.5 cm−1) in the E2high peak to higher energies, confirming that Tb3+ ions remain incorporated into the crystal lattice of the ZnO. The qA(E)1(LO) mode, which is a mixture of the A1(LO) and E1(LO) phonon modes, and should not be observed in the geometry used [44], is found in the 575–580 cm−1 region of the Raman spectra of the film with 1.07 at.% Tb. This testifies to structural disorder, presumably caused by the random incorporation of Tb. Moreover, the intensity of the qA(E)1(LO) peak increases after CTA at 900 °C. This is accompanied by an increase in the intensity of the additional mode AM at 275–277 cm−1, related to the intrinsic host lattice defects, which either become activated as vibrating complexes, or their concentration increases upon Tb incorporation [45]. These changes are consistent with the decrease in the exciton and Tb3+ PL band intensities after CTA at 900 °C. In fact, it has been mentioned above that CTA at temperatures higher than 800 °C produces structural deterioration in the ZnO host matrix, due to the diffusion process between the Si substrate and the film, as well as the segregation of the RE dopants [34].
4. Conclusions
The effect of the deposition conditions and post-deposition thermal treatments on the structural and optical properties of ZnO:Tb thin films grown using RF magnetron sputtering on a Si substrate was investigated. The XRD study showed that the ZnO:Tb films sputtered in Ar or Ar–O2 plasma demonstrated both crystalline and amorphous phases. In the XRD pattern of the as-deposited ZnO:Tb films with the higher Tb concentration of 1.07 at%, the peaks ascribed to the terbium oxide phases were observed. The incorporation of Tb3+ ions into the ZnO crystals was proven by the XRD and Raman scattering study, which revealed an increase in tensile stress in two perpendicular directions, due to doping. The AFM study showed that the column growth mechanism was realized. The Tb incorporation into the ZnO impeded growth in the column diameter and the grain size. Both rapid thermal annealing (RTA) and conventional thermal annealing (CTA) caused a consequent ZnO crystallization, and Tb ion incorporation resulted in an improvement in the crystal structure of the doped films. The best crystal characteristics were reached after RTA at 700–800 °C for ZnO:Tb (0.14 at% Tb, 200 nm), and CTA at 600 °C for ZnO:Tb (1.07 at% Tb, 600 nm). CTA at 900 °C provoked an increase in the tensile strain and, presumably, the Tb oxide inclusion formation. The XRD revealed the formation of the Zn2SiO4 phase, attributed to the film/substrate interdiffusion, which was confirmed via SEM, using back-scattered electrons.
The PL spectra of the doped ZnO:Tb films contain the UV bands ascribed to the exciton PL, and the defect-related PL of ZnO, as well as the narrow bands in the green–yellow spectral range caused by the intra-shell transitions of Tb3+ ions. The intensity of the exciton PL and defect-related PL are strongly quenched, compared with the undoped ZnO film. In both the doped films, the intensities of Tb3+ PL recorded under resonant excitation (488.0 nm) are found to be comparable, although the concentrations of Tb3+ ions differ by 10 times, which can be explained by different deposition conditions, i.e., sputtering in different atmospheres. It is suggested that the higher intensity of Tb3+ emission in the film deposited in Ar–O2 plasma is mainly due to a larger concentration of Oi compensating acceptors. The obtained result implies that deposition in Ar–O2 plasma is preferable for an increase in Tb3+ emission in the ZnO. The intensity of the exciton PL increased with the increase in the annealing temperature. It increased up to 10 times in the film with 0.14 at% Tb after RTA at 800 °C, and in the film with 1.07 at.% Tb after CTA at 600 °C. This testifies to an improvement in the crystal structure of the doped films, which coincides with the results of the structural investigations. The increase in the intensity of qA(E)1(LO) mode in the Raman spectra, and the decrease in the intensities of both the exciton and Tb3+ PL bands after CTA at 900 °C testify to a structural deterioration in the ZnO crystals.
Author Contributions
Conceptualization, T.K., L.B. and A.K.; methodology, R.B.C.H., O.K., S.M. and X.P.; validation, T.K. and L.B.; formal analysis, R.B.C.H. and A.K.; investigation, T.K., L.B. and X.P.; writing—original draft preparation, T.K. and L.B.; writing—review and editing, X.P., A.K., O.K. and S.M; visualization, A.K.; supervision, T.K. and L.B. All authors have read and agreed to the published version of the manuscript.
Funding
This research received no external funding.
Data Availability Statement
All data are contained within the paper, and a report of any other data is not included.
Acknowledgments
This work was supported by the Instituto Politécnico Nacional under the research SIP-IPN projects No. 20232173 and No. 20231246. The authors L. Borkovska and X. Portier have conducted their research under the French–Ukrainian bilateral program “Dnipro” (project M/85-2018 in Ukraine, and 37884WC in France).
Conflicts of Interest
The authors declare no conflict of interest.
References
- Özgür, Ü.; Alivov, Y.I.; Liu, C.; Teke, A.; Reshchikov, M.A.; Dogan, S.; Avrutin, V.; Cho, S.-J.; Morkoç, H. A comprehensive review of ZnO materials and devices. J. Appl. Phys. 2005, 98, 041301. [Google Scholar] [CrossRef]
- Ozgur, U.; Hofstetter, D.; Morkoc, H. ZnO Devices and Applications: A Review of Current Status and Future Prospects. Proc. IEEE. 2010, 98, 1255–1268. [Google Scholar] [CrossRef]
- Sharma, D.K.; Shukla, S.; Sharma, K.K.; Kumar, V. A review on ZnO: Fundamental properties and applications. Mater. Today Proc. 2022, 49, 3028–3035. [Google Scholar] [CrossRef]
- Peaton, S.J.; Ren, F. Advances in ZnO-based materials for light emitting diodes. Curr. Opin. Chem. Eng. 2014, 3, 51–55. [Google Scholar] [CrossRef]
- Tereshchenko, A.; Bechelany, M.; Viter, R.; Khranovskyy, V.; Smyntyna, V.; Starodub, N.; Yakimova, R. Optical biosensors based on ZnO nanostructures: Advantages and perspectives. A review. Sens. Actuators B Chem. 2016, 229, 664–677. [Google Scholar] [CrossRef]
- Xu, L.; Li, X.; Chen, Y.; Xu, F. Structural and optical properties of ZnO thin films prepared by sol–gel method with different thickness. Appl. Surf. Sci. 2011, 257, 4031–4037. [Google Scholar] [CrossRef]
- Chen, X.; Qingshuang, X.; Jitao, L. Significantly improved photoluminescence properties of ZnO thin films by lithium doping. Ceram. Int. 2020, 46, 2309–2316. [Google Scholar] [CrossRef]
- Li, X.; Zhu, X.; Jin, K.; Yang, D. Study on structural and optical properties of Mn-doped ZnO thin films by sol-gel method. Opt. Mater. 2020, 100, 109657. [Google Scholar] [CrossRef]
- Liu, Y.; Liu, H.; Yu, Y.; Wang, Q.; Li, Y.; Wang, Z. Structural and optical properties of ZnO thin films with heavy Cu-doping prepared by magnetron co-sputtering. Mater. Lett. 2015, 143, 319–321. [Google Scholar] [CrossRef]
- Wu, Y.; Cao, F.; Ji, X. Optical and electrical properties of Al-doped ZnO thin films by atomic layer deposition. J. Mater. Sci. Mater. Electron. 2020, 31, 17365–17374. [Google Scholar] [CrossRef]
- Kumar, V.; Ntwaeaborwa, O.M.; Soga, T.; Dutta, V.; Swart, H.C. Rare Earth Doped Zinc Oxide Nanophosphor Powder: A Future Material for Solid State Lighting and Solar Cells. ACS Photonics 2017, 4, 2613–2637. [Google Scholar] [CrossRef]
- Mangalam, V.; Pita, K. White light emission from thin-film samples of ZnO nanocrystals, Eu3+ and Tb3+ ions embedded in an SiO2 matrix. Materials 2019, 12, 1997. [Google Scholar] [CrossRef] [PubMed]
- Teng, X.M.; Fan, H.T.; Pan, S.S.; Ye, C.; Li, G.H. Influence of annealing on the structural and optical properties of ZnO: Tb thin films. J. Appl. Phys. 2006, 100, 053507. [Google Scholar] [CrossRef]
- Korsunska, N.; Borkovska, L.; Khomenkova, L.; Gudymenko, O.; Kladko, V.; Kolomys, O.; Strelchuk, V.; Tsybrii, Z.; Guillaume, C.; Labbe, C.; et al. Transformations in the photoluminescent, electrical and structural properties of Tb3+ and Eu3+ co-doped ZnO films under high-temperature annealing. J. Lumin. 2020, 217, 116739. [Google Scholar] [CrossRef]
- Davesnne, C.; Ziani, A.; Labbe, C.; Marie, P.; Frilay, C.; Portier, X. Energy transfer mechanism between terbium and europium ions in zinc oxide and zinc silicates thin films. Thin Solid Films 2014, 553, 33–37. [Google Scholar] [CrossRef]
- Guillaume, C.; Frieiro, J.L.; Blázquez, O.; Labbé, C.; López-Vidrier, J.; Garrido, B.; Hernández, S.; Liu, B.; Khomenkova, L.; Frilay, C.; et al. Influence of post annealing treatments on the luminescence of rare earth ions in ZnO:Tb, Eu/Si heterojunction. Appl. Surf. Sci. 2021, 556, 149754. [Google Scholar] [CrossRef]
- Zhang, L.; Heng, C.L.; Zhao, C.N.; Su, W.Y.; Gao, Y.K.; Yin, P.G.; Finstad, T.G. On the structure and ultraviolet emission of terbium doped zinc oxide thin films on silicon after high temperature treatment. Results Phys. 2022, 32, 105121. [Google Scholar] [CrossRef]
- Hwang, D.K.; Oh, M.S.; Lim, J.H.; Park, S.J. ZnO thin films and light-emitting diodes. J. Phys. D Appl. Phys. 2007, 40, R387. [Google Scholar] [CrossRef]
- Zhao, S.; Wang, L.; Yang, L.; Wang, Z. Synthesis and luminescence properties of ZnO:Tb3+ nanotube arrays via electrodeposited method. Physica B Condens. Matter. 2010, 405, 3200–3204. [Google Scholar] [CrossRef]
- Kumar, V.; Ntwaeaborwa, O.M.; Coetsee, E.; Swart, H.C. Role of deposition time on the properties of ZnO:Tb3+ thin films prepared by pulsed laser deposition. J. Colloid Interface Sci. 2016, 474, 129–136. [Google Scholar] [CrossRef]
- Fang, Z.B.; Tang, Y.S.; Gong, H.X.; Zhen, C.M.; He, Z.W.; Wang, Y.Y. Transparent conductive Tb-doped ZnO films prepared by RF reactive magnetron sputtering. Mater. Lett. 2005, 59, 2611–2614. [Google Scholar] [CrossRef]
- Ziani, A.; Davesnne, C.; Labbé, C.; Cardin, J.; Marie, P.; Frilay, C.; Boudin, S.; Portier, X. Annealing effects on the photoluminescence of terbium doped zinc oxide films. Thin Solid Films 2014, 553, 52–57. [Google Scholar] [CrossRef]
- El Fakir, A.; Douayar, A.; Diaz, R.; Chaki, I.; Prieto, P.; Loghmarti, M.; Belayachi, A.; Abd-Lefdil, M. Elaboration and characterization of sprayed Tb-doped ZnO thin films. Sens. Transducers 2014, 27, 161–164. [Google Scholar]
- Kumar, V.; Singh, N.; Kumar, V.; Purohit, L.P.; Kapoor, A.; Ntwaeaborwa, O.M.; Swart, H.C. Doped zinc oxide window layers for dye sensitized solar cells. J. Appl. Phys. 2013, 114, 134506. [Google Scholar] [CrossRef]
- Ellmer, K. Magnetron sputtering of transparent conductive zinc oxide: Relation between the sputtering parameters and the electronic properties. J. Phys. D 2000, 33, R17. [Google Scholar] [CrossRef]
- Hastir, A.; Opila, R.L.; Kohli, N.; Onuk, Z.; Yuan, B.; Jones, K.; Virpal; Singh, R.C. Deposition, characterization and gas sensors application of RF magnetron-sputtered terbium-doped ZnO films. J. Mater. Sci. 2017, 52, 8502–8517. [Google Scholar] [CrossRef]
- Melnichuk, O.; Melnichuk, L.; Venger, Y.; Guillaume, G.; Chauvat, M.-P.; Portier, X.; Markevich, I.; Korsunska, N.; Khomenkova, L. Optical, structural and electrical characterization of pure ZnO films grown on p-type Si substrates by radiofrequency magnetron sputtering in different atmospheres. Semicond. Sci. Technol. 2020, 35, 095034. [Google Scholar] [CrossRef]
- Jeong, S.-H.; Kim, B.-S.; Lee, B.-T. Photoluminescence dependence of ZnO films grown on Si(100) by radio-frequency magnetron sputtering on the growth ambient. Appl. Phys. Lett. 2003, 82, 2625–2627. [Google Scholar] [CrossRef]
- Bandyopadhyay, A.; Deb, A.K.; Mukhopadhyay, K.; Roy, S.K.; Chakrabarti, P.K. Microstructural analysis and paramagnetic to ferromagnetic phase transition of chemically synthesized nanoparticles of Tb-doped ZnO. J. Mater. Sci. 2012, 47, 2284–2293. [Google Scholar] [CrossRef]
- Ratajczak, R.; Guziewicz, E.; Prucnal, S.; Mieszczynski, C.; Jozwik, P.; Barlak, M.; Romaniuk, S.; Gieraltowska, S.; Wozniak, W.; Heller, R.; et al. Enhanced Luminescence of Yb3+ Ions Implanted to ZnO through the Selection of Optimal Implantation and Annealing Conditions. Materials 2023, 16, 1756. [Google Scholar] [CrossRef]
- Mathew, J.A.; Tsiumra, V.; Sajkowski, J.M.; Wierzbicka, A.; Jakiela, R.; Zhydachevskyy, Y.; Przezdziecka, E.; Stachowicz, M.; Kozanecki, A. Photoluminescence of Europium in ZnO and ZnMgO thin films grown by Molecular Beam Epitaxy. J. Lumin. 2022, 251, 119167. [Google Scholar] [CrossRef]
- Warren, B.E. X-ray Diffraction; Dover Publications: New York, NY, USA, 1990; pp. 251–275. [Google Scholar]
- Bhujbal, P.K.; Habib, M.; Pathan, H.M.; Chaure, N.B. Deposition of amorphous and crystalline Al doped ZnO thin films by RF magnetron sputtering and their comparative properties. ESEE 2019, 4, 15–18. [Google Scholar] [CrossRef]
- Korsunska, N.; Borkovska, L.; Khomenkova, L.; Sabov, T.; Oberemok, O.; Dubikovsky, O.; Zhuchenko, Z.Y.; Zolotovsky, A.; Demchenko, I.N.; Syryanyy, Y.; et al. Redistribution of Tb and Eu ions in ZnO films grown on different substrates under thermal annealing and its impact on Tb-Eu energy transfer. Appl. Surf. Sci. 2020, 528, 146913. [Google Scholar] [CrossRef]
- Guillaume, C.; Labbé, C.; Frilay, C.; Doualan, J.-L.; Lemarié, F.; Khomenkova, L.; Borkovska, L.; Portier, X. Thermal treatments and photoluminescence properties of ZnO and ZnO:Yb films grown by magnetron sputtering. Phys. Status Solidi A 2019, 216, 201800203. [Google Scholar] [CrossRef]
- Krivoglaz, M.A. Theory of X-ray and Thermal Neutron Scattering by Real Crystals; Plenum Press: New York, NY, USA, 1969; pp. 101–136. [Google Scholar]
- Janotti, A.; Van de Walle, C.G. Native point defects in ZnO. Phys. Rev. B 2007, 76, 165202. [Google Scholar] [CrossRef]
- Goldstein, G.I.; Newbury, D.E.; Echlin, P.; Joy, D.C.; Fiori, C.; Lifshin, E. Scanning Electron Microscopy and X-ray Microanalysis; Kluwer Academic/Plenum Publishers: New York, NY, USA, 2003; pp. 75–86. [Google Scholar]
- Kobiakov, I.B. Elastic, piezoelectric and dielectric properties of ZnO and CdS single crystals in a wide range of temperatures. Solid State Commun. 1980, 35, 305–310. [Google Scholar] [CrossRef]
- Wang, X.-S.; Zhai, J.-W.; Zhang, L.-Y.; Yao, X. Structural and optical characterization of Bi4Ti3O12 thin films prepared by metallorganic solution deposition technique. Infrared Phys. Technol. 1999, 40, 55–60. [Google Scholar] [CrossRef]
- Shan, F.K.; Liu, G.X.; Shin, B.C.; Lee, W.J. Annealing Effects of ZnO Thin Films Deposited on Si(100) by Using Pulsed Laser Deposition. J. Korean Phys. Soc. 2009, 54, 916–920. [Google Scholar] [CrossRef]
- Tanguy, C. Analytical expression of the complex dielectric function for the Hulthén potential. Phys. Rev. B 1999, 60, 10660. [Google Scholar] [CrossRef]
- Fujiwara, H. Spectroscopic Ellipsometry: Principles and Applications; John Wiley & Sons Ltd.: Chichester, UK, 2007. [Google Scholar]
- Sahoo, S.; Sivasubramanian, V.; Dhara, S.; Arora, A.K. Excitation energy dependence of electron–phonon interaction in ZnO nanoparticles. Solid State Commun. 2008, 147, 271–273. [Google Scholar] [CrossRef][Green Version]
- Borkovska, L.V.; Khomenkova, L.; Korsunska, O.; Kolomys, O.; Strelchuk, V.; Sabov, T.; Venger, E.; Kryshtab, T.; Melnichuk, O.; Melnichuk, L.; et al. Influence of annealing on luminescence and energy transfer in ZnO multilayer structure co-doped with Tb and Eu. Thin Solid Films 2019, 692, 137634. [Google Scholar] [CrossRef]
Disclaimer/Publisher’s Note: The statements, opinions and data contained in all publications are solely those of the individual author(s) and contributor(s) and not of MDPI and/or the editor(s). MDPI and/or the editor(s) disclaim responsibility for any injury to people or property resulting from any ideas, methods, instructions or products referred to in the content. |
© 2023 by the authors. Licensee MDPI, Basel, Switzerland. This article is an open access article distributed under the terms and conditions of the Creative Commons Attribution (CC BY) license (https://creativecommons.org/licenses/by/4.0/).













