Next Article in Journal
Properties and Potential Application of Lead-Free (BaZr0.2Ti0.8O3) and Lead-Based (PbZr0.52Ti0.48O3) Flexible Thick Films
Previous Article in Journal
Isocyanide π-Hole Interactions Supported by Aurophilic Forces
 
 
Font Type:
Arial Georgia Verdana
Font Size:
Aa Aa Aa
Line Spacing:
Column Width:
Background:
Brief Report

Synthesis, Characterization and Structural Analysis of Two New Biguanide Complexes

by
Andrea Pastrana-Dávila
1,
Gianella Minotta
1,
Javier Ellena
2,
Pedro H. O. Santiago
2 and
Richard F. D’Vries
1,*
1
Facultad de Ciencias Básicas, Universidad Santiago de Cali, Calle 5 # 62-00, Cali 760035, Colombia
2
Instituto de Física de São Carlos, Universidade de São Paulo, CP 369, São Carlos 13560-970, SP, Brazil
*
Author to whom correspondence should be addressed.
Crystals 2023, 13(8), 1176; https://doi.org/10.3390/cryst13081176
Submission received: 26 June 2023 / Revised: 19 July 2023 / Accepted: 26 July 2023 / Published: 28 July 2023
(This article belongs to the Section Inorganic Crystalline Materials)

Abstract

This study reports on the synthesis and characterization of two new coordination compounds of the active pharmaceutical ingredient metformin and transition metals. The cobalt compound with the formula [Co(Met)3][CoCl4]Cl·3H2O is a complex salt formed by a cationic Co(III) octahedral and anionic Co(II) tetrahedral subunits. The Cu(II) complex is represented by the formula [(Cu(Met)Cl)2-μ-Cl2] and is a dimeric compound with two chloride anions acting as a bridge, forming shared-edge square pyramidal units. Both compounds were characterized by single crystal X-ray diffraction, FT-IR spectroscopy and thermal analysis.

1. Introduction

Biguanide family compounds like metformin (Met), used as first-line drugs for the treatment of type 2 diabetes, have been identified as a pharmacological treatment to combat these metabolic syndromes and particularly type 2 diabetes [1]. This biguanide family is known for possessing a wide range of unique biological features, including antibacterial, anticancer and cardioprotective effects, among others [2,3,4]. The biguanides are characterized by possessing a structure based on amino and imino groups, which are potential electron donors with the ability to form coordinate bonds. This ability has been extensively studied, where complexes with metals of the entire transition series have been reported [2,5]. In fact, in our group, we previously reported the synthesis, characterization and cytotoxic analysis of four new coordination complexes with the formula [Co(Met)3]Cl2·2H2O (Met-Co-1), [Ni(Met)(Met-H)]Cl·H2O (Met-Ni-1), [Cu(Met)2]Cl2·H2O (Met-Cu-1) and [Zn(MetH)Cl3] (Met-Zn-1) [6]. The studies that obtained new metallo-drugs derived from metformin and transition metals show that there is a direct influence between the structural phase and the synthesis methodology, since metformin has the capacity to protonate or deprotonate depending on the synthesis medium (Scheme 1) [6]. Due to the chemical behavior of metformin, it has been observed that this molecule has the ability to coordinate through different modes of coordination, either coordinating by the central anionic nitrogen or by the imino groups in chelate mode [6]. These coordination modes will depend on the synthesis conditions, such as pH, solvent, temperature, etc. [7]. The synthesis of these complexes with metformin is of great interest because these biguanide compounds generate hydrogen bridges, which are involved in the interactions with biomolecules, increasing the biological activity of these complexes and the potential use as metallo-drugs [2,8,9]. Metformin could form different structural and crystalline phases by simply modifying the synthesis conditions; for this reason, it is relevant to study the structure of the complexes formed from this drug. It is worth noting that in most of the metformin complexes reports, it was not possible to obtain the crystalline structure of the complexes, which makes reporting the new drug-based structures an essential objective of our research. In this case, we describe two new coordination complexes by using single crystal X-ray diffraction, with the formula [Co(Met)3][CoCl4]Cl·3H2O (Met-Co-2) and [(Cu(Met)Cl)2-μ-Cl2] (Met-Cu-2). From the structural data, molecular and supramolecular analysis was performed using Hirshfeld surfaces and fingerprint diagrams. The supramolecular interaction data were compared with previously reported structure data ((Met-Co-1), (Met-Ni-1), (Met-Cu-1) and (Met-Zn-1)) to identify the most common supramolecular interactions in this family of complexes. Finally, the complexes were characterized by infrared spectroscopy as well as TGA-DSC thermal analysis.

2. Materials and Methods

2.1. General Information

The following reagents and solvents were commercially available and used as supplied without further purification: metformin hydrochloride U. S. P. (Metf) (Harman Finochem Limited); CoCl2·6H2O (99%, Sigma-Aldrich); CuCl2·2H2O (99%, Sigma-Aldrich). Thermogravimetric analysis (TGA) was performed in a TA instrument (Discovery SDT 650) under the following conditions: within a 25–900 °C temperature range, under nitrogen (100 mL min−1 Flow) atmosphere and with a 20 °C min−1 heating rate. Fourier transform infrared spectrophotometry (FTIR) spectra were recorded from KBr pellets in the 4000–250 cm−1 range on a Shimadzu IRAffinity-1.

2.2. Synthesis of the [Co(Met)3][CoCl4]Cl·3H2O Complex

The metformin hydrochloride compound (C4H12N5Cl) (208.3 mg, 1.26 mmol) was dissolved in 4 mL of methanol and mixed with 4 mL of cobalt (II) chloride (CoCl2·6H2O) (100 mg, 0.42 mmol) methanolic solution in a flat-bottomed flask. The reaction mixed was neutralized using 2.0 equivalents of NaOH (40 μL, 2 M) and the reaction mixture was refluxed for 60 min. The resulting solution was cooled and a small amount of green crystals was obtained after slow solvent evaporation (Yield ≈ 10%). Elemental analysis was calculated for (C12H39Cl5N15O3Co2): C, 19.55%; H, 5.29%; N, 28.51%. Found: C, 18.89%; H, 5.73%; N, 29.16%. Decomposition point: 310 °C. IR data (KBr pallet, v max/cm−1): 3466 (OH), 1640 and 1680 (C=N), 1070–1226 (C-N), 685 (M-N).

2.3. Synthesis of the [(Cu(Met)Cl)2-μ-Cl2] Complex

The metformin hydrochloride compound (C4H12N5Cl) (192.1 mg, 1.2 mmol) was dissolved in 4 mL of methanol and mixed with 4 mL of copper (II) chloride (CuCl2·6H2O) (100 mg, 0.59 mmol) methanolic solution in a flat-bottomed flask. The reaction mixed was neutralized using 1.5 equivalents of NaOH (30 μL, 2 M) and the reaction mixture was refluxed for 60 min. The resulting solution was cooled and cubic blue crystals were obtained by slow solvent evaporation with a yield of 85%. Elemental analysis was calculated for (C4H11Cl2N5Cu): C, 18.21%; H, 4.17%; N, 26.55%. Found: C, 18.44%; H, 4.21%; N, 26.92%. Decomposition point: 245 °C. IR data (KBr pallet, v max/c m−1): 1660 (C=N), 1070–1226 (C-N), 3353 (N-H2), 3180, 3285 (C=N-H), 2900 (C-H), 670 (M-N), 544 (M-Cl).

2.4. Single-Crystal X-ray Diffraction (SCXRD)

Single crystals suitable for X-ray analysis were obtained by slow evaporation of the methanol solvent from the mother liquor (see Supporting Information Figure S3). Diffraction data for both compounds were collected at 100(2) K on a Rigaku Synergy-S diffractometer equipped with a HyPix-6000HE detector system, using photon jet microfocus source MoKα (0.71073 Ǻ) radiation. Cell parameters were obtained on all reflections using CrysAlisPro software [10]. Data integration and scaling were performed using CrysAlisPro software [10]. The structures were solved with SHELXT [11] and refined with SHELXL [12] softwares, respectively, within the Olex2 system [13]. In all cases, non-hydrogen atoms were clearly resolved and full-matrix least-squares refinement with anisotropic thermal parameters was performed. In addition, hydrogen atoms were stereochemically positioned and refined using the riding model [14]. Thermal ellipsoid diagrams and polyhedron representation were prepared with Diamond [15]. The mercury program was used for the preparation of artwork [16]. The CIF file of the compound was deposited in the Cambridge Structural Data Base under the code CCDC 2277033–2277034.

3. Results and Discussion

3.1. Structural Analysis

ORTEP-type diagrams of the asymmetric unit of the [Co(Met)3][CoCl4]Cl·3H2O (Met-Co-2) and (b) [(Cu(Met)Cl)2-μ-Cl2] (Met-Cu-2) complexes are shown in Figure 1. Crystallographic and refinement data are presented in the Table 1.
The compound Met-Co-2 is represented by the formula [Co(C4H11N5)3][CoCl4]Cl·3H2O and it was obtained as green prismatic crystals that crystallized in the P21/n monoclinic space group. The asymmetric unit is formed by one cationic complex, one cobalt tetrachloride anionic complex, one chloride anion and three water molecules (Figure 2). Although the production of mixed-valent cobalt complexes has been studied for a long time using different ligands [17,18,19,20,21,22], as far as we know, this is the first metformin complex with a Co(II)/Co(III) mixed-valence metallic center.
The cationic complex is formed by one Co(III) metallic center coordinated by three metformin molecules bonded through the nitrogen atoms in a CoN6 arrangement, generating a distorted octahedral polyhedron (Figure 2). The anionic complex is formed by one Co(II) center coordinated by four chloride atoms forming a tetrahedral arrangement (Figure 2).
The cationic part of this complex [Co(Met)3]3+ presents high similarity with the compound previously reported with the formula [Co(Met)3]Cl2·2H2O (Met-Co-1) [6]. Although both compounds present a distorted octahedral configuration, a root-mean-square deviation (RMSD) comparative analysis reveals differences in the torsion of the coordinated ligands (see Figure 3) and in the size of the polyhedron because of the small differences in the ionic radii of 0.745 and 0.61 Å for Co(II) and Co(III), respectively [23].
From the supramolecular view, the Met-Co-2 complex is formed by two subunits: [Co(Met)3]3+ and [CoCl4]2−. The cationic units are joined along the [001] direction by N-H∙∙∙O, O-H∙∙∙Cl and N-H∙∙∙Cl interactions with distances of 2.964, 3.139 and 3.240 Å, respectively (Figure 4). The chains of the cationic subunit are linked by the anionic subunits along the [100] direction through O-H∙∙∙Cl and N-H∙∙∙Cl weak interactions, with distances of 3.257 and 3.270 Å, respectively. Finally, the crystal packing is formed by O-H∙∙∙Cl and N-H∙∙∙O intermolecular interactions between the cationic subunits, the chloride anion and the water molecules, giving rise to the formation of chains along the [010] direction (Figure 4).
The compound Met-Cu-2 is represented by the formula [Cu(C4H11N5)Cl)2-μ-Cl2] and it was obtained as blue crystals that crystallized in the P21/n monoclinic space group. The asymmetric unit is formed by a Cu(II) metallic cation coordinated to one chelate metformin ligand and two chloride atoms (Figure 5). This complex presents a dimeric structure composed of two copper atoms joined through two bridge chloride ligands (μ-Cl), two terminal chlorides and one metformin molecule coordinated through the nitrogen atoms to each metal center in a distorted square pyramid arrangement (τ = 0.18) (Figure 5) [24].
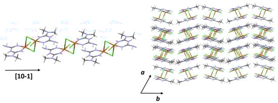
The Met-Cu-2 complex shows N-H∙∙∙Cl intermolecular interactions between dimeric units with a distance of 3.295 Å forming infinite chains along the [10−1] direction. The chains are linked along the [101] direction by N-H∙∙∙Cl and C-H∙∙∙C interactions with distances of 3.313 and 3.719 Å and linked along the [010] direction by the same interactions with distances of 3.650 and 3.333 Å, respectively (Figure 6).

3.2. Supramolecular Interaction Analysis

To better understand the supramolecular interactions present in the complexes Met-Co-2 and Met-Cu-2, the Hirshfeld surface (HS) and fingerprint plots (FPP) analyses were performed [25,26,27]. These tools are used to generate a dnorm surface or normalized contact distance based on the contact distances between the donor and acceptor atoms [25]. The color code corresponds to the sum of the van der Waals radii distances (red < sum VdWradii; blue = sum VdW radii; white > sum VdW radii) (Figure 7).
As can be observed in Figure 7, the red regions are located above the amine and methyl groups and above the chloride atoms. This can be seen most clearly in the interaction values obtained from the FPPs, where it can be observed that the crystalline packing is influenced by weak H∙∙∙H contacts but with a significant contribution of N∙∙∙H and Cl∙∙∙H contacts. Figure 8 shows the intermolecular contribution in all the previously identified metformin complexes [6] and the complexes reported in this study. In all cases, a different behavior is evident depending on the nature of the complex. The complexes that present chlorides coordinated to the metal center present a greater amount of halogen interactions. Meanwhile, the other complexes show more H∙∙∙H contacts and a strong dependence of N∙∙∙H interactions in the crystal packing. This distribution of intermolecular interactions can give us an idea of how each of the molecules may interact in the presence of a protein active center, as is shown below.

3.3. IR Analysis

The infrared spectra of metformin hydrochloride and its complexes were examined to confirm the obtained complexes and to verify the coordination modes of the ligand. In both compounds, the most significant bands of the metformin ligand were observed (see Supporting Information Figure S1). For Met-Co-2, a wide band at 3466 cm−1 is associated with the O-H water vibration. The vibrational bands associated with N-H stretching of the C=N-H and NH2 groups were observed at 3180, 3285 and 3353 cm−1 for the Met-Cu-2 complex [28,29]. For the Met-Co-2 compound, these two bands overlap with the υO-H band from the water molecules. Two high intensity broad bands were observed for the asymmetrical and symmetrical C=N vibrations at 1640 and 1680 cm−1 for the Met-Co-2 compound, and one band was observed at 1660 cm−1 for the Met-Cu-2 complex [29]. C-N stretching of the amine has been observed in the region between 1070 cm−1 and 1226 cm−1 [28,29].

3.4. Thermal Stability

Both compounds were analyzed by TGA-DSC analysis in a temperature range of 25–900 °C (see Supporting Information Figure S2). The Met-Co-2 compound presented an early degradation due to the loss of three water molecules and one metformin ligand (experimental = 24.8%, theoretical = 24.9%) in a 62–310 °C range. Decomposition of the complex was observed over 310 °C. The Met-Cu-1 complex presented a thermal stability up to 245 °C, where the decomposition of the molecule was observed.

4. Conclusions

In this study, two new metformin complexes with Co(II)/Co(III) and Cu(II) were obtained. The complexes are represented by the [Co(Met)3][CoCl4]Cl·3H2O and [(Cu(Met)Cl)2-μ-Cl2] formulae. Met-Co-1 is a complex salt formed by a cationic [Co(Met)3]3+ and an anionic [CoCl4]2− in an octahedral arrangement and a tetrahedral arrangement, respectively. As far we know, this is the first metformin complex with a Co(II)/Co(III) mixed-valence metallic center. Met-Cu-2 is a dimeric compound formed by two metallic centers joined by two chlorides in μ-Cl mode forming a shared-edge square pyramid polyhedron configuration. As expected for metformin-derived compounds, the crystal packing is governed by strong H∙∙∙N hydrogen interactions and weak Cl∙∙∙H and H∙∙∙H interactions, which results in the formation of the supramolecular structure. Metformin-derived coordination complexes and their structural and supramolecular analysis are a step forward in understanding their potential use as drugs.
The synthesis methodology used to obtain the reported compounds was based on the work previously carried out in our group. A metal-ligand ratio of 1:3 and an excess of base (NaOH) were used to obtain the Met-Co-2 complex. In this case, the excess base and the presence of moisture favored the partial oxidation of Co(II) to Co(III) and the formation of the Met-Co-2 compound. Something similar was observed in the synthesis of the Met-Cu-2 complex, where the use of methanol as solvent and an excess of base favored the formation of the dimer. These results show that small modifications in the reaction conditions can lead to the formation of different crystalline phases.

Supplementary Materials

The following supporting information can be downloaded at: https://www.mdpi.com/article/10.3390/cryst13081176/s1, Figure S1: IR spectroscopy for Met-Co-2 and Met-Cu-2 complexes; Figure S2: TGA and DSC analysis for Met-Co-2 and Met-Cu-2 complexes; Figure S3: Pictures of Met-Co-2 and Met-Cu-2 crystals.

Author Contributions

Conceptualization, R.F.D.; methodology, R.F.D., A.P.-D. and G.M.; software, R.F.D.; validation, R.F.D. and J.E.; formal analysis, J.E., P.H.O.S., R.F.D. and A.P.-D.; investigation, R.F.D., A.P.-D. and G.M.; resources, R.F.D.; data curation, R.F.D.; writing—original draft preparation, R.F.D.; writing—review and editing, R.F.D., A.P.-D., G.M., J.E. and P.H.O.S.; visualization, R.F.D.; supervision, R.F.D.; project administration, R.F.D. and J.E.; funding acquisition, R.F.D. and J.E. All authors have read and agreed to the published version of the manuscript.

Funding

This research and APC were funded by Direccion General de Investigaciones (DGI) from Universidad Santiago de Cali grant number 445-621121-2807, and internal call No. 2-2023, respectively.

Data Availability Statement

Not applicable.

Acknowledgments

The authors acknowledge the Dirección General de Investigaciones from Universidad Santiago de Cali for the financial support, project 445-621121-2807 and internal calls No. 07-2022 and No 2-2023. We also acknowledge the project SGR BPIN 2022000100068 for young researchers from Chocó, Valle del Cauca, Cauca and Nariño, alliance USC-Univalle-UAO-ICESI-PUJ. J.E. is grateful to the Brazilian agencies FAPESP (Processes No. 2017/15850-0 and 2021/10066-5) and CNPq (Process No. 312505/2021-3).

Conflicts of Interest

The authors declare no conflict of interest.

References

  1. Bailey, C.J. Metformin: Historical overview. Diabetologia 2017, 60, 1566–1576. [Google Scholar] [CrossRef]
  2. Rusanov, D.A.; Zou, J.; Babak, M.V. Biological Properties of Transition Metal Complexes with Metformin and Its Analogues. Pharmaceuticals 2022, 15, 453. [Google Scholar] [CrossRef]
  3. Abdelrahman, S.; Alghrably, M.; Campagna, M.; Hauser, C.A.; Jaremko, M.; Lachowicz, J.I. Metal Complex Formation and Anticancer Activity of Cu(I) and Cu(II) Complexes with Metformin. Molecules 2021, 26, 4730. [Google Scholar] [CrossRef]
  4. Shi, F.-F.; Xu, Q.; Wang, J.; Zheng, Y. Synthesis, crystal structure, the Hirshfeld surface analysis, and antimicrobial activity of a three-dimensional Cu(II) complex with N-substituted biguanide. J. Chem. Res. 2021, 45, 767–772. [Google Scholar] [CrossRef]
  5. Lemoine, P.; Chiadmi, M.; Bissery, V.; Tomas, A.; Viossat, B. Les Composes de la Metformine avec les Ions CoII, CuII et NiII. Acta Crystallogr. Sect. C 1996, 52, 1430–1436. [Google Scholar] [CrossRef]
  6. Villamizar-Delgado, S.; Porras-Osorio, L.M.; Piñeros, O.; Ellena, J.; Balcazar, N.; Varela-Miranda, R.E.; D’Vries, R.F. Biguanide–transition metals complexes as potential drug for hyperglycemia treatment. RSC Adv. 2020, 10, 22856–22863. [Google Scholar] [CrossRef]
  7. Ghasemi, K.; Rezvani, A.R.; Rosli, M.M.; Abdul Razak, I.; Moghimi, A.; Ghasemi, F. Potential antidiabetic drug involving a zinc anionic complex of dipic and metformin as counter ions: Synthesis, characterization, crystal structure and electrochemical studies. J. Mol. Struct. 2014, 1074, 79–84. [Google Scholar] [CrossRef]
  8. Olar, R.; Badea, M.; Lazar, V.; Balotescu, C.; Cristurean, E.; Marinescu, D. Thermalbehavior of some N,N-dimethylbiguanide derivatives displaying antimicrobialactivity. J. Therm. Anal. Calorim. 2007, 88, 323–327. [Google Scholar] [CrossRef]
  9. Olar, R.; Badea, M.; Cristurean, E.; Lazar, V.; Cernat, R.; Balotescu, C. Thermal behavior, spectroscopic and biological characterization of Co(II), Zn(II), Pd(II) and Pt(II) complexes with N,N-dimethylbiguanide. J. Therm. Anal. Calorim. 2005, 80, 451–455. [Google Scholar] [CrossRef]
  10. CrysAlisPro. CrysAlisPro; Agilent Technologies Ltd.: Yarnton, UK, 2014. [Google Scholar]
  11. Sheldrick, G. SHELXT—Integrated space-group and crystal-structure determination. Acta Crystallogr. Sect. A 2015, 71, 3–8. [Google Scholar] [CrossRef]
  12. Sheldrick, G. Crystal structure refinement with SHELXL. Acta Crystallogr. Sect. C 2015, 71, 3–8. [Google Scholar] [CrossRef] [PubMed]
  13. Dolomanov, O.V.; Bourhis, L.J.; Gildea, R.J.; Howard, J.A.K.; Puschmann, H. OLEX2: A complete structure solution, refinement and analysis program. J. Appl. Crystallogr. 2009, 42, 339–341. [Google Scholar] [CrossRef]
  14. Sheldrick, G. A short history of SHELX. Acta Crystallogr. Sect. A 2008, 64, 112–122. [Google Scholar] [CrossRef] [PubMed]
  15. Brandenburg, K.; Putz, H. DIAMOND—Crystal and Molecular Structure Visualization; Crystal Impact: Bonn, Germany, 2006. [Google Scholar]
  16. Macrae, C.F.; Bruno, I.J.; Chisholm, J.A.; Edgington, P.R.; McCabe, P.; Pidcock, E.; Rodriguez-Monge, L.; Taylor, R.; Van De Streek, J.; Wood, P.A. Mercury CSD 2.0—New features for the visualization and investigation of crystal structures. J. Appl. Crystallogr. 2008, 41, 466–470. [Google Scholar] [CrossRef]
  17. Bhunia, S.; Gomila, R.M.; Frontera, A.; Chattopadhyay, S. An insight to the role of perchlorate counter ions and different non-covalent interactions in the solid state structures of mono-anionic malonic acid bridged trinuclear mixed valence cationic complexes of cobalt with tetradentate N2O2 donor ligands. Inorg. Chim. Acta 2023, 547, 121324. [Google Scholar] [CrossRef]
  18. Gransbury, G.K.; Livesay, B.N.; Janetzki, J.T.; Hay, M.A.; Gable, R.W.; Shores, M.P.; Starikova, A.; Boskovic, C. Understanding the Origin of One- or Two-Step Valence Tautomeric Transitions in Bis(dioxolene)-Bridged Dinuclear Cobalt Complexes. J. Am. Chem. Soc. 2020, 142, 10692–10704. [Google Scholar] [CrossRef]
  19. Kumar, P.; Sen, A.; Rajaraman, G.; Shanmugam, M. An unusual mixed-valence cobalt dimer as a catalyst for the anti-Markovnikov hydrophosphination of alkynes. Inor. Chem. Front. 2022, 9, 2161–2172. [Google Scholar] [CrossRef]
  20. Banerjee, A.; Herrero, S.; Gutiérrez, Á.; Chattopadhyay, S. Synthesis, structure and magnetic property of a dinuclear cobalt(II/III) complex with a reduced Schiff base ligand. Polyhedron 2020, 190, 114756. [Google Scholar] [CrossRef]
  21. Coban, M.B.; Gungor, E.; Kara, H.; Baisch, U.; Acar, Y. New mixed valence defect dicubane cobalt(II)/cobalt(III) complex: Synthesis, crystal structure, photoluminescence and magnetic properties. J. Mol. Struct. 2018, 1154, 579–586. [Google Scholar] [CrossRef]
  22. Ghosh, K.; Harms, K.; Bauzá, A.; Frontera, A.; Chattopadhyay, S. σ-Hole halogen bonding interactions in a mixed valence cobalt(iii/ii) complex and anti-electrostatic hydrogen bonding interaction in a cobalt(iii) complex: A theoretical insight. CrystEngComm 2018, 20, 7281–7292. [Google Scholar] [CrossRef]
  23. Shannon, R. Revised effective ionic radii and systematic studies of interatomic distances in halides and chalcogenides. Acta Crystallogr. Sect. A 1976, 32, 751–767. [Google Scholar] [CrossRef]
  24. Addison, A.W.; Rao, T.N.; Reedijk, J.; van Rijn, J.; Verschoor, G.C. Synthesis, structure, and spectroscopic properties of copper(II) compounds containing nitrogen–sulphur donor ligands; the crystal and molecular structure of aqua [1,7-bis(N-methylbenzimidazol-2′-yl)-2,6-dithiaheptane]copper(II) perchlorate. J. Chem. Soc. Dalton Trans. 1984, 1349–1356. [Google Scholar] [CrossRef]
  25. McKinnon, J.J.; Spackman, M.A.; Mitchell, A.S. Novel tools for visualizing and exploring intermol ecular interactions in molecular crystals. Acta Crystallogr. Sect. B 2004, 60, 627–668. [Google Scholar] [CrossRef]
  26. Wolf, S.K.; Grimwood, D.J.; McKinnon, J.J.; Jayatilaka, D.; Spackman, M.A. CrystalExplorer 2.1; University of Western Australia: Perth, Australia, 2007. [Google Scholar]
  27. Spackman, M.A.; McKinnon, J.J. Fingerprinting intermolecular interactions in molecular crystals. CrystEngComm 2002, 4, 378–392. [Google Scholar] [CrossRef]
  28. Nakamoto, K. Infrared and Raman Spectra of Inorganic and Coordination Compounds, 6th ed.; John Wiley & Sons, Inc.: Hoboken, NJ, USA, 2009. [Google Scholar]
  29. Refat, M.S.; Al-Azab, F.M.; Al-Maydama, H.M.A.; Amin, R.R.; Jamil, Y.M.S.; Kobeasy, M.I. Synthesis, spectroscopic and antimicrobial studies of La(III), Ce(III), Sm(III) and Y(III) Metformin HCl chelates. Spectrochim. Acta A Mol. Biomol. Spectrosc. 2015, 142, 392–404. [Google Scholar] [CrossRef]
Scheme 1. Protonate–deprotonate equilibrium of metformin (Met) to form different cationic and anionic species.
Scheme 1. Protonate–deprotonate equilibrium of metformin (Met) to form different cationic and anionic species.
Crystals 13 01176 sch001
Figure 1. ORTEP-type diagram at the 50% probability level of the asymmetric unit of the (a) Met-Co-2 and (b) Met-Cu-2 compounds. Hydrogen atoms in Met-Co-2 were removed for clarity.
Figure 1. ORTEP-type diagram at the 50% probability level of the asymmetric unit of the (a) Met-Co-2 and (b) Met-Cu-2 compounds. Hydrogen atoms in Met-Co-2 were removed for clarity.
Crystals 13 01176 g001
Figure 2. Polyhedron representation of the coordination metal in the [Co(Met)3]3+ and [CoCl4]2− subunits presented in the Met-Co-2 complex.
Figure 2. Polyhedron representation of the coordination metal in the [Co(Met)3]3+ and [CoCl4]2− subunits presented in the Met-Co-2 complex.
Crystals 13 01176 g002
Figure 3. RMSD comparative analysis of the cationic [Co(Met)3]2+ (Met-Co-1 = blue, reference [6]) and [Co(Met)3]3+ subunits (Met-Co-2 = red, this study).
Figure 3. RMSD comparative analysis of the cationic [Co(Met)3]2+ (Met-Co-1 = blue, reference [6]) and [Co(Met)3]3+ subunits (Met-Co-2 = red, this study).
Crystals 13 01176 g003
Figure 4. Infinite chains of [Co(Met)3]3+ cationic subunits along the [001] direction and crystal packing of the Met-Co-2 compound.
Figure 4. Infinite chains of [Co(Met)3]3+ cationic subunits along the [001] direction and crystal packing of the Met-Co-2 compound.
Crystals 13 01176 g004
Figure 5. Polyhedron representation of the dimeric structure presented in the Met-Cu-2 complex.
Figure 5. Polyhedron representation of the dimeric structure presented in the Met-Cu-2 complex.
Crystals 13 01176 g005
Figure 6. Chains of the dimeric units along the [10−1] direction and crystal packing of the Met-Cu-2 compound.
Figure 6. Chains of the dimeric units along the [10−1] direction and crystal packing of the Met-Cu-2 compound.
Crystals 13 01176 g006
Figure 7. Hirshfeld surfaces and fingerprint plots for (a) Met-Co-2 and (b) Met-Cu-2 complexes.
Figure 7. Hirshfeld surfaces and fingerprint plots for (a) Met-Co-2 and (b) Met-Cu-2 complexes.
Crystals 13 01176 g007
Figure 8. Intermolecular contact values for Met-Cu-1 *, Met-Cu-2 **, Met-Co-1 *, Met-Co-2 **, Met-Ni-1 * and Met-Zn-1 * complexes. (* Reference [6]; ** this study).
Figure 8. Intermolecular contact values for Met-Cu-1 *, Met-Cu-2 **, Met-Co-1 *, Met-Co-2 **, Met-Ni-1 * and Met-Zn-1 * complexes. (* Reference [6]; ** this study).
Crystals 13 01176 g008
Table 1. Crystallographic and refinement data for Met-Co-2 and Met-Cu-2 complexes.
Table 1. Crystallographic and refinement data for Met-Co-2 and Met-Cu-2 complexes.
CompoundMet-Co-2Met-Cu-2
Emp. FormulaC12H39Cl5N15O3Co2C4H11Cl2N5Cu
FW (g∙mol−1)736.69263.62
λ (Å)0.710730.71073
Crystal systemMonoclinicMonoclinic
Space groupP21/nP21/n
Unit cell
a (Å)10.3808 (2)7.5287 (3)
b (Å)26.2761 (5)16.5771 (4)
c (Å)11.3407 (3)7.9737 (3)
β (˚)101.374 (2)113.925 (4)
Volume (Å3)3032.62 (12)909.64 (6)
Z44
ρcalc (mg∙m3)1.6141.925
Abs. Coeff. (mm−1)1.5782.940
F(000)1517532
θ range (˚)2.4 to 28.72.5 to 28.7
Refl. collected/Unique [Rint]43,679/7831
[0.0448]
12,829/2355
[0.030]
Completeness (%)100100
Data/restraints
/parameters
7831/2/4332355/0/118
Goof on F21.0841.078
R1 [I > 2σ(I)]
wR2 [I > 2σ(I)]
0.0352
0.0723
0.0237
0.0644
Disclaimer/Publisher’s Note: The statements, opinions and data contained in all publications are solely those of the individual author(s) and contributor(s) and not of MDPI and/or the editor(s). MDPI and/or the editor(s) disclaim responsibility for any injury to people or property resulting from any ideas, methods, instructions or products referred to in the content.

Share and Cite

MDPI and ACS Style

Pastrana-Dávila, A.; Minotta, G.; Ellena, J.; Santiago, P.H.O.; D’Vries, R.F. Synthesis, Characterization and Structural Analysis of Two New Biguanide Complexes. Crystals 2023, 13, 1176. https://doi.org/10.3390/cryst13081176

AMA Style

Pastrana-Dávila A, Minotta G, Ellena J, Santiago PHO, D’Vries RF. Synthesis, Characterization and Structural Analysis of Two New Biguanide Complexes. Crystals. 2023; 13(8):1176. https://doi.org/10.3390/cryst13081176

Chicago/Turabian Style

Pastrana-Dávila, Andrea, Gianella Minotta, Javier Ellena, Pedro H. O. Santiago, and Richard F. D’Vries. 2023. "Synthesis, Characterization and Structural Analysis of Two New Biguanide Complexes" Crystals 13, no. 8: 1176. https://doi.org/10.3390/cryst13081176

APA Style

Pastrana-Dávila, A., Minotta, G., Ellena, J., Santiago, P. H. O., & D’Vries, R. F. (2023). Synthesis, Characterization and Structural Analysis of Two New Biguanide Complexes. Crystals, 13(8), 1176. https://doi.org/10.3390/cryst13081176

Note that from the first issue of 2016, this journal uses article numbers instead of page numbers. See further details here.

Article Metrics

Back to TopTop