Photocatalytic and Antimicrobial Activity of Titanium(IV)-Oxo Clusters of Different Core Structure
Abstract
1. Introduction
2. Materials and Methods
2.1. General ProcedureandReagents
2.2. Analytical Procedures
2.3. Synthesis of [Ti6O4(OiBu)8(O2C13H9)8] · 2(CH3)2CO (1), [Ti6O6(OiBu)6(O2C13H9)6] (2), and [Ti6O6(OiBu)6(O2C13H9)6] (3)
2.4. Synthesis of [Ti3O(OiPr)8(O2C13H9)2] (4)
2.5. Synthesis of [Ti4O2(OiBu)10(O2C13H9)2] (5)
2.6. Single Crystal X-ray Diffraction Measurements
2.7. Preparation of PMMA + TOCs Composite Films
2.8. The Photocatalytic Activity Evaluation of PMMA + TOCs Composite Films
2.9. EPR Studies
2.10. Antimicrobial Activity of PMMA + TOCs Composite Films
3. Results
3.1. Structures of (1)–(5) Oxo Complexes
3.2. Preparation of the PMMA + TOCs Composite Films and the Estimation of Their Properties
3.3. The Analysis of Thermal Properties of PMMA + TOCs Composites
3.4. UV–Vis Diffuse Reflectance Spectra (UV–Vis-DRS) of the Studied Samples
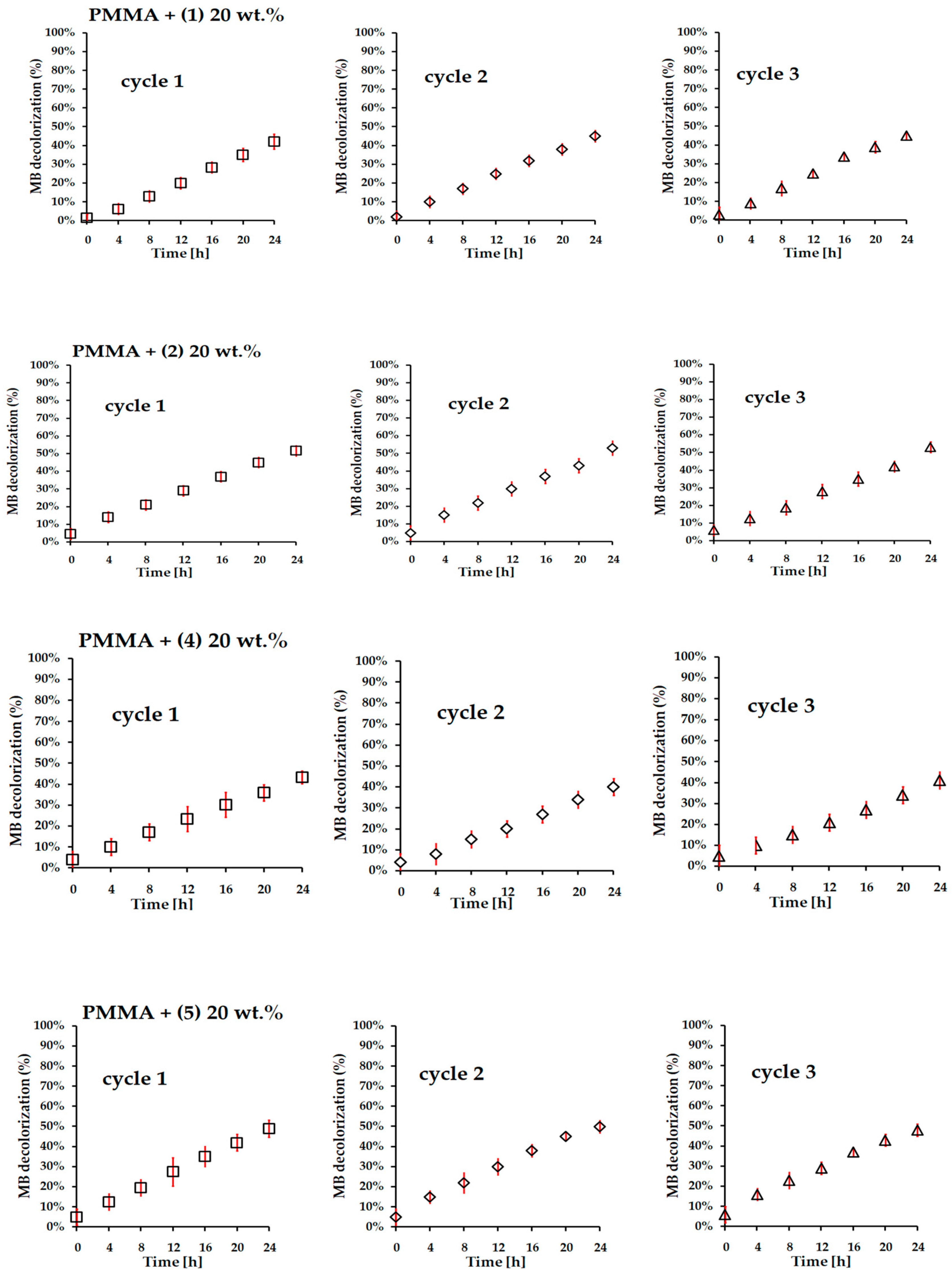
3.5. Photocatalytic Activity Studies of PMMA + TOCs Composite Films
3.6. Electron Paramagnetic Resonance (EPR) Studies of PMMA + TOCs Composite Films
3.7. The Estimation of the Antimicrobial Activity of PMMA + TOCs Composite Folis
4. Discussion
5. Conclusions
Supplementary Materials
Author Contributions
Funding
Data Availability Statement
Conflicts of Interest
References
- Zaky, A.M.; Chaplin, B.P. Porous Substoichiometric TiO2 Anodes as Reactive Electrochemical Membranes for Water Treatment. Environ. Sci. Technol. 2013, 47, 6554–6563. [Google Scholar] [CrossRef]
- Jandam, N.; Serivalsatit, K.; Hunsom, M.; Pruksathorn, K. Ultrasound-Assisted Synthesis of Nonmetal-Doped Titanium Dioxide Photocatalysts for Simultaneous H2 Production and Chemical Oxygen Demand Removal from Industrial Wastewater. ACS Omega 2021, 6, 24709–24719. [Google Scholar] [CrossRef]
- Li, A.; Chen, S.; Yang, F.; Gao, H.; Dong, C.; Wang, G. Metalloporphyrin-Decorated Titanium Dioxide Nanosheets for Efficient Photocatalytic Carbon Dioxide Reduction. Inorg. Chem. 2021, 60, 18337–18346. [Google Scholar] [CrossRef]
- Trivedi, M.; Murase, J. Titanium Dioxide in Sunscreen. In Application of Titanium Dioxide; Janus, M., Ed.; InTech: London, UK, 2017; ISBN 978-953-51-3429-9. [Google Scholar]
- He, Z.; Wu, H.; Shi, Z.; Gao, X.; Sun, Y.; Liu, X. Mussel-Inspired Durable TiO2/PDA-Based Superhydrophobic Paper with Excellent Self-Cleaning, High Chemical Stability, and Efficient Oil/Water Separation Properties. Langmuir 2022, 38, 6086–6098. [Google Scholar] [CrossRef]
- Radtke, J.; Wiedey, R.; Kleinebudde, P. Alternatives to Titanium Dioxide in Tablet Coating. Pharm. Dev. Technol. 2021, 26, 989–999. [Google Scholar] [CrossRef]
- Younes, M.; Aquilina, G.; Castle, L.; Engel, K.; Fowler, P.; Frutos Fernandez, M.J.; Fürst, P.; Gundert-Remy, U.; Gürtler, R. Safety Assessment of Titanium Dioxide(E171) as Food Additive. EFS2 2021, 19, e06585. [Google Scholar]
- Kitagawa, I.L.; Miyazaki, C.M.; Pitol-Palin, L.; Okamoto, R.; de Vasconcellos, L.M.R.; Constantino, C.J.L.; Lisboa-Filho, P.N. Titanium-Based Alloy Surface Modification with TiO2 and Poly(Sodium4-Styrenesulfonate) Multilayers for Dental Implants. ACS Appl. Bio Mater. 2021, 4, 3055–3066. [Google Scholar] [CrossRef] [PubMed]
- Kaur, R.; Thakur, N.S.; Chandna, S.; Bhaumik, J. Sustainable Lignin-Based Coatings Doped with Titanium Dioxide Nanocomposites Exhibit Synergistic Microbicidal and UV-Blocking Performance toward Personal Protective Equipment. ACS Sustain. Chem. Eng. 2021, 9, 11223–11237. [Google Scholar] [CrossRef]
- Ganguly, P.; Mathew, S.; Clarizia, L.; Kumar, R.S.; Akande, A.; Hinder, S.; Breen, A.; Pillai, S.C. Theoretical and Experimental Investigation of Visible Light Responsive AgBiS2-TiO2 Heterojunctions for Enhanced Photocatalytic Applications. Appl. Catal. B Environ. 2019, 253, 401–418. [Google Scholar] [CrossRef]
- Cao, L.; Li, Y.-F.; Tong, Y.; Yang, R.; Sun, L.; Cao, Q.; Chen, R. A Novel Bi12TiO20/g-C3N4 Hybrid Catalyst with a Bionic Granum Configuration for Enhanced Photocatalytic Degradation of Organic Pollutants. J. Hazard. Mater. 2019, 379, 120808. [Google Scholar] [CrossRef] [PubMed]
- Li, S.; Wang, C.; Liu, Y.; Cai, M.; Wang, Y.; Zhang, H.; Guo, Y.; Zhao, W.; Wang, Z.; Chen, X. Photocatalytic Degradation of Tetracycline Antibiotic by a Novel Bi2Sn2O7/Bi2MoO6S-Scheme Heterojunction: Performance, Mechanism Insightand Toxicity Assessment. Chem. Eng. J. 2022, 429, 132519. [Google Scholar] [CrossRef]
- Cheng, K.; Chhor, K.; Kanaev, A. Solvent Effect on Nucleation-Growth of Titanium-Oxo-Alkoxy Nanoparticles. Chem. Phys. Lett. 2017, 672, 119–123. [Google Scholar] [CrossRef]
- Schubert, U. Chemical Modification of Titanium Alkoxides for Sol–Gel Processing. J. Mater. Chem. 2005, 15, 3701. [Google Scholar] [CrossRef]
- Liu, X.-X.; Chen, S.; Fang, W.-H.; Zhang, L.; Zhang, J. Amino-Polyalcohol-Solvothermal Synthesis of Titanium-Oxo Clusters: From Ti6 to Ti19 with Structural Diversity. Inorg. Chem. 2019, 58, 7267–7273. [Google Scholar] [CrossRef]
- Sanchez, C.; Rozes, L.; Ribot, F.; Laberty-Robert, C.; Grosso, D.; Sassoye, C.; Boissiere, C.; Nicole, L. “Chimie Douce”: A Land of Opportunities for the Designed Construction of Functional Inorganic and Hybrid Organic-Inorganic Nanomaterials. Comptes Rendus Chim. 2010, 13, 3–39. [Google Scholar] [CrossRef]
- Piszczek, P.; Radtke, A.; Muzioł, T.; Richert, M.; Chojnacki, J. The Conversion of Multinuclear μ-OxoTitanium (IV) Species in the Reaction of Ti(OiBu)4 with Branched Organic Acids; Results of Structural and Spectroscopic Studies. Dalton Trans. 2012, 41, 8261–8269. [Google Scholar] [CrossRef] [PubMed]
- Radtke, A.; Piszczek, P.; Muzioł, T.; Wojtczak, A. The Structural Conversion of Multinuclear Titanium(IV)μ-Oxo-Complexes. Inorg. Chem. 2014, 53, 10803–10810. [Google Scholar] [CrossRef]
- Papiernik, R.; Hubert-Pfalzgraf, L.G.; Vaissermann, J.; Goncalves, M.C.H.B. Synthesis and Characterization of New Titanium Hexanuclear Oxo Carboxylato Alkoxides. Molecular Structure of [Ti6(μ3-O)6(μ-O2CC6H4OPh)6(OEt)6]. J. Chem. Soc. Dalton Trans. 1998, 14, 2285–2288. [Google Scholar] [CrossRef]
- Lv, H.-T.; Li, H.-M.; Zou, G.-D.; Cui, Y.; Huang, Y.; Fan, Y. Titanium-Oxo Clusters Functionalized with Catecholate-Type Ligands: Modulating the Optical Properties through Charge-Transfer Transitions. Dalton Trans. 2018, 47, 8158–8163. [Google Scholar] [CrossRef]
- Wang, C.; Wang, S.-J.; Kong, F.-G. Calixarene-Protected Titanium-Oxo Clusters and Their Photocurrent Responses and Photocatalytic Performances. Inorg. Chem. 2021, 60, 5034–5041. [Google Scholar] [CrossRef]
- Liu, J.-J.; Li, N.; Sun, J.-W.; Liu, J.; Dong, L.-Z.; Yao, S.-J.; Zhang, L.; Xin, Z.-F.; Shi, J.-W.; Wang, J.-X. Ferrocene-Functionalized Polyoxo-Titanium Cluster for CO2 Photoreduction. ACS Catal. 2021, 11, 4510–4519. [Google Scholar] [CrossRef]
- Wang, J.-F.; Fang, W.-H.; Li, D.-S.; Zhang, L.; Zhang, J. Cocrystal of {Ti4} and {Ti6} Clusters with Enhanced Photochemical Properties. Inorg. Chem. 2017, 56, 2367–2370. [Google Scholar] [CrossRef] [PubMed]
- Gao, M.-Y.; Fang, W.-H.; Wen, T.; Zhang, L.; Zhang, J. Connecting Titanium-Oxo Clusters by Nitrogen Heterocyclic Ligands to Produce Multiple Cluster Series with Photocatalytic H2 Evolution Activities. Cryst. Growth Des. 2017, 17, 3592–3595. [Google Scholar] [CrossRef]
- Wang, C.; Liu, C.; Li, L.-J.; Sun, Z.-M. Synthesis, Crystal Structures, and Photochemical Properties of a Family of Heterometallic Titanium Oxo Clusters. Inorg. Chem. 2019, 58, 6312–6319. [Google Scholar] [CrossRef] [PubMed]
- Svenson, F.G.; Sensenbaeva, G.A.; Keesler, V.G. Mixed-Ligand Titanium “Oxo-Clusters”: Structural Insights into the Formation and Binding of Organic Molecules and Transformation into Oxide Nanostructures on Hydrolysis and Thermolysis. Eur. J. Inorg. Chem. 2017, 35, 4117–4122. [Google Scholar] [CrossRef]
- Khalil, A.T.; Ovais, M.; Ullah, I.; Ali, M.; Shinwari, Z.K.; Khamlich, S.; Maaza, M. Sageretia Thea (Osbeck.) Mediated Synthesis of Zinc Oxide Nanoparticles and Its Biological Applications. Nanomedicine 2017, 12, 1767–1789. [Google Scholar] [CrossRef] [PubMed]
- Wang, G.; Feng, H.; Hu, L.; Jin, W.; Hao, Q.; Gao, A.; Peng, X.; Li, W.; Wong, K.-Y.; Wang, H.; et al. An Antibacterial Platform Based on Capacitive Carbon-Doped TiO2 Nanotubes after Direct or Alternating Current Charging. Nat. Commun. 2018, 9, 2055. [Google Scholar] [CrossRef]
- Mutalik, C.; Lin, I.-H.; Krisnawati, D.I.; Khaerunnisa, S.; Khafid, M.; Widodo; Hsiao, Y.C.; Kuo, Y.-R. Antibacterial Pathways in Transition Metal-Based Nanocomposites: A Mechanistic Overview. Int. J. Nanomed. 2022, 7, 6821–6842. [Google Scholar] [CrossRef]
- Gupta, A.; Mumtaz, S.; Li, C.-H.; Hussain, I.; Rotello, V.M. Combatting Antibiotic-Resistant Bacteria Using Nanomaterials. Chem. Soc. Rev. 2019, 48, 415–427. [Google Scholar] [CrossRef]
- Piszczek, P.; Kubiak, B.; Golińska, P.; Radtke, A. Oxo-Titanium(IV) Complex/Polymer Composites—Synthesis, Spectroscopic Characterization and Antimicrobial Activity Test. IJMS 2020, 21, 9663. [Google Scholar] [CrossRef]
- Kubiak, B.; Radtke, A.; Topolski, A.; Wrzeszcz, G.; Golińska, P.; Kaszkowiak, E.; Sobota, M.; Włodarczyk, J.; Stojko, M.; Piszczek, P. The Composites of PCL and Tetranuclear Titanium(IV)-Oxo Complexes as Materials Exhibiting the Photocatalytic and the Antimicrobial Activity. IJMS 2021, 22, 7021. [Google Scholar] [CrossRef] [PubMed]
- Meth-Cohn, O.; Thorpe, D.; Twitchett, H.J. Insertion Reactions of Titanium Alkoxides with Isocyanates and Carbodiimides. J. Chem. Soc. C 1970, 132–135. [Google Scholar] [CrossRef]
- Janek, M.; Muzioł, T.M.; Piszczek, P. Trinuclear Oxo-Titanium Clusters: Synthesis, Structure, and Photocatalytic Activity. Materials 2019, 12, 3195. [Google Scholar] [CrossRef]
- Janek, M.; Radtke, A.; Muzioł, T.; Jerzykiewicz, M.; Piszczek, P. Tetranuclear Oxo-Titanium Clusters with Different Carboxylate Aromatic Ligands: Optical Properties, DFT Calculations, and Photoactivity. Materials 2018, 11, 1661. [Google Scholar] [CrossRef] [PubMed]
- E. CrysAlis Red and CrysAlis CCD; Oxford Diffraction Ltd.: Abingdon, UK, 2000.
- Sheldrick, G.M. Crystal Structure Refinement with SHELXL. Acta Crystallogr. C Struct. Chem. 2015, 71, 3–8. [Google Scholar] [CrossRef]
- Brandenburg, K.; Berndt, M. Diamond, Release 2.1e, Crystal Impact GbR; Scientific Research: Bonn, Germany, 2001. [Google Scholar]
- Farrugia, L.J. WinGX and ORTEP for Windows: An Update. J. Appl. Crystallogr. 2012, 45, 849–854. [Google Scholar] [CrossRef]
- Xu, H.; Ouyang, S.; Liu, L.; Reunchan, P.; Umezawa, N.; Ye, J. Recent Advances in TiO2-Based Photocatalysis. J. Mater. Chem. A 2014, 2, 12642–12661. [Google Scholar] [CrossRef]
- Janek, M.; Muzioł, T.M.; Piszczek, P. The Structure and Photocatalytic Activity of the Tetranuclear Titanium(IV) Oxo-Complex with 4-Aminobenzoate Ligands. Polyhedron 2018, 141, 110–117. [Google Scholar] [CrossRef]
- Piszczek, P.; Grodzicki, A.; Richert, M.; Wojtczak, A. Structural and Thermal Stability Studies of Ti(IV) Hexanuclear Oxo Trimethylacetato Isopropoxide Complex. Inorganica Chim. Acta 2004, 357, 2769–2775. [Google Scholar] [CrossRef]
- Schubert, U. Titanium-Oxo Clusters with Bi- and Tridentate Organic Ligands: Gradual Evolution of the Structures from Small to Big. Chem. Eur. J. 2021, 27, 11239–11256. [Google Scholar] [CrossRef]
- Schubert, U. En Route from Metal Alkoxides to Metal Oxides: Metal Oxo/Alkoxo Clusters. J. Sol.-Gel. Sci. Technol. 2023, 105, 587–595. [Google Scholar] [CrossRef]
- Fang, W.-H.; Zhang, L.; Zhang, J. Synthetic Strategies, Diverse Structures and Tuneable Properties of Polyoxo-Titanium Clusters. Chem. Soc. Rev. 2018, 47, 404–421. [Google Scholar] [CrossRef] [PubMed]
- Piszczek, P. Thermal Behaviour of Hexanuclear Titanium(IV) Oxo Isopropoxide Carboxylates, and Their Usability as a Single-Source TiO2 CVD Precursors. Polyhedron 2007, 26, 93–100. [Google Scholar] [CrossRef]
- Piszczek, P.; Richert, M.; Wojtczak, A. Crystal Structure and Spectral Characterization of Hexanuclear Oxo Titanium(IV) Clusters: [Ti6O6(OSi(CH3)3)6(OOCR)6] (R = But, CH2But, C(CH3)2Et). Polyhedron 2008, 27, 602–608. [Google Scholar] [CrossRef]
- Nguyen, H.L.; Vu, T.T.; Le, D.; Doan, T.L.H.; Nguyen, V.Q.; Phan, N.T.S. A Titanium Organic Framework: Engineering of the Band-Gap Energy for Photocatalytic Property Enhancement. ACS Catal. 2017, 7, 338–342. [Google Scholar] [CrossRef]
- Liu, J.-X.; Gao, M.-Y.; Fang, W.-H.; Zhang, L.; Zhang, J. Bandgap Engineering of Titanium-Oxo Clusters: Labile Surface Sites Used for Ligand Substitution and Metal Incorporation. Angew. Chem. Int. Ed. Engl. 2016, 55, 5160–5165. [Google Scholar] [CrossRef]
- Cui, Y.; Zou, G.-D.; Li, H.-M.; Huang, Y.; Fan, Y. 4-Chlorosalicylate-Stabilized Titanium-Oxo Clusters with Structures Mediated by Tetrazole and Their Photophysical Properties. Polyhedron 2019, 157, 177–182. [Google Scholar] [CrossRef]
- He, W.; Liu, Y.; Wamer, W.G.; Yin, J.-J. Electron Spin Resonance Spectroscopy for the Study of Nanomaterial-Mediated Generation of Reactive Oxygen Species. J. Food Drug Anal. 2014, 22, 49–63. [Google Scholar] [CrossRef]
- Xiong, L.-B.; Li, J.-L.; Yang, B.; Yu, Y. Ti3+ in the Surface of Titanium Dioxide: Generation, Properties and Photocatalytic Application. J. Nanomater. 2012, 2012, 831524. [Google Scholar] [CrossRef]
- Suriye, K.; Lobo-Lapidus, R.J.; Yeagle, G.J.; Praserthdam, P.; Britt, R.D.; Gates, B.C. Probing Defect Sites on TiO2 with [Re3(CO)12H3]: Spectroscopic Characterization of the Surface Species. Chem. Eur. J. 2008, 14, 1402–1414. [Google Scholar] [CrossRef]
- Dan-Hardi, M.; Serre, C.; Frot, T.; Rozes, L.; Maurin, G.; Sanchez, C.; Férey, G. A New Photoactive Crystalline Highly Porous Titanium(IV) Dicarboxylate. J. Am. Chem. Soc. 2009, 131, 10857–10859. [Google Scholar] [CrossRef] [PubMed]
- Richards, E.; Murphy, D.M.; Che, M. An EPR Characterization of Stable and Transient Reactive Oxygen Species Formed under Radiative and Non-Radiative Conditions. Res. Chem. Intermed. 2019, 45, 5763–5779. [Google Scholar] [CrossRef]
- Kumaravel, V.; Nair, K.M.; Mathew, S.; Bartlett, J.; Kennedy, J.E.; Manning, H.G.; Whelan, B.J.; Leyland, N.S.; Pillai, S.C. Antimicrobial TiO2 nanocomposite coatings for surfaces, dental and orthopedic implants. Chem. Eng. J. 2021, 416, 129071. [Google Scholar] [CrossRef]
- Radtke, A.; Topolski, A.; Jedrzejewski, T.; Kozak, W.; Sadowska, B.; Wieckowska-Szakiel, M.; Piszczek, P. Bioactivity Studies on Titania Coatings and the Estimation of Their Usefulness in the Modification of Implant Surfaces. Nanomaterials 2017, 4, 90. [Google Scholar] [CrossRef] [PubMed]
- Piszczek, P.; Radtke, A.; Ehlert, M.; Jędrzejewski, M.; Sznarkowska, A.; Sadowska, B.; Bartmański, M.; Kemal Erdoğan, Y.K.; Ercan, B.; Jedrzejczyk, W. Comprehensive Evaluation of the Biological Properties of Surface-Modified Titanium Alloy Implants. J. Clin. Med. 2020, 9, 342. [Google Scholar] [CrossRef]
- Ehlert, M.; Radtke, A.; Forbot, N.; Jędrzejewski, T.; Roszek, K.; Golińska, P.; Trykowski, G.; Piszczek, P. TiO2/HA and Titanate/HA Double Layer Coatings on Ti6Al4V Surface and Their Influence on In Vitro Cell Growth and Osteogenic Potential. J. Funct. Biomater. 2022, 13, 271. [Google Scholar] [CrossRef]
- Li, L.; Wu, F.; Chen, Y.; Xu, L.; Hao, X.; Chen, Y.; Sun, Y.; Xiong, G. Reactions of Microorganisms with Atomic Oxygen Radical Anions: Damage of Cells and Irreversible Inactivation. J. Nanomater. 2019, 2019, 2483060. [Google Scholar] [CrossRef]
- Luksiene, Z. Photodynamic therapy: Mechanism of action and ways to improve the efficiency of treatment. Medicina 2003, 9, 1137–1150. [Google Scholar]








| Empirical Formula | C116H138O26Ti6 (1) | C108H108O24Ti6 (2) | C108H108O24Ti6 (3) |
|---|---|---|---|
| Formula weight | 2726.14 | 2077.34 | 2077.34 |
| Temperature (K) | 100 (2) | 100 (2) | 100 (2) |
| Wavelength (Å) | 1.54184 | 1.54184 | 1.54184 |
| Crystal system | Triclinic | Monoclinic | Tetragonal |
| Space group | P-1 | P21/n | I41/1 |
| Unit cell dimensions [Å] and [°] | a = 13.7398 (5) α = 103.877 (4) b = 15.6157 (6) β =106.420 (4) c =17.1768 (7) γ = 91.043 (3) | a = 14.2526 (9) α = 90 b = 16.1562 (9) β = 106.427 (6) c = 22.7794 (11) γ = 90 | a = 36.8090 (4) α = 90 b = 36.8090 (4) β = 90 c = 15.4415 (4) γ = 90 |
| Volume [Å3] | 3417.2 (2) | 5031.3 (5) | 20,921.7 (7) |
| Z, calculated density [Mg/m3] | 1, 1.325 | 2, 1.371 | 8, 1.319 |
| Absorption coefficient [mm−1] | 3.456 | 4.371 | 1.301 |
| F(000) | 1428 | 2160 | 8640 |
| Crystal size [mm3] | 0.060 × 0.050 × 0.040 | 0.410 × 0.270 × 0.110 | 0.120 × 0.080 × 0.030 |
| Theta range for data collection | 2.774 to 74.497° | 3.293 to 74.496° | 3.104 to 74.499° |
| Index ranges | −17 ≤ h ≤ 16 −19 ≤ k ≤ 19 −20 ≤ l ≤ 21 | −17 ≤ h ≤ 17 −20 ≤ k ≤ 19 −22 ≤ l ≤ 28 | −43 ≤ h ≤ 44 −41 ≤ k ≤ 46 −17 ≤ l ≤ 18 |
| Reflections collected/unique | 49,804 | 33,498 | 71,517 |
| Completeness to theta = 30.866° | 99.8% | 98.9% | 99.7% |
| Absorption correction | Gaussian | Gaussian | Analytical |
| Max. and min. transmission | 0.973 and 0.861 | 1.000 and 0.149 | 0.888 and 0.729 |
| Refinement method | Full-matrix least-square on F2 | Full-matrix least-square on F2 | Full-matrix least-square on F2 |
| Data/restraints/parameters | 13,516/76/887 | 9803/10/669 | 10,156/24/643 |
| Goodness-of-fit on F2 | 1.030 | 1.051 | 1.035 |
| Final R indices [I > 2sigma(I)] | R1a = 0.0654, wR2b = 0.1678 | R1a = 0.0710, wR2b = 0.1987 | R1a = 0.0678, wR2b = 0.1097 |
| R indices (all data) | R1a = 0.1055, wR2b = 0.1926 | R1aa = 0.0816, wR2b = 0.2103 | R1a = 0.1113, wR2b = 0.2214 |
| Largest diff. peak and hole | 0.554 and −0.507 e.Å−3 | 0.759 and −0.7530 e.Å−3 | 0.961 and −0.483 e.Å−3 |
| Composite | C | O | Al | Ti |
|---|---|---|---|---|
| PMMA | 26.10 | 72.23 | 1.67 | - |
| PMMA + (1) 10 wt.% | 53.02 | 40.81 | 1.03 | 6.12 |
| PMMA + (1) 20 wt.% | 53.15 | 37.90 | 1.00 | 7.95 |
| PMMA + (2) 10 wt.% | 51.77 | 42.26 | 1.49 | 4.48 |
| PMMA + (2) 20 wt.% | 52.45 | 41.12 | 0.81 | 5.62 |
| DSC | TGA | |||||
|---|---|---|---|---|---|---|
| Sample | Tg/°C | T/°C | Td/°C | Stage I | Stage II | Solid Residue |
| Tmax/°C/Δm/% | Tmax/°C/Δm/% | % | ||||
| PMMA | 99.6 | 150.8 | 315.8 | 199.9/12 | 365.1/85 | 3 |
| (PMMA + (1) 10 wt.%) | 71.3 | - | 311.3 | 200.2/15 | 372.3/80 | 5 |
| (PMMA + (1) 20 wt.%) | 71.5 | 315.3 | 200.2/15 | 375.2/75 | 10 | |
| (PMMA + (2) 10 wt.%) | 90.3 | 316.2 | 190.4/7 | 375.3/84 | 9 | |
| (PMMA + (2) 20 wt.%) | 90.8 | 316.1 | 219.3/5 | 376.1/85 | 10 | |
| Composite | MB Decolorization (%) | ΔA 18 | ΔA 18 in Reference to PMMA | 102 Rate Constant, h-1 | 102 Rate Constant in Reference to PMMA, h-1 |
|---|---|---|---|---|---|
| MB irradiated | 27.1 ± 3.1 | 0.270 | −0.063 | 1.35 ± 0.03 | −0.34 |
| PMMA | 33.3 ± 3.8 | 0.333 | - | 1.69 ± 0.03 | - |
| PMMA + (1) 20 wt.% | 42.0 ± 3.4 | 0.421 | 0.088 | 2.14 ± 0.04 | 0.45 |
| PMMA+ (2) 20 wt.% | 55.2 ± 4.4 | 0.551 | 0.218 | 2.25 ± 0.06 | 0.56 |
| PMMA+ (4) 20 wt.% | 44.2 ± 4.1 | 0.442 | 0.109 | 2.19 ± 0.05 | 0.50 |
| PMMA+ (5) 20 wt.% | 48.6 ± 4.2 | 0.485 | 0.152 | 2.23 ± 0.06 | 0.54 |
| Composite | MB Decolorization (%) | ΔA 24 | ΔA 24 in Reference to PMMA | 102 Rate Constant, h-1 | 102 Rate Constant in Reference to PMMA, h-1 |
| MB irradiated | 19.1 ± 2.9 | 0.191 | −0.182 | 0.79 ± 0.02 | −0.63 |
| PMMA | 37.4 ± 3.5 | 0.373 | - | 1.42 ± 0.03 | - |
| PMMA + (1) 20 wt.% | 42.1 ± 3.1 | 0.423 | 0.05 | 1.63 ± 0.03 | 0.21 |
| PMMA+ (2) 20 wt.% | 51.6 ± 4.2 | 0.519 | 0.146 | 1.96 ± 0.05 | 0.54 |
| PMMA+ (4) 20 wt.% | 43.4 ± 3.2 | 0.435 | 0.062 | 1.74 ± 0.04 | 0.32 |
| PMMA+ (5) 20 wt.% | 49.1 ± 3.9 | 0.490 | 0.117 | 1.85 ± 0.05 | 0.43 |
| Sample | g-Factors | Species | Ref. |
|---|---|---|---|
| PMMA + (1) 10 wt.% | 2.025, 2.009, 2.003 2.018, ca. 2.008(?), 2.000 1.993, 1.986(?) | O2− O− Ti(III) | - |
| PMMA + (2) 10 wt.% | 2.017, 2.008, 1.999 1.993, 1.984(?) | O− Ti(III) | - |
| PMMA + (4) 20 wt.% | 2.025, 2.017, 2.007, 2.000, 1.993, 1.989(?) | O2− Ti(III)? | - |
| PMMA + (5) 20 wt.% | 2.024, 2.0095, 2.0034 2.003, −1.997 1.967, 1.957, 1.938 | O2− O− Ti(III) | [32] |
| Microorganisms | ||||||
|---|---|---|---|---|---|---|
| No. | Composite Sample | Escherichia coli ATCC 8739 | Escherichia coli ATCC 5922 | Staphylococcus aureus ATCC 6538 | Staphylococcus aureus ATCC 25923 | Candida albicans ATCC 10231 |
| 1 | PMMA | none | none | none | none | none |
| 2 | PMMA + (1) 20 wt.% | 2.6 | 2.0 | 5.3 | 5.4 | 0.45 |
| 3 | PMMA + (2) 20 wt.% | 1.6 | 1.3 | 5.3 | 5.4 | 0.5 |
| 4 | PMMA + (4) 20 wt.% | 1.3 | 3.2 | 5.3 | 5.4 | 0.6 |
| 5 | PMMA + (5) 20 wt.% | 2.0 | 3.2 | 5.3 | 5.4 | 0.1 |
Disclaimer/Publisher’s Note: The statements, opinions and data contained in all publications are solely those of the individual author(s) and contributor(s) and not of MDPI and/or the editor(s). MDPI and/or the editor(s) disclaim responsibility for any injury to people or property resulting from any ideas, methods, instructions or products referred to in the content. |
© 2023 by the authors. Licensee MDPI, Basel, Switzerland. This article is an open access article distributed under the terms and conditions of the Creative Commons Attribution (CC BY) license (https://creativecommons.org/licenses/by/4.0/).
Share and Cite
Kubiak, B.; Piszczek, P.; Radtke, A.; Muzioł, T.; Wrzeszcz, G.; Golińska, P. Photocatalytic and Antimicrobial Activity of Titanium(IV)-Oxo Clusters of Different Core Structure. Crystals 2023, 13, 998. https://doi.org/10.3390/cryst13070998
Kubiak B, Piszczek P, Radtke A, Muzioł T, Wrzeszcz G, Golińska P. Photocatalytic and Antimicrobial Activity of Titanium(IV)-Oxo Clusters of Different Core Structure. Crystals. 2023; 13(7):998. https://doi.org/10.3390/cryst13070998
Chicago/Turabian StyleKubiak, Barbara, Piotr Piszczek, Aleksandra Radtke, Tadeusz Muzioł, Grzegorz Wrzeszcz, and Patrycja Golińska. 2023. "Photocatalytic and Antimicrobial Activity of Titanium(IV)-Oxo Clusters of Different Core Structure" Crystals 13, no. 7: 998. https://doi.org/10.3390/cryst13070998
APA StyleKubiak, B., Piszczek, P., Radtke, A., Muzioł, T., Wrzeszcz, G., & Golińska, P. (2023). Photocatalytic and Antimicrobial Activity of Titanium(IV)-Oxo Clusters of Different Core Structure. Crystals, 13(7), 998. https://doi.org/10.3390/cryst13070998

