Phase Compositions and Microwave Dielectric Properties of Na1+xSrB5O9+0.5x Ceramics
Abstract
1. Introduction
2. Experimental Procedure
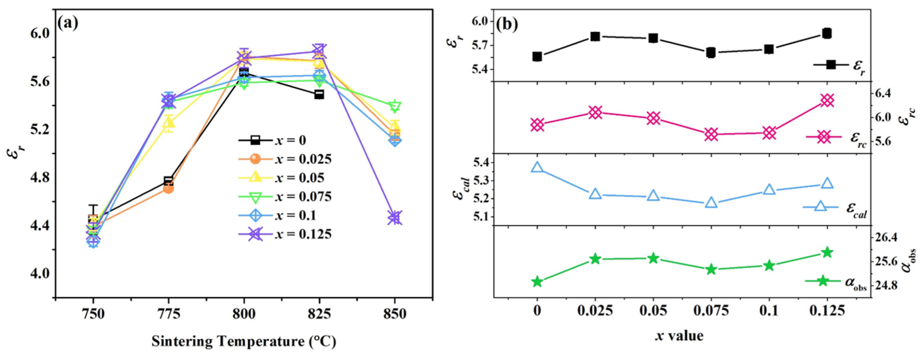
3. Results and Discussion
4. Conclusions
Author Contributions
Funding
Institutional Review Board Statement
Informed Consent Statement
Data Availability Statement
Acknowledgments
Conflicts of Interest
References
- Lou, W.; Mao, M.; Song, K.; Xu, K.; Liu, B.; Li, W.; Yang, B.; Qi, Z.; Zhao, J.; Sun, S.; et al. Low permittivity cordierite-based microwave dielectric ceramics for 5G/6G telecommunications. J. Eur. Ceram. Soc. 2022, 42, 2820–2826. [Google Scholar] [CrossRef]
- Lan, X.; Li, J.; Zou, Z.; Xie, M.; Fan, G.; Lu, W.; Lei, W. Improved sinterability and microwave dielectric properties of [Zn0.5Ti0.5]3+-doped ZnAl2O4 spinel solid solution. J. Am. Ceram. Soc. 2019, 102, 5952–5957. [Google Scholar] [CrossRef]
- Hsu, T.H.; Huang, C.L. Low-loss microwave dielectric of novel Li1-2xMxVO3 (M = Mg, Zn) (x = 0–0.09) ceramics for ULTCC applications. J. Eur. Ceram. Soc. 2021, 41, 5918–5923. [Google Scholar] [CrossRef]
- Chi, M.; Liu, Y.; Zhao, J.; Dong, C.; Luo, X.; Wang, D.; Liu, B.; Mao, M.; Shi, F.; Song, K. Mg3B2O6 microwave dielectric ceramics fabricated by combining cold sintering with post-annealing process. J. Am. Ceram. Soc. 2023, 106, 285–292. [Google Scholar] [CrossRef]
- Yu, H.; Liu, J.; Zhang, W.; Zhang, S. Ultra-low sintering temperature ceramics for LTCC applications: A review. J. Mater. Sci. Mater. Electron. 2015, 26, 9414–9423. [Google Scholar] [CrossRef]
- Liu, W.; Zuo, R. Low temperature fired Ln2Zr3(MoO4)9 (Ln = Sm, Nd) microwave dielectric ceramics. Ceram. Int. 2017, 43, 17229–17232. [Google Scholar] [CrossRef]
- Fang, L.; Su, C.; Zhou, H.; Wei, Z.; Zhang, H.; Alford, N. Novel low-firing microwave dielectric ceramic LiCa3MgV3O12 with low dielectric loss. J. Am. Ceram. Soc. 2013, 96, 688–690. [Google Scholar] [CrossRef]
- Cho, I.S. Sintering behavior and dielectric properties of A3(PO4)2 compounds (A = Ca, Sr, Ba, Mg, Zn, Ni, Cu). Mat. Sci. Semicon. Proc. 2022, 148, 106793. [Google Scholar] [CrossRef]
- Choi, Y.J.; Park, J.H.; Ko, W.J.; Hwang, I.S.; Park, J.H.; Park, J.G.; Nahm, S. Co-firing and shrinkage matching in low- and middle- permittivity dielectric compositions for a low-temperature Co-fired ceramics system. J. Am. Ceram. Soc. 2006, 89, 562–567. [Google Scholar] [CrossRef]
- Yoon, S.H.; Kim, D.W.; Cho, S.Y.; Hong, K.S. Investigation of the relations between structure and microwave dielectric properties of divalent metal tungstate compounds. J. Eur. Ceram. Soc. 2006, 26, 2051–2054. [Google Scholar] [CrossRef]
- Tian, H.; Liu, X.; Yang, Y.; Wu, H.; Zhang, Z. Crystal structure, infrared spectra, and microwave dielectric properties of Ce2(Zr0.94Sn0.06)3(MoO4)9 ceramics with low sintering temperature. Front. Mater. 2020, 7, 145. [Google Scholar] [CrossRef]
- Liu, Y.; Wang, Y.; Li, Y.; Bian, J. Low temperature sintering and microwave dielectric properties of LiMBO3 (M = Ca, Sr) ceramics. Ceram. Int. 2016, 42, 6475–6479. [Google Scholar]
- Zhou, D.; Pang, L.; Wang, D.; Qi, Z.; Reaney, I.M. High quality factor, ultralow sintering temperature Li6B4O9 microwave dielectric ceramics with ultralow density for antenna substrates. ACS Sustain. Chem. Eng. 2018, 6, 11138–11143. [Google Scholar] [CrossRef]
- Dillip, G.R.; Ramesh, B.; Madhukar Reddy, C.; Mallikarjuna, K.; Ravi, O.; Dhoble, S.J.; Joo, S.W.; Deva Parasad Raju, B. X-ray analysis and optical studies of Dy3+ doped NaSrB5O9 microstructures for white light generation. J. Alloys Compd. 2014, 615, 719–727. [Google Scholar] [CrossRef]
- Raikwar, V.; Bhatkar, V.; Omanwar, S. Morphological and photoluminescence study of NaSrB5O9: Tb3+ nanocrystalline phosphor. J. Asian Ceram. Soc. 2018, 6, 359–367. [Google Scholar] [CrossRef]
- Dillip, G.R.; Mallikarjuna, K.; Dhoble, S.J.; Deva Prasad Raju, B. The luminescence and structural characteristics of Eu3+- doped NaSrB5O9 phosphor. J. Phys. Chem. Solid. 2014, 75, 8–14. [Google Scholar] [CrossRef]
- Wu, L.; Zhang, Y.; Chen, X.; Kong, Y.; Sun, T.; Xu, J.; Xu, Y. The Na2O-SrO-B2O3 diagram in the B-rich part and the crystal structure of NaSrB5O9. J Solid State Chem. 2007, 180, 1470–1475. [Google Scholar] [CrossRef]
- Yang, H.; Zheng, Y.; Lu, X.; Xue, C.; Han, Z.; Li, X.; Yang, M. Synthesis of a new sodium strontium borate composite ceramic and its microwave dielectric properties. Ceram. Int. 2021, 47, 30980–30984. [Google Scholar] [CrossRef]
- Yang, M.; Zou, H.; Yang, H.; Zheng, Y.; Xu, X.; Chen, M.; Liang, H.; Zhang, X. Phase composition and microwave dielectric properties of NaSrB5+5xO9+7.5x composite ceramics. J. Eur. Ceram. Soc. 2023, 43, 1964–1971. [Google Scholar] [CrossRef]
- Zhong, M.; Tang, X.; Li, Y.; Jing, Y.; Su, H. Microwave dielectric properties, microstructure, and bond energy of Zn3-xCoxB2O6 low temperature fired ceramics. Ceram. Int. 2020, 46, 18667–18674. [Google Scholar] [CrossRef]
- Hakki, B.W.; Coleman, P.D. A dielectric resonant method of measuring inductive capacitance in the millimeter range. IRE Trans. Microwave Theory Technol. 1960, 8, 402–410. [Google Scholar] [CrossRef]
- Bosman, A.J.; Havinga, E.E. Temperature dependence of dielectric constants of cubic ionic compounds. Phys. Rev. 1963, 129, 1593–1600. [Google Scholar] [CrossRef]
- Shannon, R.D.; Rossman, G.R. Dielectric constants of silicate garnets and the oxide additivity rule. Am. Miner. 1992, 77, 94–100. [Google Scholar]
- Zhang, Q.; Tang, X.; Li, Y.; Jing, Y.; Su, H. Influence of substituting Na+ for Mg2+ on the crystal structure and microwave dielectric properties of Mg1-xNa2xWO4 ceramics. J. Eur. Ceram. Soc. 2020, 40, 4503–4508. [Google Scholar] [CrossRef]
- Shannon, R.D. Dielectric polarizabilities of ions in oxides and fluorides. J. Appl. Phys. 1993, 73, 348–366. [Google Scholar] [CrossRef]
- Maex, K.; Baklanov, M.R.; Shamiryan, D.; Lacopi, F.; Brongersma, S.H.; Yanovitskaya, Z.S. Low dielectric constant materials for microelectronics. J. Appl. Phys. 2003, 93, 8793–8841. [Google Scholar] [CrossRef]
- Song, X.; Zou, Z.; Lu, W.; Chen, T.; Ta, S.; Fu, Z.; Lei, W. Crystal structure, lattice energy and microwave dielectric properties of melilite-type Ba1-xSrxCu2Si2O7 solid solutions. J. Alloys Compd. 2020, 835, 155340. [Google Scholar] [CrossRef]
- Yang, H.; Zhang, S.; Wen, Q.; Yuan, Y.; Li, E. Synthesis of CaAl2xB2O4+3x: Novel microwave dielectric ceramics with low permittivity and low loss. J. Eur. Ceram. Soc. 2021, 41, 2596–2601. [Google Scholar] [CrossRef]
- Wu, X.; Wang, H.; Chen, Y.; Zhou, D. Synthesis and microwave dielectric properties of Zn3B2O6 ceramics for substrate application. J. Am. Ceram. Soc. 2012, 95, 1793–1795. [Google Scholar] [CrossRef]
- Peng, R.; Su, H.; Li, Y.; Lu, Y.; Yu, C.; Shi, L.; Chen, D.; Liao, B. Microstructure and microwave dielectric properties of Ni doped zinc borate ceramics for LTCC applications. J. Alloys Compd. 2021, 868, 159006. [Google Scholar] [CrossRef]
- Yin, C.; Du, K.; Zhang, M.; Yang, J.; Wang, F.; Guo, Y.; Cheng, M.; Cai, Y.; Song, X.; Khaliq, J.; et al. Novel low-εr and lightweight LiBO2 microwave dielectric ceramics with good chemical compatibility with silver. J. Eur. Ceram. Soc. 2022, 42, 4580–4586. [Google Scholar] [CrossRef]








| x | Phase | a (Å) | b (Å) | c (Å) | V (Å3) | wt. % | Rwp | Rp | χ2 |
|---|---|---|---|---|---|---|---|---|---|
| 0 | NaSrB5O9 | 6.4755 | 13.9231 | 8.0265 | 692.412 | 81.38 | 5.86% | 4.36% | 2.78 |
| SrB2O4 | 11.9770 | 4.3231 | 6.5811 | 340.714 | 18.62 | ||||
| 0.025 | NaSrB5O9 | 6.4957 | 13.9698 | 8.0489 | 698.873 | 82.81 | 1.93% | 1.45% | 2.808 |
| SrB2O4 | 12.0605 | 4.3581 | 6.6351 | 348.752 | 17.19 | ||||
| 0.050 | NaSrB5O9 | 6.5024 | 13.9818 | 8.0543 | 700.614 | 85.04 | 2.36% | 1.85% | 3.274 |
| SrB2O4 | 12.0267 | 4.3422 | 6.6080 | 345.084 | 14.96 | ||||
| 0.075 | NaSrB5O9 | 6.5030 | 13.9840 | 8.0561 | 700.976 | 90.95 | 1.88% | 1.44% | 2.845 |
| SrB2O4 | 12.0359 | 4.3450 | 6.6138 | 345.873 | 9.05 | ||||
| 0.100 | NaSrB5O9 | 6.5058 | 13.9907 | 8.0601 | 701.979 | 88.77 | 1.89% | 1.34% | 2.972 |
| SrB2O4 | 12.0488 | 4.3518 | 6.6235 | 347.299 | 11.23 | ||||
| 0.125 | NaSrB5O9 | 6.5009 | 13.9824 | 8.0537 | 701.465 | 87.16 | 2.24 | 1.56 | 3.276 |
| SrB2O4 | 12.0244 | 4.3448 | 6.6099 | 345.323 | 12.84 |
| Compounds | S. T. (°C) | εr | Q × f (GHz) | τf (ppm/°C) | Ref. |
|---|---|---|---|---|---|
| CaAlB2O5.5 | 940 | 5.8 | 63,338 | −29 | [28] |
| Zn3B2O6 | 925 | 6.7 | 58,500 | −58 | [29] |
| (Zn0.95Ni0.05)3 B2O6 | 900 | 6.9 | 91,000 | −55.6 | [30] |
| LiBO2 | 640 | 5.3 | 18,200 | −66.2 | [31] |
| NaSrB5O9 | 850 | 5.67 | 49,824 | −18.28 | [17] |
| NaSrB5.35O9.525 | 825 | 5.68 | 57,173 | −14.83 | [18] |
| Na1.075SrB5O9.0375 | 825 | 5.61 | 31,937 | −3.09 | This work |
Disclaimer/Publisher’s Note: The statements, opinions and data contained in all publications are solely those of the individual author(s) and contributor(s) and not of MDPI and/or the editor(s). MDPI and/or the editor(s) disclaim responsibility for any injury to people or property resulting from any ideas, methods, instructions or products referred to in the content. |
© 2023 by the authors. Licensee MDPI, Basel, Switzerland. This article is an open access article distributed under the terms and conditions of the Creative Commons Attribution (CC BY) license (https://creativecommons.org/licenses/by/4.0/).
Share and Cite
Lu, X.; Wu, P.; Yang, H.; Yang, M.; Zheng, Y. Phase Compositions and Microwave Dielectric Properties of Na1+xSrB5O9+0.5x Ceramics. Crystals 2023, 13, 1042. https://doi.org/10.3390/cryst13071042
Lu X, Wu P, Yang H, Yang M, Zheng Y. Phase Compositions and Microwave Dielectric Properties of Na1+xSrB5O9+0.5x Ceramics. Crystals. 2023; 13(7):1042. https://doi.org/10.3390/cryst13071042
Chicago/Turabian StyleLu, Xuepeng, Peng Wu, Huimin Yang, Min Yang, and Yong Zheng. 2023. "Phase Compositions and Microwave Dielectric Properties of Na1+xSrB5O9+0.5x Ceramics" Crystals 13, no. 7: 1042. https://doi.org/10.3390/cryst13071042
APA StyleLu, X., Wu, P., Yang, H., Yang, M., & Zheng, Y. (2023). Phase Compositions and Microwave Dielectric Properties of Na1+xSrB5O9+0.5x Ceramics. Crystals, 13(7), 1042. https://doi.org/10.3390/cryst13071042
