Frustrated Magnetism and Ferroelectricity in a Dy3+-Based Triangular Lattice
Abstract
1. Introduction
2. Methods
3. Result and Discussion
3.1. Crystal Growth and Structure
3.2. Room-Temperature Ferroelectricity
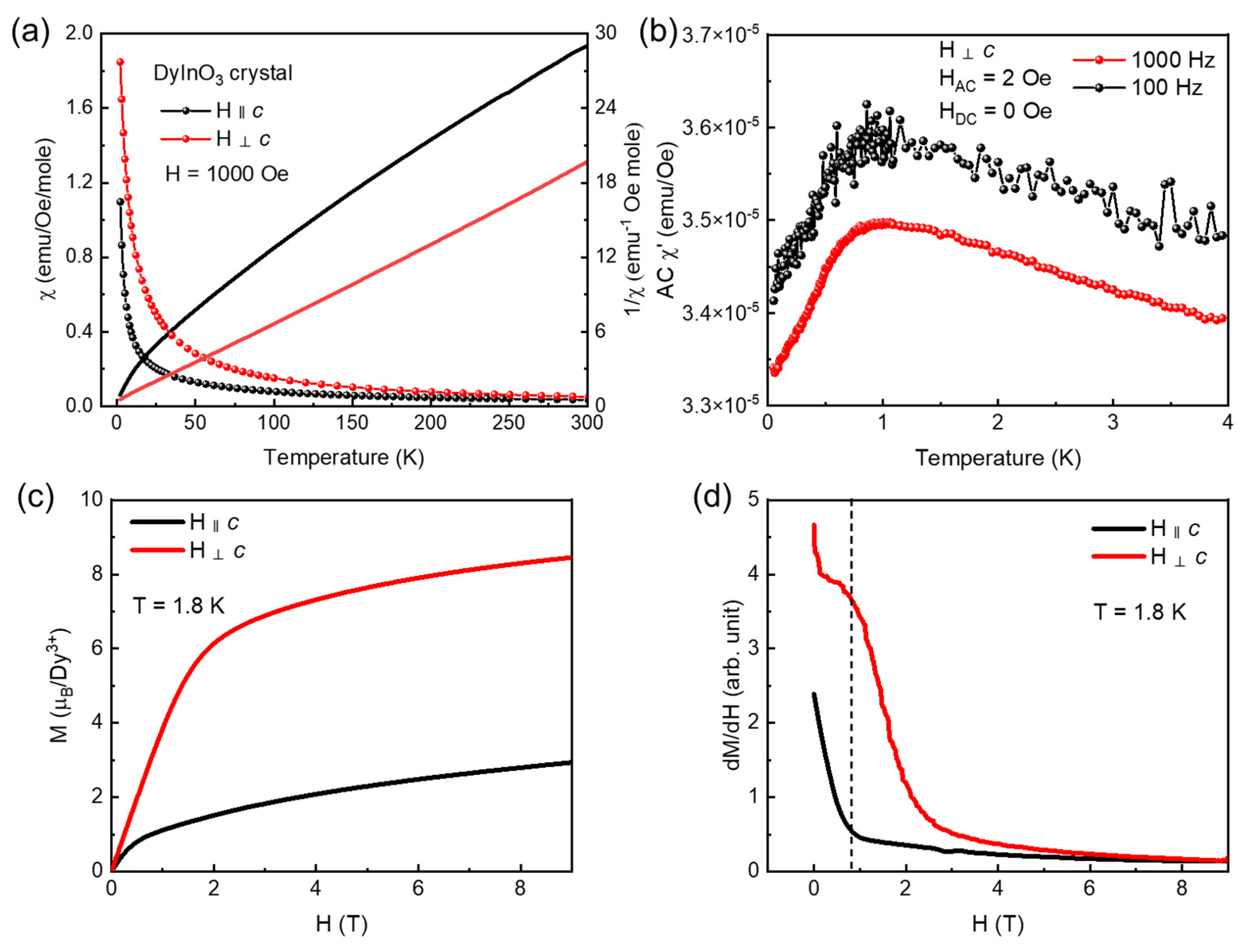
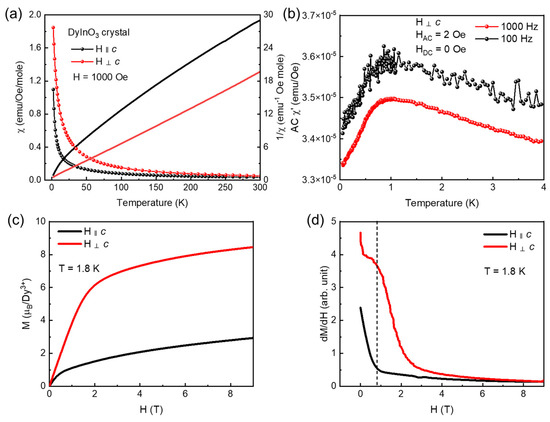
3.3. Magnetic Property
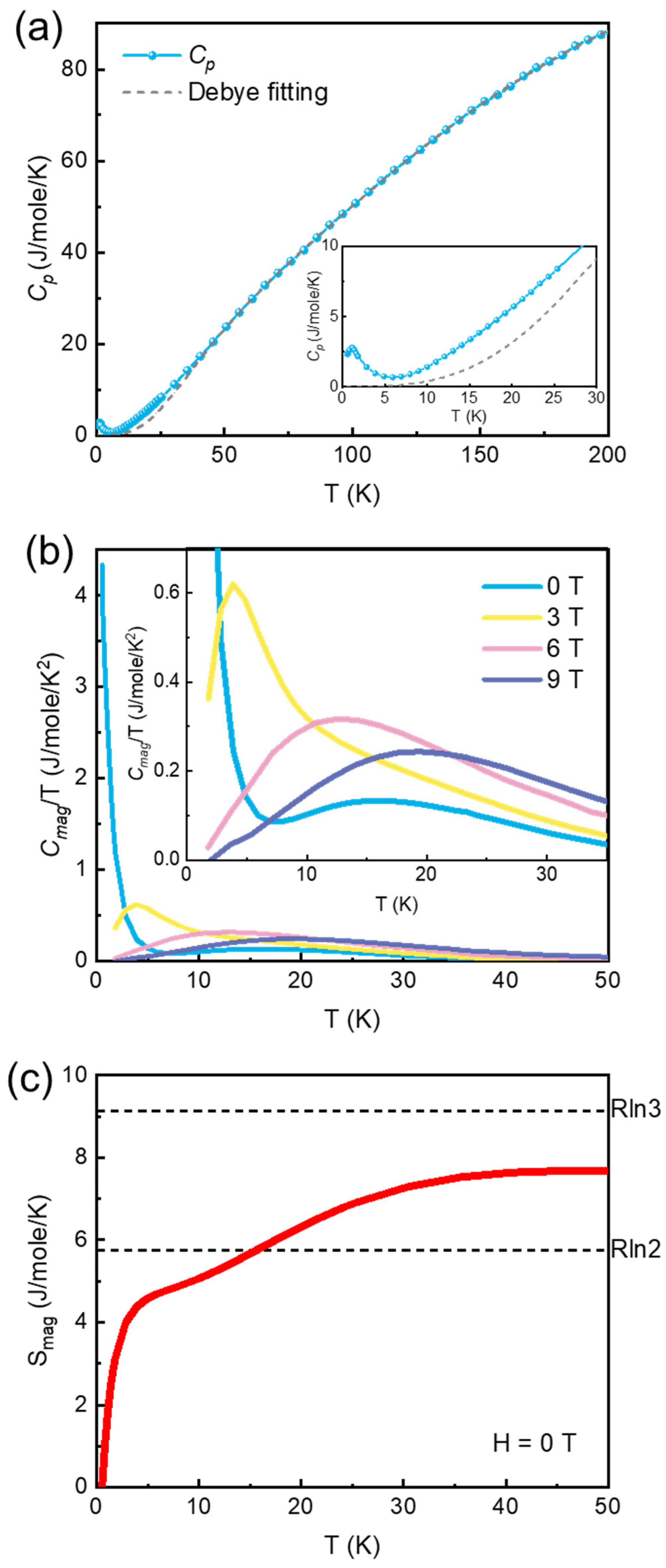
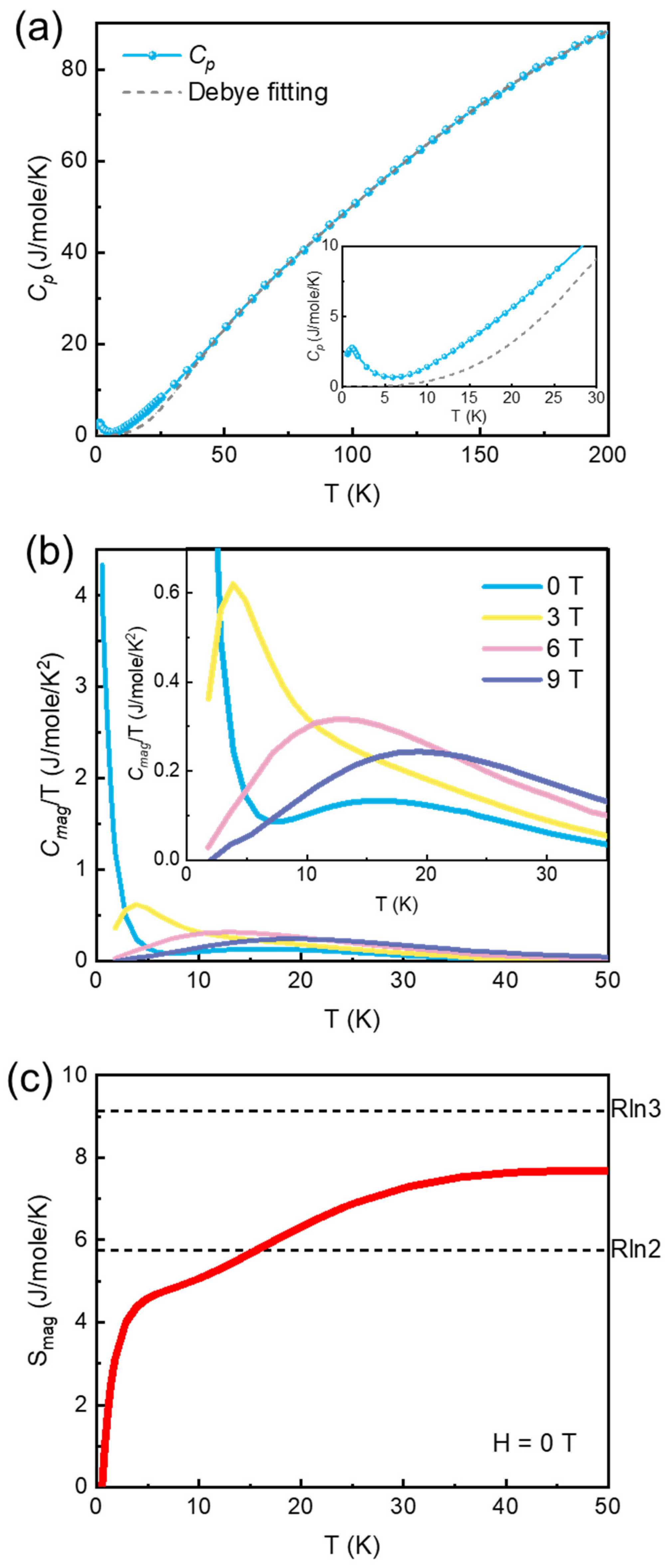
3.4. Thermodynamic Property
4. Conclusions
Author Contributions
Funding
Data Availability Statement
Conflicts of Interest
References
- Goldschmidt, V.M. Die Gesetze der Krystallochemie. Naturwissenschaften 1926, 14, 477–485. [Google Scholar] [CrossRef]
- Nordlander, J.; Anderson, M.A.; Brooks, C.M.; Holtz, M.E.; Mundy, J.A. Epitaxy of hexagonal ABO3 quantum materials. Appl. Phys. Rev. 2022, 9, 031309. [Google Scholar] [CrossRef]
- Clark, L.; Sala, G.; Maharaj, D.D.; Stone, M.B.; Knight, K.S.; Telling, M.T.F.; Wang, X.; Xu, X.; Kim, J.; Li, Y.; et al. Two-dimensional spin liquid behaviour in the triangular-honeycomb antiferromagnet TbInO3. Nat. Phys. 2019, 15, 262. [Google Scholar] [CrossRef]
- Kim, M.G.; Winn, B.; Chi, S.; Savici, A.T.; Rodriguez-Rivera, J.A.; Chen, W.C.; Xu, X.; Li, Y.; Kim, J.W.; Cheong, S.W.; et al. Spin-liquid-like state in pure and Mn-doped TbInO3 with a nearly triangular lattice. Phys. Rev. B 2019, 100, 024405. [Google Scholar] [CrossRef]
- Ye, M.; Xu, X.; Wang, X.; Kim, J.; Cheong, S.-W.; Blumberg, G. Crystal-field excitations and vibronic modes in the triangular-lattice spin-liquid candidate TbInO3. Phys. Rev. B 2021, 104, 085102. [Google Scholar] [CrossRef]
- Chae, S.C.; Lee, N.; Horibe, Y.; Tanimura, M.; Mori, S.; Gao, B.; Carr, S.; Cheong, S.W. Direct Observation of the Proliferation of Ferroelectric Loop Domains and Vortex-Antivortex Pairs. Phys. Rev. Lett. 2012, 108, 167603. [Google Scholar] [CrossRef]
- Chae, S.C.; Horibe, Y.; Jeong, D.Y.; Rodan, S.; Lee, N.; Cheong, S.-W. Self-organization, condensation, and annihilation of topological vortices and antivortices in a multiferroic. Proc. Natl. Acad. Sci. USA 2010, 107, 21366–21370. [Google Scholar] [CrossRef]
- Du, K.; Gao, B.; Wang, Y.; Xu, X.; Kim, J.; Hu, R.; Huang, F.-T.; Cheong, S.-W. Vortex ferroelectric domains, large-loop weak ferromagnetic domains, and their decoupling in hexagonal (Lu, Sc)FeO3. NPJ Quantum Mater. 2018, 3, 33. [Google Scholar] [CrossRef]
- Leiner, J.C.; Kim, T.; Park, K.; Oh, J.; Perring, T.G.; Walker, H.C.; Xu, X.; Wang, Y.; Cheong, S.W.; Park, J.-G. Magnetic excitations in the bulk multiferroic two-dimensional triangular lattice antiferromagnet (Lu,Sc)FeO3. Phys. Rev. B 2018, 98, 134412. [Google Scholar] [CrossRef]
- Wu, W.; Horibe, Y.; Lee, N.; Cheong, S.W.; Guest, J.R. Conduction of Topologically Protected Charged Ferroelectric Domain Walls. Phys. Rev. Lett. 2012, 108, 077203. [Google Scholar] [CrossRef]
- Wu, X.; Petralanda, U.; Zheng, L.; Ren, Y.; Hu, R.; Cheong, S.-W.; Artyukhin, S.; Lai, K. Low-energy structural dynamics of ferroelectric domain walls in hexagonal rare-earth manganites. Sci. Adv. 2017, 3, e1602371. [Google Scholar] [CrossRef]
- Kang, J.; Gao, Z.; Guo, C.; Zhu, W.; Huang, H.; Hong, J.; Cheong, S.-W.; Wang, X. A snapshot of domain evolution between topological vortex and stripe in ferroelectric hexagonal ErMnO3. J. Appl. Phys. 2023, 133, 124102. [Google Scholar] [CrossRef]
- Shukla, R.; Grover, V.; Srinivasu, K.; Paul, B.; Roy, A.; Gupta, R.; Tyagi, A.K. Rare earth indates (RE: La–Yb): Influence of the synthesis route and heat treatment on the crystal structure. Dalton Trans. 2018, 47, 6787–6799. [Google Scholar] [CrossRef]
- Pistorius, C.W.F.T.; Kruger, G.J. Stability and structure of noncentrosymmetric hexagonal LnInO3 (Ln = Eu, Gd, Tb, Dy, Ho, Y). J. Inorg. Nucl. Chem. 1976, 38, 1471–1475. [Google Scholar] [CrossRef]
- Kim, J.; Wang, X.; Huang, F.-T.; Wang, Y.; Fang, X.; Luo, X.; Li, Y.; Wu, M.; Mori, S.; Kwok, D.; et al. Spin Liquid State and Topological Structural Defects in Hexagonal TbInO3. Phys. Rev. X 2019, 9, 031005. [Google Scholar] [CrossRef]
- Lin, S.-Z.; Wang, X.; Kamiya, Y.; Chern, G.-W.; Fan, F.; Fan, D.; Casas, B.; Liu, Y.; Kiryukhin, V.; Zurek, W.H.; et al. Topological defects as relics of emergent continuous symmetry and Higgs condensation of disorder in ferroelectrics. Nat. Phys. 2014, 10, 970–977. [Google Scholar] [CrossRef]
- Fennie, C.J.; Rabe, K.M. Ferroelectric transition in YMnO3 from first principles. Phys. Rev. B 2005, 72, 100103. [Google Scholar] [CrossRef]
- Xu, X.; Huang, F.-T.; Admasu, A.S.; Kim, J.; Wang, K.; Feng, E.; Cao, H.; Cheong, S.-W. Bilayer Square Lattice Tb2SrAl2O7 with Structural Z8 Vortices and Magnetic Frustration. Chem. Mater. 2022, 34, 1225–1234. [Google Scholar] [CrossRef]
- Booth, C.H.; Gardner, J.S.; Kwei, G.H.; Heffner, R.H.; Bridges, F.; Subramanian, M.A. Local lattice disorder in the geometrically frustrated spin-glass pyrochlore Y2Mo2O7. Phys. Rev. B 2000, 62, R755–R758. [Google Scholar] [CrossRef]
- Zhou, H.D.; Wiebe, C.R.; Harter, A.; Dalal, N.S.; Gardner, J.S. Unconventional spin glass behavior in the cubic pyrochlore Mn2Sb2O7. J. Phys. Condens. Matter 2008, 20, 325201. [Google Scholar] [CrossRef]
- Xu, X.; Cheng, G.; Ni, D.; Gui, X.; Xie, W.; Yao, N.; Cava, R.J. Spin disorder in a stacking polytype of a layered magnet. Phys. Rev. Mater. 2023, 7, 024407. [Google Scholar] [CrossRef]
- Gao, B.; Chen, T.; Tam, D.W.; Huang, C.-L.; Sasmal, K.; Adroja, D.T.; Ye, F.; Cao, H.; Sala, G.; Stone, M.B.; et al. Experimental signatures of a three-dimensional quantum spin liquid in effective spin-1/2 Ce2Zr2O7 pyrochlore. Nat. Phys. 2019, 15, 1052–1057. [Google Scholar] [CrossRef]
- Bennett, M.; Khalifah, P.; Sokolov, D.; Gannon, W.; Yiu, Y.; Kim, M.; Henderson, C.; Aronson, M. A new unconventional antiferromagnet, Yb3Pt4. J. Magn. Magn. Mater. 2009, 321, 2021–2026. [Google Scholar] [CrossRef]
- Lin, G.; Jeong, J.; Kim, C.; Wang, Y.; Huang, Q.; Masuda, T.; Asai, S.; Itoh, S.; Günther, G.; Russina, M.; et al. Field-induced quantum spin disordered state in spin-1/2 honeycomb magnet Na2Co2TeO6. Nat. Commun. 2021, 12, 5559. [Google Scholar] [CrossRef] [PubMed]
- Yao, W.; Li, Y. Ferrimagnetism and anisotropic phase tunability by magnetic fields in Na2Co2TeO6. Phys. Rev. B 2020, 101, 085120. [Google Scholar] [CrossRef]




| Atoms | x | y | z | U | Occ. | Site |
|---|---|---|---|---|---|---|
| Dy1 | 0 | 0 | 0.59481 | 0.001 | 1 | 2a |
| Dy2 | 0.33333 | 0.66667 | 0.56498 | 0.025 | 1 | 4b |
| In | 0 | 0.34088 | 0.82774 | 0.012 | 1 | 6c |
| O1 | 0 | 0.27834 | 1.01379 | −0.026 | 1 | 6c |
| O2 | 0 | 0.34201 | 0.66602 | −0.025 | 1 | 6c |
| O3 | 0.33333 | 0.66667 | 0.34203 | −0.015 | 1 | 4b |
| O4 | 0 | 0 | 0.28653 | −0.03 | 1 | 2a |
Disclaimer/Publisher’s Note: The statements, opinions and data contained in all publications are solely those of the individual author(s) and contributor(s) and not of MDPI and/or the editor(s). MDPI and/or the editor(s) disclaim responsibility for any injury to people or property resulting from any ideas, methods, instructions or products referred to in the content. |
© 2023 by the authors. Licensee MDPI, Basel, Switzerland. This article is an open access article distributed under the terms and conditions of the Creative Commons Attribution (CC BY) license (https://creativecommons.org/licenses/by/4.0/).
Share and Cite
Xu, X.; Won, C.; Cheong, S.-W. Frustrated Magnetism and Ferroelectricity in a Dy3+-Based Triangular Lattice. Crystals 2023, 13, 971. https://doi.org/10.3390/cryst13060971
Xu X, Won C, Cheong S-W. Frustrated Magnetism and Ferroelectricity in a Dy3+-Based Triangular Lattice. Crystals. 2023; 13(6):971. https://doi.org/10.3390/cryst13060971
Chicago/Turabian StyleXu, Xianghan, Choongjae Won, and Sang-Wook Cheong. 2023. "Frustrated Magnetism and Ferroelectricity in a Dy3+-Based Triangular Lattice" Crystals 13, no. 6: 971. https://doi.org/10.3390/cryst13060971
APA StyleXu, X., Won, C., & Cheong, S.-W. (2023). Frustrated Magnetism and Ferroelectricity in a Dy3+-Based Triangular Lattice. Crystals, 13(6), 971. https://doi.org/10.3390/cryst13060971
