Preparation of Cholesteric Polymer Networks with Narrow-Bandwidth Reflection and Memory Effect
Abstract
1. Introduction
2. Materials and Methods
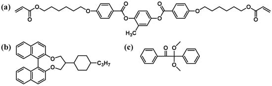
2.1. Materials
2.2. Preparation of Samples and Cells
2.3. Apparatus
3. Results and Discussion
3.1. Effects of the Content of Each Component on the Reflection Properties of CLC Films
3.2. Effects of UV Intensity and Irradiation Time on the Reflection Properties of CLC Films
3.3. Effects of the Temperature on the Reflection Properties of CLCs
3.4. Selective Reflection Properties and Memory Effect of Polymer Networks
4. Conclusions
Supplementary Materials
Author Contributions
Funding
Data Availability Statement
Acknowledgments
Conflicts of Interest
References
- Mitov, M.; Boudet, A.; Sopéna, P. From selective to wide-band light reflection: A simple thermal diffusion in a glassy cholesteric liquid crystal. Eur. Phys. J. B 1999, 8, 327–330. [Google Scholar] [CrossRef]
- Balamurugan, R.; Liu, J.-H. A review of the fabrication of photonic band gap materials based on cholesteric liquid crystals. React. Funct. Polym. 2016, 105, 9–34. [Google Scholar] [CrossRef]
- Lu, S.-Y.; Chien, L.-C. A polymer-stabilized single-layer color cholesteric liquid crystal display with anisotropic reflection. Appl. Phys. Lett. 2007, 91, 131119. [Google Scholar] [CrossRef]
- Zhan, X.; Xu, F.; Zhou, Z.; Yan, Y.; Yao, J.; Zhao, Y.S. 3D Laser Displays Based on Circularly Polarized Lasing from Cholesteric Liquid Crystal Arrays. Adv. Mater. 2021, 33, e2104418. [Google Scholar] [CrossRef]
- Li, Y.; Luo, D.; Peng, Z.H. Full-color reflective display based on narrow bandwidth templated cholesteric liquid crystal film. Opt. Mater. Express 2017, 7, 16–24. [Google Scholar] [CrossRef]
- Lin, J.-D.; Chu, C.-L.; Lin, H.-Y.; You, B.; Horng, C.-T.; Huang, S.-Y.; Mo, T.-S.; Huang, C.-Y.; Lee, C.-R. Wide-band tunable photonic bandgaps based on nematic-refilling cholesteric liquid crystal polymer template samples. Opt. Mater. Express 2015, 5, 1419–1430. [Google Scholar] [CrossRef]
- Ranjkesh, A.; Choi, Y.; Huh, J.-W.; Oh, S.-W.; Yoon, T.-H. Flexible, broadband, super-reflective infrared reflector based on cholesteric liquid crystal polymer. Sol. Energy Mater. Sol. Cells 2021, 230, 111137. [Google Scholar] [CrossRef]
- Nava, G.; Ciciulla, F.; Simoni, F.; Iadlovska, O.; Lavrentovich, O.D.; Lucchetti, L. Heliconical cholesteric liquid crystals as electrically tunable optical filters in notch and bandpass configurations. Liq. Cryst. 2021, 48, 1534–1543. [Google Scholar] [CrossRef]
- Gao, Y.; Ding, W.; Lu, J. Templated Twist Structure Liquid Crystals and Photonic Applications. Polymers 2022, 14, 2455. [Google Scholar] [CrossRef]
- Gao, Y.; Luo, Y.; Lu, J. High-Reflective Templated Cholesteric Liquid Crystal Filters. Molecules 2021, 26, 6889. [Google Scholar] [CrossRef]
- Zhang, H.; Liu, J.; Zhao, X.; Gao, J.; Ma, C.; Zhao, Y.; Yao, R.; Miao, Z.; Shen, W. Electrically induced coloration of polymer-stabilized cholesteric liquid crystal films with broadband reflection capability for smart windows. Dye. Pigment. 2022, 203, 110316. [Google Scholar] [CrossRef]
- Mo, L.; Sun, H.; Liang, A.; Jiang, X.; Shui, L.; Zhou, G.; de Haan, L.T.; Hu, X. Multi-stable cholesteric liquid crystal windows with four optical states. Liq. Cryst. 2022, 49, 289–296. [Google Scholar] [CrossRef]
- Hu, W.; Zhao, H.; Song, L.; Yang, Z.; Cao, H.; Cheng, Z.; Liu, Q.; Yang, H. Electrically Controllable Selective Reflection of Chiral Nematic Liquid Crystal/Chiral Ionic Liquid Composites. Adv. Mater. 2010, 22, 468–472. [Google Scholar] [CrossRef]
- Bobrovsky, A.; Shibaev, V.; Cigl, M.; Hamplová, V.; Bubnov, A. Fast photo- and electro-optical switching of the polymer- stabilised cholesteric liquid crystal composite prepared by the template method. Liq. Cryst. 2023, 2023, 1–10. [Google Scholar] [CrossRef]
- Lu, H.; Wei, C.; Zhang, Q.; Xu, M.; Ding, Y.; Zhang, G.; Zhu, J.; Xie, K.; Zhang, X.; Hu, Z.; et al. Wide tunable laser based on electrically regulated bandwidth broadening in polymer-stabilized cholesteric liquid crystal. Photon. Res. 2019, 7, 137–143. [Google Scholar] [CrossRef]
- Hasson, C.; Davis, F.; Mitchell, G. Imprinting chiral structures on liquid crystalline elastomers. Chem. Commun. 1998, 22, 2515–2516. [Google Scholar] [CrossRef]
- Dierking, I. Recent developments in polymer stabilised liquid crystals. Polym. Chem. 2010, 1, 1153–1159. [Google Scholar] [CrossRef]
- Xiang, J.; Li, Y.; Li, Q.; Paterson, D.A.; Storey, J.M.D.; Imrie, C.T.; Lavrentovich, O.D. Electrically Tunable Selective Reflection of Light from Ultraviolet to Visible and Infrared by Heliconical Cholesterics. Adv. Mater. 2015, 27, 3014–3018. [Google Scholar] [CrossRef] [PubMed]
- Makow, D.M. Peak reflectance and color gamut of superimposed left- and right-handed cholesteric liquid crystals. Appl. Opt. 1980, 19, 1274–1277. [Google Scholar] [CrossRef]
- Petriashvili, G.; Japaridze, K.; Devadze, L.; Zurabishvili, C.; Sepashvili, N.; Ponjavidze, N.; De Santo, M.P.; Matranga, M.A.; Hamdi, R.; Ciuchi, F.; et al. Paper like cholesteric interferential mirror. Opt. Express 2013, 21, 20821–20830. [Google Scholar] [CrossRef]
- Mitov, M.; Dessaud, N. Going beyond the reflectance limit of cholesteric liquid crystals. Nat. Mater. 2006, 5, 361–364. [Google Scholar] [CrossRef] [PubMed]
- Mitov, M.; Dessaud, N. Cholesteric liquid crystalline materials reflecting more than 50% of unpolarized incident light intensity. Liq. Cryst. 2007, 34, 183–193. [Google Scholar] [CrossRef]
- Tasolamprou, A.; Mitov, M.; Zografopoulos, D.; Kriezis, E. Theoretical and experimental studies of hyperreflective polymer-network cholesteric liquid crystal structures with helicity inversion. Opt. Commun. 2009, 282, 903–907. [Google Scholar] [CrossRef]
- Guo, J.; Cao, H.; Wei, J.; Zhang, D.; Liu, F.; Pan, G.; Zhao, D.; He, W.; Yang, H. Polymer stabilized liquid crystal films reflecting both right- and left-circularly polarized light. Appl. Phys. Lett. 2008, 93, 201901. [Google Scholar] [CrossRef]
- Guo, J.; Yang, H.; Li, R.; Ji, N.; Dong, X.; Wu, H.; Wei, J. Effect of Network Concentration on the Performance of Polymer-Stabilized Cholesteric Liquid Crystals with a Double-Handed Circularly Polarized Light Reflection Band. J. Phys. Chem. C 2009, 113, 16538–16543. [Google Scholar] [CrossRef]
- Hu, W.; Cao, H.; Song, L.; Zhao, H.; Li, S.; Yang, Z.; Yang, H. Thermally Controllable Reflective Characteristics from Rupture and Self-Assembly of Hydrogen Bonds in Cholesteric Liquid Crystals. J. Phys. Chem. B 2009, 113, 13882–13885. [Google Scholar] [CrossRef]
- Yang, J.; Liu, J.; Guan, B.; He, W.; Yang, Z.; Wang, J.; Ikeda, T.; Jiang, L. Fabrication and photonic applications of large-domain blue phase films. J. Mater. Chem. C 2019, 7, 9460–9466. [Google Scholar] [CrossRef]
- Yan, J.; Wu, S.-T.; Cheng, K.-L.; Shiu, J.-W. A full-color reflective display using polymer-stabilized blue phase liquid crystal. Appl. Phys. Lett. 2013, 102, 081102. [Google Scholar] [CrossRef]
- Xu, X.W.; Liu, Y.J.; Wang, F.; Luo, D. Narrow Linewidth and Temperature Insensitive Blue Phase Liquid Crystal Films. IEEE Photon. J. 2018, 10, 1–7. [Google Scholar] [CrossRef]
- Xu, X.; Liu, Z.; Liu, Y.; Zhang, X.; Zheng, Z.; Luo, D.; Sun, X. Electrically Switchable, Hyper-Reflective Blue Phase Liquid Crystals Films. Adv. Opt. Mater. 2018, 6, 1700891. [Google Scholar] [CrossRef]
- Li, Y.; Liu, Y.J.; Dai, H.T.; Zhang, X.H.; Luo, D.; Sun, X.W. Flexible cholesteric films with super-reflectivity and high stability based on a multi-layer helical structure. J. Mater. Chem. C 2017, 5, 10828–10833. [Google Scholar] [CrossRef]
- Ryabchun, A.; Raguzin, I.; Stumpe, J.; Shibaev, V.; Bobrovsky, A. Cholesteric Polymer Scaffolds Filled with Azobenzene-Containing Nematic Mixture with Phototunable Optical Properties. ACS Appl. Mater. Interfaces 2016, 8, 27227–27235. [Google Scholar] [CrossRef]
- Marty, J.-D.; Gornitzka, H.; Mauzac, M. Chiral molecular imprinting in liquid-crystalline network⋆. Eur. Phys. J. E 2005, 17, 515–520. [Google Scholar] [CrossRef] [PubMed]
- Wood, S.M.; Fells, J.A.J.; Elston, S.J.; Morris, S.M. Wavelength Tuning of the Photonic Band Gap of an Achiral Nematic Liquid Crystal Filled into a Chiral Polymer Scaffold. Macromolecules 2016, 49, 8643–8652. [Google Scholar] [CrossRef]
- Wang, F.; Li, K.; Song, P.; Wu, X.; Cao, H.; Yang, H. Photoinduced pitch gradients and the reflection behaviour of the broadband films: Influence of dye concentration, light intensity, temperature and monomer concentration. Liq. Cryst. 2012, 39, 707–714. [Google Scholar] [CrossRef]
- Shi, W.; Zhang, X.; Han, R.; Li, H.; Cao, H.; Chen, Y.; Wang, D.; Yang, Z.; He, W. Preparation of cholesteric polymer networks with broadband reflection memory effect. Liq. Cryst. 2022, 49, 153–161. [Google Scholar] [CrossRef]
- Zhang, D.; Shi, W.; Cao, H.; Chen, Y.; Zhao, L.; Gan, P.; Yang, Z.; Wang, D.; He, W. Reflective Band Memory Effect of Cholesteric Polymer Networks Based on Washout/Refilling Method. Macromol. Chem. Phys. 2020, 221, 1900572. [Google Scholar] [CrossRef]









| Sample | 720600/S5011/C6M/I651 |
|---|---|
| A0 | 97.60/2.20/0.00/0.20 |
| A1 | 92.60/2.20/5.00/0.20 |
| A2 | 87.60/2.20/10.00/0.20 |
| A3 | 82.60/2.20/15.00/0.20 |
| A4 | 77.60/2.20/20.00/0.20 |
| A5 | 72.60/2.20/25.00/0.20 |
| B1 | 78.04/1.76/20.00/0.20 |
| B2 | 77.88/1.92/20.00/0.20 |
| B3 | 77.72/2.08/20.00/0.20 |
| B4 | 77.56/2.24/20.00/0.20 |
| B5 | 77.40/2.40/20.00/0.20 |
| B6 | 77.24/2.56/20.00/0.20 |
| LC | 1717 | 704700 | 708200 | 720600 | 719200 | 717200 |
|---|---|---|---|---|---|---|
| ne | 1.720 | 1.556 | 1.553 | 1.547 | 1.517 | 1.513 |
| no | 1.519 | 1.476 | 1.475 | 1.477 | 1.474 | 1.474 |
| Δn | 0.201 | 0.080 | 0.078 | 0.070 | 0.043 | 0.039 |
Disclaimer/Publisher’s Note: The statements, opinions and data contained in all publications are solely those of the individual author(s) and contributor(s) and not of MDPI and/or the editor(s). MDPI and/or the editor(s) disclaim responsibility for any injury to people or property resulting from any ideas, methods, instructions or products referred to in the content. |
© 2023 by the authors. Licensee MDPI, Basel, Switzerland. This article is an open access article distributed under the terms and conditions of the Creative Commons Attribution (CC BY) license (https://creativecommons.org/licenses/by/4.0/).
Share and Cite
Xing, Z.; Xue, L.; Chen, Y.; Zhang, W.; Zhou, Z.; Li, L.; Cui, Y.; Guo, Y.; Chang, Y.; Li, B. Preparation of Cholesteric Polymer Networks with Narrow-Bandwidth Reflection and Memory Effect. Crystals 2023, 13, 787. https://doi.org/10.3390/cryst13050787
Xing Z, Xue L, Chen Y, Zhang W, Zhou Z, Li L, Cui Y, Guo Y, Chang Y, Li B. Preparation of Cholesteric Polymer Networks with Narrow-Bandwidth Reflection and Memory Effect. Crystals. 2023; 13(5):787. https://doi.org/10.3390/cryst13050787
Chicago/Turabian StyleXing, Zhe, Lulu Xue, Yinjie Chen, Wenguan Zhang, Zhong Zhou, Luhai Li, Yuchen Cui, Yanan Guo, Yifan Chang, and Binbin Li. 2023. "Preparation of Cholesteric Polymer Networks with Narrow-Bandwidth Reflection and Memory Effect" Crystals 13, no. 5: 787. https://doi.org/10.3390/cryst13050787
APA StyleXing, Z., Xue, L., Chen, Y., Zhang, W., Zhou, Z., Li, L., Cui, Y., Guo, Y., Chang, Y., & Li, B. (2023). Preparation of Cholesteric Polymer Networks with Narrow-Bandwidth Reflection and Memory Effect. Crystals, 13(5), 787. https://doi.org/10.3390/cryst13050787
