Multichromic Behavior of Liquid Crystalline Composite Polymeric Films
Abstract
1. Introduction
2. Results and Discussion
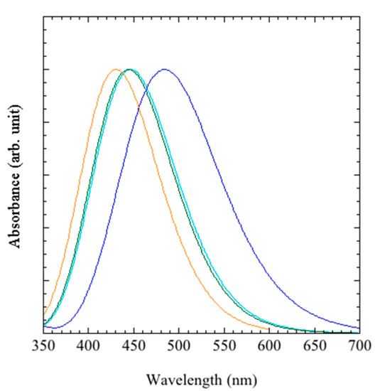
2.1. General Property of the Luminophore
2.2. Mechanoresponsive Behavior
2.3. Electroresponsive Behavior
3. Materials and Methods
3.1. Synthesis
3.1.1. Synthesis of 1
3.1.2. Synthesis of 2
3.1.3. Synthesis of the Luminophore
3.2. Equipment
4. Conclusions
Supplementary Materials
Author Contributions
Funding
Data Availability Statement
Conflicts of Interest
References
- Sagiri, S.S.; Behera, B.; Rafanan, R.R.; Bhattacharya, C.; Pal, K.; Banerjee, I.; Rousseau, D. Organogels as matrices for controlled drug delivery: A review on the current state. Soft Mater. 2014, 12, 47–72. [Google Scholar] [CrossRef]
- Yu, X.; Chen, L.; Zhang, M.; Yi, T. Low-molecular-mass gels responding to ultrasound and mechanical stress: Towards self-healing materials. Chem. Soc. Rev. 2014, 43, 5346–5371. [Google Scholar] [CrossRef] [PubMed]
- Chen, H.; Zhou, L.; Shi, X.; Hu, J.; Guo, J.; Albouy, P.A.; Li, M.H. AIE fluorescent gelators with thermo-, Mechano-, and Vapochromic properties. Chem. Asian J. 2019, 14, 781–788. [Google Scholar] [CrossRef]
- Agarwal, D.S.; Prakash Singh, R.P.; Jha, P.N.; Sakhuja, R. Fabrication of deoxycholic acid tethered α-cyanostilbenes as smart low molecular weight gelators and AIEE probes for bio-imaging. Steroids 2020, 160, 108659. [Google Scholar] [CrossRef] [PubMed]
- Cametti, M.; Džolić, Z. AIE-active supramolecular gel systems. In Aggregation-Induced Emission (AIE); A Practical Guide; Materials Today; Elsevier: Amsterdam, The Netherlands, 2022; pp. 117–164. [Google Scholar] [CrossRef]
- Gao, A.; Wang, Q.; Wu, H.; Zhao, J.W.; Cao, X. Research progress on AIE cyanostilbene-based self-assembly gels: Design, regulation and applications. Coord. Chem. Rev. 2022, 471, 214753. [Google Scholar] [CrossRef]
- Wang, Z.; Nie, J.; Qin, W.; Hu, Q.; Tang, B.Z. Gelation process visualized by aggregation-induced emission fluorogens. Nat. Commun. 2016, 7, 12033. [Google Scholar] [CrossRef]
- Ku, K.; Hisano, K.; Yuasa, K.; Shigeyama, T.; Akamatsu, N.; Shishido, A.; Tsutsumi, O. Effect of Crosslinkers on Optical and Mechanical Behavior of Chiral Nematic Liquid Crystal Elastomers. Molecules 2021, 26, 6193. [Google Scholar] [CrossRef]
- Stinson, V.P.; Shuchi, N.; McLamb, M.; Boreman, G.D.; Hofmann, T. Mechanical Control of the Optical Bandgap in One-Dimensional Photonic Crystals. Micromachines 2022, 13, 2248. [Google Scholar] [CrossRef]
- van Esch, J.H.; Feringa, B.L. New functional materials based on self-assembling organogels: From serendipity towards design. Angew. Chem. Int. Ed. 2000, 39, 2263–2266. [Google Scholar] [CrossRef]
- Seki, A.; Yoshio, M. Multi-color photoluminescence based on mechanically and thermally induced liquid-crystalline phase transitions of a hydrogen-bonded benzodithiophene derivative. ChemPhysChem 2020, 21, 328–334. [Google Scholar] [CrossRef] [PubMed]
- Sagara, Y.; Kato, T. Brightly tricolored mechanochromic luminescence from a single-luminophore liquid crystal: Reversible writing and erasing of images. Angew. Chem. Int. Ed. Engl. 2011, 50, 9128–9132. [Google Scholar] [CrossRef] [PubMed]
- Yamane, S.; Sagara, Y.; Mutai, T.; Araki, K.; Kato, T. Mechanochromic luminescent liquid crystals based on a bianthryl moiety. J. Mater. Chem. C 2013, 1, 2648–2656. [Google Scholar] [CrossRef]
- Yagai, S.; Okamura, S.; Nakano, Y.; Yamauchi, M.; Kishikawa, K.; Karatsu, T.; Kitamura, A.; Ueno, A.; Kuzuhara, D.; Yamada, H.; et al. Design amphiphilic dipolar p-systems for stimuli-responsive luminescent materials using metastable states. Nat. Commun. 2014, 5, 4013. [Google Scholar] [CrossRef]
- Sha, J.; Lu, H.; Zhou, M.; Xia, G.; Fang, Y.; Zhang, G.; Qiu, L.; Yang, J.; Ding, Y. Highly polarized luminescence from an AIEE-active luminescent liquid crystalline film. Org. Electron. 2017, 50, 177–183. [Google Scholar] [CrossRef]
- Kondo, M.; Yamoto, T.; Tada, M.; Kawatsuki, N. Mechanoresponsive behavior of rod-like liquid crystalline luminophores on an alignment layer. Chem. Lett. 2021, 50, 812–815. [Google Scholar] [CrossRef]
- Panthai, S.; Fukuhara, R.; Hisano, K.; Tsutsumi, O. Stimuli-sensitive aggregation-induced emission of organogelators containing mesogenic Au(I) complexes. Crystals 2020, 10, 388. [Google Scholar] [CrossRef]
- Kondo, M.; Morita, Y.; Kawatsuki, N. Directional blue-shifting Mechanofluorochromic luminescent behavior of liquid crystalline composite polymeric films. Crystals 2021, 11, 000950. [Google Scholar] [CrossRef]
- Barbee, M.H.; Mondal, K.; Deng, J.Z.; Bharambe, V.; Neumann, T.V.; Adams, J.J.; Boechler, N.; Dickey, M.D.; Craig, S.L. Mechanochromic stretchable electronics. ACS Appl. Mater. Interfaces 2018, 10, 29918–29924. [Google Scholar] [CrossRef]
- Sum, N.; Su, K.; Zhou, Z.; Wang, D.; Fery, A.; Lissel, F.; Zhao, X.; Chen, C. “Colorless-to-Black” Electrochromic and AIE-Active Polyamides: An Effective Strategy for the Highest-Contrast Electrofluorochromism. Macromolecules 2020, 53, 10117–10127. [Google Scholar] [CrossRef]
- Moon, H.C.; Kim, C.-H.; Lodge, T.P.; Frisbie, D. Multicolored, Low-Power, Flexible Electrochromic Devices Based on Ion Gels. ACS Appl. Mater. Interfaces 2016, 8, 6252–6260. [Google Scholar] [CrossRef] [PubMed]
- Moon, H.C.; Lodge, T.P.; Frisbie, C.D. Solution Processable, Electrochromic Ion Gels for Sub-1 V, Flexible Displays on Plastic. Chem. Mater. 2015, 27, 1420–1425. [Google Scholar] [CrossRef]
- Zhang, Y.; Guo, M.; Li, G.; Chen, X.; Liu, Z.; Shao, J.; Huang, Y.; He, G. Ultrastable Viologen Ionic Liquids-Based Ionogels for Visible Strain Sensor Integrated with Electrochromism, Electrofluorochromism, and Strain Sensing. CCS Chem. In press. [CrossRef]
- Ji, X.; Rosset, S.; Shea, H.R. Soft tunable diffractive optics with multifunctional transparent electrodes enabling integrated actuation. Appl. Phys. Lett. 2016, 109, 191901. [Google Scholar] [CrossRef]
- Kondo, M.; Okumoto, K.; Miura, S.; Nakanishi, T.; Nishida, J.; Kawase, T.; Kawatsuki, M. Multicolor change in the photoluminescence induced by mechanical and chemical stimuli. Chem. Lett. 2017, 46, 1188–1190. [Google Scholar] [CrossRef]
- Frish, M.J.; Trucks, G.W.; Schlegel, H.B.; Scuseria, G.E.; Robb, M.A.; Cheeseman, J.R.; Scalmani, G.; Barone, V.; Mennucci, B.; Petersson, G.A.; et al. Gaussian16, Revision B.01; Gaussian, Incorp.: Wallingford, CT, USA, 2016. [Google Scholar]
- Shkoor, M.; Mehanna, H.; Shabana, A.; Farhat, T.; Bani-Yaseen, A.D. Experimental and DFT/TD-DFT computational investigations of the solvent effect on the spectral properties of nitro substituted pyridino [3,4-c] coumarins. J. Mol. Liq. 2020, 313, 113509. [Google Scholar] [CrossRef]
- Liu, Z.; Liao, J.; He, L.; Gui, Q.; Yuan, Y.; Zhang, H. Preparation, photo-induced deformation behavior and application of hydrogen-bonded crosslinked liquid crystalline elastomers based on α-cyanostilbene. Polym. Chem. 2020, 11, 6047–6055. [Google Scholar] [CrossRef]
- Ma, T.; Chen, S.; Du, X.; Mo, M.; Cheng, X. High-contrast fluorescence modulation driven by intramolecular photocyclization and protonation of bithienylpyridine functionalized α-cyanostilbene. Dye. Pigment. 2023, 213, 111176. [Google Scholar] [CrossRef]












Disclaimer/Publisher’s Note: The statements, opinions and data contained in all publications are solely those of the individual author(s) and contributor(s) and not of MDPI and/or the editor(s). MDPI and/or the editor(s) disclaim responsibility for any injury to people or property resulting from any ideas, methods, instructions or products referred to in the content. |
© 2023 by the authors. Licensee MDPI, Basel, Switzerland. This article is an open access article distributed under the terms and conditions of the Creative Commons Attribution (CC BY) license (https://creativecommons.org/licenses/by/4.0/).
Share and Cite
Kondo, M.; Yanai, S.; Shirata, S.; Kakibe, T.; Nishida, J.-i.; Kawatsuki, N. Multichromic Behavior of Liquid Crystalline Composite Polymeric Films. Crystals 2023, 13, 786. https://doi.org/10.3390/cryst13050786
Kondo M, Yanai S, Shirata S, Kakibe T, Nishida J-i, Kawatsuki N. Multichromic Behavior of Liquid Crystalline Composite Polymeric Films. Crystals. 2023; 13(5):786. https://doi.org/10.3390/cryst13050786
Chicago/Turabian StyleKondo, Mizuho, Satoka Yanai, Syouma Shirata, Takeshi Kakibe, Jun-ichi Nishida, and Nobuhiro Kawatsuki. 2023. "Multichromic Behavior of Liquid Crystalline Composite Polymeric Films" Crystals 13, no. 5: 786. https://doi.org/10.3390/cryst13050786
APA StyleKondo, M., Yanai, S., Shirata, S., Kakibe, T., Nishida, J.-i., & Kawatsuki, N. (2023). Multichromic Behavior of Liquid Crystalline Composite Polymeric Films. Crystals, 13(5), 786. https://doi.org/10.3390/cryst13050786

