Hydrogen-Terminated Single Crystal Diamond MOSFET with a Bilayer Dielectric of Gd2O3/Al2O3
Abstract
1. Introduction
2. Material and Methods
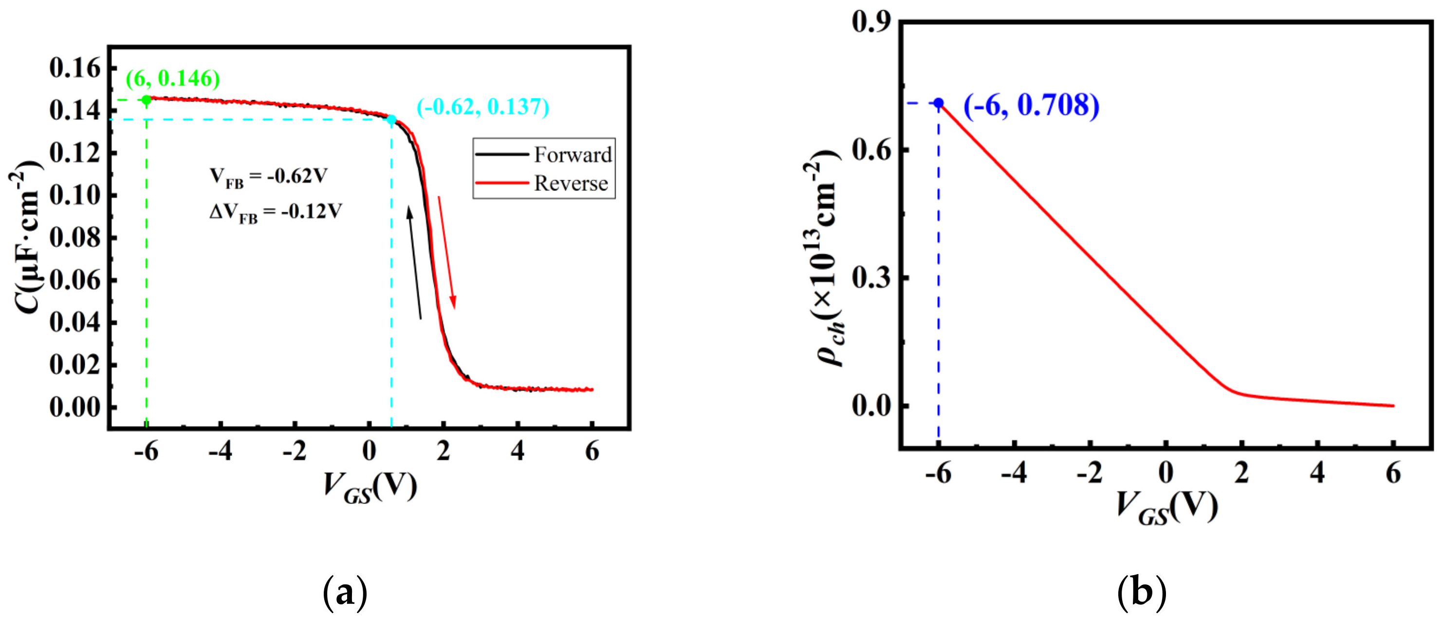
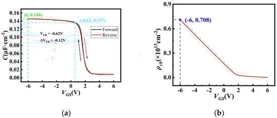
3. Results and Discussion
4. Conclusions
Author Contributions
Funding
Data Availability Statement
Acknowledgments
Conflicts of Interest
References
- Saha, N.C.; Kim, S.-W.; Oishi, T.; Kawamata, Y.; Koyama, K.; Kasu, M. 345-MW/cm2 2608-V NO2 p-type Doped Diamond MOSFETs with an Al2O3 Passivation Overlayer on Heteroepitaxial Diamond. IEEE Electron Device Lett. 2021, 42, 903–906. [Google Scholar] [CrossRef]
- Imanishi, S.; Horikawa, K.; Oi, N.; Okubo, S.; Kageura, T.; Hiraiwa, A.; Kawarada, H. 3.8 W/mm RF Power Density for ALD Al2O3-Based Two-Dimensional Hole Gas Diamond MOSFET Operating at Saturation Velocity. IEEE Electron Device Lett. 2018, 40, 279–282. [Google Scholar] [CrossRef]
- Zhang, M.; Wang, W.; Chen, G.; Abbasi, H.N.; Wang, Y.; Lin, F.; Wen, F.; Wang, K.; Zhang, J.; Bu, R.; et al. Normally off hydrogen-terminated diamond field-effect transistor with Ti/TiOx gate materials. IEEE Trans. Electron Devices 2020, 67, 4784–4788. [Google Scholar] [CrossRef]
- Chen, G.; Wang, W.; He, S.; Wang, J.; Zhang, S.; Zhang, M.; Wang, H.-X. Leakage current reduction of normally off hydrogen-terminated diamond field effect transistor utilizing dual-barrier Schottky gate. J. Appl. Phys. 2022, 132, 015702. [Google Scholar] [CrossRef]
- Zhang, M.; Wang, W.; Wen, F.; Lin, F.; Chen, G.; He, S.; Wang, Y.; Fan, S.; Bu, R.; Min, T.; et al. Large VTH of Normally-off Field Effect Transistor with Yttrium Gate Material Directly Deposited on Hydrogen-Terminated Diamond. IEEE Trans. Electron Devices 2022, 69, 3563–3567. [Google Scholar] [CrossRef]
- Davis, R.; Sitar, Z.; Williams, B.; Kong, H.; Kim, H.; Palmour, J.; Edmond, J.; Ryu, J.; Glass, J.; Carter, C. Critical evaluation of the status of the areas for future research regarding the wide band gap semiconductors diamond, gallium nitride and silicon carbide. Mater. Sci. Eng. B 1988, 1, 77–104. [Google Scholar] [CrossRef]
- Fei, W.; Bi, T.; Iwataki, M.; Imanishi, S.; Kawarada, H. Oxidized Si terminated diamond and its MOSFET operation with SiO2 gate insulator. Appl. Phys. Lett. 2020, 116, 212103. [Google Scholar] [CrossRef]
- Wang, W.; Fu, K.; Hu, C.; Li, F.; Liu, Z.; Li, S.; Lin, F.; Fu, J.; Wang, J.; Wang, H. Diamond based field-effect transistors with SiNx and ZrO2 double dielectric layers. Diam. Relat. Mater. 2016, 69, 237–240. [Google Scholar] [CrossRef]
- Zhu, X.; Shao, S.; Chan, S.; Tu, J.; Ota, K.; Huang, Y.; An, K.; Chen, L.; Wei, J.; Liu, J.; et al. High Performance of Normally-on and Normally-off Devices with Highly Boron-Doped Source and Drain on H-Terminated Polycrystalline Diamond. Adv. Electron. Mater. 2023, 9, 2201122. [Google Scholar] [CrossRef]
- Imura, M.; Hayakawa, R.; Ohsato, H.; Watanabe, E.; Tsuya, D.; Nagata, T.; Liao, M.; Koide, Y.; Yamamoto, J.-I.; Ban, K.; et al. Development of AlN/diamond heterojunction field effect transistors. Diam. Relat. Mater. 2012, 24, 206–209. [Google Scholar] [CrossRef]
- Shiomi, H.; Nishibayashi, Y.; Toda, N.; Shikata, S.-I. Pulse-doped diamond p-channel metal semiconductor field-effect transistor. IEEE Electron Device Lett. 1995, 16, 36–38. [Google Scholar] [CrossRef]
- Aleksov, A.; Vescan, A.; Kunze, M.; Gluche, P.; Ebert, W.; Kohn, E.; Bergmeier, A.; Dollinger, G. Diamond junction FETs based on δ-doped channels. Diam. Relat. Mater. 1999, 8, 941–945. [Google Scholar] [CrossRef]
- Imanishi, S.; Kudara, K.; Ishiwata, H.; Horikawa, K.; Amano, S.; Iwataki, M.; Morishita, A.; Hiraiwa, A.; Kawarada, H. Drain Current Density Over 1.1 A/mm in 2D Hole Gas Diamond MOSFETs With Regrown p++-Diamond Ohmic Contacts. IEEE Electron Device Lett. 2020, 42, 204–207. [Google Scholar] [CrossRef]
- Hirama, K.; Sato, H.; Harada, Y.; Yamamoto, H.; Kasu, M. Diamond Field-Effect Transistors with 1.3 A/mm Drain Current Density by Al2O3 Passivation Layer. Jpn. J. Appl. Phys. 2012, 51, 090112. [Google Scholar] [CrossRef]
- Liu, J.W.; Liao, M.-Y.; Imura, M.; Watanabe, E.; Oosato, H.; Koide, Y. Diamond field effect transistors with a high-dielectric constant Ta2O5 as gate material. Appl. Phys. 2014, 47, 245102. Available online: http://iopscience.iop.org/0022-3727/47/24/245102 (accessed on 14 April 2023).
- Liu, J.; Liao, M.; Imura, M.; Tanaka, A.; Iwai, H.; Koide, Y. Low on-resistance diamond field effect transistor with high-k ZrO2 as dielectric. Sci. Rep. 2014, 4, 6395. [Google Scholar] [CrossRef]
- Vardi, A.; Tordjman, M.; del Alamo, J.A.; Kalish, R. A Diamond:H/MoO3 MOSFET. IEEE Electron Device Lett. 2014, 35, 1320–1322. [Google Scholar] [CrossRef]
- Liu, J.W.; Liao, M.Y.; Imura, M.; Koide, Y. Normally-off HfO2-gated diamond field effect transistors. Appl. Phys. Lett. 2013, 103, 092905. [Google Scholar] [CrossRef]
- Zhao, J.; Liu, J.; Sang, L.; Liao, M.; Coathup, D.; Imura, M.; Shi, B.; Gu, C.; Koide, Y.; Ye, H. Assembly of a high-dielectric constant thin TiOx layer directly on H-terminated semiconductor diamond. Appl. Phys. Lett. 2016, 108, 012105. [Google Scholar] [CrossRef]
- Liu, J.W.; Liao, M.Y.; Imura, M.; Matsumoto, T.; Shibata, N.; Ikuhara, Y.; Koide, Y. Interfacial band configuration and electrical properties of LaAlO3/Al2O3/hydrogenated-diamond metal-oxide-semiconductor field effect transistors. J. Appl. Phys. 2015, 118, 084108. [Google Scholar] [CrossRef]
- Liu, J.W.; Oosato, H.; Liao, M.Y.; Koide, Y. Enhancement-mode hydrogenated diamond metal-oxide-semiconductor field-effect transistors with Y2O3 oxide insulator grown by electron beam evaporator. Appl. Phys. Lett. 2017, 110, 203502. [Google Scholar] [CrossRef]
- Kahraman, A.; Yilmaz, E. A comprehensive study on usage of Gd2O3 dielectric in MOS based radiation sensors considering frequency dependent radiation response. Radiat. Phys. Chem. 2018, 152, 36–42. [Google Scholar] [CrossRef]
- Moshaev, V.; Leibin, Y.; Malka, D. Optimizations of Si PIN diode phase-shifter for controlling MZM quadrature bias point using SOI rib waveguide technology. Opt. Laser Technol. 2021, 138, 106844. [Google Scholar] [CrossRef]
- Omoru, E.O.; Srivastava, V.M. Testing and Analysis of MOSFET-Based Absorber Integrated Antenna for 5G/WiMAX/WLAN Applications. Nanomaterials 2022, 12, 2911. [Google Scholar] [CrossRef] [PubMed]
- Gupta, S.; Sachan, R.; Narayan, J. Performance of hydrogen-terminated diamond MOSFET with bilayer dielectrics of YSZ/Al2O3. Diam. Relat. Mater. 2019, 99, 107532. [Google Scholar] [CrossRef]
- El Kamel, F.; Gonon, P.; Vallée, C.; Jousseaume, V.; Grampeix, H. Voltage-induced recovery of dielectric breakdown (high current resistance switching) in HfO2. Appl. Phys. Lett. 2011, 98, 023504. [Google Scholar] [CrossRef]
- Zhang, M.; Wang, W.; Fan, S.; Chen, G.; Abbasi, H.N.; Lin, F.; Wen, F.; Zhang, J.; Bu, R.; Wang, H.-X. Normally-off hydrogen-terminated diamond field effect transistor with yttrium gate. Carbon 2021, 176, 307–312. [Google Scholar] [CrossRef]
- Zhang, M.; Wang, W.; Chen, G.; Abbasi, H.N.; Lin, F.; Wen, F.; Wang, K.; Zhang, J.; Bu, R.; Wang, H. Electrical properties of yttrium gate hydrogen-terminated diamond field effect transistor with Al2O3 dielectric layer. Appl. Phys. Lett. 2021, 118, 053506. [Google Scholar] [CrossRef]
- Chang, C.; Chen, G.; Shao, G.; Wang, Y.; Zhang, M.; Su, J.; Lin, F.; Wang, W.; Wang, H.-X. Normally-off hydrogen-terminated diamond field effect transistor with a bilayer dielectric of Er2O3/Al2O3. Diam. Relat. Mater. 2022, 123, 108848. [Google Scholar] [CrossRef]
- Su, K.; Ren, Z.; Peng, Y.; Zhang, J.; Zhang, J.; Zhang, Y.; He, Q.; Zhang, C.; Hao, Y. Normally-off Hydrogen-Terminated Diamond Field Effect Transistor With Ferroelectric HfZrOx/Al2O3Gate Dielectrics. IEEE Access 2020, 8, 20043–20050. [Google Scholar] [CrossRef]
- Wang, Y.-F.; Wang, W.; Abbasi, H.N.; Chang, X.; Zhang, X.; Zhu, T.; Liu, Z.; Song, W.; Chen, G.; Wang, H.-X. LiF/Al2O3 as Dielectrics for MOSFET on Single Crystal Hydrogen-Terminated Diamond. IEEE Electron Device Lett. 2020, 41, 808–811. [Google Scholar] [CrossRef]
- Shablonin, E.; Popov, A.; Prieditis, G.; Vasil’Chenko, E.; Lushchik, A. Thermal annealing and transformation of dimer F centers in neutron-irradiated Al2O3 single crystals. J. Nucl. Mater. 2020, 543, 152600. [Google Scholar] [CrossRef]
- Abbasi, H.N.; Wang, Y.-F.; Wang, W.; Hussain, J.; Wang, H.-X. Diamond field effect transistors using bilayer dielectrics Yb2TiO5/Al2O3 on hydrogen-terminated diamond. Diam. Relat. Mater. 2020, 106, 107866. [Google Scholar] [CrossRef]







Disclaimer/Publisher’s Note: The statements, opinions and data contained in all publications are solely those of the individual author(s) and contributor(s) and not of MDPI and/or the editor(s). MDPI and/or the editor(s) disclaim responsibility for any injury to people or property resulting from any ideas, methods, instructions or products referred to in the content. |
© 2023 by the authors. Licensee MDPI, Basel, Switzerland. This article is an open access article distributed under the terms and conditions of the Creative Commons Attribution (CC BY) license (https://creativecommons.org/licenses/by/4.0/).
Share and Cite
Lv, X.; Wang, W.; Wang, Y.; Chen, G.; He, S.; Zhang, M.; Wang, H. Hydrogen-Terminated Single Crystal Diamond MOSFET with a Bilayer Dielectric of Gd2O3/Al2O3. Crystals 2023, 13, 783. https://doi.org/10.3390/cryst13050783
Lv X, Wang W, Wang Y, Chen G, He S, Zhang M, Wang H. Hydrogen-Terminated Single Crystal Diamond MOSFET with a Bilayer Dielectric of Gd2O3/Al2O3. Crystals. 2023; 13(5):783. https://doi.org/10.3390/cryst13050783
Chicago/Turabian StyleLv, Xiaoyong, Wei Wang, Yanfeng Wang, Genqiang Chen, Shi He, Minghui Zhang, and Hongxing Wang. 2023. "Hydrogen-Terminated Single Crystal Diamond MOSFET with a Bilayer Dielectric of Gd2O3/Al2O3" Crystals 13, no. 5: 783. https://doi.org/10.3390/cryst13050783
APA StyleLv, X., Wang, W., Wang, Y., Chen, G., He, S., Zhang, M., & Wang, H. (2023). Hydrogen-Terminated Single Crystal Diamond MOSFET with a Bilayer Dielectric of Gd2O3/Al2O3. Crystals, 13(5), 783. https://doi.org/10.3390/cryst13050783

