A Novel Low On–State Resistance Si/4H–SiC Heterojunction VDMOS with Electron Tunneling Layer Based on a Discussion of the Hetero–Transfer Mechanism
Abstract
1. Introduction
2. Device Structure and Transfer Mechanism
2.1. HT–VDMOS Device Structure
2.2. Heterojunction Transfer Mechanism
2.3. Heterointerface Charge Analysis
3. Device Simulation and Discussion
3.1. Simulation Models and Mobility Parameters
3.2. Optimization of Structure Characteristics
3.3. Comparison of Device Performances
3.4. Analysis and Discussion of RON
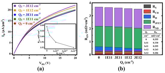
3.5. Influence of Heterointerface Charges
4. Conclusions
Author Contributions
Funding
Institutional Review Board Statement
Informed Consent Statement
Data Availability Statement
Conflicts of Interest
References
- Baliga, B.J. Silicon Carbide Power Devices; World Scientific: Singapore, 2005. [Google Scholar]
- Minamisawa, R.A.; Vemulapati, U.; Mihaila, A.; Papadopoulos, C.; Rahimo, M. Current Sharing Behavior in Si IGBT and SiC MOSFET Cross–Switch Hybrid. IEEE Electron Device Lett. 2016, 37, 1178–1780. [Google Scholar] [CrossRef]
- Konstantinov, A.; Wahab, Q.; Nordell, N.; Lindefelt, U. Ionization rates and critical fields in 4H silicon carbide. Appl Phys Lett. 1997, 71, 90–92. [Google Scholar] [CrossRef]
- Kimoto, T.; Cooper, J.A. Fundamentals of Silicon Carbide Technology: Growth, Characterization, Devices, and Applications; Wiley: Singapore, 2014; pp. 212–248. [Google Scholar]
- Yano, H.; Kanafuji, N.; Osawa, A.; Hatayama, T.; Fuyuki, T. Threshold Voltage Instability in 4H–SiC MOSFETs with Phosphorus–Doped and Nitrided Gate Oxides. IEEE Trans. Electron Devices 2015, 62, 324–332. [Google Scholar] [CrossRef]
- Chung, G.Y.; Tin, C.C.; Williams, J.R.; McDonald, K.; Chanana, R.K.; Weller, R.A.; Pantelides, S.T.; Feldman, L.C.; Holland, O.W.; Das, M.K.; et al. Improved inversion channel mobility for 4H–SiC MOSFETs following high temperature anneals in nitric oxide. IEEE Electron Device Lett. 2001, 22, 176–178. [Google Scholar] [CrossRef]
- Poggi, A.; Moscatelli, F.; Solmi, S.; Nipoti, R. Investigation on the Use of Nitrogen Implantation to Improve the Performance of N–Channel Enhancement 4H–SiC MOSFETs. IEEE Trans. Electron Devices 2008, 55, 2021–2028. [Google Scholar] [CrossRef]
- Nanen, Y.; Kato, M.; Suda, J.; Kimoto, T. Effects of Nitridation on 4H–SiC MOSFETs Fabricated on Various Crystal Faces. IEEE Trans. Electron Devices 2013, 60, 1260–1262. [Google Scholar] [CrossRef]
- Yang, X.; Lee, B.; Misra, V. Electrical Characteristics of SiO2 Deposited by Atomic Layer Deposition on 4H–SiC After Nitrous Oxide Anneal. IEEE Trans. Electron Devices 2016, 63, 2826–2830. [Google Scholar] [CrossRef]
- Noguchi, M.; Iwamatsu, T.; Amishiro, H.; Watanabe, H.; Kita, K.; Yamakawa, S. Determination of intrinsic phonon–limited mobility and carrier transport property extraction of 4H–SiC MOSFETs. In Proceedings of the 2017 IEEE International Electron Devices Meeting (IEDM), San Francisco, CA, USA, 2–6 December 2017. [Google Scholar]
- Chen, L.; Guy, O.J.; Jennings, M.R.; Igic, P.; Wilks, S.P.; Mawby, P.A. Study of a novel Si/SiC hetero–junction MOSFET. Solid–State Electron. 2007, 51, 662–666. [Google Scholar] [CrossRef]
- Duan, B.; Lv, J.; Zhao, Y.; Yang, Y. SiC/Si heterojunction VDMOS breaking silicon limit by breakdown point transfer technology. Micro Nano Lett. 2016, 13, 96–99. [Google Scholar] [CrossRef]
- Ikoma, Y.; Endo, T.; Watanabe, F.; Motooka, T. Growth of Si/3C–SiC/Si (100) heterostructures by pulsed supersonic free jets. Appl. Phys. Lett. 1999, 75, 3977–3979. [Google Scholar] [CrossRef]
- Zheng, H.; Zhu, J.; Fu, Z.; Lin, B.; Li, X. Heteroepitaxial growth and characterization of 3C–SiC films on Si substrates using LPVCVD. J. Mater. Sci. Technol. 2005, 21, 536–540. [Google Scholar]
- Hens, P.; Brow, R.; Robinson, H.; Cromar, M.; Zeghbroeck, B.V. Epitaxial growth of cubic silicon carbide on silicon using hot filament chemical vapor deposition. Thin Solid Films 2017, 635, 48–52. [Google Scholar] [CrossRef]
- Xu, Q.; Zhu, P.; Sun, Q.; Tu, R.; Yang, M.; Zhang, S.; Zhang, L.; Goto, T.; Yan, J.; Li, S. Elimination of double position domains (DPDs) in epitaxial < 111 >–3C–SiC on Si (111) by laser CVD. Appl. Surf. Sci. 2017, 426, 662–666. [Google Scholar]
- Nishida, S.; Liang, J.; Hayashi, T.; Morimoto, M.; Shigekawa, N.; Arai, M. Annealing characteristics of p+–Si/n–4H–SiC junctions by using Surface–Activated bonding. In Proceedings of the 2014 4th IEEE International Workshop on Low Temperature Bonding for 3D Integration (LTB–3D), Tokyo, Japan, 15–16 July 2014. [Google Scholar]
- Liang, J.; Nishida, S.; Hayashi, T.; Arai, M.; Shigekawa, N. Effects of interface state charges on the electrical properties of Si/SiC heterojunctions. Appl. Phys. Lett. 2014, 105, 151607. [Google Scholar] [CrossRef]
- Liang, J.; Nishida, S.; Arai, M.; Shigekawa, N. Improved electrical properties of n–n and p–n Si/SiC junctions with thermal annealing treatment. J. Appl. Phys. 2016, 120, 034504. [Google Scholar] [CrossRef]
- Wang, Y.; Wang, H.; Cao, F.; Wang, H. High Performance of Polysilicon/4H–SiC Dual–Heterojunction Trench Diode. IEEE Trans. Electron Devices 2017, 64, 1653–1659. [Google Scholar] [CrossRef]
- Sun, L.; Duan, B.; Yang, X.; Wang, Y.; Yang, Y. Analysis of the novel Si/SiC heterojunction IGBT characteristics by TCAD simulation. Superlattices Microstruct. 2018, 122, 631–635. [Google Scholar] [CrossRef]












| Parameters | Value | Unit | Parameters | Value | Unit | Parameters | Value | Unit | Parameters | Value | Unit |
|---|---|---|---|---|---|---|---|---|---|---|---|
| bn.cvt | 4.776 × 107 | cm2/Vs | en.cvt | 1 | – | mun | 947 | cm2/Vs | vsatn | 2 × 107 | cm/s |
| cn.cvt | 4.431 × 105 | cm2/Vs | feln.cvt | 1 × 1070 | cm2/Vs | tmun | 2 | – | betan | 2 | – |
| taun.cvt | 0.0284 | – | kn.cvt | 2 | – | mup | 124 | cm2/Vs | vsatp | 1.2 × 107 | cm/s |
| dn.cvt | 0.3333 | – | deln.cvt | 7.3 × 1012 | cm2/Vs | tmup | 2 | – | betap | 1 | – |
| Parameters | HT–VDMOS | H–VDMOS | C–VDMOS | Conditions | Unit |
|---|---|---|---|---|---|
| Breakdown voltage, BV | 1529 | 1522 | 1522 | ID = 0.1 μA/μm2 | V |
| On–state resistance, RON | 3.88 | 30.76 | 12.83 | VG = 10 V, VD = 1 V | mΩ × cm2 |
| 3.67 | 30.62 | 10.72 | VG = 15 V, VD = 1 V | mΩ × cm2 | |
| 3.60 | 30.54 | 9.99 | VG = 20 V, VD = 1 V | mΩ × cm2 | |
| Miller capacitance, Crss | 30 | 68 | 46 | F = 1 MHz, V = 400 V | pF/cm2 |
| Gate–drain charge, QGD | 54 | 78 | 63 | VD = 400 V, ID = 300 A | nC/cm2 |
| Gate charge, QG | 371 | 408 | 365 | VD = 400 V, ID = 300 A | nC/cm2 |
Disclaimer/Publisher’s Note: The statements, opinions and data contained in all publications are solely those of the individual author(s) and contributor(s) and not of MDPI and/or the editor(s). MDPI and/or the editor(s) disclaim responsibility for any injury to people or property resulting from any ideas, methods, instructions or products referred to in the content. |
© 2023 by the authors. Licensee MDPI, Basel, Switzerland. This article is an open access article distributed under the terms and conditions of the Creative Commons Attribution (CC BY) license (https://creativecommons.org/licenses/by/4.0/).
Share and Cite
Chen, H.; Zhang, Y.; Zhou, R.; Wang, Z.; Lu, C.; Li, Z.; Zhang, B. A Novel Low On–State Resistance Si/4H–SiC Heterojunction VDMOS with Electron Tunneling Layer Based on a Discussion of the Hetero–Transfer Mechanism. Crystals 2023, 13, 778. https://doi.org/10.3390/cryst13050778
Chen H, Zhang Y, Zhou R, Wang Z, Lu C, Li Z, Zhang B. A Novel Low On–State Resistance Si/4H–SiC Heterojunction VDMOS with Electron Tunneling Layer Based on a Discussion of the Hetero–Transfer Mechanism. Crystals. 2023; 13(5):778. https://doi.org/10.3390/cryst13050778
Chicago/Turabian StyleChen, Hang, Yourun Zhang, Rong Zhou, Zhi Wang, Chao Lu, Zehong Li, and Bo Zhang. 2023. "A Novel Low On–State Resistance Si/4H–SiC Heterojunction VDMOS with Electron Tunneling Layer Based on a Discussion of the Hetero–Transfer Mechanism" Crystals 13, no. 5: 778. https://doi.org/10.3390/cryst13050778
APA StyleChen, H., Zhang, Y., Zhou, R., Wang, Z., Lu, C., Li, Z., & Zhang, B. (2023). A Novel Low On–State Resistance Si/4H–SiC Heterojunction VDMOS with Electron Tunneling Layer Based on a Discussion of the Hetero–Transfer Mechanism. Crystals, 13(5), 778. https://doi.org/10.3390/cryst13050778

