Abstract
We report a possible coexistence of nontrivial topology and antiferromagnetism in the newly discovered compounds EuCdBi, with magnetic Eu layer locating above and below Bi square net. The X-ray diffraction on single crystals and powder indicats that this 112-type material crystalizes in space group of , the same as SrMnBi and EuMnBi. Our combined measurements of magnetization, electrical transport and specific heat consistently reveal antiferromagnetic (AFM) transition of Eu moments at = 20 K. The Eu moments are not saturated under a field of 7 T at 1.8 K. The anisotropic susceptibility suggests the Eu moments lie in the plane, and a metamagnetic (MM) transition is observed near 1 T below . Large positive magnetoresistance (MR) present for both and , which are considered to contain part contributions from Dirac bands. Hall measurements show the electron-hole compensation effect is prominent above 100 K, with a crossover of Hall resistance from negative to positive values at ∼150 K. The fitted mobility of electrons is as high as 3250 cm V S at 1.8 K. Interestingly, the rapid increase of carrier density and suppression of mobility appear at around , indicating non-negligible interaction between Eu moments and electron/hole bands. EuCdBi may provide a new platform to investigate the interplay of topological bands and antiferromagnetic order.
1. Introduction
Recently, the interplay of topological band and magnetic order has triggered a flurry of research activities, which provides a possible route to manipulate the spin dynamics and transport properties to give rise to rich quantum effects or high-performance spin-based devices [1,2,3,4,5,6]. One of the prominent cases is Dirac fermions in antiferromagnetic(AFM) system. AFM orders usually have rich magnetic phase diagrams, and various topological states, such as Weyl fermions, quantum Hall effect and anisotropic Dirac cone, could be realized through their coupling [5,7,8,9,10]. The recent discovery of coexistence of anisotropic Dirac cones and long-range AFM order in CaMnBi and SrMnBi provides an exciting platform to study this coupling and their mutual influence [11,12,13,14,15,16,17,18,19].
CaMnBi and SrMnBi are prototypical 112-type (A = alkaline earth, rare earth metal; M = Mn, Zn, Cd; = Sb, Bi) compounds [20,21,22,23,24,25,26,27,28] with characteristic layer of square net, which is considered to have a significant influence on the electronic transport properties, and hosts Dirac (Weyl) fermions [29,30]. One typical crystal structure of () is shown in Figure 1a with a coincident arrangement of A above and below square net. A could also stagger at each sides of square net and will crystalize in HfCuGe-type structure with space group of , such as CaMnBi and YbMnBi [22]. Coincident arrangement of A is considered to give rise to larger spin-orbit coupling effect on Dirac bands of square net [16,31]. square net layers also could be distorted into zigzag chain with corresponding space group of , such as EuMnSb [24,32,33], SrMnSb [23] and SrZnSb [26]. Statistically, for = Bi, A with large ion radius like Sr, Eu and Ba tends to form coincident arrangement and smaller ions like Ca and Yb prefer to staggered arrangement. Magnetism can be introduced in A site with Eu and/or M site with Mn, which interacts with Dirac fermions in different manners. In CaMnBi and SrMnBi, the magnetic exchange coupling between Mn layers will open a charge gap along the Dirac locus [34]. For Eu-containing EuMnBi, the Eu moments align along the c axis in the sequence of up-up-down-down. The antiferromagnetism can be driven into a spin-flop phase under magnetic field of 5 T, in which interesting half-integer quantum Hall effect originating from nontrivial Berry’s phase is observed [10]. In EuMnSb, the Eu layers below and above Sb zigzag chains are misaligned, and two successive AFM transitions appear at 24 K and 9 K [24,32]. Different from the case in EuMnBi, the Eu moments in EuMnSb is AFM stacked with spins canting away the c axis [33]. The Eu moments are considered to be intimately coupled with the electrons in the Dirac band [32,35]. In Mn-free compound of EuZnSb, layers of Eu moments stagger along c axis with antiferromagnetic arrangement below 20 K [27]. Density-functional-theory calculations show the antiferromagnetic order of Eu moments in EuZnSb has weak effects in the bulk dispersion of the Dirac band, but it may affect the transport properties and surface electronic dispersion [36]. Diverse magnetic orders in A site will have different effects on the Dirac bands.
Figure 1.
(a) Crystal structure of EuCdBi. (b) Single-crystal X-ray diffraction pattern ( − 2 scan) of the EuCdBi crystalline plate at room temperature. The vertical coordinate is shown as logarithmic form. (c) Powder XRD pattern and its Rietveld refinement profile of the ground EuCdBi crystals.
Here we report the discovery of another Eu-containing 112-type material EuCdBi. The crystal structure and physical properties were investigated using high-quality single crystals. The refined crystal structure is tetragonal at room temperature, indicating the Eu atoms beside the Bi square net are aligned, same as the case in EuMnBi2 [37]. The magnetic moment of Eu is 7.98 with AFM arrangement below 20 K, which is similar to the case in the other Eu-containing 112 compounds. The magnetoresistance shows nonsaturating quasi-linear character at high magnetic field, and the mobility of electrons is as high as 3250 cm V S at 1.8 K, indicating possible Dirac states persist in the Bi square net. Different from the magnetic structure of Eu moments in EuMnBi [10], the Eu moments in EuCdBi are considered to lie in the plane inferred from anisotropic susceptibility, which provides a distinct case for comparison. Additionally, a metamagnetic (MM) transition is also observed under magnetic field of 1 T with direction parallel to the plane. The long-range antiferromagnetic order of Eu moments and Dirac states may coexist in EuCdBi, which provides a new case of magnetic structure to investigate the interplay between topological bands and antiferromagnetism.
2. Experimental Methods
Single crystals of EuCdBi were grown by spontaneous nucleation with self-flux method. High-purity Eu ingot, Cd powder and Bi shot were combined in alumina crucibles in a ratio of Eu:Cd:Bi = 1:1:5 with total mass about 3 g. The crucibles were sealed in evacuated quartz ampoules. To separate the remaining flux, the quartz ampoules were made into an hourglass shape with inner diameter of the neck below 1 mm. Subsequently, the sample-loaded quartz ampoules were heated up to 800 C and hold for 20 h in a muffle furnace, followed by cooling down slowly to 300 C at which excess flux was removed by centrifugation. Millimeter-sized crystals were harvested with a cooling rate of 3 C/h. The crystals are not quite stable in air and tend to react with oxygen and water slowly, accompanied by a change of color from shiny metal luster to dark gray for two weeks. The crystals are stored and handled in a glove box filled with pure Ar with water and oxygen content below 0.1 ppm.
The crystal structure was characterized by X-ray diffraction (XRD) using a PANalytical X-ray diffractometer (Empyrean Malvern Panalytical Ltd., Malvern, UK) with a monochromatic Cu- radiation at room temperature. The chemical analyses were performed by energy dispersive X-ray spectroscopy (EDS) on a scanning electron microscope (S-3700N Hitachi High-Tech Corporation, Tokyo, Japan) equipped with Oxford Instruments X-Max spectrometer. Electrical transport and heat capacity measurements were conducted on a Quantum Design physical property measurement system (PPMS-9 Quantum Design Inc., San Diego, CA, USA). The magnetization measurements were carried out on a SQUID magnetometer (MPMS3 Quantum Design Inc., San Diego, CA, USA).
3. Results and Discussion
The as-grown single crystal of EuCdBi were cleaved to remove bits of residual flux on the surface before measurements. Figure 1b shows the XRD pattern of single crystal with only (00l) (l = 2n) reflections present here, indicating that the c orientation of the crystals is perpendicular to the cleaved surface. The calculated lattice constant c from the diffraction peak of (0024) is about 22.14 Å. To determine the lattice constants and atom positions precisely, the several pieces of single crystals were ground into powder for XRD measurements as shown in Figure 1c. The XRD reflections can be indexed by a tetragonal unit cell with a = 4.6271(1) Å, c = 22.1235(5) Å and space group , except several reflections corresponding to elemental Bi and Cd. The remaining Cd and Bi are from the surface of crystals, which can be removed by cutting or cleaving the crystals to expose fresh surface. Notably, we have also tried to refine the data with space group and found some reflections, such as (103) at 22.67 and (105) at 27.88, failed to be indexed. The refined lattice parameter a is close to SrCdBi [28] with slight decrease, but the parameter c is severely decreased by 0.7 Å and even smaller than that of EuMnBi [21]. The XRD pattern is refined with three phases of EuCdBi, Bi and Cd, and the goodness-of-fit index is 3.7. The refined crystallographic data are listed in Table 1. The measured average atomic ratio of EuCdBi single crystals through EDS is Eu:Cd:Bi = 1.00:1.02:1.97, which is consistent with the stoichiometry.
Table 1.
Crystallographic data of EuCdBi collected at room-temperature with lattice parameters of a = 4.6271(1) Å and c = 22.1235(5) Å (space group , No. 139).
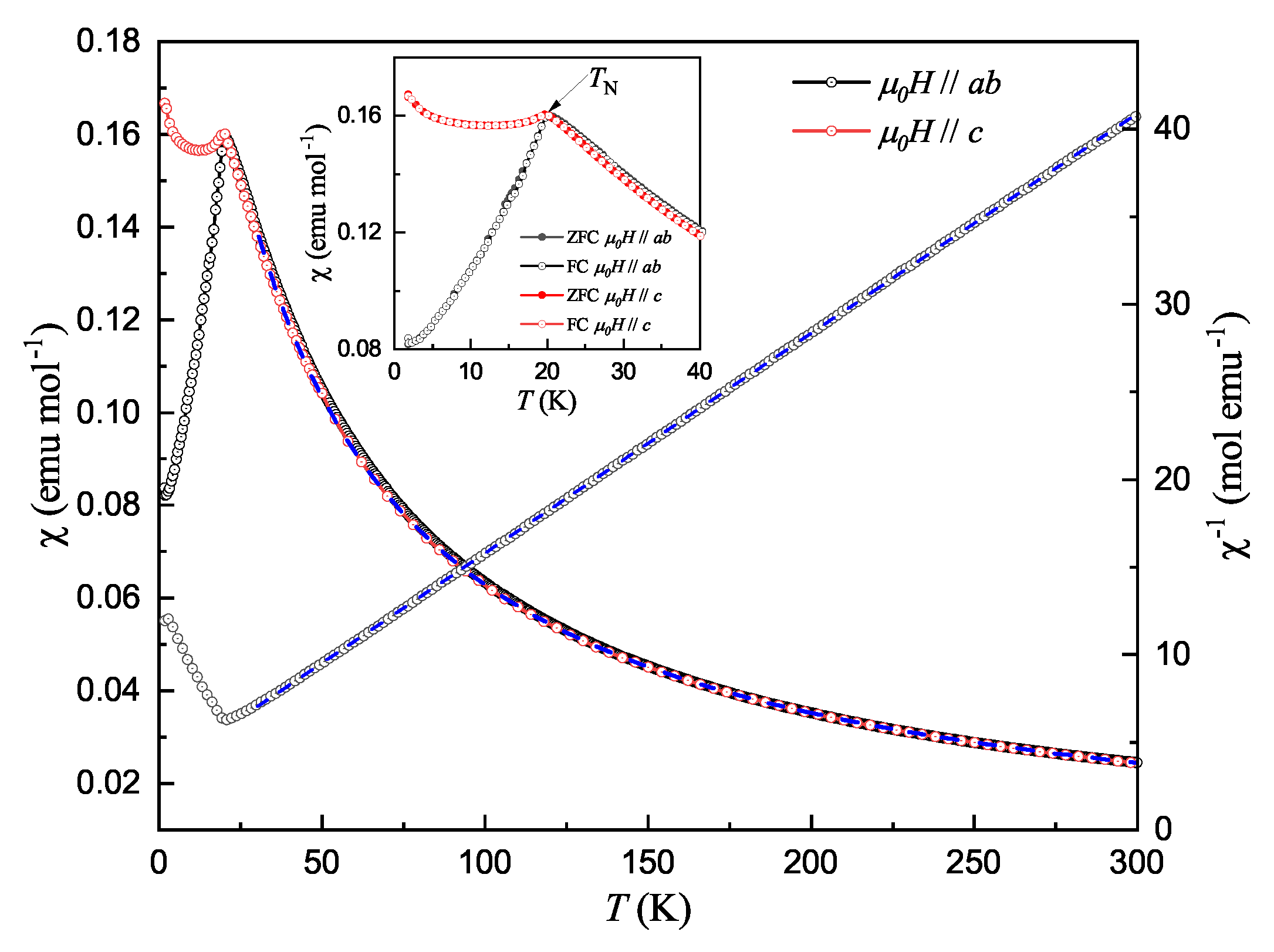
Figure 2 shows the temperature dependence of magnetic susceptibility, (T), for EuCdBi under 0.1 T, with field parallel to plane and c axis respectively. The data of 1/ is linear above 30 K, indicating a Curie-Weiss behavior with 1/ = (T − )/C. The fitted Curie-Weiss temperatures are −26.38(1) K and −27.42(3) K for and respectively. The slight difference of the may come from anisotropic magnetic dipole interactions between the Eu moments [38]. The effective moment calculated from the Curie constant C = 7.96(5) emu K mol is 7.98 , which is very close to the effective moment for Eu, = 7.94 . The negative Curie-Weiss temperature indicates dominant AFM interaction among the Eu moments. The magnetic transition , defined at the peak of susceptibility, is about 20 K. The magnetic frustration parameter f = / is about 1.3–1.4, indicating low degree of magnetic frustration in EuCdBi. Notably, the susceptibility measured in zero-field-cooling and field-cooling modes for both field-direction configurations do not bifurcate till 1.8 K, indicating the absence of any ferromagnetic component in EuCdBi. Below , compared with the rapid decrease of , is nearly independent of temperature, indicating the Eu moments are aligned in the plane. Although the and in EuCdBi are very close to that in EuMnBi [21], the scenario of temperature dependence of susceptibility is totally different. Their behaviors of and are reversed and the Eu moments are proved to be along the c axis in EuMnBi [39]. Because the neighbor exchange interactions of Eu layers beside the layer and layer are different, the magnetic structures of Eu moments in 112-type compounds are more complex than that of the well-known Eu-containing iron-based materials, such as EuFeAs [40], EuFeP [41] and RbEuFeAs [42]. Fortunately, in EuMnBi [39], EuMnSb [33] and EuZnSb [36], of which the magnetic structures are well studied by neutron diffraction or first-principles calculation, there are many similarities in the magnetic structures. For examples, the intra-layer Eu moments are ferromagnetically arranged, and the neighbor Eu layers beside the layer are antiferromagnetically aligned. Therefore, considering the negative Curie-Weiss temperatures and anisotropic susceptibility, we suppose that in EuCdBi the intra-layer Eu moments also have ferromagnetic exchange couplings with spins in the plane, and Eu moments below and above Bi layer are antiparallel.
Figure 2.
Temperature dependence of magnetic susceptibility measured under magnetic field of 0.1 T in both zero-field-cooling and field-cooling modes for and . The dashed lines are fits of Curie-Wiess formula from 30 K to 300 K.
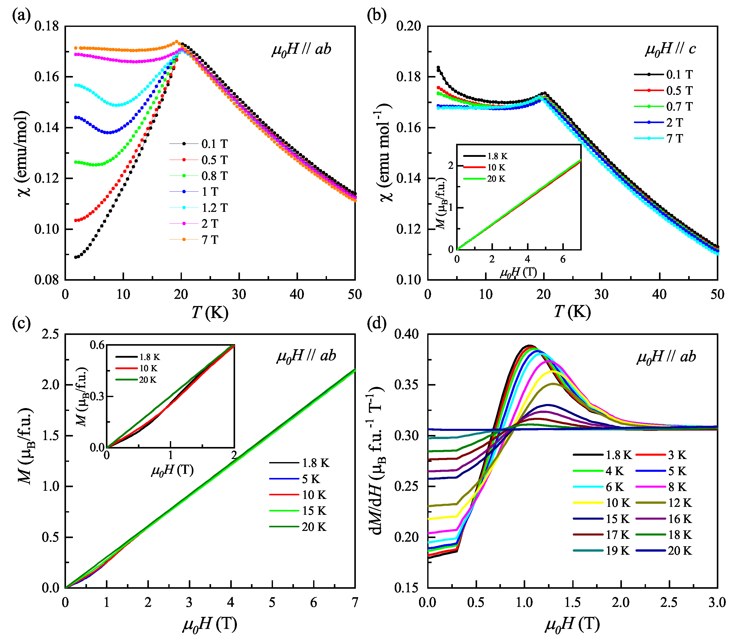
To get more insight into the AFM order of Eu moments, we measured the temperature dependence of and under various fields, as shown in Figure 3a,b. With the increase of magnetic field, the magnetic transition shifts to lower temperature gradually, which is consistent with AFM order of Eu moments. The behaviors of basically remain unchanged up to 7 T. On the contrary, an upturn at low temperature gradually appears in as the increase of magnetic field, which is considered as the effect of field-induced MM transition. Indeed, owing to the weak inter-layer coupling, MM transition is common in A-type or helical AFM structure when magnetic field is parallel to the layer. The MM transition is further confirmed by the isothermal magnetization with positive curvature, as shown in Figure 3c, which is much different from completely linear behavior of magnetization for presented in the inset of Figure 3b. Different from the abrupt increase of magnetization around the spin-flop transition in EuMnBi [21], the anomaly in magnetization at MM transition is rather subtle in EuCdBi. One of possible explanations is that the Eu moments may cant in the plane at the MM transition, similar to the crossover from first high-temperature AFM phase of Eu lattice in EuMnSb to the second low-temperature one [33]. This canting is supposed to have few effects on magnetization. To investigate the temperature dependence of the field-induced MM transition, we thus plot the derivative of magnetization, as shown in Figure 3d. A broad peak can be identified at in below , which shifts to higher field below 12 K and then moves in an opposite way. The non-monotonic evolution of with temperature is supposed to stem from the combined effects of inter-layer coupling, thermal fluctuation and external field. Further experiments are expected to provide more information about the MM transition.
Figure 3.
(a,b) Temperature-dependent magnetic susceptibility under various fields with and respectiveily. (c) and the inset of (b) show field-dependent magnetization at selected temperatures for and separately. The nonlinear part of magnetization for is magnified in the inset of (c). (d) shows the derivative of magnetization for .
Figure 4a shows the temperature dependence of resisitivity for EuCdBi single crystal with current in the plane. The resistivity exhibits metallic behavior with a broad hump at about 60 K. The temperature dependence of resistivity fails to be modelled with Bloch-Grüneisen formula, which describes the contribution of electron-phonon scattering in resistivity [43]. This anomalous behavior resembles that in isostructural EuMnBi [37] but is different from that in SrCdBi [28], which shows a kick at 210 K. The residual resistance ratio (RRR) is ≈40, indicating the high quality of the as-grown single crystals. The anomalies of magnetic transition and the hump are prominent in the derivative of resistivity as shown in the inset of Figure 4a. A peak related to the magnetic order starts at and the an obvious slop change is observed at 60 K. The hump is supposed to be induced by the spin fluctuation of Eu moments as revealed in the below measurements of specific heat.
Figure 4.
(a) Temperature dependence of resistivity of EuCdBi single crystal. The inset shows the derivative of resistivity. (b) Temperature-dependent of specific heat. The red line is the fit of Debye-Einstein model and the blue dashed line indicates the Dulong-Petit limit. (c) Temperature-dependence of specific heat under fields of 1 T and 9 T with direction along the c axis. (d) The extracted magnetic contribution (T) (left axis) and magnetic entropy (T) calculated from /T (right axis).
Figure 4b shows the temperature dependence of zero-field specific heat, , for EuCdBi and nonmagnetic compound SrCdBi as a reference. At temperature above 100 K, the values of is close to the classical Dulong-Petit high-temperature limit, 3 = 99.8 J K mol, where N is the number of atoms per formula unit and R is the molar gas constant. A pronounced anomaly is observed at about 20 K, which is more clear in the expanded plot of vs. as shown in Figure 4c. The jump confirms the intrinsic nature of AFM ordering in EuCdBi, and the transition is suppressed to about 18 K under field of 9 T with direction parallel to the c axis, which is consistent with the above susceptibility measurements. Left of Figure 4d shows the isolated (T) by using isostructural SrCdBi as background after correcting for the molar mass (M) difference by multiplying the temperature scale by (/). It is interesting that the magnetic contribution can extend to as high as 100 K. The magnetic entropy is calculated from the (T)/T through integrating, which reaches about 11.3 J mol K at . The magnetic entropy continues to grow above , and at about 90 K it achieves 16.9 J mol K, which is close to the theoretical value 8 = 17.3 J mol K. Above 90 K, the reaches saturation and is basically independent on temperature. The magnetic entropy above is consistent with the hump in resistivity, indicating that the Eu moments may have prominent spin fluctuation before completely ordered arrangement. Generally, spin fluctuation is observed in low-dimensional magnetic system [44].
Figure 5a,b display the field-dependent transverse magnetoresistance (MR) as [(H) − (0)]/(0) under different field-direction configurations. MR reaches the maximum values of 150% and 200% at 9 T and 2 K for and respectively. The maximum value of MR 200% is less than 900% in SrCdBi, which indicates the Eu moments may suppress the mobility in EuCdBi, which is supported in the following Hall measurements. The large MR and nonsaturating quasilinear behavior under high field indicates Dirac states may also exist in the Bi square net of EuCdBi, resemble of that in SrMnBi, EuMnBi and SrCdBi. Note that, for BaZnBi, MR only achieves 40% at 9 T and 2 K and it turns out that Dirac state is absent due to a large gap induced by spin-orbit coupling [31]. Ren et al. considered different atoms in may exert corresponding spin-orbit coupling on layer, which will open a gap in Dirac bands, and the gap size is about 0.05 eV, 0.07 eV and 0.2–0.3 eV for SrMnBi [37], EuMnBi [37] and BaZnBi [31] respectively. Accompanied by the opening of the gap, the Dirac bands are separated into upper and lower branches, and the Dirac state is not quenched in case the branches are not gapped away from Fermi level. We suppose the gap induced by Eu in EuCdBi is very small, which suggests that Dirac bands are prominent in electric transport.
Figure 5.
(a,b) Magnetoresistance for at various temperatures. (c,d) Kohlers scaling for and at the corresponding temperatures. (e) The field dependence of Hall resistivity at different temperatures. The black lines in (b,e) are the fits using two-band model. (f) Temperature dependence of the carrier density n (left) and the mobility (right).
As temperature rises, the shape of MR curves changes from cusp-like into parabolic-like for . The low-temperature linear field dependence of MR is usually observed in topological materials hosting Dirac states due to linear band dispersion. Likewise, nonlinear parabolic-like dependence of MR is considered as dominant classic MR which originates from the Lorentz force and is proportional to , where is carrier mobility. For , the MR presents more dominant contributions from a classic term at low temperatures, which could be described by the combined effects of classic and topological terms. Notably, no anomaly related to the MM transition is observed in MR, which is consistent with subtle changes of magnetization around . Figure 5c,d presents the Kohler’s plots for and repectively, from which we can find the Kohlers rule is basically violated in full temperature range, presumably due to the influence from Dirac states.
Figure 5e shows the Hall resistivity () at various temperatures with field along c axis. is negative at low temperature, indicating the electronic transport is dominated by electron like carriers in EuCdBi, similar to the case in SrCdBi. However, the behavior at higher temperature is much different, in EuCdBi experiences a sign reversal around 150 K and keeps growing significantly at higher temperature, suggesting a multiband effect in EuCdBi. For simplicity, we adopt semiclassical two-band model to analyze the carrier density and mobility, which turns out to be sufficient to describe the Hall effect in the full temperature range. By fitting and to the two-band model with shared parameters,
where () and () denote the carrier density and mobility for electrons(or holes) respectively, we derived the temperature-dependent carrier density and mobility for both electron- and hole-type carriers, and the results are presented in Figure 5f. The parameters for electron and hole are nearly equal above 100 K, indicating the crossover of from negative to positive values at about 150 K should originates from the electron-hole compensation effect. Clear bifurcations in carriers density and mobility are observed below 20 K. The interesting bifurcation in carrier density is also accompanied by a rapid increase, leading to the density growing from 3.8 × 10 cm at 300 K to unexpectedly large values of 2.1 × 10 cm and 1.1 × 10 cm at 1.8 K for and respectively. and also show anomalies around 20 K, indicating enhancement of magnetic scattering below magnetic transition, which is more remarkable in . Notably, and are as large as 3250 and 1790 cm V S at 1.8 K, which is close to 3400 cm V S in analogous AFM Dirac metal SrMnBi [14]. The abnormal behaviors of carriers below suggest non-negligible interaction between Eu moments and itinerant electrons/holes.
4. Conclusions
To summarize, we have discovered an Eu-containing 112-type compound EuCdBi. EuCdBi crystalizes in space group of with Bi square net locating between two magnetic Eu moments layers. The Eu moments experience a transition into long-range antiferromagnetic order at = 20 K and the spin directions are lying in the plane, which is different from the other reported Eu-containing 112-type compounds. A field induced matamagnetic transition is observed for at about 1 T, suggesting the magnetism is tunable. Additionally, the Bi square net usually hosts Dirac states, which is supported by the large and unsaturated MR and high mobility. The sharp increase of carrier density and anomaly in mobility around indicates non-negligible interaction between Eu moments and Dirac bands. Therefore, EuCdBi is a potential platform to investigate the interplay of antiferromagnetism and topological bands. Further investigations like inelastic neutron scattering, high magnetic field transport and angle-resolved photoemission spectroscopy experiments are expected on this interesting title material to provide more information about the magnetism and topological bands, and their interplay.
Author Contributions
Data curation, investigation, writing—original draft, Y.L.; formal analysis, Y.L. and J.L.; Resources, G.-H.C., Z.R., S.-J.S. and W.-Z.Y.; writing—review & editing, G.-H.C., J.-K.B., W.-H.J. and X.-F.X.; project administration, G.-H.C.; funding acquisition, Y.L., G.-H.C. and X.-F.X. All authors have read and agreed to the published version of the manuscript.
Funding
This research was funded by Zhejiang Provincial Natural Science Foundation of China (Grants No. Q21A040024), National Natural Science Foundation of China (Grants No. 12004337), the Key Research and Development Program of Zhejiang Province, China (Grant No. 2021C01002) and National Natural Science Foundation of China (Grants No. 12274369, No. 11974061).
Institutional Review Board Statement
Not applicable.
Informed Consent Statement
Not applicable.
Data Availability Statement
Data available on request. The data presented in this study are available on request from the corresponding author. The data about crystal structure will also be uploaded to ICSD database.
Conflicts of Interest
The authors declare no conflict of interest.
References
- Wadley, P.; Howells, B.; Zelezny, J.; Andrews, C.; Hills, V.; Campion, R.P.; Novak, V.; Olejnik, K.; Maccherozzi, F.; Dhesi, S.S.; et al. Electrical switching of an antiferromagnet. Science 2016, 351, 587. [Google Scholar] [CrossRef] [PubMed]
- Smejkal, L.; Zelezny, J.; Sinova, J.; Jungwirth, T. Electric control of dirac quasiparticles by spin-orbit torque in an antiferromagnet. Phys. Rev. Lett. 2017, 118, 106402. [Google Scholar] [CrossRef] [PubMed]
- Salemi, L.; Berritta, M.; Nandy, A.K.; Oppeneer, P.M. Orbitally dominated Rashba-Edelstein effect in noncentrosymmetric antiferromagnets. Nat. Commun. 2019, 10, 5381. [Google Scholar] [CrossRef] [PubMed]
- Shao, D.F.; Zhang, S.H.; Gurung, G.; Yang, W.; Tsymbal, E.Y. Enonlinear anomalous hall effect for neel vector detection. Phys. Rev. Lett. 2020, 124, 067203. [Google Scholar] [CrossRef]
- Otrokov, M.M.; Menshchikova, T.V.; Rusinov, I.P.; Vergniory, M.G.; Kuznetsov, V.M.; Chulkov, E.V. Magnetic extension as an efficient method for realizing the quantum anomalous Hall state in topological insulators. JETP Lett. 2017, 105, 297–302. [Google Scholar] [CrossRef]
- Deng, J.; Shao, D.; Gao, J.; Yue, C.; Weng, H.; Fang, Z.; Wang, Z. Twisted nodal wires and three-dimensional quantum spin Hall effect in distorted square-net compounds. Phys. Rev. B 2022, 105, 224103. [Google Scholar] [CrossRef]
- Xu, Y.; Elcoro, L.; Song, Z.D.; Wieder, B.J.; Vergniory, M.G.; Regnault, N.; Chen, Y.; Felser, C.; Bernevig, B.A. High-throughput calculations of magnetic topological materials. Nature 2020, 586, 702. [Google Scholar] [CrossRef]
- Yang, H.; Sun, Y.; Zhang, Y.; Shi, W.J.; Parkin, S.S.P.; Yan, B. Topological Weyl semimetals in the chiral antiferromagnetic materials Mn3Ge and Mn3Sn. New J. Phys. 2017, 19, 015008. [Google Scholar] [CrossRef]
- Otrokov, M.M.; Rusinov, I.P.; Blanco-Rey, M.; Hoffmann, M.; Vyazovskaya, A.Y.; Eremeev, V.S.; Ernst, A.; Echenique, P.M.; Arnau, A.; Chulkov, V.E. Unique thickness-dependent properties of the van der waals interlayer antiferromagnet MnBi2Te4 films. Phys. Rev. Lett. 2019, 122, 107202. [Google Scholar] [CrossRef]
- Masuda, H.; Sakai, H.; Tokunaga, M.; Yamasaki, Y.; Miyake, A.; Shiogai, J.; Nakamura, S.; Awaji, S.; Tsukazaki, A.; Nakao, H.; et al. Quantum Hall effect in a bulk antiferromagnet EuMnBi2 with magnetically confined two-dimensional Dirac fermions. Sci. Adv. 2016, 2, e1501117. [Google Scholar] [CrossRef]
- Wang, J.K.; Zhao, L.L.; Yin, Q.; Kotliar, G.; Kim, M.S.; Aronson, M.C.; Morosan, E. Layered transition-metal pnictide SrMnBi2 with metallic blocking layer. Phys. Rev. B 2011, 84, 064428. [Google Scholar] [CrossRef]
- Wang, K.; Graf, D.; Wang, L.; Lei, H.; Tozer, S.W.; Petrovic, C. Two-dimensional Dirac fermions and quantum magnetoresistance in CaMnBi2. Phys. Rev. B 2012, 85, 041101. [Google Scholar] [CrossRef]
- Park, J.; Lee, G.; Wolff-Fabris, F.; Koh, Y.Y.; Eom, M.J.; Kim, Y.K.; Farhan, M.A.; Jo, Y.J.; Kim, C.; Shim, J.H.; et al. Anisotropic Dirac fermions in a Bi square net of SrMnBi2. Phys. Rev. Lett. 2011, 107, 126402. [Google Scholar] [CrossRef] [PubMed]
- Wang, K.; Graf, D.; Lei, H.; Tozer, S.W.; Petrovic, C. Quantum transport of two-dimensional Dirac fermions in SrMnBi2. Phys. Rev. B 2011, 84, 220401. [Google Scholar] [CrossRef]
- Lee, G.; Farhan, M.A.; Kim, J.S.; Shim, J.H. Anisotropic Dirac electronic structures of AMnBi2 (A = Sr, Ca). Phys. Rev. B 2013, 87, 245104. [Google Scholar] [CrossRef]
- Feng, Y.; Wang, Z.; Chen, C.; Shi, Y.; Xie, Z.; Yi, H.; Liang, A.; He, S.; He, J.; Peng, Y.; et al. Strong Anisotropy of Dirac Cones in SrMnBi2 and CaMnBi2 Revealed by Angle-Resolved Photoemission Spectroscopy. Sci. Rep. 2014, 4, 5385. [Google Scholar] [CrossRef]
- Guo, Y.F.; Princep, A.J.; Zhang, X.; Manuel, P.; Khalyavin, D.; Mazin, I.I.; Shi, Y.G.; Boothroyd, A.T. Coupling of magnetic order to planar Bi electrons in the anisotropic Dirac metals AMnBi2 (A = Sr, Ca). Phys. Rev. B 2014, 90, 075120. [Google Scholar] [CrossRef]
- Wang, Y.Y.; Yu, Q.H.; Xia, T.L. Large linear magnetoresistance in a new Dirac material BaMnBi2. Chin. Phys. B 2016, 25, 107503. [Google Scholar] [CrossRef]
- Rahn, M.C.; Princep, A.J.; Piovano, A.; Kulda, J.; Guo, Y.F.; Shi, Y.G.; Boothroyd, A.T. Spin dynamics in the antiferromagnetic phases of the Dirac metals AMnBi2 (A = Sr, Ca). Phys. Rev. B 2017, 95, 134405. [Google Scholar] [CrossRef]
- Ryu, H.; Park, S.Y.; Li, L.; Ren, W.; Neaton, J.B.; Petrovic, C.; Hwang, C.; Mo, S.K. Anisotropic Dirac fermions in BaMnBi2 and BaZnBi2. Sci. Rep. 2018, 8, 15322. [Google Scholar] [CrossRef]
- May, A.F.; McGuire, M.A.; Sales, B.C. Effect of Eu magnetism on the electronic properties of the candidate Dirac material EuMnBi2. Phys. Rev. B 2014, 90, 075109. [Google Scholar] [CrossRef]
- Wang, A.; Zaliznyak, I.; Ren, W.; Wu, L.; Graf, D.; Garlea, V.O.; Warren, J.B.; Bozin, E.; Zhu, Y.; Petrovic, C. Magnetotransport study of Dirac fermions in YbMnBi2 antiferromagnet. Phys. Rev. B 2016, 94, 165161. [Google Scholar] [CrossRef]
- Farhan, M.A.; Lee, G.; Shim, J.H. AEMnSb2 (AE = Sr, Ba): A new class of Dirac materials. J. Phys.-Condens. Matter 2014, 26, 042201. [Google Scholar] [CrossRef] [PubMed]
- Yi, C.; Yang, S.; Yang, M.; Wang, L.; Matsushita, Y.; Miao, S.; Jiao, Y.; Cheng, J.; Li, Y.; Yamaura, K.; et al. Large negative magnetoresistance of a nearly Dirac material: Layered antimonide EuMnSb2. Phys. Rev. B 2017, 96, 205103. [Google Scholar] [CrossRef]
- Kondo, M.; Ochi, M.; Kojima, T.; Kurihara, R.; Sekine, D.; Matsubara, M.; Miyake, A.; Tokunaga, M.; Kuroki, K.; Murakawa, H.; et al. Tunable spin-valley coupling in layered polar Dirac metals. Commun. Mater. 2021, 2, 49. [Google Scholar] [CrossRef]
- Liu, J.; Liu, P.; Gordon, K.; Emmanouilidou, E.; Xing, J.; Graf, D.; Chakoumakos, B.C.; Wu, Y.; Cao, H.; Dessau, D.; et al. Nontrivial topology in the layered Dirac nodal-line semimetal candidate SrZnSb2 with distorted Sb square nets. Phys. Rev. B 2019, 100, 195123. [Google Scholar] [CrossRef]
- Wang, A.; Baranets, S.; Liu, Y.; Tong, X.; Stavitski, E.; Zhang, J.; Chai, Y.; Yin, W.G.; Bobev, S.; Petrovic, C. Magnetic mixed valent semimetal EuZnSb2 with Dirac states in the band structure. Phys. Rev. Res. 2020, 2, 033462. [Google Scholar] [CrossRef]
- Yang, Y.; Fu, Y.; Zhu, W.; He, J.; Liu, B.; Liu, C.B.; Li, L.; Niu, C.; Luo, Y. Single crystal growth and physical properties of layered compound SrCdBi2. J. Phys.-Condens. Matter 2022, 34, 31. [Google Scholar] [CrossRef]
- Klemenz, S.; Lei, S.; Schoop, L.M. Topological semimetals in square-net materials. Annu. Rev. Mater. Res. 2019, 49, 185–206. [Google Scholar] [CrossRef]
- Shao, D.F.; Gurung, G.; Zhang, S.H.; Tsymbal, E.Y. Dirac nodal line metal for topological antiferromagnetic spintronics. Phys. Rev. Lett. 2019, 122, 077203. [Google Scholar] [CrossRef]
- Ren, W.; Wang, A.; Graf, D.; Liu, Y.; Zhang, Z.; Yin, W.G.; Petrovic, C. Absence of Dirac states in BaZnBi2 induced by spin-orbit coupling. Phys. Rev. B 2018, 97, 035147. [Google Scholar] [CrossRef]
- Sun, Z.L.; Wang, A.F.; Mu, H.M.; Wang, H.H.; Wang, Z.F.; Wu, T.; Wang, Z.Y.; Zhou, X.Y.; Chen, X.H. Field-induced metal-to-insulator transition and colossal anisotropic magnetoresistance in a nearly Dirac material EuMnSb2. NPJ Quantum Mater. 2021, 6, 94. [Google Scholar] [CrossRef]
- Wilde, J.M.; Riberolles, S.X.M.; Das, A.; Liu, Y.; Heitmann, T.W.; Wang, X.; Straszheim, W.E.; Bud’ko, S.L.; Canfield, P.C.; Kreyssig, A.; et al. Canted antiferromagnetic phases in the candidate layered Weyl material EuMnSb2. Phys. Rev. B 2022, 106, 024420. [Google Scholar] [CrossRef]
- Zhang, A.; Liu, C.; Yi, C.; Zhao, G.; Xia, T.L.; Ji, J.; Shi, Y.; Yu, R.; Wang, X.; Chen, C.; et al. Interplay of Dirac electrons and magnetism in CaMnBi2 and SrMnBi2. Nat. Commun. 2016, 7, 13833. [Google Scholar] [CrossRef] [PubMed]
- Soh, J.R.; Manuel, P.; Schröter, N.M.B.; Yi, C.J.; Orlandi, F.; Shi, Y.G.; Prabhakaran, D.; Boothroyd, A.T. Magnetic and electronic structure of Dirac semimetal candidate EuMnSb2. Phys. Rev. B 2019, 100, 174406. [Google Scholar] [CrossRef]
- Aryal, N.; Li, Q.; Tsvelik, A.M.; Yin, W. Topological antiferromagnetic semimetal for spintronics: A case study of a layered square-net system EuZnSb2. Phys. Rev. B 2022, 106, 235116. [Google Scholar] [CrossRef]
- Nishiyama, H.; Sakai, H.; Nakagawa, K.; Hanasaki, N.; Ishiwata, S.; Masuda, H.; Ochi, M.; Kuroki, K.; Iguchi, S.; Sasaki, T.; et al. Variation of charge dynamics upon antiferromagnetic transitions in the Dirac semimetal EuMnBi2. Phys. Rev. B 2021, 104, 115111. [Google Scholar] [CrossRef]
- Johnston, D.C. Magnetic dipole interactions in crystals. Phys. Rev. B 2016, 93, 014421. [Google Scholar] [CrossRef]
- Masuda, H.; Sakai, H.; Takahashi, H.; Yamasaki, Y.; Nakao, A.; Moyoshi, T.; Nakao, H.; Murakami, Y.; Arima, T.; Ishiwata, S. Field-induced spin reorientation in the antiferromagnetic Dirac material EuMnBi2 revealed by neutron and resonant X-ray diffraction. Phys. Rev. B 2020, 101, 174411. [Google Scholar] [CrossRef]
- Xiao, Y.; Su, Y.; Meven, M.; Mittal, R.; Kumar, C.M.N.; Chatterji, T.; Price, S.; Persson, J.; Kumar, N.; Dhar, S.K.; et al. Magnetic structure of EuFe2As2 determined by single-crystal neutron diffraction. Phys. Rev. B 2009, 80, 174424. [Google Scholar] [CrossRef]
- Ryan, D.H.; Cadogan, J.M.; Xu, S.; Xu, Z.; Cao, G. Magnetic structure of EuFe2P2 studied by neutron powder diffraction. Phys. Rev. B 2011, 83, 132403. [Google Scholar] [CrossRef]
- Iida, K.; Nagai, Y.; Ishida, S.; Ishikado, M.; Murai, N.; Christianson, A.D.; Yoshida, H.; Inamura, Y.; Nakamura, H.; Nakao, A.; et al. Coexisting spin resonance and long-range magnetic order of Eu in EuRbFe4As4. Phys. Rev. B 2019, 100, 014506. [Google Scholar] [CrossRef]
- White, G.; Woods, S. Electrical and thermal resistivity of the transition elements at low temperatures. Philos. Trans. R. Soc. Lond. Ser. A-Math. Phys. Sci. 1959, 251, 273. [Google Scholar] [CrossRef]
- Mermin, N.D.; Wagner, H. Absence of ferromagnetism or antiferromagnetism in one- or two-dimensional isotropic heisenberg models. Phys. Rev. Lett. 1966, 17, 1133. [Google Scholar] [CrossRef]
Disclaimer/Publisher’s Note: The statements, opinions and data contained in all publications are solely those of the individual author(s) and contributor(s) and not of MDPI and/or the editor(s). MDPI and/or the editor(s) disclaim responsibility for any injury to people or property resulting from any ideas, methods, instructions or products referred to in the content. |
© 2023 by the authors. Licensee MDPI, Basel, Switzerland. This article is an open access article distributed under the terms and conditions of the Creative Commons Attribution (CC BY) license (https://creativecommons.org/licenses/by/4.0/).




