Abstract
The original composition of Laguocuo Salt Lake was found in the mirabilite area of the 15 °C isothermal phase diagrams of the Li+, Na+, K+//Cl−, SO42−-H2O system. Four phases comprise the isothermal evaporation procedure. The first stage is the unsaturated stage except for carbonate. The second stage is made up of sodium chloride, mirabilite, and borax precipitate simultaneously, where the halogenation rate is 31.58%, and the water loss rate is 68.32%. The penultimate step is the lithium salt precipitation section, where primarily NaCl, Na2SO4·10H2O, and Li2SO4·3Na2SO4·12H2O are formed, where the water loss rate is 91.38%, the halogenation rate is 7.42%, and the salt precipitation rate is 1.20%. The final stage is the eutectoid stage of lithium and potassium salts, where primarily NaCl, Li2SO4·3Na2SO4·12H2O, and 3K2SO4·Na2SO4 precipitate simultaneously. The rates of water loss, halogenation, and salt precipitation are 93.60%, 5.73%, and 0.67%, respectively. NaCl, Li2SO4·3Na2SO4·12H2O, and 3K2SO4·Na2SO4 were all precipitated through dispersion precipitation of borax with the evaporation process following precipitation. The UNIQUAC model was employed to predict the isothermal evaporation at 15 °C. The theoretical calculation and the experimental were in good agreement. The present work can offer a fundamental theoretical framework for the development and use of Laguocuo Salt Lake resources at 15 °C.
1. Introduction
Laguocuo Salt Lake is located at 32°02′15″ N and 84°07′01″ E in Gaize County, Tibetan, China. The lake surface is 4470 m above the sea level, and the lake basin is 95 km2. Laguocuo Salt Lake is a high-quality, pure surface water salt lake resource, which can be classified as a sodium sulfate subtype salt lake. The research on salt lake brine systems shows that the more elements there are contained in salt lake brine, the more complex the law of evaporation and salt precipitated. If the water–salt system contains only two chemical elements, there is usually only one kind of salt ore, while if the water–salt system contains five chemical elements, there are usually four or five kinds of salt minerals precipitated out, and the precipitation time is successive and the precipitation quality is different. Therefore, the study of a brine system is basically from simple to complex, from the simulation to the actual brine order. Understanding the changes in the solid and liquid chemical composition of the brine during the process of evaporation and concentration [1], the law of crystallization precipitation of related salt minerals [2,3,4], the law of solid-liquid separation nodes, and the law of enrichment of major and trace elements is necessary to develop and utilize the rich liquid mineral resources of Laguocuo Salt Lake in a scientifically sound manner [5,6]. Therefore, the multigradient temperature isothermal evaporation experiment of Laguocuo Salt Lake brine is carried out to clarify the physical and chemical behavior laws of different enrichment and precipitation of different salt minerals under different experimental conditions, which will have very important guidance and reference significance for the development and utilization of this salt lake [7,8].
Some researchers carried out isothermal evaporation experiments at multiple temperatures on Laguocuo simulated brine and expounded the evaporation route and salt-out rule in the evaporation and concentration process from different aspects, and revealed the enrichment and precipitation behavior of lithium, boron, and potassium. However, the composition and characteristics of the actual brine in Laguocuo are far more complicated than those of the simulated brine [9,10,11]. When the salt lake brine evaporates to the old brine, the trace elements in the original brine are continuously concentrated and enriched, and their contents occupy a considerable proportion in the liquid phase, which can no longer be ignored. In addition, the salt lake is located in the hinterland of the Qinghai–Tibet Plateau and has a high altitude, low temperature, and harsh environment. At the same time, the ecological fragility and high environmental protection requirements for the development and utilization of the salt lake cause greater difficulty. Relevant enterprises are working hard to solve various difficulties encountered in order to find a development plan that can balance all parties. Therefore, to more accurately and truly understand the law of evaporation and salt evolution of the brine in the salt lake under natural conditions, it is necessary to conduct an indoor isothermal evaporation experiment with the real brine at low temperatures. We hope to provide better basic data for the development and utilization of Laguocuo Salt Lake resources. The average temperature in summer is approximately 15 °C in Gaize County, and summer is the golden season for brine evaporation, having higher evaporation efficiency and larger returns. It is an excellent opportunity for the industrial development and utilization of Laguocuo Salt Lake. Therefore, the 15 °C isothermal evaporation experiment was conducted on the actual brine of Laguocuo Salt Lake [12,13,14,15]. It is necessary to investigate the salt ore precipitation rule at 15 °C. This paper mainly discusses the results of an indoor 15 °C isothermal evaporation experiment on Laguocuo Salt Lake brine.
2. Experimental Procedures
2.1. Experimental Reagents
NH4Cl was purchased from Shanghai Macklin Biochemical Co., Ltd (Shanghai, China). C10H14N2Na2O8 (EDTA), C6H14O6, NaOH, C24H20BNa, and KCl were purchased from Sinopharm Chemical Reagent Co., Ltd (Shanghai, China). The water was double-redistilled water treated by an ultrapure water processor (ρ ≥ 18 ΜΩ·cm, pH = 7.33 ± 0.2). All chemicals were used without further purification.
2.2. Experimental Process
Laguocuo Salt Lake brine (60.80 kg) was evaporated isothermally at 15 °C in a climate-simulated constant greenhouse (±2 °C). The RCW-360 remote thermometer (±0.1 °C) was used to detect the brine temperature, and the samples were taken regularly. The chemical composition and XRD [16,17] identification and analysis of the samples were performed to obtain the 15 °C isothermal evaporation crystallization routes of Laguocuo Salt Lake. This study provides the basic theoretical basis for the development and utilization process design of salt lake resources in the future. The brine is used by the surface brine of Laguocuo Salt Lake (the original brine) in this isothermal evaporation experiment, which was obtained in May 2018, and the chemical compositions of the brine are shown in Table 1.
Table 1.
Chemical compositions of Laguocuo Salt Lake brine (%).
2.3. Characterization
The instrument used for density measurement is a DA-130 from Kyoto Electronics in Japan. The instrument used for pH is S210 from Shanghai Mettler Toledo Instrument Co., LTD in China. The analysis uncertainty for ion concentrations is 0.005. The crystal phase identification of the samples was measured by X-ray powder diffraction (XRD) on an XRD 6100 (Shimadzu, Japan) with Cu Kα radiation. The concentrations of metal ions (K+, Na+, and Li+) were determined by inductively coupled plasma emission spectrometer. The concentrations of anions, including Cl−, SO42−, and CO32−, were tested for mercury quantity, BaCl2 weight, and acid–base titration. The EDTA complexity method was used to measure the concentrations of Ca2+ and Mg2+. The concentrations of Rb+ and Cs+ were analyzed by an atomic absorption spectrum analyzer. The specific analysis method operation was based on the analysis method of brine and salt [18].
3. Results and Discussion
Laguocuo Salt Lake brine is a sulfate-type salt lake, mainly sulfate-precipitated, and contains high-value elements such as potassium, sodium, lithium, and boron, as well as complex anions such as carbonate and borate, so the law of evaporation and salt evolution of Laguocuo Salt Lake brine is very complicated. According to the original brine composition of Laguocuo Salt Lake, the five-element system phase diagram of Li+, Na+, K+//Cl−, and SO42−-H2O is one of the best phase diagrams to study the salt evaporation and salt-evolution law. However, there are no experimental data of this phase diagram at 15 °C for comparison; only a similar phase diagram or a phase diagram calculated by theory can be referred to. The point of the system falls in the phase diagram of the mirabilite phase region; with the evaporation experiment, potassium, lithium, boron, and other compounds are precipitated in turn.
In the early stage of evaporation, all ions in the liquid phase are basically a process of concentration and enrichment, but when the content of a certain salt mineral in the liquid phase is greater than its solubility in the liquid-phase system, the solid phase will be precipitated from the liquid phase. When the precipitation rate of an ion in the solid phase is bigger than the concentration rate of an ion in the liquid phase, the ion content in the liquid phase will show a downward trend, but the evaporation loss rate is increasing.
3.1. Physicochemical Parameters and Chemical Composition of Solid and Liquid Phases
The physical and chemical parameters of each separation stage in the 15 °C isothermal evaporation process of Laguocuo Salt Lake are shown in Table 2.
Table 2.
Separation parameters of solid and liquid at 15 °C isothermal evaporations of Laguocuo Salt Lake.
In this experiment, time is indeed related to the properties of samples, but due to the limitation of experimental conditions, the time function can only be used as reference data, because the isothermal evaporation experiment mainly controls the environment and system temperature in the evaporation process; however, the wind speed and pressure in the environment also have an impact on the evaporation experiment, because the experimental conditions such as wind speed and pressure are not easy to control. Therefore, the obtained time function varies from person to person and is not determined and unique. Thus, in the process of general evaporation experiment research, the time function cannot be determined. Only when other experimental conditions related to evaporation experiment are limited is it possible to determine the corresponding time function.
The pH mentioned in this paper refers to the pH of the system.
The analysis uncertainty for ion concentrations is 0.005.
Water loss rate: the percentage of water evaporated in the original brine during evaporation experiment.
Water loss rate = mass of water lost during evaporation/mass of original brine during evaporation × 100%.
Halogenation rate: The percentage of the mass of the remaining liquid phase in the original brine during the evaporation experiment.
Halogenation rate = mass of remaining liquid phase during evaporation/mass of original brine during evaporation × 100%.
Mineralization rate: the percentage of precipitated solid phase in the original brine during each separation stage of the evaporation process.
Mineralization rate = 100 − water loss rate − halogenation rate.
The liquid and solid phases are separated in each evaporation process, and analyzed chemically. The liquid-phase compositions are listed in Table 3.
Table 3.
Chemical compositions of a liquid phase in the 15 °C isothermal evaporation experiment of Laguocuo Salt Lake (%).
The analysis uncertainty for ion concentrations is 0.005.
The solid-phase XRD diffraction patterns of 15 °C isothermal evaporation of Laguocuo Salt Lake and corresponding salt minerals are collected in Figure 1 and Table 4.
Figure 1.
(a) XRD patterns of solid-phase samples (X-S2 to X-S6) in the 15 °C isothermal evaporation experiment of Laguocuo Salt Lake; (b) XRD patterns of solid-phase samples (X-S7 to X-S11) in the 15 °C isothermal evaporation experiment of Laguocuo Salt Lake.
Table 4.
XRD patterns of solid samples during 15 °C isothermal evaporations of Laguocuo Salt Lake.
3.2. Variation Law of Ions in the Liquid Phase
In the 15 °C isothermal evaporation process of the brine of Laguocuo Salt Lake, the concentration variation trends of the major ions and the trace ions in each solid-liquid separation stage are shown in Figure 2.
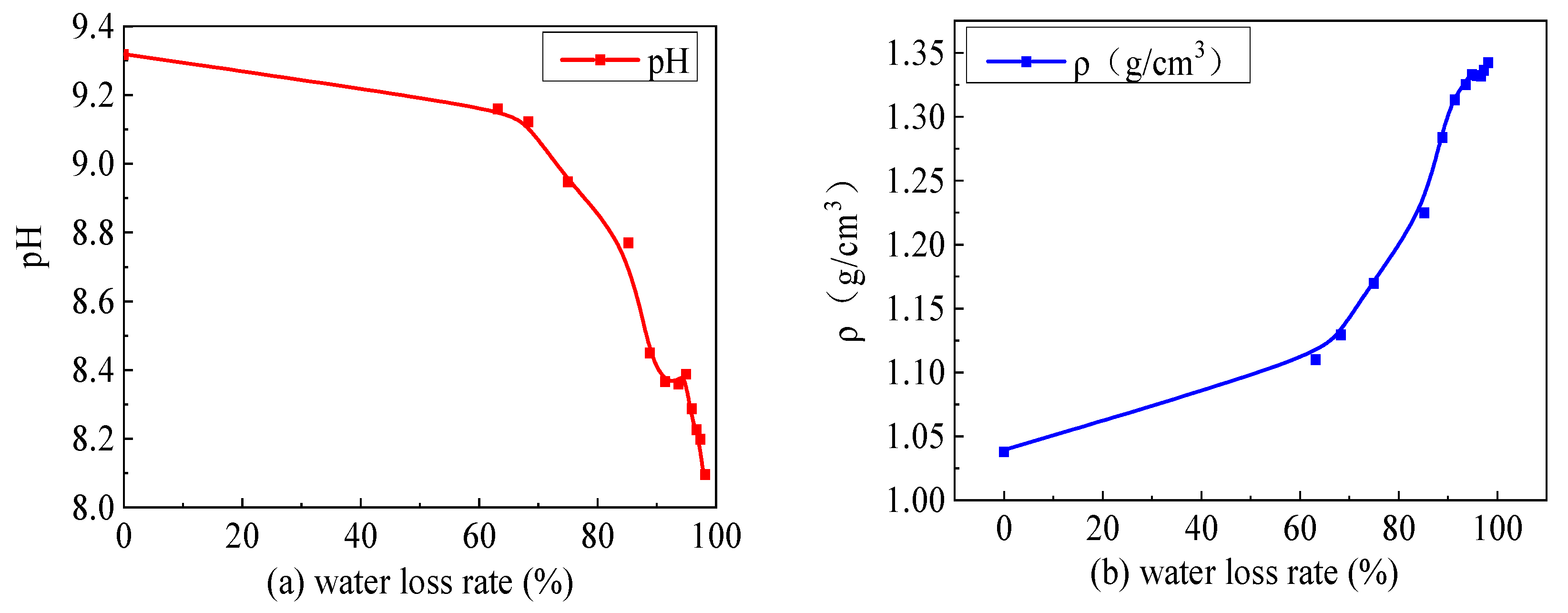
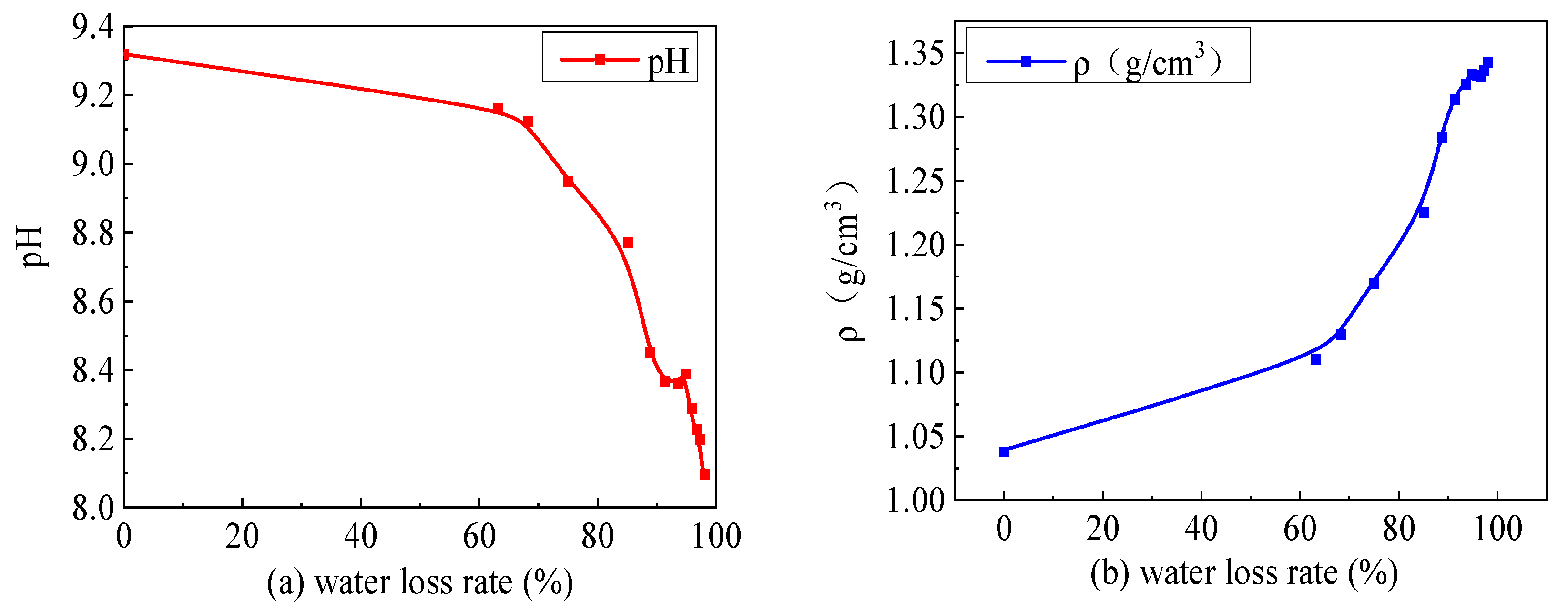
Figure 2.
(a) The trend of pH at 15 °C isothermal evaporation of Laguocuo Salt Lake; (b) The trend of density at 15 °C isothermal evaporation of Laguocuo Salt Lake.
It can be seen from Figure 2a,b that in the evaporation process of Laguocuo Salt Lake, the pH value always decreased, while the density always increased. There is a negative correlation between the two. In the early stage of evaporation, the changes between the two were relatively gentle. With the increase in the evaporation loss rate, their change rate increased gradually.
As can be seen from Figure 3a,b, with the increase in the evaporation loss rate of brine in the evaporation process, the Rb+ and Cs+’ contents gradually increased, and the rate of increase was slow in the early stage of evaporation. When the evaporation loss rate was 68.32%, the rate of increase was accelerated. When the evaporation loss rate was 85.20%, the rising rate rapidly accelerated and almost increased exponentially. At this time, the solution density was 1.22 g/cm3, and the pH was 8.77.
Figure 3.
(a) Changes in Rb+ ion contents in 15 °C isothermal evaporations of Laguocuo Salt Lake with evaporation water loss rate; (b) Changes in Cs+ ion contents in 15 °C isothermal evaporations of Laguocuo Salt Lake with evaporation water loss rate.
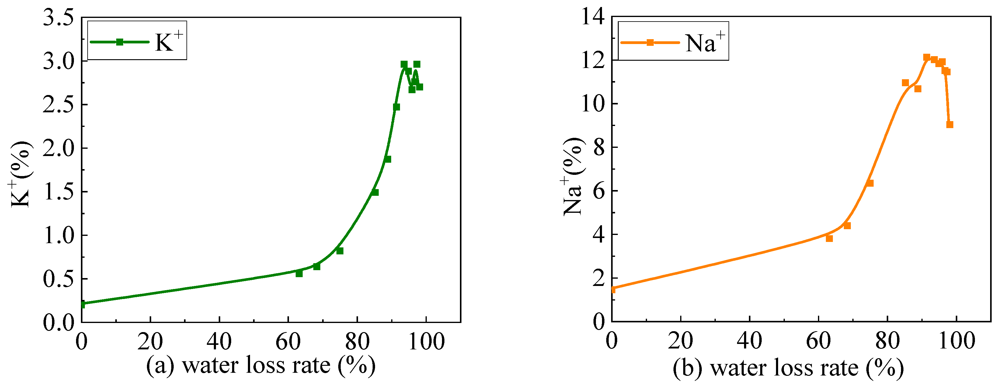
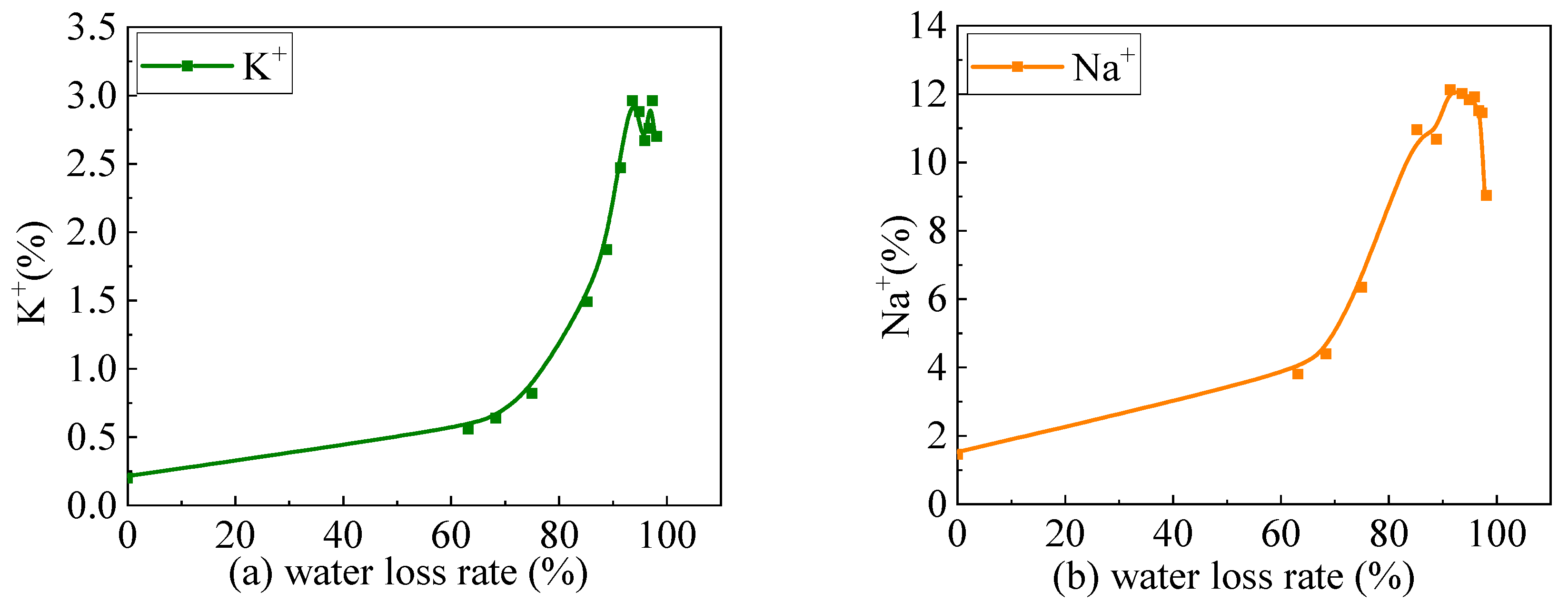
From Figure 4, it can be seen that the contents of K+ (a) and Na+ (b) gradually increased, with the evaporation loss rate increasing during the evaporation process of Laguocuo Salt Lake brine, and the increase rate was slow in the early stage of evaporation but accelerated when the evaporation loss rate was 63.16%. When the evaporation rate was 85.20%, the content of Na+ began to decrease and then increase to the highest content of 12.13%, at which time the evaporation rate was 91.38%, and then the content of Na+ decreased rapidly.
Figure 4.
(a) Changes in K+ ion contents in 15 °C isothermal evaporation of Laguocuo Salt Lake with evaporation water loss rate; (b) Changes in Na+ ion contents in 15 °C isothermal evaporation of Laguocuo Salt Lake with evaporation water loss rate.
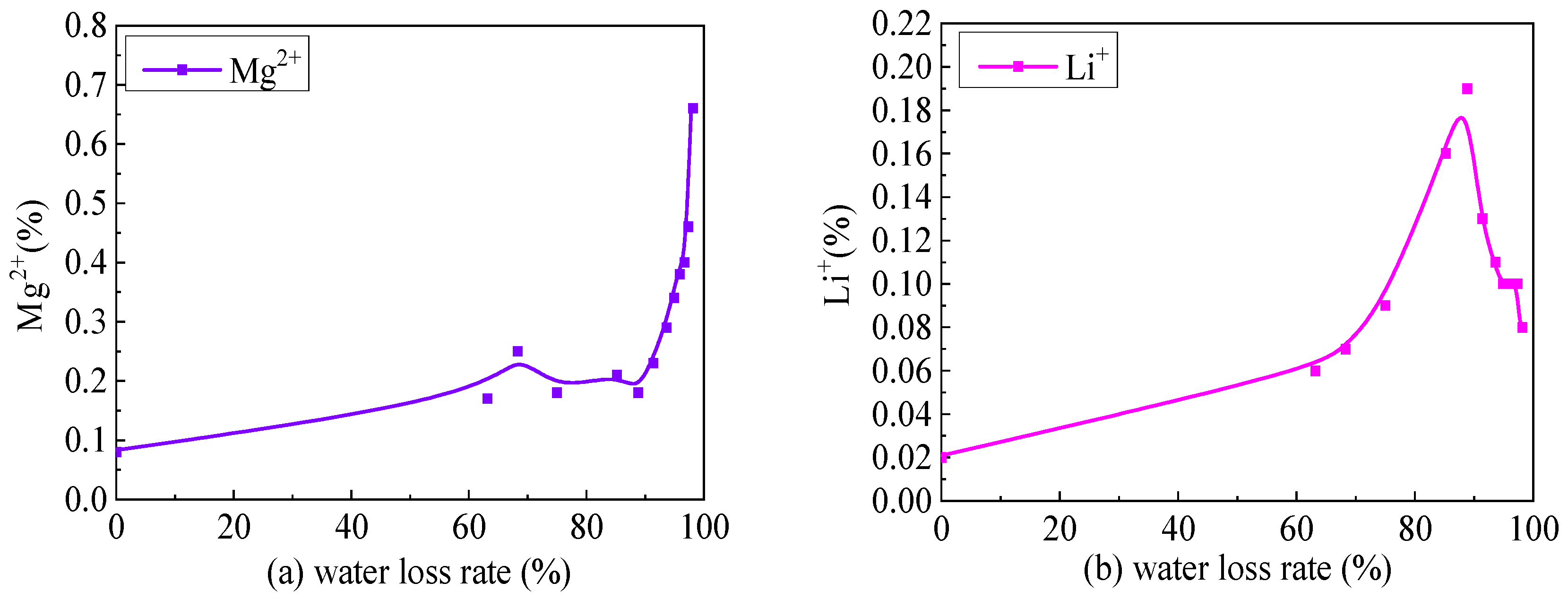
As Figure 5a shows, with the increase in the evaporation loss rate of brine in the evaporation process of Laguocuo Salt Lake, the content of Mg2+ showed an overall upwards trend but fluctuated, mainly due to the leaching of magnesium carbonate at the early stage of evaporation. When the evaporation loss rate was 68.32%, the first enrichment peak in the evaporation process was reached, and the pH was 9.12 at this time. After some time, it reached the second enrichment peak, but it was smaller than the first enrichment point. At this time, the evaporation loss rate was 85.20%. When the evaporation loss rate was 91.38%, the content of Mg2+ began to increase significantly, and the pH value was 8.37. This may be due to the transformation of carbonate ions into bicarbonate with the change in pH because magnesium bicarbonate salt has a relatively large solubility and does not easily precipitate.
Figure 5.
(a) Changes in Mg2+ ion contents in 15 °C isothermal evaporation of Laguocuo Salt Lake with evaporation water loss rate; (b) Changes in Li+ ion contents in 15 °C isothermal evaporation of Laguocuo Salt Lake with evaporation water loss rate.
As shown Figure 5b, with the increase in the evaporation loss rate in the brine evaporation process of Laguocuo Salt Lake, the Li+ content first increased and then decreased. When the evaporation loss rate was 50.90%, the enrichment rate began to increase; when the evaporation loss rate was 88.83%, the Li+ content reached the maximum value of 0.19% and then began to decline sharply because lithium sulfate began to crystallize and precipitate at this time. When the density was between 1.22–1.34 g/cm3, the content of Li+ in the liquid phase decreased rapidly.
Figure 6 shows that with the increase in the evaporation loss rate of brine in the evaporation process of Laguocuo Salt Lake, the content of B2O3 always increases. However, when the evaporation loss rate was 85.20%, the contents decreased slightly and then rose sharply, but the concentration factor is far from that of brine, indicating that boron salt is constantly precipitated during the evaporation process.
Figure 6.
Changes in B2O3 contents in 15 °C isothermal evaporations of Laguocuo Salt Lake with evaporation water loss rate.
The relationship between the concentration multiples of Li+ and B2O3 and the concentration multiples of brine are listed in Table 5.
Table 5.
Relationship between the concentration multiples of Li+ and B2O3 and the concentration multiples of brine.
Li+% enrichment ratio = The Li+ content in the liquid phase/The Li+ content in the original brine.
B2O3% enrichment ratio = The B2O3 content in the liquid phase/The B2O3 content in the original brine.
Concentration multiple of brine = Weight of original brine/Weight of residual brine.
It can be seen from Figure 7 that the Li+ content is positively correlated with the concentration factor of brine in the isothermal evaporation at 15 °C in Laguocuo Salt Lake and is negatively correlated with the concentration rate in the later evaporation stage. B2O3 is positively correlated with the concentration factor of brine, and the concentration rate gap is large, which indicates that lithium and boron salts precipitate in the solid phase in this experiment.
Figure 7.
Relationship between the concentration ratio of Li+, B2O3, and the concentration ratio of Laguocuo Salt Lake during isothermal evaporation at 15 °C.
4. Evaporation Process Prediction
In the process of comprehensive development and utilization of salt lake brine resources, brine evaporation and concentration experiments are an indispensable and important link that can reflect the crystallization and salt precipitation law of the target salt lake brine and provide basic data for the separation and extraction process of its salt minerals. However, due to the composition complexity of the salt lake brine, the actual evaporation experiment process is very complex with a long cycle and a large workload. In addition, a series of related studies are usually needed, such as isothermal evaporation experiments at different temperatures, which consume considerable manpower, material resources, and financial resources. In many cases, the experimental conditions are limited, and the related evaporation and concentration experiments cannot be carried out. The composition of the brine lake has its own characteristics in each salt, so the law of evaporation and crystallization of salt precipitation is different.
Therefore, people have been committed to using theoretical calculation models to solve the problems of actual evaporation experiments [19,20,21,22,23,24,25]. Many scholars have conducted excellent research. At present, the commonly used models are the Debye–Hückel model [26], the NRTL model [27], the Pitzer model [28], and the UNIQUAC model [29]. Each model has its own advantages and disadvantages.
In this paper, the brine of Laguocuo Salt Lake is an approximately Li+, Na+, K+//Cl−, SO42−-H2O five-element water–salt system, using the extended UNIQUAC model established by Thomsen. The UNIQUAC model has undergone many changes and developments. The model contains UNIQUAC and Debye–Hückel [30,31,32].
The principal equations of the UNIQUAC model are as follows [33]:
z: coordination number;
xi: mole fraction;
φi: volume fraction;
θi: surface area fraction.
In the process of calculating phase equilibrium, the minimum Gibbs free energy is used as the judgment basis. Firstly, the composition of the liquid phase with the lowest Gibbs free energy is obtained by phase equilibrium. Then, a possible solid precipitation is examined to see if it leads to a reduction in the Gibbs free energy of the system. If the phase equilibrium calculation results in a stable phase, the calculation stops. Otherwise, we continue to examine whether the Gibbs free energy will decrease if both salts are precipitated at the same time. Several salts may be supersaturated at the same time, and a combination of two supersaturated salts is used for equilibrium calculations until a solution is found. If there is no solution, simultaneous precipitation of three or more salts is required to obtain the lowest Gibbs free energy. The algorithm is fast when only one or two salts are precipitated at the same time. If more salt precipitates at the same time, the algorithm takes more time to solve. More details about this algorithm can be found in Thomsen’s doctoral dissertation [34].
The extended Debye–Hückel equation describes electrostatic interactions between ions. It only takes one parameter. It is usually denoted by the letter A. It is a function of the density and permittivity of pure water. The expression of molar excess Gibbs free energy of the extended Debye–Hückel model is [33]:
: water;
: molar mass;
: ionic strength;
: mole number;
: charge.
By calculating the partial molar derivative of the Debye–Hückel excess Gibbs free energy, we obtain the symmetric molar fraction activity coefficient for water and the asymmetric molar fraction activity coefficient for ions. The relevant calculations are made accordingly.
The software of AQSOL027 consists of 32-bit and 64-bit Dynamic Link Libraries and a Microsoft Excel Macro Enabled Workbook, AQSOL027.XLSM. The DLL files contain the extended UNIQUAC thermodynamic routines required for equilibrium calculations in solutions with salts. The Microsoft Excel file contains various calculation examples that demonstrate how the DLL file can be called. The calculation examples in the Excel file are compared with experimental data from the open literature so that the accuracy of the calculations can be evaluated.
The AQSOL027.xlsm file contains the sheets “props” and “calculation”. The “calculation” sheet is intended as a template for performing calculations. One can make copies of the “calculation” sheet and perform their calculations in these sheets. In the calculation sheet, one can perform calculations for aqueous electrolyte solutions. The program accepts input in degrees centigrade for the temperature and grams of each of the aqueous species. After one finishes writing their input, they can read the results immediately.
The first part of the results is a statement on the speciation. The amounts of aqueous species are given in grams of each species. Next, the amounts of solids precipitated are stated. In the following rows, the “saturation index before equilibrium” is given. Further down, the “saturation index after equilibrium” is given.
The UNIQUAC model was used to predict the theoretical calculation of the 15 °C isothermal evaporation experiment in this paper, and the experiment was carried out according to the calculation results. According to the composition characteristics of the brine of Laguocuo Salt Lake, the brine of Laguocuo Salt Lake was approximately calculated as a five-element water salt system of Li+, Na+, K+//Cl−, SO42−-H2O. The calculation results are as follows Table 6 and Table 7:
Table 6.
Liquid-phase composition at each stage of the 15 °C isothermal evaporation experiment of Laguocuo Salt Lake (calculation results, unit: %).
Table 7.
Solid-phase precipitation law of 15 °C isothermal evaporation experiment of Laguocuo Salt Lake (calculation results).
By comparing the experimental results with the calculated results, it can be seen that the corresponding evaporation water loss rate values of Na2SO4·10H2O, NaCl, Li2SO4·3Na2SO4·12H2O, and 3K2SO4·Na2SO4 are basically consistent, and the experimental results are slightly higher than the calculated results. When the calculated evaporation rate is greater than 94.06%, the type of salt solid phase precipitated is different from the actual experimental situation, and there is no borax in the solid phase precipitated, which may be due to the very complex form of boron in the liquid phase, and no corresponding boron element is added to the calculation model. The comparison between the experimental results and the calculated evaporation rate results is shown in Figure 8.
Figure 8.
The experiment and calculation results of the solid-liquid separation node on the evaporation rate.
By comparing the experimental and calculated results, it can be seen that the trend of the calculated results is basically consistent with the trend of the experimental results (Figure 8), which meets the industrial requirements for salt lake brine evaporation processes. This shows that the simulation software of UNIQUAC is reliable in analyzing the evaporation process of brine in this kind of salt lake.
5. Conclusions
In this section, an experimental study of 15 °C isothermal evaporations of Laguocuo Salt Lake was carried out, and the crystallization route and salt evolution rule of 15 °C isothermal evaporation were obtained. Meantime, the relationship between the contents of Li+ and B2O3 in the liquid phase and the concentration multiple of brine in the process of 15 °C isothermal evaporation was obtained.
(1) The original composition of Laguocuo Salt Lake is located in the mirabilite area of the 15 °C isothermal phase diagrams of the Li+, Na+, K+//Cl−, SO42−-H2O five-member system. The salt evolution sequence during isothermal evaporation at 15 °C is as follows: ① MgCO3·3H2O + Na2SO4·10H2O + Na2B4O7·10H2O; ② NaCl + Na2SO4·10H2O + MgCO3·3H2O + Na2B4O7·10H2O; ③ NaCl + Na2SO4·10H2O + Li2SO4·3Na2SO4·12H2O; ④ NaCl + Na2SO4·10H2O + Li2SO4·3Na2SO4·12H2O + Na2SO4·3K2SO4; ⑤ NaCl + Li2SO4·3Na2SO4·12H2O + Na2SO4·3K2SO4; ⑥ NaCl + Li2SO4·3Na2SO4·12H2O + Na2SO4·3K2SO4 + Na2B4O7·10H2O. Except for carbonate, mirabilite and borax precipitated before the saturation of NaCl, potassium salt mainly precipitated in the form of potassium mirabilite, and lithium salt mainly precipitated in the form of Li2SO4·3Na2SO4·12H2O.
(2) Borax-dispersing precipitates occur in the 15 °C isothermal evaporation process of Laguocuo Salt Lake, sodium salts and potassium salts precipitate continuously from the beginning, and lithium salt precipitates only one mineral.
(3) The isothermal evaporation at 15 °C was calculated using the UNIQUAC equations. The predicted fitted well with the experimental data.
Author Contributions
Y.Z. performed the experiment; performed the data analyses and wrote the manuscript; W.L. helped perform the analysis with constructive discussions. All authors have read and agreed to the published version of the manuscript.
Funding
This project was supported by the Enterprise Commissioned Project (No. Y850091061).
Data Availability Statement
No new data were created or analyzed in this study. Data sharing is not applicable to this article.
Conflicts of Interest
The authors declare no conflict of interest.
References
- Luo, X.; Li, X.; Wei, C.; Deng, Z.; Liu, Y.; Li, M.; Zheng, S.; Huang, X. Recovery of NaCl and Na2SO4 from high salinity brine by purification and evaporation. Desalination 2022, 530, 115631. [Google Scholar] [CrossRef]
- Nie, X.; Sun, S.; Sun, Z.; Song, X.; Yu, J. Ion-fractionation of lithium ions from magnesiumions by electrodialysis using monovalent selective ion-exchange membranes. Desalination 2017, 403, 128. [Google Scholar] [CrossRef]
- Jensen, C.A.Q.; Ali, A.; Mondal, S.; Macedonio, F.; Drioli, E. A study of membrane distillation and crystallization for lithium recovery from high-concentrated aqueous solutions. J. Membr. Sci. 2016, 505, 167. [Google Scholar] [CrossRef]
- Liu, W.; Xu, H.; Shi, X.; Yang, X. Fractional crystallization for extracting lithium from Cha′erhan tail brine. Hydrometallurgy 2017, 167, 124. [Google Scholar] [CrossRef]
- Jannet, D.B.; M’nif, A.; Rokbani, R. Natural brine valorisation: Application of the system K+, Mg2+/C1−, SO42−//H2O at 25°C. Desalination 2004, 167, 319. [Google Scholar] [CrossRef]
- Sun, S.; Li, D.; Zhang, T.; Ma, Y.; Meng, L.; Deng, T.; Guo, Y. Experimental determination and thermodynamic modeling of solid–liquid equilibria in the system NaCl–Na2SO4–H3BO3–H2O at 323.15 K and its application in industry. J. Chem. Thermodyn. 2022, 170, 106765. [Google Scholar] [CrossRef]
- Mahmoud, S.M.; Wahed, A.; Mohamed, E.A.; Sayed, M.I.E.; M′nif, A.; Sillanpää, M. Crystallization sequence during evaporation of a high concentrated brine involving the system Na–K–Mg–Cl–SO4-H2O. Desalination 2015, 355, 11. [Google Scholar]
- Harvie, C.E.; Weare, J.H.; Hardie, L.A.; Eugster, H.P. Evaporation of Seawater: Calculated Mineral Sequences. Science 1980, 208, 498. [Google Scholar] [CrossRef]
- Zhang, R.; Xie, Y.; Song, J.; Xing, L.; Kong, D.; Li, X.; He, T. Extraction of boron from salt lake brine using 2-ethylhexanol. Hydrometallurgy 2016, 160, 129. [Google Scholar] [CrossRef]
- Ma, Y.; Li, K.; Zhang, Z.; Liu, X. Li+ enrichment behavior in a sodium sulfate and low carbonate salt lake brine. Results Mater. 2020, 7, 100107. [Google Scholar] [CrossRef]
- Bian, S.; Li, D.; Gaoa, D.; Peng, J.; Dong, Y.; Li, W. Hydrometallurgical processing of lithium, potassium, and boron for the comprehensive utilization of Da Qaidam lake brine via natural evaporation and freezing. Hydrometallurgy 2017, 173, 80. [Google Scholar] [CrossRef]
- Nie, Z.; Wu, Q.; Bu, L.; Wang, Y.; Zheng, M. Experimental study of the Tibetan Dangxiong Co salt lake brine during isothermal evaporation at 25 °C. Carbonates Evaporites 2020, 35, 5. [Google Scholar] [CrossRef]
- Cui, R. Solubility measurement and prediction of phase equilibria in the quaternary system LiCl+NaCl+KCl+H2O and ternary subsystem LiCl+NaCl+H2O at 288.15 K. Chin. J. Chem. Eng. 2020, 28, 2137. [Google Scholar] [CrossRef]
- Fu, Q.; Chen, L.; Song, X.; Li, D.; Yang, X.; Meng, L.; Guo, Y.; Deng, T. Thermodynamic Modeling of Boron Species in the Ternary System Na2O-B2O3-H2O at 298.15K. J. Chem. 2020, 6687742. [Google Scholar]
- Yang, L.; Yang, X.; Li, D.; Zhuang, L.; Meng, L.; Deng, T.; Guo, Y. Solubility measurement and thermodynamic modeling of solid–liquid equilibria in quaternary system NaCl–Na2SO4–NaBO2–H2O at 323.15 K. J. Chem. Thermodyn. 2021, 159, 106472. [Google Scholar] [CrossRef]
- Zhou, Y.; Fang, C.; Fang, Y.; Zhu, F.; Song, T.; Xu, S. Structure of aqueous sodium metaborate solutions: X-ray diffraction study. Russ. J. Phys. Chem. A. 2012, 86, 1236. [Google Scholar] [CrossRef]
- Wang, G.; Zhou, Y.; Toshio, Y.; Liu, H.; Zhu, F.; Wu, Z. Structure of Aqueous CaCl2 Solutions by X-ray Scattering and Density Functional Theory. Russ. J. Phys. Chem. A. 2022, 96, 68. [Google Scholar] [CrossRef]
- Qinghai Institute of Salt Lakes; Chinese Academy of Sciences. Analysis Methods of Brine and Salt; Science Press: Beijing, China, 1988. [Google Scholar]
- Li, D.; Liu, Y.; Meng, L.; Guo, Y.; Deng, T.; Yang, L. Phase diagrams and thermodynamic modeling of solid-liquid equilibria in the system NaCl–KCl–SrCl2–H2O and its application in industry. J. Chem. Thermodyn. 2019, 136, 1. [Google Scholar] [CrossRef]
- Yang, X.; Gu, S.; Guo, Y.; Deng, T.; Li, D.; Meng, L. Solubility determination and thermodynamic modeling in the quaternary system Li2SO4 – LiBO2 – Li2B4O7 – H2O at T = 308.15 K and p = 0.1 MPa. J. Chem. Thermodyn. 2022, 168, 106729. [Google Scholar] [CrossRef]
- Yuan, F.; Li, H.; Li, L.; Wang, S.; Guo, Y.; Deng, T. Volume properties of the ternary systems (LiCl + LiB5O8 + H2O) and (Li2SO4 + LiB5O8 + H2O) from 283.15 to 363.15 K and 101.325 kPa. J. Chem. Thermodyn. 2022, 172, 106814. [Google Scholar] [CrossRef]
- Mock, B.; Evans, L.B.; Chen, C. Thermodynamic Representation of Phase Equilibria of Mixed-Solvent Electrolyte Systems. AIChE J. 1986, 32, 10. [Google Scholar] [CrossRef]
- Yang, L.; Chen, L.; Zhang, T.; Li, D.; Meng, L.; Deng, T.; Guo, Y. Solubility determination and thermodynamic modeling of solid −liquid equilibria in the LiBO2−Li2B4O7−H2O system at 298.15 K and 323.15 K. Fluid Phase Equilibria 2020, 523, 112783. [Google Scholar] [CrossRef]
- Felmy, A.R.; Weare, J.H. The prediction of borate mineral equilibria in natural waters: Application to Searles Lake, California. Geochim. Et Cosmochim. Acta 1986, 50, 2771. [Google Scholar] [CrossRef]
- Cui, W.; Chen, J.; Guo, Y.; Meng, L.; Deng, T. Volumetric properties of the binary system (NaClO3+H2O) and the ternary system (NaClO3+NaCl+H2O) at temperatures from 283.15 to 363.15 K and ambient pressure. J. Mol. Liq. 2020, 306, 112945. [Google Scholar] [CrossRef]
- Debye, P.; Hückel, E. The theory of electrolytes. I. Freezing point depression and related phenomena. Phys. Z. 1923, 24, 185. [Google Scholar]
- Chen, C.C.; Mathias, P.M.; Orbey, H. Use of Hydration and Dissociation Chemistries with the Electrolyte–NRTL Model. AIChE J. 1999, 45, 7. [Google Scholar] [CrossRef]
- Pitzer, K.S. Thermodynamics of electrolytes. I. Theoretical basis and general equations. J. Phys. Chem. 1973, 77, 268. [Google Scholar] [CrossRef]
- Abrams, D.; Prausnitz, J.M. Statistical thermodynamics of liquid mixtures: A new expression for the excess Gibbs energy of partly or completely miscible systems. Aiche. J. 1975, 21, 116. [Google Scholar] [CrossRef]
- Thomsen, K.; Peter, R.; Rafiqul, G. Correlation and prediction of thermal properties and phase behavior for a class of aqueous electrolyte systems. Chem. Eng. Sci. 1996, 51, 14. [Google Scholar] [CrossRef]
- Sander, B.; Rasmussen, P.; Fredenslund, A. Calculation of vapourliquid equilibria in nitric acid-water-nitrate salt systems using an extended UNIQUAC equation. Chem. Eng. Sci. 1986, 41, 5. [Google Scholar]
- Maurer, G.; Prausnitz, J.M. On the Derivation and Exten- sion of the UNIQUAC Equation. Fluid Phase Equilibria 1978, 2. [Google Scholar]
- Cui, R.; Nie, G.; Li, J.; Thomen, K.; Li, W. Prediction of Phase Equilibria of Li–Na–K–Mg–Cl–SO4–H2O System at Multiple Temperatures. J. Salt Lake Res. 2021, 29, 2. [Google Scholar]
- Thomsen, K. Aqueous Electrolytes Model Parameters and Process Simulation. Ph.D. Thesis, Technical University of Denmark, Lyngby, Denmark, 1997. [Google Scholar] [CrossRef]
Disclaimer/Publisher’s Note: The statements, opinions and data contained in all publications are solely those of the individual author(s) and contributor(s) and not of MDPI and/or the editor(s). MDPI and/or the editor(s) disclaim responsibility for any injury to people or property resulting from any ideas, methods, instructions or products referred to in the content. |
© 2023 by the authors. Licensee MDPI, Basel, Switzerland. This article is an open access article distributed under the terms and conditions of the Creative Commons Attribution (CC BY) license (https://creativecommons.org/licenses/by/4.0/).







