Effect of Dopants on Laser-Induced Damage Threshold of ZnGeP2
Abstract
1. Introduction
2. Sputtering Technique
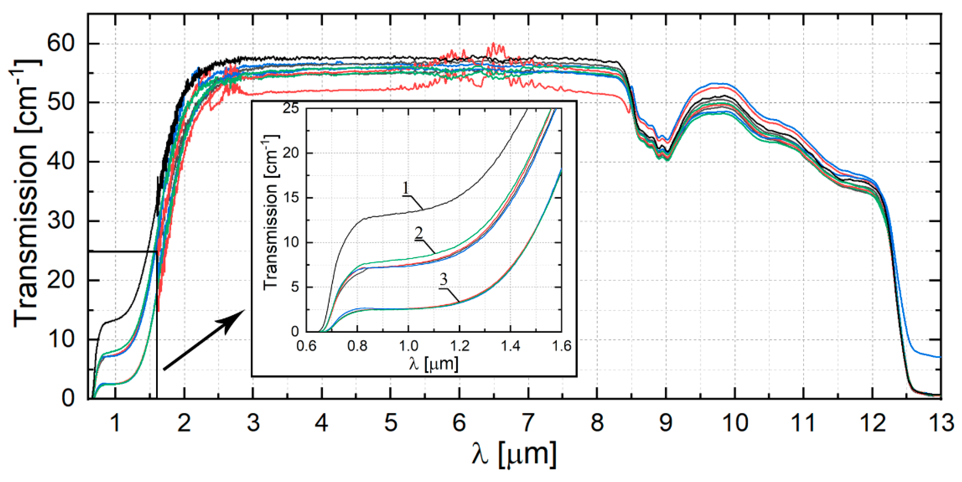
3. Experimental Results and Discussion
4. Effect of Dopants on the Quasi-Optical Properties of ZnGeP2 in the THz Range of the Spectrum
5. Conclusions
Author Contributions
Funding
Institutional Review Board Statement
Conflicts of Interest
References
- Nikogosyan, D.N. Nonlinear Optical Crystals: A Complete Survey; Springer: New York, NY, USA, 2005; 427p. [Google Scholar]
- Boyd, G.D.; Buehler, E.; Storz, F.G. Linear and nonlinear optical properties of ZnGeP2 and CdSe. Appl. Phys. Lett. 1971, 18, 301–304. [Google Scholar] [CrossRef]
- Dmitriev, V.G.; Gurzadyan, G.G.; Nikoghosyan, D.N. Handbook of Nonlinear Optical Crystals, 2nd ed.; Springer: Berlin, Germany, 1995; 160p. [Google Scholar]
- Mason, P.D.; Jackson, D.J.; Gorton, E.K. CO2 laser frequency doubling in ZnGeP2. Opt. Commun. 1994, 110, 163. [Google Scholar] [CrossRef]
- Vodopyanov, K.L.; Voevodin, V.G.; Gribenyukov, A.I.; Kulevsky, L.A. Owls. J. Quantum Electron. 1987, 17, 1159. [Google Scholar]
- Henriksson, M.; Tiihonen, M.; Pasiskevicius, V.; Laurell, F. ZnGeP2 parametric oscillator pumped by a line width narrowed parametric 2 μm source. Opt. Lett. 2006, 31, 1878–1880. [Google Scholar] [CrossRef] [PubMed]
- Vodopyanov, K.L.; Ganikhanov, F.; Maffetone, J.P.; Zwieback, I.; Ruderman, W. ZnGeP2 optical parametric oscillator with 3.8–12.4 μm tenability. Opt. Lett. 2000, 25, 841–843. [Google Scholar] [CrossRef] [PubMed]
- Schunemann, P.G.; Zawilski, K.T.; Pomeranz, L.A.; Creeden, D.J.; Budni, P.A. Advances in nonlinear optical crystals for mid-infrared coherent sources. J. Opt. Soc. Am. B 2016, 33, D36–D43. [Google Scholar] [CrossRef]
- Hemming, A.; Richards, J.; Davidson, A.A.; Carmody, N.; Bennetts, S.; Simakov, N.; Haub, J. 99 W mid-IR operation of a ZGP OPO at 25% duty cycle. Opt. Express 2013, 21, 10062–10069. [Google Scholar] [CrossRef] [PubMed]
- Haakestad, M.W.; Fonnum, H.; Lippert, E. Mid-infrared source with 0.2 J pulse energy based on nonlinear conversion of Q-switched pulses in ZnGeP2. Opt. Express 2014, 22, 8556–8564. [Google Scholar] [CrossRef]
- Liu, G.; Mi, S.; Yang, K.; Wei, D.; Li, J.; Yao, B.; Yang, C.; Dai, T.; Duan, X.; Tian, L.; et al. 161 W middle infrared ZnGeP2 MOPA system pumped by 300 W-class Ho:YAG MOPA system. Opt. Lett. 2021, 46, 82–85. [Google Scholar] [CrossRef]
- Qian, C.; Yao, B.; Zhao, B.; Liu, G.; Duan, X.; Dai, T.; Ju, Y.; Wang, Y. High repetition rate 102 W middle infrared ZnGeP2 master oscillator power amplifier system with thermal lens compensation. Opt. Lett. 2019, 44, 715–718. [Google Scholar] [CrossRef]
- Wang, L.; Xing, T.; Hu, S.; Wu, X.; Wu, H.; Wang, J.; Jiang, H. Mid-infrared ZGP-OPO with a high optical-to-optical conversion efficiency of 75.7%. Opt. Express 2017, 25, 3373–3380. [Google Scholar] [CrossRef] [PubMed]
- Wang, F.; Li, J.; Sun, X.; Yan, B.; Nie, H.; Li, X.; Yang, K.; Zhang, B.; He, J. High-power and high-efficiency 4.3 µm ZGP-OPO. Chin. Opt. Lett. 2022, 20, 011403. [Google Scholar] [CrossRef]
- Medina, M.A.; Piotrowski, M.; Schellhorn, M.; Wagner, F.R.; Berrou, A.; Hildenbrand-Dhollande, A. Beam quality and efficiency of ns-pulsed high-power mid-IR ZGP OPOs compared in linear and non-planar ring resonators. Opt. Express 2021, 29, 21727–21737. [Google Scholar] [CrossRef] [PubMed]
- Yudin, N.; Antipov, O.; Eranov, I.; Gribenyukov, A.; Verozubova, G.; Lei, Z.; Zinoviev, M.; Podzvalov, S.; Slyunko, E.; Voevodin, V.; et al. Laser-Induced Damage Threshold of Single Crystal ZnGeP2 at 2.1 µm: The Effect of Crystal Lattice Quality at Various Pulse Widths and Repetition Rates. Crystals 2022, 12, 652. [Google Scholar] [CrossRef]
- Yudin, N.N.; Antipov, O.L.; Gribenyukov, A.I.; Aronov, I.D.; Podzivalov, S.N.; Zinoviev, M.M.; Voronin, L.A.; Zhuravleva, E.V.; Zykova, M.P. Effect of postgrowth processing technology and laser radiation parameters at wavelengths of 2091 and 1064 nm on the laser-induced damage threshold in ZnGeP2 single crystal. Quantum Electron. 2021, 51, 306–316. [Google Scholar] [CrossRef]
- Zawilski, K.T.; Setzler, S.D.; Schunemann, P.G.; Pollak, T.M. Increasing the laser-induced damage threshold of single crystal ZnGeP2. J. Opt. Soc. Am. B 2006, 23, 2310–2316. [Google Scholar] [CrossRef]
- Yudin, N.; Khudoley, A.; Zinoviev, M.; Podzvalov, S.; Slyunko, E.; Zhuravleva, E.; Kulesh, M.; Gorodkin, G.; Kumeysha, P.; Antipov, O. The Influence of Angstrom-Scale Roughness on the Laser-Induced Damage Threshold of Single-Crystal ZnGeP2. Crystals 2022, 12, 83. [Google Scholar] [CrossRef]
- Peng, Y.; Wei, X.; Wang, W. Mid-infrared optical parametric oscillator based on ZnGeP2 pumped by 2-μm laser. Chin. Opt. Lett. 2011, 9, 061403. [Google Scholar] [CrossRef]
- Zinoviev, M.; Yudin, N.N.; Podzvalov, S.; Slyunko, E.; Yudin, N.A.; Kulesh, M.; Dorofeev, I.; Baalbaki, H. Optical AR Coatings of the Mid-IR Band for ZnGeP2 Single Crystals Based on ZnS and Oxide Aluminum. Crystals 2022, 12, 1169. [Google Scholar] [CrossRef]
- Zinovev, M.; Yudin, N.N.; Kinyaevskiy, I.; Podzyvalov, S.; Kuznetsov, V.; Slyunko, E.; Baalbaki, H.; Vlasov, D. Multispectral Anti-Reflection Coatings Based on YbF3/ZnS Materials on ZnGeP2 Substrate by the IBS Method for Mid-IR Laser Applications. Crystals 2022, 12, 1408. [Google Scholar] [CrossRef]
- Yudin, N.N.; Zinoviev, M.; Gladkiy, V.; Moskvichev, E.; Kinyaevsky, I.; Podzyvalov, S.; Slyunko, E.; Zhuravleva, E.; Pfaf, A.; Yudin, N.A.; et al. Influence of the Characteristics of Multilayer Interference Antireflection Coatings Based on Nb, Si, and Al Oxides on the Laser-Induced Damage Threshold of ZnGeP2 Single Crystal. Crystals 2021, 11, 1549. [Google Scholar] [CrossRef]
- Gribenyukov, A.I.; Dyomin, V.V.; Olshukov, A.S.; Podzyvalov, S.N.; Polovtsev, I.G.; Yudin, N.N. Investigation of the process of optical damage of ZnGeP2 crystals using digital holography. Rus. Phys. J. 2019, 61, 2042–2052. [Google Scholar] [CrossRef]
- Dyomin, V.V.; Gribenyukov, A.I.; Davydova, A.Y.; Olshukov, A.S.; Polovtsev, I.G.; Podzyvalov, S.N.; Yudin, N.N.; Zinovev, M.M. Visualization of volumetric defects and dynamic processes in crystals by digital IR-holography. Appl. Opt. 2021, 60, A296–A305. [Google Scholar] [CrossRef] [PubMed]
- Guo, J.; Xie, J.; Li, D.; Yang, G.; Chen, F.; Wang, C.; Zhang, L.; Andreev, Y.; Kokh, K.; Lanskii, G.; et al. Doped GaSe crystals for laser frequency conversion. Light: Sci. Appl. 2015, 4, e362. [Google Scholar] [CrossRef]
- Liu, L.; Chen, F.; Cui, J.; Xiao, X.; Xu, Y.; Hou, C.; Cui, X.; Guo, H. The mutual influence between rare earth element doping and femtosecond laser-induced effects in Ga-As-Sb-S chalcogenide glass. Ceram. Int. 2021, 47, 6388–6396. [Google Scholar] [CrossRef]
- Bussière, B.; Utéza, O.; Sanner, N.; Sentis, M.; Riboulet, G.; Vigroux, L.; Commandré, M.; Wagner, F.; Natoli, J.-Y.; Chambare, J.-P. Bulk laser-induced damage threshold of titanium-doped sapphire crystals. Appl. Opt. 2012, 51, 7826–7833. [Google Scholar] [CrossRef] [PubMed]
- Voevodin, V.G.; Chaldyshev, V.A. Study of ternary semiconductors A2B4C5. Bull. Tomsk. State Univ. 2005, 285, 63–73. [Google Scholar]
- Voevodin, V.G. Elements of Optical Electronics Based on Compounds A2B4C5: Obtaining, Properties and Application: Dissertation of the Doctor of Physical and Mathematical Sciences: 01.04.05, 01.04.10; Tomsk State University: Tomsk, Russia, 2003; 395p. [Google Scholar]
- ISO11146-1:2005; Lasers and Laser-Related Equipment—Test Methods for Laser Beam Widths, Divergence Angles and Beam Propagation Ratios—Part 1: Stigmatic and Simple Astigmatic Beams. ISO: Geneva, Switzerland, 2005.
- The R-on-1 Test. Lidaris LIDT Service. 2019. Available online: https://lidaris.com/laser-damage-testing/r-on-1-test/ (accessed on 30 September 2022).
- Ramadan, A.A.; Gould, R.D.; Ashour, A. On the Van der Pauw method of resistivity measurements. Thin Solid Film. 1994, 239, 272–275. [Google Scholar] [CrossRef]
- Nazarov, M.M.; Sarkisov, S.Y.; Shkurinov, A.P.; Tolbanov, O.P. GaSe1−xSx and GaSe1−xTex thick crystals for broadband terahertz pulses generation. Appl. Phys. Lett. 2011, 99, 081105. [Google Scholar] [CrossRef]
- Bereznaya, S.A.; Korotchenko, Z.V.; Redkin, R.A. Broadband and narrowband terahertz generation and detection in GaSe1−xSx crystals Creator. J. Opt. 2017, 19, 115503. [Google Scholar] [CrossRef]
- Chuchupal, S.V.; Komandin, G.A.; Zhukova, E.S.; Prokhorov, A.S.; Porodinkov, O.E.; Spektor, I.E.; Shakir, Y.A.; Gribenyukov, A.I. Mechanisms of Loss Formation in Nonlinear Optical Crystals ZnGeP2 in the Terahertz Frequency Range. Phys. Solid State 2014, 56, 1391–1396. [Google Scholar] [CrossRef]
- Chuchupal, S.V.; Komandin, G.A.; Zhukova, E.S.; Porodinkov, O.E.; Spektor, I.E.; Gribenyukov, A.I. Effect of electron irradiation of ZnGeP2 single crystals on terahertz losses in a wide temperature range. Phys. Solid State 2015, 57, 1607–1612. [Google Scholar] [CrossRef]
- Zinoviev, M.; Yudin, N.; Gribenyukov, A.; Podzyvalov, S.; Dyomin, V.; Polovtsev, I.; Suslyaev, V.; Zhuravlyova, Y. The effect of volume inclusions of the ZnGeP2 single-crystal on the dispersion of the refraction index and the absorption coefficient in mid-IR and terahertz ranges of wavelengths. Opt. Mater. 2021, 111, 110662. [Google Scholar] [CrossRef]




| Dopant | σ, 1/Ω∙cm | Optical Damage Threshold during Annealing 650 °C, J/cm2 | Optical Damage Threshold during Annealing 750 °C, J/cm2 |
|---|---|---|---|
| Mg | (5.42 ± 0.01) × 10−6 | 2.6 ± 0.1 | 2.9 ± 0.1 |
| Se | (4.16 ± 0.01) × 10−7 | 2.64 ± 0.1 | 2.7 ± 0.1 |
| Ca | (1.25 ± 0.01) × 10−5 | 2.28 ± 0.1 | 1.9 ± 0.1 |
| ZGP | (1.24 ± 0.01) × 10−6 | 2.26 ± 0.1 | 2.2 ± 0.1 |
Disclaimer/Publisher’s Note: The statements, opinions and data contained in all publications are solely those of the individual author(s) and contributor(s) and not of MDPI and/or the editor(s). MDPI and/or the editor(s) disclaim responsibility for any injury to people or property resulting from any ideas, methods, instructions or products referred to in the content. |
© 2023 by the authors. Licensee MDPI, Basel, Switzerland. This article is an open access article distributed under the terms and conditions of the Creative Commons Attribution (CC BY) license (https://creativecommons.org/licenses/by/4.0/).
Share and Cite
Yudin, N.; Zinoviev, M.; Kuznetsov, V.; Slyunko, E.; Podzvalov, S.; Voevodin, V.; Lysenko, A.; Kalsin, A.; Shaimerdenova, L.; Baalbaki, H.; et al. Effect of Dopants on Laser-Induced Damage Threshold of ZnGeP2. Crystals 2023, 13, 440. https://doi.org/10.3390/cryst13030440
Yudin N, Zinoviev M, Kuznetsov V, Slyunko E, Podzvalov S, Voevodin V, Lysenko A, Kalsin A, Shaimerdenova L, Baalbaki H, et al. Effect of Dopants on Laser-Induced Damage Threshold of ZnGeP2. Crystals. 2023; 13(3):440. https://doi.org/10.3390/cryst13030440
Chicago/Turabian StyleYudin, Nikolay, Mikhail Zinoviev, Vladimir Kuznetsov, Elena Slyunko, Sergey Podzvalov, Vladimir Voevodin, Alexey Lysenko, Andrey Kalsin, Leyla Shaimerdenova, Houssain Baalbaki, and et al. 2023. "Effect of Dopants on Laser-Induced Damage Threshold of ZnGeP2" Crystals 13, no. 3: 440. https://doi.org/10.3390/cryst13030440
APA StyleYudin, N., Zinoviev, M., Kuznetsov, V., Slyunko, E., Podzvalov, S., Voevodin, V., Lysenko, A., Kalsin, A., Shaimerdenova, L., Baalbaki, H., & Kalygina, V. (2023). Effect of Dopants on Laser-Induced Damage Threshold of ZnGeP2. Crystals, 13(3), 440. https://doi.org/10.3390/cryst13030440

