Abstract
For the first time, the stability of KCl single crystals doped with sodium impurity ions was analyzed via the optical absorption and luminescence methods. Using the characteristic bands of optical absorption, as well as of X-ray and tunnel luminescence, ascribed to radiation defects and exciton-like formations localized near sodium impurity, the removal of Na+ ions from regular cation sites into nanosized clusters in KCl:Na crystals stored for a long time at room temperature was demonstrated. At the same time, the subsequent annealing of such “decayed” crystals at high temperature (400–700 °C) led to a partial incorporation of sodium impurity ions back into cation sites and the restoration of a homogeneous distribution of Na+ in the KCl:Na lattice. With an increase in the quenching temperature, the restoration degree continuously increased until it reached the saturation level (about 80% of the characteristics of a freshly grown crystal). The detectable/disappearing X-ray-induced absorption bands at 6.3 and 3.5 eV (respectively ascribed to interstitial chlorine ions and atoms localized near Na+), as well as the luminescence bands at 2.8 and 3.1 eV, typical of recombinationally generated exciton-like formations near Na+ or Na+-Na+, were the indicators of sodium ion redistribution in the crystal lattice.
1. Introduction
In alkali halide crystals (AHCs), the implementation of the excitonic mechanism, leading both to the creation of primary anion defects (vacancy–interstitial Frenkel pairs, the so-called F-H and α-I pairs of neutral and charged defects) and to the emission of luminescence quanta upon the annihilation of anion self-trapped excitons (STEs), has been convincingly demonstrated [1,2,3,4,5].
The study of the relaxation processes of electronic excitations in the field of additional perturbing factors of the AHC lattice is very useful for the development of materials with desired physical characteristics and the search for optical materials that retain a wide spectral range of transparency, even under exposure to ionizing radiation.
In AHCs, several perturbing factors can lead to the local reduction of lattice symmetry: crystal doping by anion [4,6,7,8] and cation impurities [9,10,11,12,13] with significantly different ionic radii, applied uniaxial [14,15,16,17,18] or hydrostatic deformation [19,20,21,22,23,24,25], and the impact of temperature and various types of ionizing radiation [26]. Note that under the ultra-high pressure of AHCs (NaCl), even completely new and unexpected compounds with unusual properties have been found [27].
As a result of numerous studies, the relaxation processes of anion electronic excitations, including migration, self-trapping/localization, radiative annihilation, and decay with the formation of stable point defects both in regular anion lattice sites and near as-grown defects/impurities, are systematized.
In recent years, studies using applied hydrostatic/uniaxial compression [17,18,23,24,25,27,28,29,30], as well as AHC doping with various impurity ions [31,32,33], have actively been performed. Based on long-term experimental investigations, the optical characteristics, and the structures of many radiation defects, as well as the natures of the luminescence of excitons localized in the field of various defects/impurities, have been reliably established [1,2,3,4,5,8,10,11,12,13,17,18].
In the present paper, the effect of the instability of substitutional impurity ions, in particular, the removal of sodium ions from the regular cation lattice sites of the KCl:Na crystal, was thoroughly studied and analyzed. The study was conducted using the methods of optical absorption and luminescence spectroscopy and based on reliably established structures of the radiation defects and luminescence properties of exciton-like formations (bound excitons).
2. Materials and Methods
KCl and KCl:Na single crystals were grown at the Institute of Physics of the University of Tartu (Estonia) using the Kyropoulos method in a helium atmosphere or using the Stockbarger method in an evacuated ampoule. Before the final growing, raw materials were handled in the following sequence: drying of powdered materials; processing of the melt in a halogen gas flow; and finally, additional purification via manifold zone melting. As a result of such a complex procedure, highly pure KCl crystals, with impurity concentrations in the range of 0.01–1.0 ppm, were grown.
Doped KCl:Na crystals were grown using the Stockbarger method on the basis of a zone-melting, purified KCl, with the addition of a vacuum-dried NaCl powder [3,4,10,18,28]. The amount of NaCl powder was prepared by considering the coefficient of sodium incorporation into the KCl matrix (k = 0.11). Using the data of flame photometry (the 589 nm sodium atomic emission), the real concentration of Na+ ions in our freshly grown KCl:Na samples was estimated to be very close to 10 ppm, 100 ppm, or 1000 ppm.
The crystals under investigation were annealed in a “Programix TX 25” electric muffle furnace. During a programmed thermal quenching procedure, KCl:Na crystals were heated at the same rate of 15 °C/min to a specified temperature (ranging from 300 to 700 °C), kept at this temperature for 15 min, and rapidly cooled down in a quartz substrate to room temperature (RT) [30].
Two types of X-ray sources were used as ionizing radiation: (i) characteristic radiation from a Spellman DF60N3X4596 generator (50 mA, 60 kV, W-anticathode), which was used mainly for the study of radiation defect creation, and (ii) bremsstrahlung from a RUP-120 unit with the W-anticathode operating at 3 mA and 100 kV, which was used for the study of the X-ray luminescence spectra.
The absorption spectra of radiation defects in KCl:Na crystals exposed to X-rays were recorded with an Evolution-300 spectrophotometer in wide spectral (6.5–1.1 eV) and temperature ranges (85–400 K) [34].
Measurements of the XRL, tunnel, and thermally stimulated luminescence (TL and TSL, respectively) of the crystals were performed using a high-aperture MSD-2 monochromator and a Hamamatsu H 8259-01 photomultiplier tube (PMT) operating in the photon counting mode. The spectra scanning in the range of 6.0–1.5 eV was controlled by a special SpectraScan program. The curves of spectrally-integrated TSL were measured at a constant heating rate of β = 0.15 K/s of a crystal previously exposed to X-rays using an H 8259-01 detector and a special program ThermoScan [18].
3. Results
The main reason for the high interest in the studies of AHCs doped with small-radius homologue cations (with respect to the main cation) is the ability of such impurity cations to attract the surrounding anions and to promote the formation of pairs of close anions. In the field of these pairs, the localizations of both mobile radiation anion defects (for example, I, H, and VK centers) and unrelaxed electronic excitations are facilitated.
Below, the results of the study on the stability of a light impurity cation location in the regular cation lattice site of a KCl matrix are presented. These results are based on the evaluation of the efficiency of both the near-sodium radiation defect creation and the radiative annihilation of near-sodium exciton-like formations (bound excitons) by means of optical absorption and luminescence spectroscopy methods.
3.1. Radiation Defects in the Field of Sodium Impurity in a KCl Matrix
In AHCs, a light (small-size) homologue cation (Li+ and Na+ in KCl) created energetically favorable conditions for the stabilization of mobile radiation-induced defects and interstitial halide ions (e.g., IA(Na)) and atoms (HA(Na)) nearby [9,10,11,12,13,35,36].
As a result, the temperature stability of anion radiation defects being localized in the field of light cations (Li+ and Na+) was higher, with respect to that for the same defects formed in regular regions of the AHC lattice. For example, the thermal decay of the I and H centers (charged and neutral anion interstitials) in a pure KCl crystal was already efficient at 20 K and 50 K, respectively, while the IA(Na) and HA(Na) centers in KCl:Na were stable up to 140–150 K [3,4,11,28], i.e., the stability of anion interstitials localized near Na+ impurity ions increased by more than 100 K.
In a KCl:Na crystal, the structures of IA(Na) and HA(Na) centers, an interstitial chlorine ion or atom, respectively, localized in the field of a sodium impurity ion , were unambiguously established using the methods of optical and EPR spectroscopy [11,12,13,28]. Thus, the optical absorption bands with the maxima at 6.35 and 3.5 eV corresponded to the IA(Na) and HA(Na) defects, respectively, and could be considered indicators of the location of sodium ions in a regular cation site of the KCl:Na crystal lattice.
Figure 1 shows the absorption spectra of radiation defects in freshly grown KCl (curve 1) and KCl:Na crystals (curves 2–4 belong to different impurity concentrations) previously exposed to isodose X-ray irradiation. The models of the I and H centers localized near sodium impurity ions and are demonstrated in the insert. The subscript indicates a lattice site occupied by the defect/ion (a, c—anion and cation sites, respectively), while the superscript indicates the defect charge. Furthermore, for convenience, we used the simplified notations as IA(Na) and HA(Na).
Figure 1.
Absorption spectra of radiation defects measured for freshly grown KCl (curve 1) and KCl:Na single crystals (curve 2—10 ppm of Na+; curve 3—100 ppm; and curve 4—1000 ppm) after isodose X-irradiation at 85 K (20 mA, 45 kV, W-anticathode, 3 h). All spectra were measured at 85 K. The insert shows the models of some defects (for details, see the text).
In doped KCl:Na crystals (see curves 2–4), there was a sharp enhancement (in comparison with a pure KCl crystal, curve 1) of absorption bands peaked at 6.35; 5.2; 3.5; 2.3; and 1.8 eV and ascribed to a number of radiation anion defects: IA(Na), , and HA(Na) (their structures are illustrated in the insert at Figure 1), as well as the F and Fʹ centers, which corresponded to an anion vacancy with one or two trapped electrons , respectively.
It should be emphasized that the F-center-related absorption band in doped crystals was broadened; FWHM values were about Δ = 0.3 eV at 80 K, compared to Δ = 0.2 eV for a pure KCl crystal. Such broadening was tentatively caused by the efficient formation of the FA(Na) centers [37], the characteristic absorption bands of which were peaked at 2.35 eV (Δ = 0.19 eV) and 2.12 eV (Δ = 0.11 eV) and spectrally overlapped with the band of “pure” F centers (maximum at 2.3 eV). Unfortunately, we failed to separate the absorption bands of the F and FA(Na) centers due to their high intensity exceeding the limit of measurable optical density (OD = 4.0) for an Evolution-300 spectrophotometer.
Thus, according to the data in Figure 1, the rise in the sodium impurity concentration was followed by a significant increase in the efficiency of radiation defect formation, such as the near-sodium anion interstitials (IA(Na) and HA(Na) centers), or several intrinsic defects of the hole-type ( centers) and the electron-type (the F and F′ centers). Note that the concentration of the F centers estimated using the Smakula equation [38] in doped KCl:Na (1000 ppm) crystals increased by more than 10 times (with respect to a pure KCl crystal) and reached 1.8 × 1017 cm−3.
The formation efficiency of a classical vacancy-type point defect (the F center) in KCl:Na crystals increased with the sodium impurity concentration because of the stabilization of mobile complementary Frenkel defects—interstitial halogen ions and atoms—near impure sodium ions with the formation of the IA(Na) and HA(Na) centers, as well as due to the efficient formation of trihalide centers (a quasi-molecule occupies two anion and one cation lattice sites) via H-HA(Na) or H-VKA(Na) pair interactions of -type dihalide molecules (see for details [1,3,4,5,28,39]).
A detailed study of the thermal annealing of radiation defects in KCl:Na crystals allowed us to establish not only their delocalization temperature but also the nature of the interaction of mobile defects during their transformation into more stable halide formations.
The insert in Figure 2 shows the thermal annealing curves of the absorption bands peaked at 6.35 eV and 3.5 eV and associated with the IA(Na) and HA(Na) centers, respectively, in KCl:Na crystals. The annealing was performed in a stepwise regime: a KCl:Na crystal preliminarily exposed to X-rays at 85 K was heated to a certain temperature, kept at this temperature for 2 min, then cooled down to 85 K, and finally, the absorption spectrum was measured. The preheated temperatures were varied with a step of 5 degrees up to 170 K, while all absorption spectra were measured at the same temperature of 85 K. (Examples of such spectra are shown in Figure 2, curves 1–3.) Under this procedure, the FWHM values for the IA(Na) and HA(Na) bands remained unchanged, and the peak OD value characterized the concentration of the relevant defects at the preheating temperature. It can clearly be seen (insert in Figure 2) that the thermal annealing of the IA(Na) and HA(Na) centers proceeded synchronously, and the maximum destruction rates were determined at 135 K and 145 K, respectively.
Figure 2.
Absorption spectra measured for a freshly grown KCl:Na (1000 ppm) crystal just after the exposure to X-rays (20 mA, 45 kV, W-anticathode) at 85 K for 3 h (curve 1) and after additional preheating to 170 K (curve 2) and 300 K (curve 3). The absorption spectrum measured for a pure KCl crystal after isodose irradiation at 85 K (curve 4). All absorption spectra were recorded at 85 K. The insert shows the annealing curves for the IA(Na) and HA(Na) center concentrations via the 6.35-eV and 3.5-eV bands, respectively (for details see the text).
According to Figure 2, the thermal annealing of the IA(Na) and HA(Na) centers was accompanied by a decrease in the concentration of the electron-type F and Fʹ centers, as well as some enhancement of the absorption band with a maximum at 5.2 eV (compare curves 2 and 1), corresponding with the centers [1,2,3,28]. Note that the Fʹ centers (absorption band at 1.8 eV) were characterized by a low ionization temperature (130 K) [18,40]. An increased concentration of centers in the irradiated sample previously annealed to 170 K was connected with the thermal delocalization of the HA(Na) centers, some of which became involved in the formation of additional trihalide molecules.
It is worth noting that all KCl:Na crystals described above turned out to be unstable systems. Sodium impurity ions, which occupied regular cation sites just after crystal growth and served as the localization sites of radiation-induced mobile anion interstitials (i.e., the formation of the IA(Na) and HA(Na) centers), eventually left regular cation sites and formed nanosized clusters.
The latter process is clearly illustrated by Figure 3. In the spectrum of radiation-induced absorption of a doped KCl:Na crystal freshly grown from an ultrapure matrix, there were clearly pronounced bands at 6.35 eV and 3.5 eV, which were related to the IA(Na) and HA(Na), respectively (curve 1). However, these bands practically disappeared after the long-term (3–4 months) storage of KCl:Na in a desiccator at RT (curve 2).
Figure 3.
Absorption spectra measured for KCl:Na (1000 ppm) crystals exposed to isodose irradiation by X-rays at 85 K (20 mA, 45 kV, W-anticathode, 3 h). Curve 1—a freshly grown crystal; 2—a similar sample after 3–4 months of storage at RT; 3—after the annealing of a long-stored sample at 600 °C for 15 min. All spectra were measured at 85 K. The insert shows the dependence of the IA(Na) and HA(Na) center concentrations (via relevant absorption bands), induced by an isodose X-ray radiation (3 h) in the annealed crystals, on the quenching temperature.
Note that such “degradation” of KCl:Na crystals (removal of Na+ from regular cation sites) was more pronounced for doped crystals regrown from an ultrapure KCl matrix. It seems that the presence of uncontrolled impurities somewhat stabilized the system. The samples cut off from the lower part of an ingot that underwent a 30-fold recrystallization (zone melting) before doping contained an increased concentration of other impurities and retained substitutional sodium ions in regular cation sites, such as , for many months.
On the other hand, a subsequent thermal quenching (this procedure was described in Section 2) of a “decayed” KCl:Na crystal after its long-term storage led to a partial incorporation of sodium ions back into the regular cation sites. The reappearance of the absorption bands ascribed to the IA(Na) and HA(Na) centers after the quenching of the “decayed” KCl:Na crystal is illustrated by curve 3 in Figure 3.
We carried out a detailed study of such a recovery of the IA(Na) and HA(Na) absorption bands in the “decayed” KCl:Na crystals subjected to quenching with several temperatures, from 300 °C to 700 °C, and then exposed to isodose X-ray irradiation (see the insert in Figure 3). After additional quenching with temperatures from 450 °C to 600 °C, approximately linear recovery of the IA(Na) and HA(Na) bands was observed, while the recovery process underwent saturation with a further increase in the quenching temperature to above 600 °C.
Thus, it can be assumed that when quenching with 450–600 °C, small-size sodium impurity ions were released from nanoscale formations/clusters and occupied regular cation sites of the KCl:Na lattice. Note that the recovery of the absorption bands related to the IA(Na) and HA(Na) centers occurred in a strictly parallel way and is presented in Figure 3 (insert) as a joint curve within the specified error bar.
According to the phase diagram, KCl:NaCl crystallized from the melt into a continuous series of solid solutions [41,42,43]. However, a spinodal decay of these solutions started at 495 °C, and fluctuations in the impurity distribution over the lattice, as well as the formation of impurity clusters (but not an independent phase), took place [41,42,43].
The solubility limits of NaCl in KCl at temperatures close to RT were not established. At the same time, a significant difference in the ionic radii for K+ and Na+ (by about 35%) suggested a very low miscibility limit for these systems, which was consistent with the inhomogeneity of sodium distribution in KCl, which we established even at a rather small concentration of 60–100 ppm.
3.2. Exciton-Like Luminescence in the Field of a Sodium Ion in a KCl Matrix
The degradation (“decay”) of a KCl:Na (100 ppm) crystal, due to the removal of sodium impurity ions from the regular cation lattice sites, was also studied using a highly sensitive luminescent method, which recorded the changes in the X-ray luminescence (XRL) spectra of freshly grown, “decayed”, and additionally, quenched doped crystals.
The emission band with a maximum at 2.8 eV, which was interpreted as the radiative annihilation of an exciton-like formation in the field of a [18] (the structure of such bound exciton is shown in the insert of Figure 4), was used as the main luminescence characteristic of a substitutional sodium impurity ion in KCl. The above-mentioned bound excitons were recombinationally formed near as follows:
Figure 4.
XRL spectra measured for KCl:Na (100 ppm) crystals after long-term storage at RT (curve 1) or after additional quenching of a “decayed” crystal at 400 °C (curve 2), 520 °C (curve 3), and 700 °C (curve 4). All spectra were measured at RT. The results of the XRL decomposition into elementary Gaussians are indicated by dotted lines. The insert shows a model of an exciton-like formation (a bound exciton) in the field of a sodium ion, .
The hole component of the bound exciton, , was a valence hole rapidly losing its mobility (i.e., forming a self-trapped hole called the VK center) in KCl near an impurity cation .
It should be noted that a weak XRL band at 2.8 eV was also recorded in “decayed” (being long-term stored after growth) KCl:Na (100 ppm) crystals (curve 1 in Figure 4). However, the intensity of this luminescence did not depend on the sodium concentration in the crystal. (In our samples, it varied from 10 to 1000 ppm.) Based on the results of the absorption spectroscopy reported in Section 3.1, the suppression of the 2.8 eV luminescence in the “decayed” KCl:Na crystals was also expected, since the near-sodium bound excitons could not be formed after sodium removal from regular cation sites.
However, the homogeneity of the sodium impurity distribution in the KCl:Na lattice could be restored via the already mentioned thermal quenching procedure. Figure 4 shows the XRL spectra measured at RT for “decayed” KCl:Na (100 ppm) crystals that underwent additional quenching at 400 °C (curve 2), 520 °C (curve 3), and 700 °C (curve 4).
The dependence of the peak intensity of XRL at 2.8 eV (normalized to that in a “decayed” KCl:Na crystal) on the quenching temperature is demonstrated in Table 1. The quenching performed at 400 °C enhanced the emission of near-sodium bound excitons by about 37 times and at 520 °C by 246 times, while a further rise of quenching temperature to 700 °C increased the relative intensity of the characteristic luminescence by 525 times.
Table 1.
Dependence of the peak intensity of XRL with a maximum at 2.8 eV on the quenching temperature of “decayed” KCl:Na crystals (on the basis of Figure 4).
In addition to the already discussed relatively intense XRL band at 2.8 eV, one more emission band with a maximum at 3.1 eV was clearly visible in KCl:Na (100 ppm) crystals that underwent quenching at high temperatures (see Figure 4, curve 4). This band was detectable in the crystals with a rather high concentration of sodium impurity ions and was ascribed to the radiative decay of an exciton-like formation near a Na+-Na+ pair impurity center [18]. Note that both emissions arose at the annihilation of a recombinationally formed bound exciton (near Na+ or Na+-Na+ impurity centers), and mobile unrelaxed holes played an important role in such bound exciton creation. On the other hand, the recombination of conduction electrons with already self-trapped holes was mainly responsible for the appearance of intrinsic luminescence (e.g., emission of recombinationally created STEs) in AHCs [1,2,3] and alkali metal sulfates [44].
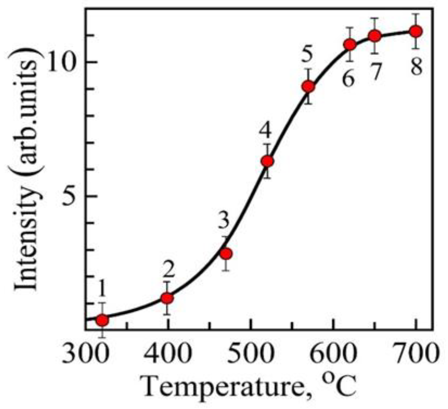
Figure 5 shows the dependence of the peak intensity of the XRL band at 2.8 eV on the quenching temperature (from 320 to 700 °C) of “decayed” KCl:Na crystals (100 ppm). Ac-cording to the presented I~f(T) dependence, the band enhancement started after the quenching at 400 °C; a sharp and almost linear increase in the 2.8 eV XRL band intensity occurred in the crystals, which underwent quenching from 470 °C to 570 °C, while a clear saturation in the I~f(T) dependence occurred after the quenching at higher temperatures (600–700 °C). After such high-temperature quenching, the deformation of the crystal lattice was tentatively increased, due to the rise of material thermo-elasticity and vacancy formation from the interaction of various dislocation types.
Figure 5.
Dependence of the peak intensity of the XRL band at 2.8 eV on the quenching temperature of “decayed” KCl:Na crystals (100 ppm). The quenching temperatures equaled 320 °C (1), 400 °C (2), 470 °C (3), 520 °C (4), 570 °C (5), 620 °C (6), 650 °C (7), and 700 °C (8).
Similar to the XRL spectra (see curve 4 in Figure 4), a doublet structure, with the maxima at 3.1 and 2.8 eV, was also detected in the spectrum of the tunnel luminescence of a KCl:Na (100 ppm) crystal quenched at 600 °C and then exposed to X-rays at RT (Figure 6, curve 2). The appearance of such a doublet TL was connected with the radiative recombination in the pairs of electron- and hole-type defects near . From the decay curve of the spectrally integrated TL (see insert in Figure 6), it followed that the TL related to the recombination in the pairs of spatially close defects occurred within 30–40 s, while the pairs with a large interdefect distance contributed to the TL for a significantly longer time, up to 500 s.
Figure 6.
TL spectra of a “decayed” KCl:Na (100 ppm) crystal (curve 1) and the same crystal additionally quenched at 600 °C (curve 2). The elementary components (Gaussians) of the XRL spectrum decomposition are indicated by the dotted lines. The insert shows the attenuation of the intensity of spectrally integrated TL in a quenched KCl:Na (100 ppm) crystal after exposure to X-rays at RT (3 mA, 120 kV, 10 min).
According to literature data (see, e.g., [1,2,3,4,45]), the VK and F centers should be considered the main candidates for the role of radiation defects contributing to TL. However, the thermal destruction of self-trapped holes (VK centers) in KCl already occurred at 200 K, and they could not be a component of the electron-hole tunnel recombination at RT.
Therefore, the thermally more stable VKA(Na) and VKAA(Na,Na) hole-type centers, which are a self-trapped hole adjacent, respectively, to a single or a - impurity pair center, can be considered a complementary recombination partner to the electron-type F centers as well. In this case, the detectable TL bands at 2.8 and 3.1 eV appeared as follows:
It should be noted that, in contrast to the XRL spectrum (see Figure 4), the emission band at 3.1 eV associated with the presence of Na+-Na+ pairs was very intense in the TL spectrum of a KCl:Na crystal with intermediate sodium concentration. Such a difference can be connected with the much earlier thermal destruction of the VKA(Na) centers (starts at about 270 K), with respect to the VKAA centers, which are the main hole components of a mutual tunnel recombination at RT.
Additional information about the thermal stability of various radiation defects (temperature of a related charge carrier delocalization) in KCl:Na crystals can be obtained by studying the thermally stimulated luminescence. Currently, the majority of TSL peaks, which arise due to the radiative recombination of charge carriers released from sequentially thermally destroyed defects with other still stable defects containing charge carriers of the opposite sign, have been identified for many AHCs (see, e.g., for LiF [46]). Therefore, the reappearance of certain TSL peaks in the irradiated crystals that previously underwent additional thermal quenching can also serve as an indicator of changes in the state/location of the impurity ions in the crystal lattice.
Figure 7 presents TSL curves for two KCl:Na crystals exposed to isodose irradiation by X-rays at 85 K. The first sample was a “decayed”, long-term stored crystal (curve 1), while the second similar sample was previously additionally quenched at 600 °C (curve 2). It can clearly be seen that in a quenched crystal, the TSL peak at 400 K corresponding to the thermal decay of the and F centers was rather weak, while main low-temperature peaks were significantly enhanced. The natures of these peaks were carefully studied for a long time [1,3,4,5,18,28,47,48], and the established relevance of the TSL peaks to the thermal destruction of different radiation defects is labeled in Figure 7. (VF is the VK center stabilized near a cation vacancy.)
Figure 7.
Spectrally integrated signal of TSL measured at a constant heating rate of β = 0.15 K/s for KCl:Na (1000 ppm) crystals exposed to isodose irradiation by X-rays at 85 K (3 h, 20 mA, 45 kV, W-anticathode). Curve 1—a “decayed” crystal; curve 2—the sample additionally quenched at 600 °C.
A sharp enhancement of the TSL peaks at about 130 K (HA(Na)), 145 K (IA(Na)), 265 K (VKA), and 310 K (VKAA) testified to the incorporation of sodium impurity ions back into regular cation sites in a KCl:Na crystal that underwent quenching at 600 °C. Similar to the typical optical absorption bands (see Section 3.1) and the luminescence of sodium impurity-related bound excitons, the listed TSL peaks indicated the restoration of the homogeneous distribution of the sodium impurity and the reappearance of in the lattice of a quenched KCl:Na crystal.
The comparison of the spectra of optical absorption and TSL curves for freshly grown (or quenched) and “decayed” KCl:Na crystals (see Figure 2, Figure 3 and Figure 7) showed that the thermal destruction of the centers in a freshly grown (quenched) crystal started at sufficiently low temperatures, with their concentration at 400 K, in contrast to that in a “decayed” crystal, which is very low. Such low-temperature destruction of trihalide quasi-molecules can be connected with a significant difference in the mobility of single cation vacancies in freshly grown (quenched) and “decayed” KCl:Na crystals.
Numerous experimental results confirmed the practically equal efficiency of center creation in a decayed and a freshly grown KCl:Na crystal. It was supposed that in the “decayed” KCl:Na crystal, sodium ions moved away from regular cation sites into interstices because the sizes of a Na+ ion (0.98 Å) and a tetrahedral interstice (0.9 Å) in KCl were very close. As a result, interstitial sodium ions and cation vacancies were efficiently formed in the “decayed” KCl:Na crystal; served as the seed for the association of two mobile halogen atoms; and, in turn, a trihalide center was created.
4. Conclusions
The effect of the instability of doped KCl:Na single crystals was thoroughly studied and analyzed on the basis of the available literature data on the structure and optical characteristics of several sodium impurity-related radiation defects (in particular, HA(Na), IA(Na), VKA(Na), and VKAA(Na,Na) centers), as well as exciton-like formations (near-sodium-bound excitons).
For the first time, the detailed comparison of the spectra of optical absorption, X-ray and tunnel luminescence, and the TSL curves was conducted for three different KCl:Na crystals exposed to isodose X-ray irradiation: a freshly grown sample, a “decayed” one that was stored long-term at RT, and finally, a “decayed” crystal additionally subjected to a high-temperature quenching procedure.
As a result, several indicators that confirmed the location of impurity ions in regular cation sites were revealed and clearly stated for the first time. These were the radiation-induced optical absorption bands at 6.35 eV and 3.5 eV (ascribed to the IA(Na) and HA(Na) centers, respectively) and the luminescence band at 2.8 eV, connected with the radiative decay of bound excitons recombinationally formed near impurity ions.
The disappearance of such characteristic indicators in long-term stored doped crystals testified to the removal of sodium impurity ions from regular cation sites of the KCl matrix and the formation of nanosized impurity clusters. At the same time, a subsequent quenching of the “decayed” crystal at high temperatures (400–700 °C) provided a partial incorporation of sodium ions back into cation sites and restored a homogeneous distribution of in the KCl:Na lattice. The degree of restoration increased with quenching temperature until it reached some saturation level (about 80% of the characteristics typical of a freshly grown crystal). The crystal quenching at the limiting temperature of 700 °C led to the appearance of an additional absorption band peaked at 3.1 eV, which dominated in the crystals with high sodium concentrations and was recently attributed by us to the exciton-like formations near Na+-Na+ impurity pairs [18].
Author Contributions
Conceptualization, K.S.; methodology, K.S.; software, A.T. and Z.U.; validation, K.S. and A.L.; formal analysis, S.S.; investigation, K.S.; resources, K.S.; data curation, S.S.; writing—original draft preparation, K.S.; writing—review and editing, A.L.; visualization, A.T. and Z.U.; supervision, S.S. and A.T.; project administration, K.S.; funding acquisition, K.S. All authors have read and agreed to the published version of the manuscript.
Funding
This research received no external funding.
Informed Consent Statement
Informed consent was obtained from all subjects involved in the study.
Data Availability Statement
Not applicable.
Acknowledgments
The team of authors expresses their sincere gratitude to a specialist of crystal growth Revekka Gindina for her interest in the work and discussion of the results.
Conflicts of Interest
The authors declare no conflict of interest.
References
- Lushchik, C. Chapter 8: Creation of Frenkel defect pairs by excitons in alkali halides. In Physics of Radiation Effects in Crystals; Johnson, R., Orlov, A., Eds.; North-Holland: Amsterdam, The Netherlands, 1986. [Google Scholar]
- Song, K.; Williams, R. Self-Trapped Excitons, 2nd ed.; Springer: Berlin, Germany, 1996. [Google Scholar]
- Lushchik, C.; Lushchik, A. Evolution of anion and cation excitons in alkali halide crystals. Phys. Solid State 2018, 60, 1487–1505. [Google Scholar] [CrossRef]
- Lushchik, C.; Kolk, J.; Lushchik, A.; Lushchik, N.; Tajirov, M.; Vasil’chenko, E. Decay of excitons into long-lived F, H and α, I pairs in KCl. Phys. Stat. Solidi (b) 1982, 114, 103–111. [Google Scholar] [CrossRef]
- Lushchik, A.; Lushchik, C.; Vasil’chenko, E.; Popov, A.I. Radiation creation of cation defects in alkali halide crystals: Review and today’s concept. Low Temp. Phys. 2018, 44, 269–277. [Google Scholar] [CrossRef]
- Wakita, S. Luminescence of KBr-KI solid solution under X-ray irradiation at liguid helium temperature. J. Phys. Soc. 1971, 31, 1505–1512. [Google Scholar] [CrossRef]
- Hayashi, T.; Ohata, T.; Koshino, S. Self-trapped excitons in KI-Br and RbI-Br. J. Lumin. 1987, 38, 96–98. [Google Scholar] [CrossRef]
- Lushchik, A.; Lushchik, C.; Lushchik, N.; Frorip, A.; Nikiforova, O. Formation and decay of electronic excitations localized near divacancies in alkali halides. Phys. Stat. Solidi (b) 1991, 168, 413–423. [Google Scholar] [CrossRef]
- Agullo-Lopez, F.; Lopez, F.J.; Jague, F. Role of cation impurities on radiation-induced processes in alkali halides. Cryst. Lattice Defects 1982, 9, 227–252. [Google Scholar]
- Lushchik, C.; Kolk, J.; Lushchik, A.; Lushchik, N. Radiational creation of Frenkel defects in KCl-Tl. Phys. Stat. Solidi (a) 1984, 86, 219–227. [Google Scholar] [CrossRef]
- Delbecq, C.J.; Hutchinson, E.; Schoemaker, D.; Yasaitis, E.L.; Yester, P.H. ESR and Optical-Absorption study of the V1-center in KCl:NaCl. Phys. Rev. 1969, 187, 1103–1119. [Google Scholar] [CrossRef]
- Schoemaker, D.; Kolopus, J.L. Electron Paramagnetic Resonance and Optical-Absorption studies of the V1(Li+)—Center in KCl-Li+. Phys. Rev. B 1970, 2, 1148–1159. [Google Scholar] [CrossRef]
- Schoemaker, D.; Yasaitis, E.L. Reorientation Motions of the HA(Li)—Center in KCl-Li+. Phys. Rev. B 1972, 5, 4970–4986. [Google Scholar] [CrossRef]
- Elango, A.; Sagimbaeva, S.; Sarmukhanov, E.; Savikhina, T.; Shunkeev, K. Effect in unixial stress on luminescence of X- and VUV-irradiated NaCl and NaBr crystals. Radiat. Meas. 2001, 33, 823–827. [Google Scholar] [CrossRef]
- Babin, V.; Bekeshev, A.; Elango, A.; Kalder, K.; Shunkeev, K.; Vasilchenko, E.; Zazubovich, S. Effect in unixial stress on dynamics of electronic excitations in alkali halides. J. Lumin. 1998, 76–77, 502–506. [Google Scholar] [CrossRef]
- Shunkeyev, K.; Zhanturina, N.; Aimaganbetova, Z.; Barmina, A.; Myasnikova, L.; Sagymbaeva, S.; Sergeyev, D. The specifics of radiative annihilation of self-trapped excitons in a KI:Tl crystal under low-temperature deformation. Low Temp. Phys. 2016, 42, 580–583. [Google Scholar] [CrossRef]
- Myasnikova, L.; Shunkeyev, K.; Zhanturina, N.; Ubaev, Z.; Barmina, A.; Sagimbaeva, S.; Aimaganbetova, Z. Luminescence of self-trapped excitons in alkali halide crystals at low temperature uniaxial deformation. Nucl. Instrum. Methods Phys. Res. Sect. B Beam Interact. Mater. At. 2020, 464, 95–99. [Google Scholar] [CrossRef]
- Shunkeyev, K.; Tilep, A.; Sagimbayeva, S.; Lushchik, A.; Ubaev, Z.; Myasnikova, L.; Zhanturina, N.; Aimaganbetova, Z. The enhancement of exciton-like luminescence in KCl single crystals under local and uniaxial elastic lattice deformation. Nucl. Instrum. Methods Phys. Res. Sect. B Beam Interact. Mater. At. 2022, 528, 20–26. [Google Scholar] [CrossRef]
- Laisaar, A.; Shcherbakov, V.; Kuznetsov, A. High-pressure spectroscopic studies of free and self-trapped excitons in alkali halides at low temperatures. High Press. Res. 1990, 3, 78–80. [Google Scholar] [CrossRef]
- Tsujimoto, T.; Nishimura, H.; Nakayama, M. Dynamical aspects of the self-trapped excitons in CsI under hydrostatic pressure. J. Lumin. 1997, 72-74, 895–897. [Google Scholar] [CrossRef]
- Nishimura, H.; Oguri, T.; Tsujimoto, T.; Nakayama, M.; Kurisu, H.; Komatsu, T.; Morita, S.; Kobayashi, M. Hydrostatic Pressure Effects on Self-Trapped Exciton Luminescence in KI. J. Phys. Soc. Jpn. 1993, 32, 288–290. [Google Scholar] [CrossRef]
- Ramirez, M.; Bausa, L.; Biernacki, S.W.; Kaminska, A.; Suchocki, A.; Grinberg, M. Influence of hydrostatic pressure on radiative transition probability of the intrashell 4f transitions in Yb3+ ions in lithium niobate crystals. Phys. Rev. B 2005, 72, 224104. [Google Scholar] [CrossRef]
- Grinberg, M. Excited states dynamics under high pressure in lanthanide doped solids. J. Lumin. 2011, 131, 433–437. [Google Scholar] [CrossRef]
- Mahlik, S.; Malinowski, M.; Grinberg, M. High pressure and time resolved luminescence spectra of Gd3Ga5O12:Pr3+ crystal. Opt. Mater. 2011, 33, 152. [Google Scholar] [CrossRef]
- Grinberg, M.; Mahlik, S. Impurity trapped exciton states related to rare earth ions in crystals under high hydrostatic pressure. Crystallogr. Rep. 2013, 58, 147–151. [Google Scholar] [CrossRef]
- Biganeh, A.; Kakuee, O.; Rafi-Kheiri, H. Positron Annihilation Spectroscopy of KCl (Zn) crystals. Appl. Radiat. Isot. 2020, 166, 109330. [Google Scholar] [CrossRef]
- Zhang, W.; Oganov, A.R.; Goncharov, A.F.; Zhu, Q.; Boulfelfel, S.E.; Lyakhov, A.O.; Stavrou, E.; Somayazulu, M.; Prakapenka, V.B.; Konôpková, Z. Unexpected stable stoichiometries of sodium chlorides. Science 2013, 342, 1502–1505. [Google Scholar] [CrossRef]
- Shunkeyev, K.; Aimaganbetova, Z.; Myasnikova, L.; Maratova, A.; Ubaev, Z. Mechanisms of radiation defect formation in KCl crystals under the influence of local and plastic deformation. Nucl. Instrum. Methods Phys. Res. Sect. B Beam Interact. Mater. At. 2021, 509, 7–11. [Google Scholar] [CrossRef]
- Shunkeyev, K.; Ubaev Zh Lushchik, A.; Myasnikova, L. Radiation defects in NaCl matrix with reduced lattice symmetry caused by light cation doping and elastic uniaxial deformation. Lith. J. Phys. 2021, 61, 151–160. [Google Scholar] [CrossRef]
- Shunkeyev, K.; Tilep, A.; Lushchik, A.; Sagimbayeva, S. Exciton-like luminescence of KCl matrix under thermoelastic, local and uniaxial deformation. Eurasian J. Phys. Funct. Mater. 2022, 6, 139–150. [Google Scholar] [CrossRef]
- Zhanturina, N.; Sergeyev, D.; Aimaganbetova, Z.; Zhubaev, A.; Bizhanova, K. Structural Properties of Yttrium Aluminum Garnet, Doped with Lanthanum. Crystals 2022, 12, 1132. [Google Scholar] [CrossRef]
- Takizawa, Y.; Kamada, K.; Yoshino, M.; Kim, J.K.; Kutsuzawa, N.; Yamaji, A.; Kurosawa, S.; Yokota, Y.; Sato, H.; Toyoda, S.; et al. Growth of thallium-doped CsI/CsCl/KCl eutectics and their scintillation properties. Opt. Mater. X 2022, 15, 100159. [Google Scholar] [CrossRef]
- Takizawa, Y.; Kamada, K.; Kutsuzawa, N.; Kim, J.K.; Yoshino, M.; Yamaji, A.; Kurosawa, S.; Yokota, Y.; Sato, H.; Toyoda, S.; et al. Growth and scintillation properties of Tl-doped CsI/KI/KCl ternary eutectics. J. Cryst. Growth 2021, 573, 126287. [Google Scholar] [CrossRef]
- Shunkeyev, K.; Sarmukhanov, E.; Bekeshev, A.; Sagimbaeva, S.; Bizhanova, K. The cryostat for deformation of crystals at low temperatures. J. Phys. Conf. Ser. 2012, 400, 052032. [Google Scholar] [CrossRef]
- Dauletbekova, A.; Elango, A. Conversion of F-HA pairs into α-IA pairs in KBr:Li and KBr:Na X-Rayed at 80K. Phys. Stat. Solidi (b) 1981, 108, 299–305. [Google Scholar] [CrossRef]
- Dauletbekova, A.; Akilbekov, A.; Elango, A. Thermo- and Photostimulated Recombinations of F-HA and α-IA Centers in KBr with Large Concentration. Phys. Stat. Solidi (b) 1982, 112, 445–451. [Google Scholar] [CrossRef]
- Fritz, B.; Lüty, F.; Rausch, G. Optische Eigenschaften von FA-Zentren in Alkalihalogeniden. Phys. Stat. Solidi (b) 1965, 11, 635–650. [Google Scholar] [CrossRef]
- Doyle, W.T. Optical Absorption by F centers in Alkali Halides. Phys. Rev. 1958, 111, 1072–1077. [Google Scholar] [CrossRef]
- Elango, A.; Nurakhmetov, T. Structure and generation mechanism of -centers in X-rayed KBr. Phys. Stat. Solidi (b) 1976, 78, 529–536. [Google Scholar] [CrossRef]
- Lunch, D.W.; Robinson, D.A. Study of the F’ Center in Several Alkali Halides. Phys. Rev. 1968, 174, 1050–1059. [Google Scholar] [CrossRef]
- Tygesen, A.S.; Mathiesen, N.R.; Chang, J.H.; Garcia-Lastrs, J.M. Density functional theory study of superoxide ions as impurities in alkali halides. Phys. Chem. Chem. Phys. 2020, 22, 13378–13389. [Google Scholar] [CrossRef]
- Hada, M.; Zhang, D.F.; Pichugin, K.; Hirscht, J.; Kochman, M.A.; Hayes, S.A.; Manz, S.; Gengler, R.N.; Wann, D.A.; Seki, T. Cold ablation driven by localized forces in alkali halides. Nat. Commun. 2014, 5, 3863. [Google Scholar] [CrossRef]
- Fedoseev, V.B.; Shishulin, A.V.; Titaeva, E.K.; Fedoseeva, E.N. On the possibility of the formation of a NaCl-KCl solid-solution crystal from an aqueous solution at room temperature in small-volume systems. Phys. Solid State 2016, 58, 2095–2100. [Google Scholar] [CrossRef]
- Nurakhmetov, T.N.; Kuterbekov, K.A.; Daurenbekov, D.H.; Salikhodzha Zh, M.; Kainarbay, A.K.; Zhunusbekov, A.M.; Bekmyrza, K. Intrinsic luminescence in alkali metal sulfates. J. Lumin. 2016, 171, 9–12. [Google Scholar] [CrossRef]
- Grabovskis, V.J.; Vitols, I.K. Tunneling recombination luminescence in KBr and KCl. J. Lumin. 1979, 20, 337–342. [Google Scholar] [CrossRef]
- Nakonechnyi, S.; Kärner, T.; Lushchik, A.; Lushchik Ch Babin, V.; Feldbach, E.; Kudryavtseva, I.; Liblik, P.; Pung, L.; Vasil’chenko, E. Low-temperature excitonic, electron-hole and interstitial-vacancy processes in LiF single crystals. J. Phys. Condens. Matter 2006, 8, 379–394. [Google Scholar] [CrossRef]
- Sergeyev, D.; Shunkeyev, K.; Zhanturina, N.; Shunkeyev, S. The influence of external weak magnetic field on anharmonic nanocontacts of Josephson type. IOP Conf. Ser. Mater. Sci. Eng. 2013, 49, 012049. [Google Scholar] [CrossRef]
- Shunkeyev, K.; Sergeyev, D.; Drozdowski, W.; Brylev, K.; Myasnikova, L.; Barmina, A.; Zhanturina, N.; Sagimbaeva, S.; Aimaganbetova, Z. The deformation stimulated luminescence in KCl, KBr and KI crystals. J. Phys. Conf. Ser. 2017, 830, 012139. [Google Scholar] [CrossRef]
Disclaimer/Publisher’s Note: The statements, opinions and data contained in all publications are solely those of the individual author(s) and contributor(s) and not of MDPI and/or the editor(s). MDPI and/or the editor(s) disclaim responsibility for any injury to people or property resulting from any ideas, methods, instructions or products referred to in the content. |
© 2023 by the authors. Licensee MDPI, Basel, Switzerland. This article is an open access article distributed under the terms and conditions of the Creative Commons Attribution (CC BY) license (https://creativecommons.org/licenses/by/4.0/).






