Modeling 2D Arrangements of Graphene Nanoribbons
Abstract
:1. Introduction
2. Theoretical Framework
- (i)
- Numerical computations using DFT to obtain an accurate group velocity of graphene.
- (ii)
- Analytical expressions derived mainly from the Dirac cone approximation [33] to investigate the related electronic and plasmonic features.
2.1. DFT Computations
2.2. Semi-Analytical Model: Estimating the Electronic Properties
2.3. Semi-Analytical Model: Describing the Plasmonic Properties
- is the well-known electron charge,
- is the 2D electron density,
- is the dielectric constant,
- represents the reciprocal wave vector,
- represents the plasmon excitation angle,
- is the electron relaxation rate.
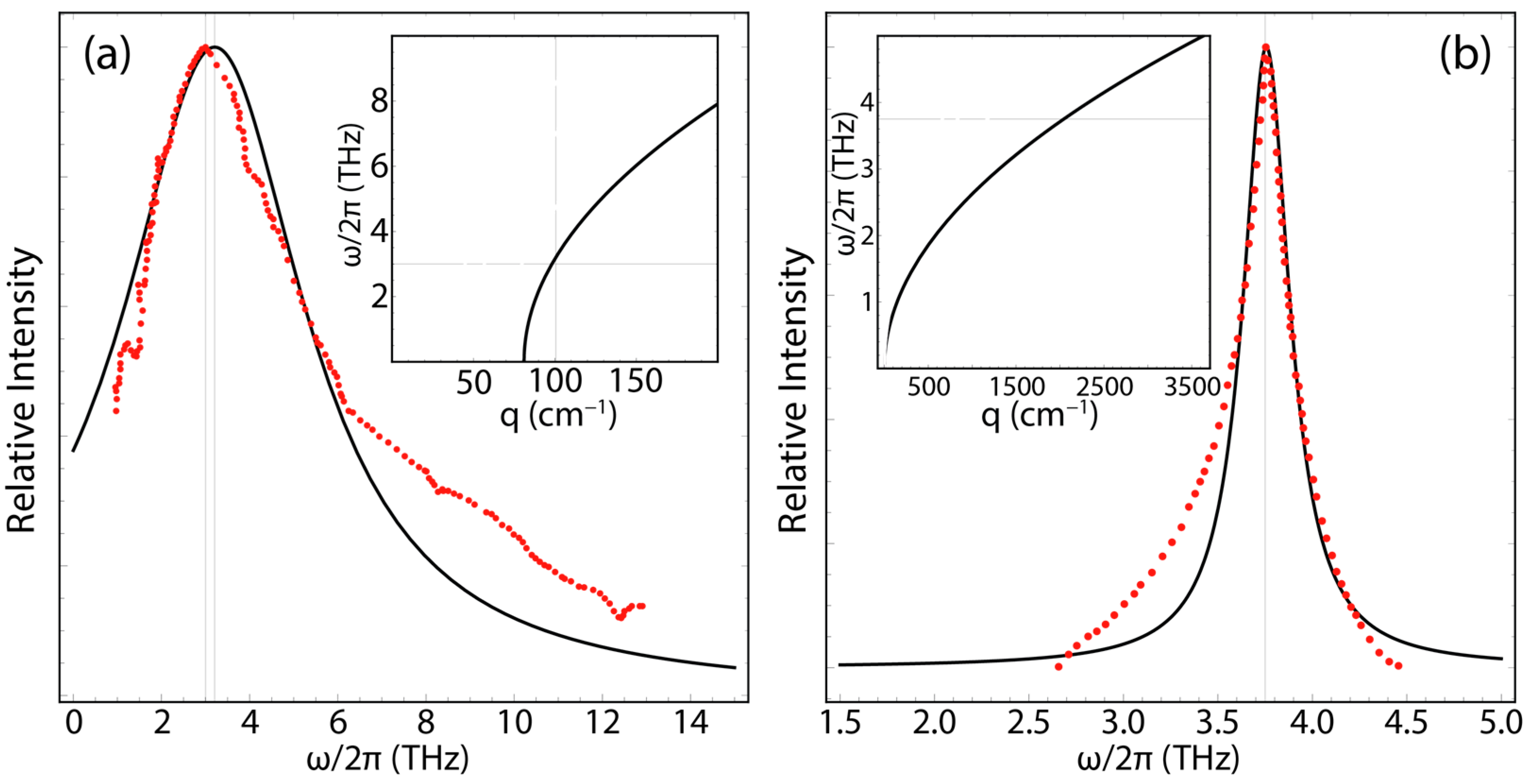
2.4. Semi-Analytical Model: Showing the Plasmon Spectrum
- (i)
- Lorentzian line function describes the form of a spectroscopical feature corresponding to a frequency (energy) change in ions, molecules, atoms, or now 2D GNR arrays [48].
- (ii)
- The units of , , and are typically wavenumbers (for absorption spectra) or frequency (for lifetime spectrum of collective excitations) [49]. In the present study, the last entry is used, that is, in terms of frequency, in what we call the plasmon spectrum or maximum of the plasmon peak.
- (iii)
- The maximum of the plasmon peak could be delayed due to core-electron excitations which are not taken into account in the Lorentzian function [50].
- (iv)
- The plasmon structure is not expected to be a straightforward Lorentzian peak, but the approach used is useful in clearly showing the control of surface plasmons in 2D GNR arrays.
3. Results and Discussions
3.1. Electronic Properties of Freestanding GNRs
3.2. Electronic Properties of Non-Freestanding GNRs
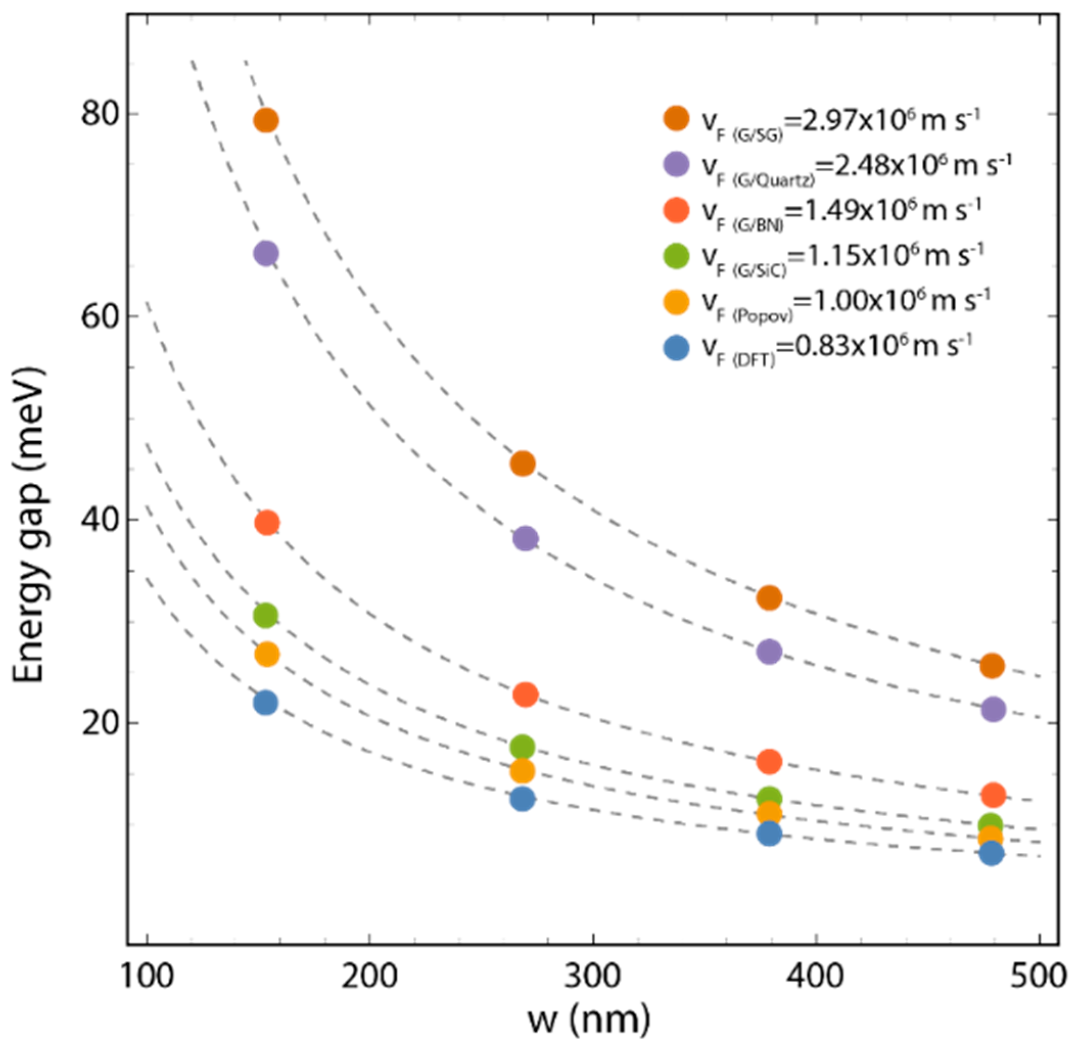
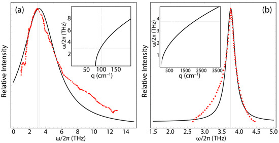
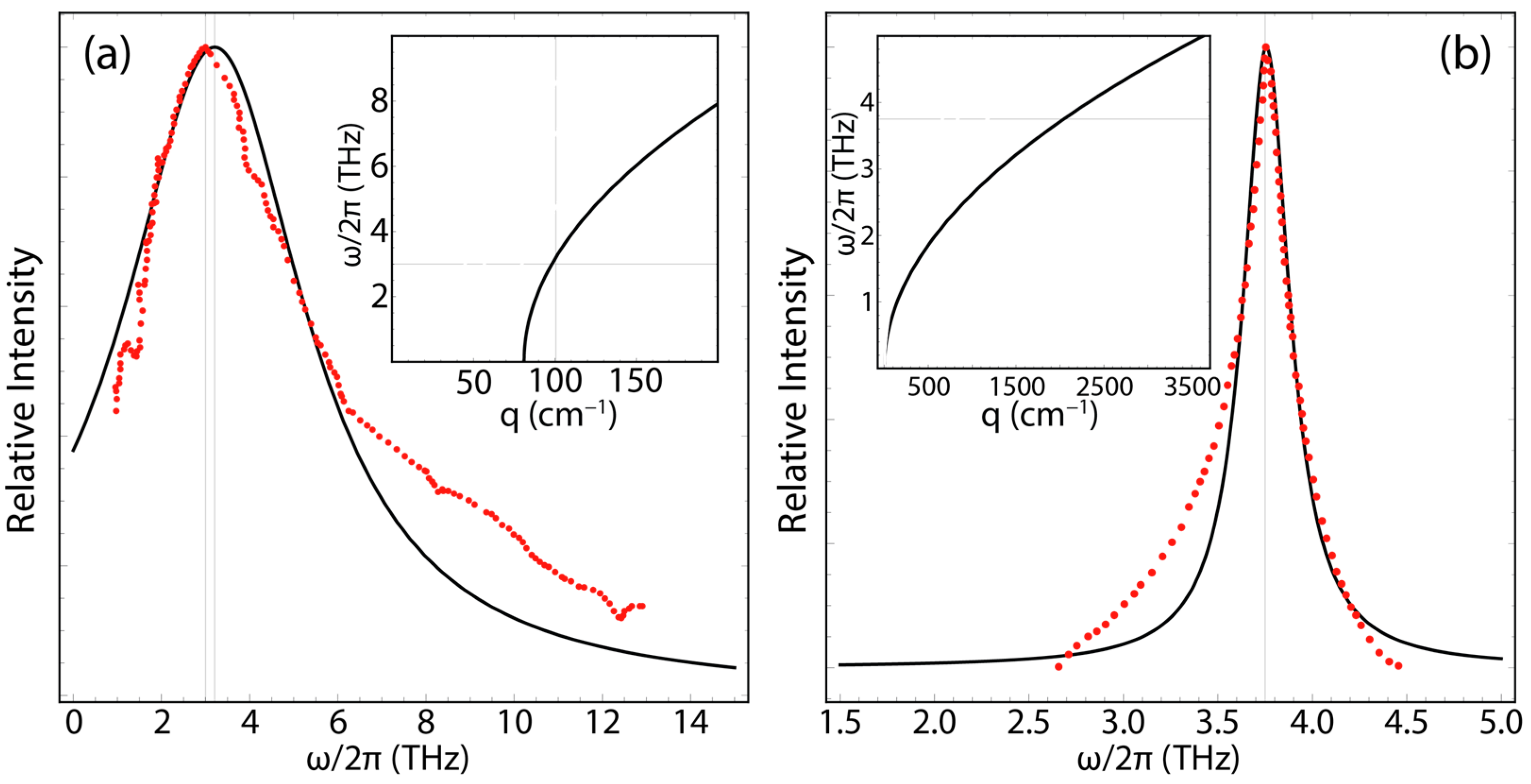
3.3. Comparison of Semi-Analytical Model with Previous Reports
3.4. Plasmonic Properties of Non-Freestanding GNRs
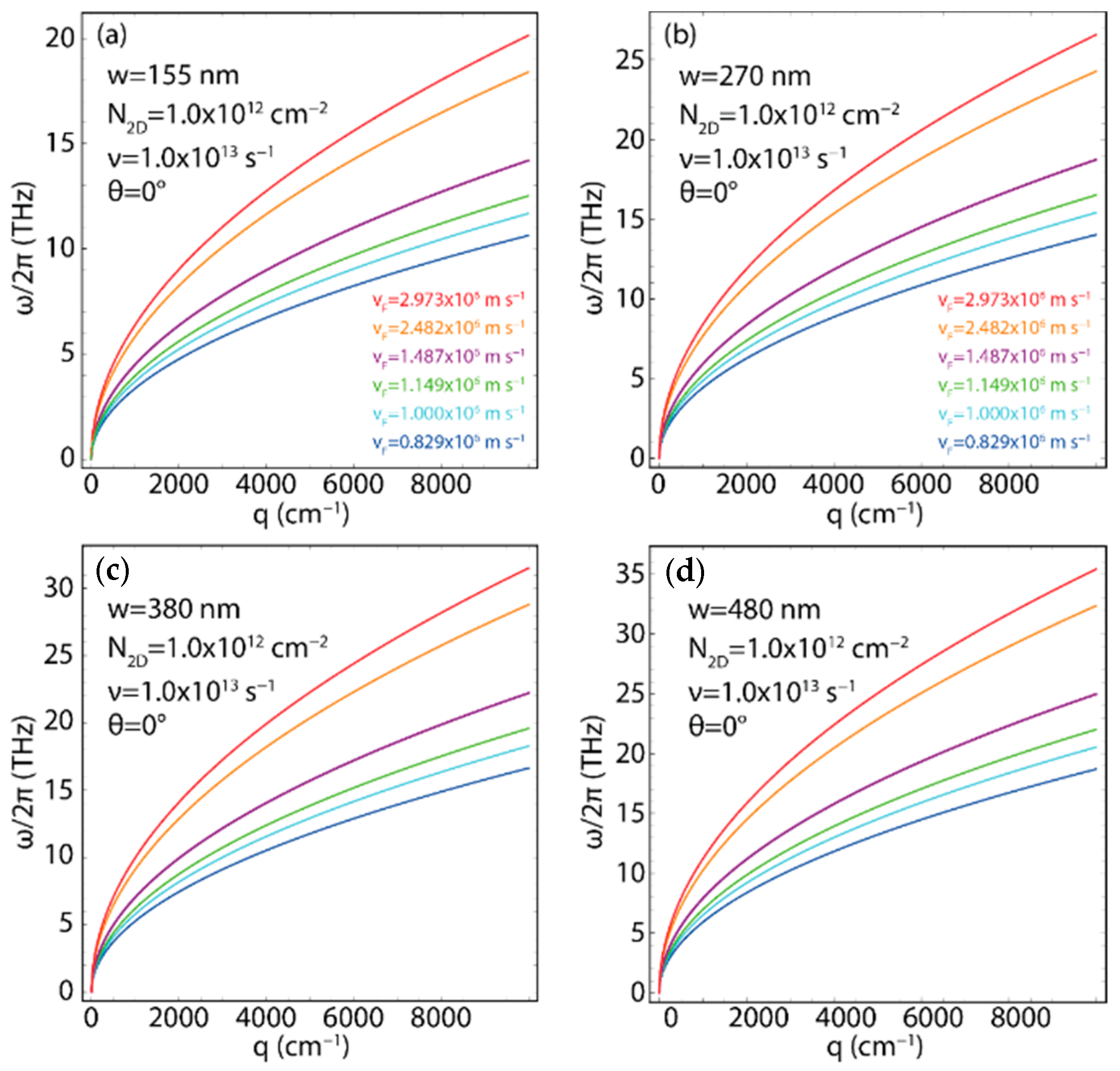
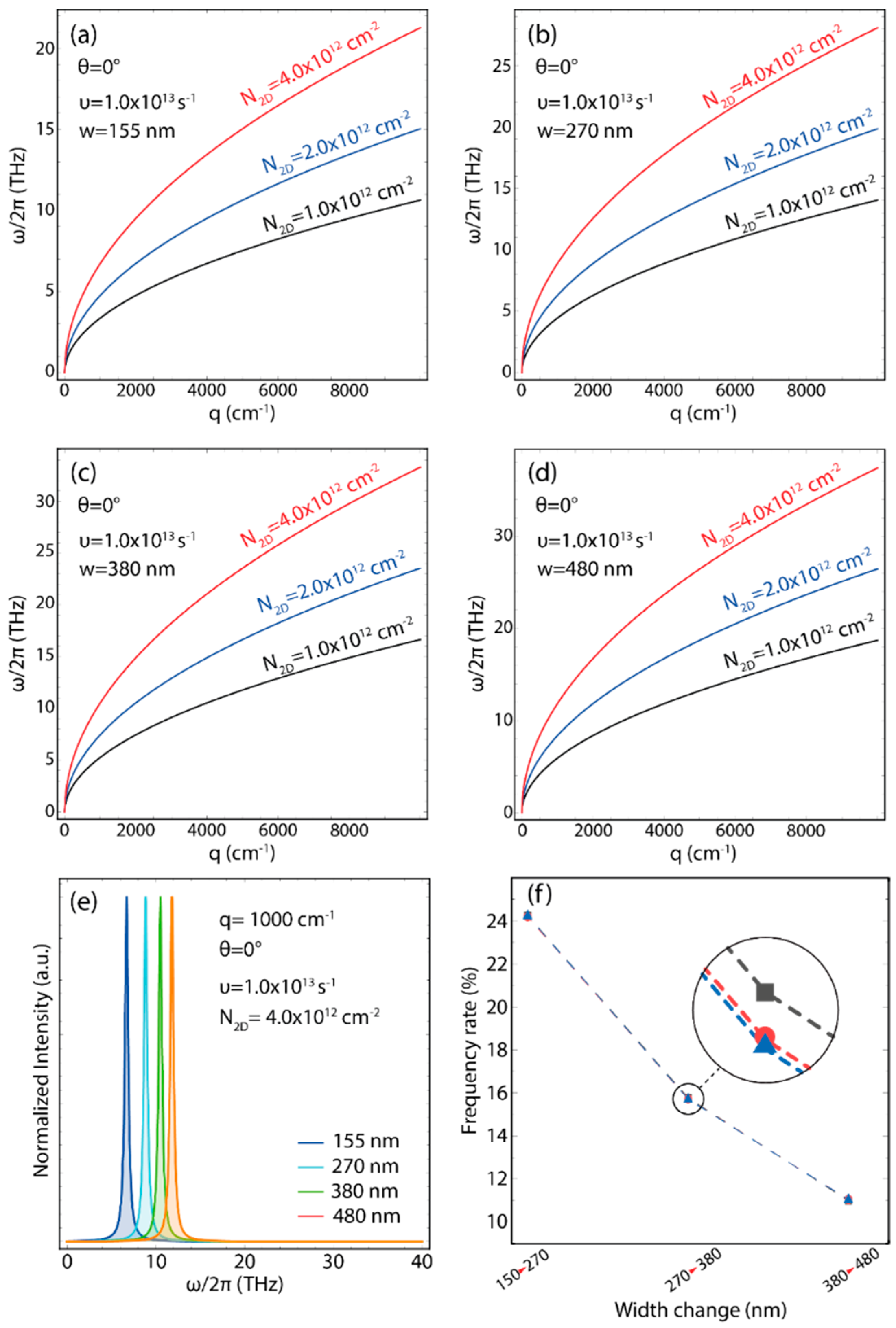
3.5. Plasmonic Properties of Freestanding GNRs: The Effect of Ribbon Width ()
- The manipulation of the plasmon excitation angle () in 2D GNR arrays is imperative to obtain the surface plasmon resonance and the related sensitivity. However, Equation (6) must be used with caution since, at , the radicand becomes zero. More importantly, the properties and features of oblique plasmons can be scrutinized.
- In conductivity-related phenomena, charge carrier mobility plays an important role in the electronic and plasmonics properties of any system. Thus, high-charge carrier mobility is commonly observed in defect-free graphene samples, whereas charge carrier mobility is significantly reduced in graphene samples with high concentrations of defects. From the experimental part, this effect depends on the synthesis process. From the theoretical part, in Equation (6), this fact is introduced by the electron relaxation rate (), taking into account the following statement: a high value of is connected with a low charge carrier mobility, and vice-versa.
- 2D electron concentration () (or 2D charge carrier density) can be controlled by injecting or ejecting electrons, i.e., by either doping the GNR system or by gating voltages. The latter technique is of particular interest because it can be varied in a reasonable range up to cm−2 [42].
3.6. Plasmonic Properties of Freestanding GNRs: The Effect of 2D Charge Density ()
4. Chlorpyrifos-Methyl Sensing
- (i)
- The use of s−1 is justified by the possibility of using GNRs with a high concentration of defects, such as oxidized graphene ribbons [62].
- (ii)
- It is assumed that the interaction between the 2D GNR array and the chlorpyrifos-methyl molecule through interactions will cause a transfer of charge (doping) from the molecule, which validate the use of cm−2.
5. Conclusions
Supplementary Materials
Author Contributions
Funding
Acknowledgments
Conflicts of Interest
References
- Abergel, D.; Apalkov, V.; Berashevich, J.; Ziegler, K.; Chakraborty, T. Properties of graphene: A theoretical perspective. Adv. Phys. 2010, 59, 261–482. [Google Scholar] [CrossRef]
- Castro, A.H.; Guinea, F.; Peres, N.M.R.; Novoselov, K.S.; Geim, A.K. The electronic properties of graphene. Rev. Mod. Phys. 2009, 81, 109. [Google Scholar] [CrossRef]
- Celis, A.; Nair, M.N.; Taleb-Ibrahimi, A.; Conrad, E.H.; Berger, C.; de Heer, W.A.; Tejeda, A. Graphene nanoribbons: Fabrication, properties and devices. J. Phys. D Appl. Phys. 2016, 49, 143001. [Google Scholar] [CrossRef]
- Novoselov, K.S.; Geim, A.K.; Morozov, S.V.; Jiang, D.; Zhang, Y.; Dubonos, S.V.; Grigorieva, I.V.; Firsov, A.A. Electric field effect in atomically thin carbon films. Science 2004, 306, 666–669. [Google Scholar] [CrossRef] [PubMed]
- Wu, J.; Lin, H.; Moss, D.J.; Loh, K.P.; Jia, B. Graphene oxide for photonics, electronics and optoelectronics. Nat. Rev. Chem. 2023, 1–22. [Google Scholar] [CrossRef]
- Kim, K.; Choi, J.-Y.; Kim, T.; Cho, S.-H.; Chung, H.-J. A role for graphene in silicon-based semiconductor devices. Nature 2011, 479, 338–344. [Google Scholar] [CrossRef] [PubMed]
- Kamedulski, P.; Lukaszewicz, J.; Witczak, L.; Szroeder, P.; Ziolkowski, P. The Importance of Structural Factors for the Electrochemical Performance of Graphene/Carbon Nanotube/Melamine Powders towards the Catalytic Activity of Oxygen Reduction Reaction. Materials 2021, 14, 2448. [Google Scholar] [CrossRef] [PubMed]
- González, Z.; Acevedo, B.; Predeanu, G.; Axinte, S.M.; Drăgoescu, M.-F.; Slăvescu, V.; Fernandez, J.J.; Granda, M.; Gryglewicz, G.; Melendi-Espina, S. Graphene materials from microwave-derived carbon precursors. Fuel Process. Technol. 2021, 217, 106803. [Google Scholar] [CrossRef]
- Tene, T.; Arias, F.A.; Guevara, M.; Nuñez, A.; Villamagua, L.; Tapia, C.; Pisarra, M.; Torres, F.J.; Caputi, L.S.; Gomez, C.V. Removal of mercury(II) from aqueous solution by partially reduced graphene oxide. Sci. Rep. 2022, 12, 6326. [Google Scholar] [CrossRef]
- Pereira, P.; Ferreira, D.P.; Araújo, J.C.; Ferreira, A.; Fangueiro, R. The Potential of Graphene Nanoplatelets in the Development of Smart and Multifunctional Ecocomposites. Polymers 2020, 12, 2189. [Google Scholar] [CrossRef] [PubMed]
- Li, X.; Shen, Q.; Zhang, Y.; Wang, L.; Nie, C. Wear behavior of electrodeposited nickel/graphene composite coating. Diam. Relat. Mater. 2021, 119, 108589. [Google Scholar] [CrossRef]
- Tseluikin, V.; Zhang, L. Carbon and Carbon-Based Composite Thin Films/Coatings: Synthesis, Properties and Applications. Coatings 2022, 12, 907. [Google Scholar] [CrossRef]
- Sahoo, S.; Bhuyan, M.; Sahoo, D. Tuning of dielectric and magnetic performance of graphene oxide via defect regulation by metal oxide nanoparticle for high temperature device. J. Alloy. Compd. 2023, 935, 168097. [Google Scholar] [CrossRef]
- Dong, X.; Huang, W.; Chen, P. In Situ Synthesis of Reduced Graphene Oxide and Gold Nanocomposites for Nanoelectronics and Biosensing. Nanoscale Res. Lett. 2011, 6, 1–6. [Google Scholar] [CrossRef]
- Kim, H.W.; Ko, W.; Joo, W.-J.; Cho, Y.; Oh, Y.; Ku, J.; Jeon, I.; Park, S.; Hwang, S.W. Unraveling the Structural and Electronic Properties of Graphene/Ge(110). J. Phys. Chem. Lett. 2018, 9, 7059–7063. [Google Scholar] [CrossRef] [PubMed]
- Tian, C.; Miao, W.; Zhao, L.; Wang, J. Graphene nanoribbons: Current status and challenges as quasi-one-dimensional nanomaterials. Rev. Phys. 2023, 10, 100082. [Google Scholar] [CrossRef]
- Yang, Y.; Murali, R. Impact of Size Effect on Graphene Nanoribbon Transport. IEEE Electron Device Lett. 2010, 31, 237–239. [Google Scholar] [CrossRef]
- Fei, Z.; Goldflam, M.D.; Wu, J.-S.; Dai, S.; Wagner, M.; McLeod, A.S.; Liu, M.K.; Post, K.W.; Zhu, S.; Janssen, G.C.A.M.; et al. Edge and Surface Plasmons in Graphene Nanoribbons. Nano Lett. 2015, 15, 8271–8276. [Google Scholar] [CrossRef]
- Gomez, C.V.; Pisarra, M.; Gravina, M.; Pitarke, J.M.; Sindona, A. Plasmon Modes of Graphene Nanoribbons with Periodic Planar Arrangements. Phys. Rev. Lett. 2016, 117, 116801. [Google Scholar] [CrossRef]
- Yin, H.; Zhang, H. Plasmons in graphene nanostructures. J. Appl. Phys. 2012, 111, 103502. [Google Scholar] [CrossRef]
- Mousavi, S.T.; Badehian, H.A.; Gharbavi, K. Optical spectra of zigzag graphene nanoribbons: A first-principles study. Phys. Scr. 2022, 97, 105803. [Google Scholar] [CrossRef]
- Toudert, J.; Serna, R. Interband transitions in semi-metals, semiconductors, and topological insulators: A new driving force for plasmonics and nanophotonics [Invited]. Opt. Mater. Express 2017, 7, 2299–2325. [Google Scholar] [CrossRef]
- Gan, C.H.; Gbur, G.; Visser, T.D. Surface Plasmons Modulate the Spatial Coherence of Light in Young’s Interference Experiment. Phys. Rev. Lett. 2007, 98, 043908. [Google Scholar] [CrossRef] [PubMed]
- Low, T.; Avouris, P. Graphene Plasmonics for Terahertz to Mid-Infrared Applications. ACS Nano 2014, 8, 1086–1101. [Google Scholar] [CrossRef] [PubMed]
- Wu, L.; Chu, H.S.; Koh, W.S.; Li, E.P. Highly sensitive graphene biosensors based on surface plasmon resonance. Opt. Express 2010, 18, 14395–14400. [Google Scholar] [CrossRef]
- Fu, H.; Zhang, S.; Chen, H.; Weng, J. Graphene Enhances the Sensitivity of Fiber-Optic Surface Plasmon Resonance Biosensor. IEEE Sens. J. 2015, 15, 5478–5482. [Google Scholar] [CrossRef]
- Sadeghi, Z.; Shirkani, H. Highly sensitive mid-infrared SPR biosensor for a wide range of biomolecules and biological cells based on graphene-gold grating. Phys. E. Low-dimensional Syst. Nanostructures 2020, 119, 114005. [Google Scholar] [CrossRef]
- Zhang, H.; Song, D.; Gao, S.; Zhang, J.; Zhang, H.; Sun, Y. Novel SPR biosensors based on metal nanoparticles decorated with graphene for immunoassay. Sens. Actuators B Chem. 2013, 188, 548–554. [Google Scholar] [CrossRef]
- Mulpur, P.; Podila, R.; Lingam, K.; Vemula, S.K.; Ramamurthy, S.S.; Kamisetti, V.; Rao, A.M. Amplification of Surface Plasmon Coupled Emission from Graphene–Ag Hybrid Films. J. Phys. Chem. C. 2013, 117, 17205–17210. [Google Scholar] [CrossRef]
- Ling, X.; Xie, L.; Fang, Y.; Xu, H.; Zhang, H.; Kong, J.; Dresselhaus, M.S.; Zhang, J.; Liu, Z. Can Graphene Be Used as a Substrate for Raman Enhancement? Nano Lett. 2010, 10, 553–561. [Google Scholar] [CrossRef]
- Pisarra, M.; Gomez, C.V.; Sindona, A. Massive and massless plasmons in germanene nanosheets. Sci. Rep. 2022, 12, 18624. [Google Scholar] [CrossRef] [PubMed]
- Sindona, A.; Gomez, C.V.; Pisarra, M. Dielectric screening versus geometry deformation in two-dimensional allotropes of silicon and germanium. Sci. Rep. 2022, 12, 15107. [Google Scholar] [CrossRef] [PubMed]
- Popov, V.V.; Bagaeva, T.Y.; Otsuji, T.; Ryzhii, V. Oblique terahertz plasmons in graphene nanoribbon arrays. Phys. Rev. B 2010, 81, 73404. [Google Scholar] [CrossRef]
- Barrios, C.A. Modeling of a Graphene Nanoribbon–based Microfluidic Surface Plasmon Resonance Biosensor. Plasmonics 2021, 17, 745–752. [Google Scholar] [CrossRef]
- Son, J.G.; Son, M.; Moon, K.-J.; Lee, B.H.; Myoung, J.-M.; Strano, M.S.; Ham, M.-H.; Ross, C.A. Sub-10 nm Graphene Nanoribbon Array Field-Effect Transistors Fabricated by Block Copolymer Lithography. Adv. Mater. 2013, 25, 4723–4728. [Google Scholar] [CrossRef]
- Gonze, X.; Amadon, B.; Anglade, P.-M.; Beuken, J.-M.; Bottin, F.; Boulanger, P.; Bruneval, F.; Caliste, D.; Caracas, R.; Côté, M.; et al. ABINIT: First-principles approach to material and nanosystem properties. Comput. Phys. Commun. 2009, 180, 2582–2615. [Google Scholar] [CrossRef]
- Kohn, W. Density-functional theory for excited states in a quasi-local-density approximation. Phys. Rev. A 1986, 34, 737–741. [Google Scholar] [CrossRef]
- Troullier, N.; Martins, J.L. Efficient Pseudopotentials for Plane-Wave Calculations. Phys. Rev. B. 1991, 43, 1993. [Google Scholar] [CrossRef]
- Monkhorst, H.J.; Pack, J.D. Special points for Brillouin-zone integrations. Phys. Rev. B 1976, 13, 5188. [Google Scholar] [CrossRef]
- Geim, A.K.; Novoselov, K.S. The Rise of Graphene. In Nanoscience and Technology: A Collection of Reviews from Nature Journals; World Scientific: Singapore, 2010; pp. 11–19. [Google Scholar]
- Barone, V.; Hod, O.; Scuseria, G.E. Electronic Structure and Stability of Semiconducting Graphene Nanoribbons. Nano Lett. 2006, 6, 2748–2754. [Google Scholar] [CrossRef]
- Han, M.Y.; Oezyilmaz, B.; Zhang, Y.; Kim, P. Energy Band-Gap Engineering of Graphene Nanoribbons. Phys. Rev. Lett. 2007, 98, 206805. [Google Scholar] [CrossRef]
- Hwang, C.; Siegel, D.A.; Mo, S.-K.; Regan, W.; Ismach, A.; Zhang, Y.; Zettl, A.; Lanzara, A. Fermi velocity engineering in graphene by substrate modification. Sci. Rep. 2012, 2, 1–4. [Google Scholar] [CrossRef]
- Zur, A.; McGill, T.C.; Smith, D.L. Fermi-level position at a semiconductor-metal interface. Phys. Rev. B 1983, 28, 2060–2067. [Google Scholar] [CrossRef]
- Whelan, P.R.; Shen, Q.; Zhou, B.; Serrano, I.G.; Kamalakar, M.V.; Mackenzie, D.M.A.; Ji, J.; Huang, D.; Shi, H.; Luo, D.; et al. Fermi velocity renormalization in graphene probed by terahertz time-domain spectroscopy. 2D Mater. 2020, 7, 035009. [Google Scholar] [CrossRef]
- Pisarra, M.; Sindona, A.; Riccardi, P.; Silkin, V.; Pitarke, J.M. Acoustic plasmons in extrinsic free-standing graphene. N. J. Phys. 2014, 16, 83003. [Google Scholar] [CrossRef]
- Tene, T.; Guevara, M.; Svozilík, J.; Coello-Fiallos, D.; Briceño, J.; Gomez, C.V. Proving Surface Plasmons in Graphene Nanoribbons Organized as 2D Periodic Arrays and Potential Applications in Biosensors. Chemosensors 2022, 10, 514. [Google Scholar] [CrossRef]
- Petrakis, L. Spectral line shapes: Gaussian and Lorentzian functions in magnetic resonance. J. Chem. Educ. 1967, 44, 432. [Google Scholar] [CrossRef]
- Blaber, M.G.; Henry, A.-I.; Bingham, J.M.; Schatz, G.C.; Van Duyne, R.P. LSPR Imaging of Silver Triangular Nanoprisms: Correlating Scattering with Structure Using Electrodynamics for Plasmon Lifetime Analysis. J. Phys. Chem. C 2011, 116, 393–403. [Google Scholar] [CrossRef]
- Egerton, R.F. Electron energy-loss spectroscopy in the TEM. Rep. Prog. Phys. 2008, 72, 16502. [Google Scholar] [CrossRef]
- Yang, L.; Park, C.-H.; Son, Y.-W.; Cohen, M.L.; Louie, S.G. Quasiparticle Energies and Band Gaps in Graphene Nanoribbons. Phys. Rev. Lett. 2007, 99, 186801. [Google Scholar] [CrossRef]
- Ullah, Z.; Witjaksono, G.; Nawi, I.; Tansu, N.; Khattak, M.I.; Junaid, M. A Review on the Development of Tunable Graphene Nanoantennas for Terahertz Optoelectronic and Plasmonic Applications. Sensors 2020, 20, 1401. [Google Scholar] [CrossRef]
- Kiraly, B.; Mannix, A.J.; Jacobberger, R.M.; Fisher, B.L.; Arnold, M.S.; Hersam, M.C.; Guisinger, N.P. Sub-5 Nm, Globally Aligned Graphene Nanoribbons on Ge (001). Appl. Phys. Lett. 2016, 108, 213101. [Google Scholar] [CrossRef]
- Ruffieux, P.; Ruffieux, P.; Cai, J.; Cai, J.; Plumb, N.C.; Plumb, N.C.; Patthey, L.; Patthey, L.; Prezzi, D.; Prezzi, D.; et al. Electronic Structure of Atomically Precise Graphene Nanoribbons. ACS Nano 2012, 6, 6930–6935. [Google Scholar] [CrossRef]
- Elias, D.C.; Gorbachev, R.V.; Mayorov, A.S.; Morozov, S.V.; Zhukov, A.A.; Blake, P.; Ponomarenko, L.A.; Grigorieva, I.V.; Novoselov, K.S.; Guinea, F.; et al. Dirac cones reshaped by interaction effects in suspended graphene. Nat. Phys. 2011, 7, 701–704. [Google Scholar] [CrossRef]
- Sarker, D.; Nakti, P.P.; Tahmid, I.; Mamun, A.Z.; Zubair, A. Terahertz polarizer based on tunable surface plasmon in graphene nanoribbon. Opt. Express 2021, 29, 42713. [Google Scholar] [CrossRef]
- Ju, L.; Geng, B.; Horng, J.; Girit, Ç.; Martin, M.; Hao, Z.; Bechtel, H.A.; Liang, X.; Zettl, A.; Shen, Y.R.; et al. Graphene plasmonics for tunable terahertz metamaterials. Nat. Nanotechnol. 2011, 6, 630–634. [Google Scholar] [CrossRef] [PubMed]
- Xu, W.; Xie, L.; Zhu, J.; Wang, W.; Ye, Z.; Ma, Y.; Tsai, C.-Y.; Chen, S.; Ying, Y. Terahertz sensing of chlorpyrifos-methyl using metamaterials. Food Chem. 2017, 218, 330–334. [Google Scholar] [CrossRef] [PubMed]
- Hua, X.; Qian, G.; Yang, J.; Hu, B.; Fan, J.; Qin, N.; Li, G.; Wang, Y.; Liu, F. Development of an immunochromatographic assay for the rapid detection of chlorpyrifos-methyl in water samples. Biosens. Bioelectron. 2010, 26, 189–194. [Google Scholar] [CrossRef]
- Xu, W.; Xie, L.; Zhu, J.; Tang, L.; Singh, R.; Wang, C.; Ma, Y.; Chen, H.-T.; Ying, Y. Terahertz biosensing with a graphene-metamaterial heterostructure platform. Carbon 2018, 141, 247–252. [Google Scholar] [CrossRef]
- Zhou, J.; Zhao, X.; Huang, G.; Yang, X.; Zhang, Y.; Zhan, X.; Tian, H.; Xiong, Y.; Wang, Y.; Fu, W. Molecule-Specific Terahertz Biosensors Based on an Aptamer Hydrogel-Functionalized Metamaterial for Sensitive Assays in Aqueous Environments. ACS Sensors 2021, 6, 1884–1890. [Google Scholar] [CrossRef]
- Lin, T.N.; Chih, K.H.; Yuan, C.T.; Shen, J.L.; Lin, C.A.J.; Liu, W.R. Laser-ablation production of graphene oxide nanostructures: From ribbons to quantum dots. Nanoscale 2015, 7, 2708–2715. [Google Scholar] [CrossRef] [PubMed]










| Ribbon Width (nm) | Bandgap (meV) | |
|---|---|---|
| 155 | 22.12 | 2.83 × 10−3 |
| 270 | 12.70 | 1.63 × 10−3 |
| 380 | 9.02 | 1.16 × 10−3 |
| 480 | 7.14 | 0.91 × 10−3 |
| Bandgap (meV) | ||
|---|---|---|
| 0 | 0.829 | 1.27 |
| 10 | 0.746 | 1.14 |
| 20 | 0.663 | 1.02 |
| 30 | 0.580 | 0.89 |
| 40 | 0.497 | 0.76 |
| Ribbon Width (nm) | Peak Position (cm−1) |
|---|---|
| 155 | 94.2 |
| 270 | 54.1 |
| 380 | 38.5 |
| 480 | 30.5 |
Disclaimer/Publisher’s Note: The statements, opinions and data contained in all publications are solely those of the individual author(s) and contributor(s) and not of MDPI and/or the editor(s). MDPI and/or the editor(s) disclaim responsibility for any injury to people or property resulting from any ideas, methods, instructions or products referred to in the content. |
© 2023 by the authors. Licensee MDPI, Basel, Switzerland. This article is an open access article distributed under the terms and conditions of the Creative Commons Attribution (CC BY) license (https://creativecommons.org/licenses/by/4.0/).
Share and Cite
Tene, T.; Guevara, M.; Bonilla García, N.; Borja, M.; Vacacela Gomez, C. Modeling 2D Arrangements of Graphene Nanoribbons. Crystals 2023, 13, 311. https://doi.org/10.3390/cryst13020311
Tene T, Guevara M, Bonilla García N, Borja M, Vacacela Gomez C. Modeling 2D Arrangements of Graphene Nanoribbons. Crystals. 2023; 13(2):311. https://doi.org/10.3390/cryst13020311
Chicago/Turabian StyleTene, Talia, Marco Guevara, Nataly Bonilla García, Myrian Borja, and Cristian Vacacela Gomez. 2023. "Modeling 2D Arrangements of Graphene Nanoribbons" Crystals 13, no. 2: 311. https://doi.org/10.3390/cryst13020311
APA StyleTene, T., Guevara, M., Bonilla García, N., Borja, M., & Vacacela Gomez, C. (2023). Modeling 2D Arrangements of Graphene Nanoribbons. Crystals, 13(2), 311. https://doi.org/10.3390/cryst13020311

