Abstract
We studied the synthesis and crystal structures of a new two-dimensional (2D) coordination polymer, {FeII(1-Ethyl-imidazole)2[NiII(CN)4]}n (1), and one-dimensional (1D) coordination polymers, {FeII(1-benzyl-imidazole)4[NiII(CN)4]}n (2) and {FeII(1-Allyl-imidazole)4[NiII(CN)4]}n (3). Compound 1 has a 2D sheet structure, which is a traditional Hofmann-like structure. In compound 1, an octahedral FeII ion is coordinated with the nitrogen atoms of the [NiII(CN)4] planar unit at equatorial positions and monodentate imidazole derivatives at axial positions. The layers construct a parallel stacking array. Compounds 2 and 3 have a 1D chain structure. In compounds 2 and 3, the FeIIN6 coordination environment is formed with four imidazole ligands and two [NiII(CN)4]2− metalloligands. In the [NiII(CN)4]2− unit, two CN substituents act as bidentate ligands that form infinite –Ni–C–N–Fe–N–C–Ni– chains. Herein, we discuss the systematic design of polymeric dimensionality.
1. Introduction
The control of the self-assembly process of metal ions and organic ligands in the solution state has led to the production of various metal–organic nanostructures, including polymeric structures (coordination polymers (CPs) and metal–organic frameworks (MOFs)), discrete metal organic cages (MOCs), and a combination of both, with different functional properties [1,2,3,4,5,6,7]. In the systematic design of supramolecular networks, coordination polymers are important due to the range of possible combinations among the coordination geometries of the metal center and the organic linkers [8]. The fine modulation and design of the structure enables the control of the physical properties of the compounds, further enabling the discussion of structure–property correlations. Among the many synthesized coordination polymers, the Hofmann-like coordination polymer [9] shows the most well-defined dimensionality due to its strongly regulated self-assembly process. In general, the two-dimensional (2D) Hofmann-like structure consists of terminal octahedral metal centers of M1(II) (M1 = Mn, Fe, Co, Ni, Cd, Zn, etc.) that are coordinated with the nitrogen atoms from linear coordination [M2(CN)2]− or square planar [M2(CN)4]2− cyanometallate ligands (M2 = Ni(II), Pd(II), Pt(II), Cu(I), Ag(I), or Au(I)) at equatorial positions and two monodentate pyridine derivative ligands at the axial positions of the terminal octahedral metal centers. These components lead to the construction of a parallel stacking array. In the current multidisciplinary research on Hofmann-like coordination polymers, spin crossover (SCO) phase transition is a hot topic. In the field of molecular magnetism, the SCO phenomenon has attracted considerable attention owing to its unique magnetic switching. Upon external stimulation by, for example, heat or light, the spin state changes between the low-spin (LS) and high-spin (HS) ground states because the strength of the ligand field in the complex exists at the borderline between the states [10]. The d6 ion of the Fe(II) compound has been the most widely studied due to the drastic changes that occur in its magnetic properties. The d6 electron configuration in the HS state is t2g4eg2, in which four electrons are unpaired in the ground state of the spin system (S = 2). In the LS state, the configuration is t2g6eg0, which has no unpaired electrons (S = 0). Thus, the magnetic moments are quite different between these states. Moreover, with the change in spin states, the SCO of the Fe(II) compound simultaneously causes a reversible change in color. Since the first 2D Hofmann-like SCO coordination polymer {Fe(py)2[Ni(CN)4]}n (py = pyridine) was reported by Kitazawa et al. [11], this structural motif has been widely developed and studied in terms of structure–property relationships. The use of bidentate pyrazine (Pz) derivatives generally leads to the construction of three-dimensional (3D) Hofmann-like frameworks. In 2001, the first 3D Hofmann-like SCO coordination polymer, {Fe(pz)[M2(CN)4]}n (pz = pyrazine, M2 = Ni, Pd, Pt), was reported by Real et al. [12]. This 3D framework has also been extensively studied. To date, many derived 2D and 3D Hofmann-like structures have been systematically developed, which show SCO behavior as well as various properties for different applications [13,14,15,16,17].
In the design of compounds with specific physical properties such as electric conductivity and magnetism, nanoporous materials, and other practical materials, the control of coordination polymeric dimensionality plays an important role. Recently, the negative thermal expansion (NTE) behavior in 2D and 3D Hofmann-like structures has been investigated [18,19,20,21]. The mechanism of NTE behavior is related to the shape of the bending of the cyano-bridged structure, which is called the fence effect, and its CN vibrational modes [22]. The difference among the dimensionalities of the cyano-bridged network provides clues regarding the NTE mechanism.
Despite the ability to regulate the self-assembly process of Hofmann-like structures, unexpected isomers, such as interpenetrate structures and the presence or absence of guest spaces, often occur. Thus, the whole crystal structure cannot yet be fully controlled. The analogues of 2D Hofmann-like SCO systems are mainly based on small bulky substituted pyridine derivatives. With huge bulky ligands, the structure and dimensionality of these analogues are not always regulated as expected. Moreover, Hofmann-like structures fabricated using other aromatic imine groups are much less common [17,23]. Thus, exploring the applicable ligands to extend the compounds in the constant 2D layer series is important.
In our previous study, we focused on five-membered, imidazole (Im) derivatives, imidazole (HIm), and 1-methylimidazole (1-MeIm) [24], which show 2D Hofmann-like layer structures.
In this paper, we report the synthesis and crystal structures for new 1D and 2D coordination polymers (Scheme 1) produced using Im derivatives, Fe(1-XIm)2[NiII(CN)4] and Fe(1-XIm)4[NiII(CN)4] (X = Ethyl (Et) (1), benzyl (Bz) (2) and allyl (Al) (3)) (Scheme 1), with the aim of extending the rational design of dimensionality using components of the Hofmann-like structure.
Scheme 1.
Formation of coordination polymers 1–3 and molecular structures of the ligands of 1-EtIm, 1-BzIm, and 1-AlIm.
2. Materials and Methods
2.1. Materials
All of the chemicals were purchased from commercial sources (Tokyo Chemical Industry Co., Ltd., Tokyo, Japan, and Nacalai Tesque, Inc., Kyoto, Japan) and used without any further purification.
2.2. Synthesis
Preparation of Compounds 1–3
Single crystals of 1 and 3 were prepared and crystallized via the slow diffusion of two solutions in a glass tube. For compounds 1 and 3, one solution contained FeSO4∙(NH4)2SO4∙6H2O (39.2 mg, 1.00 × 10−4 mol) and one of either ligand, 1-EtIm (19.2 mg, 2.00 × 10−4 mol), or 1-AlIm (21.6 mg, 2.00 × 10−4 mol) in 1.5 mL of N2 bubbling degassing water. The other solution contained K2[Ni(CN)4]∙H2O (25.8 mg, 1.00 × 10−4 mol) in 0.5 mL of degassing water. A glass tube was filled with two solutions. The reaction mixture was placed in a polystyrene foam box and left undisturbed. A yellow plate single crystal for 1 or a yellow pillared single crystal for 3, which were suitable for single-crystal X-ray diffraction (SCXRD), formed over 7 days. Compound 2 was prepared following a previously reported procedure, with modifications [25]. For the first solution for 2, a mixture of FeSO4∙(NH4)2SO4∙6H2O (78.4 mg, 2.00 × 10−4 mol), K2[Ni(CN)4]∙H2O (51.6 mg, 2.00 × 10−4 mol), and citric acid (340 mg, 1.80 × 10−3 mol) was dissolved in 3 mL of degassing water. After the pH was adjusted to ca. 5.7 by slowly dropping 1,3-propanediamine into the solution, the solution was filtered through a membrane (Milipore 4 μm). The other solution contained 1-BzIm (63.3 mg, 4.00 × 10−4 mol) in 5 mL of bubbling water (4 mL)/ethanol (1 mL) mixed solvent. The two solutions were slowly combined. The reaction mixture was placed in a polystyrene foam box and left to stand undisturbed. Seven days later, yellow pillared crystals suitable for SCXRD were obtained. For 2 and 3, small amounts of different shapes of crystals were observed. Therefore, the crystalline samples of 2 and 3 were observed using a binocular lens. The samples were characterized using X-ray powder diffraction (PXRD) data (Figure S1). No impurities or isomers for 2 were observed. The PXRD pattern for 3 showed the presence of minor impurities; as such, we conducted elemental analysis of 1 and 2 but not 3. The C, H, and N microanalyses were performed with a J-SCIENCE MICRO CORDER JM10 elemental analyzer (J-SCIENCE Co., Tokyo, Japan). The results of the elemental analysis for 1 and 2 confirmed their organic content (for 1, found: C, 40.56; H, 3.79; N, 27.29%; calculated: C14H16FeNiN8 C, 40.09; H, 3.90; N, 27.30%; for 2, found: C, 62.15; H, 4.81; N, 19.94%; calculated: C44H40FeNiN12: C, 62.06; H, 4.70; N, 19.74%).
2.3. Single-Crystal X-ray Crystallography
Data were collected with a BRUKER APEX SMART CCD area-detector diffractometer for 1–3 with monochrometed Mo–Kα radiation (λ = 0.71073 Å) (Bruker, Billerica, MA, USA). A selected single crystal was carefully mounted on a thin glass capillary and immediately placed under a liquid, cooled N2 stream. The diffraction data were treated using SMART and SAINT, and absorption was corrected using SADABS [26]. The structures were solved using direct methods with SHELXTL [27]. All non-hydrogen atoms were anisotropically refined, and the hydrogen atoms were geometrically generated. Pertinent crystallographic and selected metric parameters for 1–3 are listed in Tables S1 and S2. Crystallographic data were deposited at the Cambridge Crystallographic Data Centre with deposition numbers CCDC-2237013, CCDC-2237014, and CCDC-2237015 for compounds 1–3, respectively. These data can be obtained free of charge at http://www.ccdc.cam.ac.uk/conts/retrieving.html accessed on 18 January 2023.
2.4. X-ray Powder Diffraction
The PXRD patterns were recorded on a Rigaku Smart lab diffractometer using Johannson-type crystal monochromated CuKα radiation (Rigaku Co., Tokyo, Japan). The acquisition of all of the data from 5.0° to 45.0° in 2θ was set to 1.0°/min to obtain exploitable intensities. The diffraction data at different low temperatures for 1 were also obtained using an Anton Paar TTK 600 Chamber.
2.5. Other Physical Measurements
The infrared (IR) spectra for 1–3 were recorded on a JASCO FT/IR-4100 (JASCO Co., Tokyo, Japan) spectrometer in the range of 4000–200 cm−1 with a resolution of approximately 4 cm−1. The samples were prepared as KBr pellets. The thermogravimetric analysis (TGA) measurements for 1–3 were obtained with a SEIKO TG/DTA 6200 (Seiko Instruments Inc. Chiba, Japan) in the 100–500 °C range under a nitrogen atmosphere at a rate of 5 K min−1. The solid-state UV/Vis reflectance spectra for 1 were measured using a JASCO V-570 spectrophotometer with an ISN-470 integrating sphere (JASCO Co., Tokyo, Japan)
3. Results
3.1. Crystal Structures
3.1.1. Structure of Compound 1
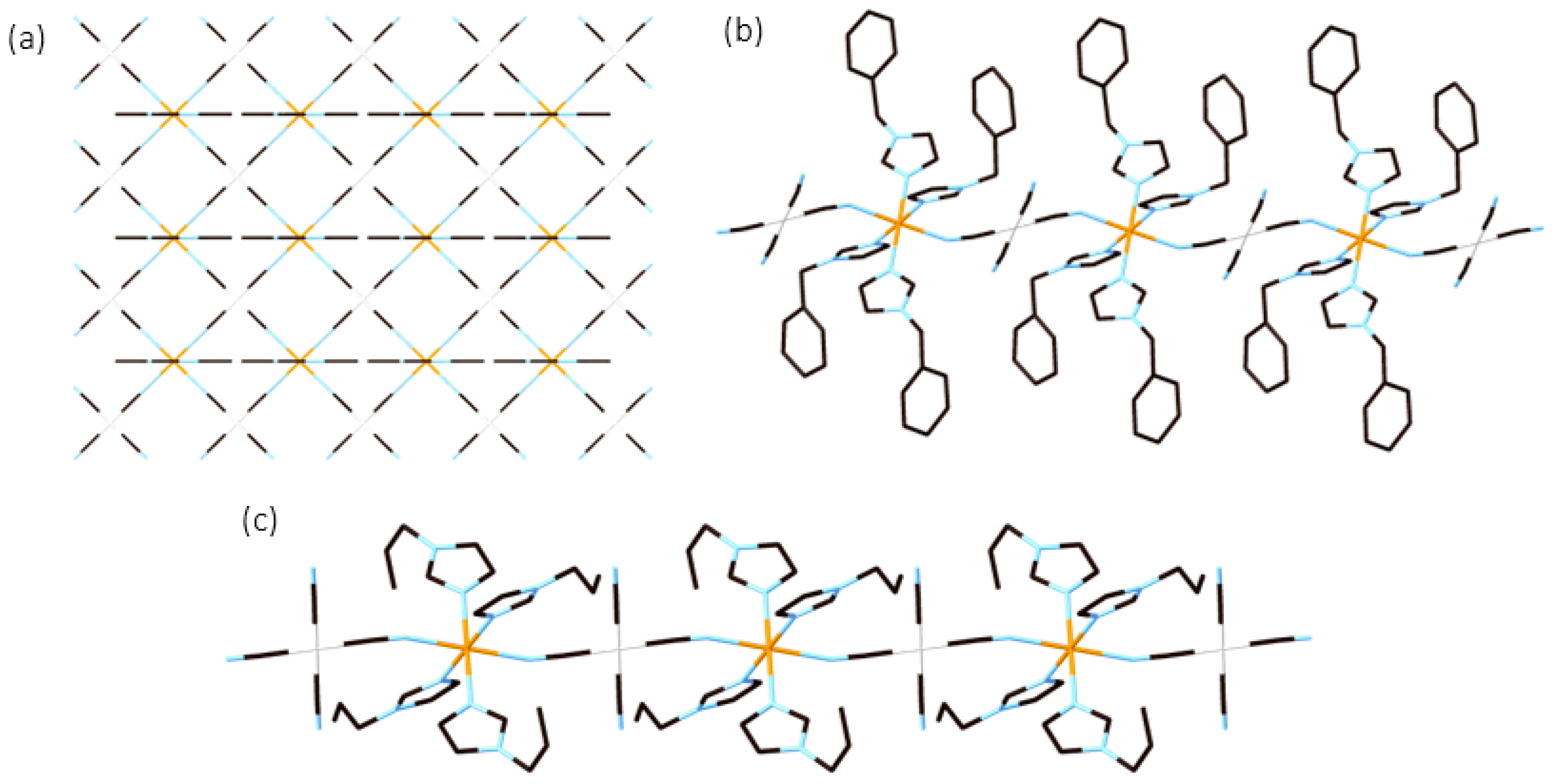
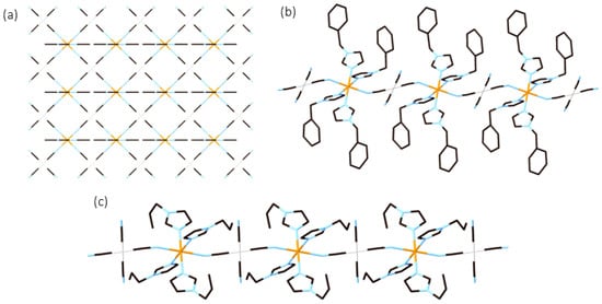
Compound 1 crystallized in the monoclinic centrosymmetric space group C2/m. The coordination structure of FeII(1-ethyl-imidazole)2[NiII(CN)4] consists of an octahedral Fe(II)-N6 coordination environment that lies on an inversion center (Figure 1a). The Fe and Ni atoms in a unit cell are located in the fcp positions. An octahedral Fe ion is coordinated with the [Ni(CN)4] square planar cyanometallate units at equatorial positions and monodentate 1-EtIm ligands at axial positions, which form a 2D square grid layer woven by infinite –Ni–C–N–Fe–N–C–Ni–chains (Figure 2a). The Fe–Fe separation in the inner chains is 10.392(5) Å. The diagonal distance between Fe(1)⋯Fe(1) in the square grid is 7.423(3) Å. The layers form the parallel stacking array of the traditional Hofmann-like structure (Figure 3a). The next closest Fe(1)⋯Fe(1) distance in the adjacent layers is 8.994(3) Å. The five-membered rings are displaced in parallel stacking. The closest distance between the ring is 3.660(3) Å (N(3)⋯N(3)). The layers are almost flat (angles for C(1)–N(1)–Fe(1) = 177.5(4), N(1)–C(1)–Ni(1) = 178.4(5), and N(1)–Fe(2)–N(1) = 180.0). The Fe–NIm bond lengths (average Fe–NIm distance = 2.152(3) Å) and Fe–NCN bond lengths (average Fe–NCN distance = 2.184(2) Å) correspond to the usual values for the 100% high-spin (HS) state of FeII.
Figure 1.
Coordination spheres of 1 (a), 2 (b), and 3 (c) containing an asymmetric unit. Hydrogen atoms are omitted for clarity. Other atom labels including symmetry-generated atoms are shown in Figure S2.
Figure 2.
Coordination networks of 1 (a), 2 (b), and 3 (c). Hydrogen atoms are omitted for clarity.
Figure 3.
View of crystal structures of 1 (a), 2 (b), and 3 (c). Hydrogen atoms are omitted for clarity. Blue dotted lines indicate C–H⋯NCN interactions between adjacent 1D coordination polymers.
3.1.2. Structure of Compound 2
Compound 2 crystallizes in the triclinic centrosymmetric space group P-1. The FeIIN6 coordination environment is formed with four 1-BzIm ligands and two [Ni(CN)4]2− units (Figure 1b). Fe(NIm)4(NCN)2 is in the transoid coordination geometry. The two CN substituents in [Ni(CN)4]2− act as bidentate ligands, which form infinite –Ni–C–N–Fe–N–C–Ni– chains. The Fe–Fe separation in the inner chains is 9.976(5) Å. The remaining two CN substituents act as monodentate ligands in which the N atoms are the non-coordinated site. Therefore, Fe[Ni(CN)4] consists of a zig-zag 1D chain structure (Figure 2b and Figure 3b) with the characteristic bending angle of C–N–Fe (angles for C(1)-N(1)-Fe(1) = 153.3(3)°). The closest Fe(1)⋯Fe(1) in the adjacent 1D chains is 9.436(5) Å. The Fe–NIm bond lengths (average Fe–NIm distance = 2.197(3) Å) and Fe–NCN bond lengths (average Fe–NCN distance = 2.161(9) Å) agree well with the usual values of FeN6 for FeII when 100% in the HS state. The aromatic rings of the imidazole and Bz substituent between adjacent chains are separate and displaced in a non-parallel array, which shows no close contact between the rings.
3.1.3. Structure of Compound 3
Compound 3 crystallizes in the triclinic centrosymmetric space group P-1 and has a coordination environment, Fe(NIm)4(NCN)2, that is similar to that of 2 (Figure 1c). It also forms the same zig-zag 1D chain structure (Figure 2c). The chains are less bent than those of 2 (angles for C(1)–N(1)–Fe(1) = 164.3(2)°). The Fe–Fe separation in the inner chains is 10.235(1) Å. Compared with 2, 3 has a shorter C–H⋯NCN contact between the free CN sites, and 3 has a terminal alkene of the allyl substituent (Figure 3c). The closest NCN⋯C distance is smaller than the sum of the van der Waals radii (N(2)⋯C(7) = 3.592(6)). This short contact is a strong interaction that extends the chains into a quasi-2D network. The other side of the free CN site engages in a much weaker interaction (N(2)⋯C(13) = 3.978(9)). In comparison with 2, the rings are displaced in a parallel stacking, with short contacts between the rings (N(4)⋯C(8) = 3.462(5) Å).
3.2. IR Spectra
The solid-state IR spectrum of 1 shows one strong peak (2153 cm−1) derived from the C≡N vibrational mode at room temperature (Figure S3) (see Supplementary Materials). The wavenumber of the CN band is higher than that of free [Ni(CN)4]2− (2121 cm−1). This result suggests that all of the CN groups of [Ni(CN)4]2− act as bridging ligands. The spectrum of 2 has two peaks (2139 and 2113 cm−1). These peaks indicate coexisting both bridging bidentate and monodentate ligands, which is consistent with the crystal structure. Compound 3 has three peaks (2158, 2141, and 2120 cm−1) in its spectrum. These three peaks correspond to the three different υ(C≡N) stretching vibrations due to their different coordination environments: a bidentate polymeric structure from –Ni–(C≡N)–Fe–(C≡N)–Ni–, a monodentate structure with a strong C–H⋯N interaction from C–H⋯N(2)≡C(7)–Ni–, and a monodentate structure with weak a C–H⋯N interaction from C–H⋯N(2)≡C(13)–Ni–.
4. Discussion
In compounds 1–3, no thermochromic change occurs via the SCO transition in the range of 300-77 K. In the solid-state UV/Vis reflectance spectra for 2, a broad reflectance band at 600 nm can be observed (Figure S4). This broad strong reflectance band is quite similar to that of Hofmann-like compounds in the HS state. The PXRD profiles for 1 at low temperature (100 K) and room temperature are almost identical (Figure S5). Therefore, crystal structures for 1–3 in the HS state only were discussed.
The traditional 2D Hofmann-like structures Fe(L)2[Ni(CN)4] produced using pyridine derivatives (L) have been widely reported. Reports on those produced using imidazole derivatives are relatively scarce. In traditional 2D SCO Hofmann-like structures, the Fe–Npy bond is usually longer than that of the CN substituent. However, in 1, the Fe–NIm bond is apparently shorter than the Fe–NCN bond. This trend is also observed for the other imidazole 2D analogue (L = imidazole; average of Fe–NIm = 2.145(4) Å and Fe–NCN = 2.186(2) Å). The reason for the opposite bonding of the imidazole and pyridine derivatives is likely the difference in the negative charge at the N coordination site. Notably, imidazole is a stronger Lewis base than pyridine. We previously reported a closely related structure obtained using methyl-imidazole, Fe(1-MethylIm)2[Ni(CN)4] (4) [22]. The crystal structure of 1 produced using the ethyl-imidazole ligand is quite similar in terms of 2D layer structure to 4. In 4, anisotropic TE was observed. Therefore, we also confirmed the thermal expansion behavior of 1 using the variable-temperature PXRD profiles in cooling mode (Figure S6). The reflection with Miller indices (001) is shown in Figure S7a. The (001) peak shifts decrease in angle with decreasing temperature. The cell parameters between 100 and 300 K indicate that the characteristic anisotropic TE appeared (Figure S7b). Therefore, the NTE appeared along the c-axis. This finding shows that the motion between shrinking and expanding in the rhombus mesh Fe[Ni(CN)4] network was the fence effect (Figure S8).
The interlayer distance for 1 is 8.0219 Å, which is larger than that of 4 (7.7613 Å). Therefore, the adjacent imidazole rings from the upper/lower layers are far from each other. The centroid distance between the adjacent imidazole rings for 1 is 6.1637(12) Å (centroid distance for 4 = 4.1172(8) Å). The interlayer distance along the vertical axis to the layer expands. This expansion is due to the different steric effects of the methyl and ethyl substituents, which overcome the weak interaction between the layers. Compound 4 displays a steep spin conversion with a wide hysteresis loop (ca. 35 K), whereas 1 is maintained in the HS state. The reason for the stable HS state of 1 is the distortion of Fe–N coordination compared with that of 4 (Σ|90°−θ| = 6.716° and Σ|60°−θ| = 9.586)). In addition, the six Fe–N bond lengths for 4 are even (Fe–NIm = 2.173(3) and Fe–NCN = 2.173(2)), and these bonds strongly destabilize the HS state.
Compounds 2 and 3 are characterized by a 1D chain structure with Fe(NIm)4(NCN)2. The FeN6 bond angles for 2 and 3 are more distorted (distortion parameter Σ|90° − θ| (°) calculated using the sum of |90°θ| for the 12 cis-N–Fe–N angles (θ) in the octahedron: 26.033° (2), 17.232° (3), and Σ|60° − θ| (°); calculated using the sum of |60° − θ| for the 24 cis-N–Fe–N angles (θ) in the octahedron: 35.40° (2), 38.624° (3)) than those of 1 (Σ|90° − θ| = 15.48° and Σ|60° − θ| (°) = 19.21). In general, in the FeN6 octahedral coordination, the Fe(II) coordination in the HS state is more distorted than in the LS state. Considering these structural results, the cyano-bridged 2D coordination network suppresses the distortion of the octahedral Fe(II)-N6 coordination in the HS state. Additionally, the 1D chain structure is released from half of the cyano-bridged constriction. Therefore, the self-assembling process into a 1D or 2D structure is determined by the competition between the lattice energy of the 2D structure and its distortion. The energy of the 2D structure contributes to the steric effect of the bulkiness and rigidity of the substituent, which determine the 1D and 2D selectivity in the self-assembly process. To the best of our knowledge, only one example of a cyano-bridged 1D chain structure with Fe(Nligand)4(NCN)2 coordination, Fe(1,10-phen)2[Ni(CN)4] (5), has been reported [28]. Compound 5 also exists in the HS state in the range of 2-300 K. This stable HS state indicates that the Fe(Nligand)4(NCN)2 coordination involves weaker ligand field splitting Δo than the 2D Hofmann-like SCO layer structure with Fe(Nligand)2(NCN)4 coordination. The CN ligand has much stronger field strength than pyridine derivatives owing to the Fe–NCN distance being shorter than the Fe-Npy distance.
The TGA of 1 shows the decomposition of two 1-EtIm molecules for the first weight loss and four CNs for the second weight loss (Figure S9a). This thermal behavior, indicating the decomposition of two 1-EtIm and four CN ligands, is similar to that of traditional 2D Hofmann-like structures. For compound 2, the TGA data show the decomposition of three 1-BzIm molecules for the first weight loss (Figure S9b). The phase after the first decomposition, which is formulated as Fe(1-BzIm)[Ni(CN)4], shows high thermal stability until the temperature reaches ca. 280 °C. Then, the curves correspond to one 1-BzIm molecule for the second weight loss and two CN ligands for the third weight loss. For compound 3, the TGA data also show the decomposition of three 1-AlIm molecules for the first weight loss (Figure S9c). However, the phase after the first decomposition is relatively less stable compared with that of 2. Then, the curves correspond to one 1-AlIm molecule for the second weight loss and two CN ligands for the third weight loss. For compounds 2 and 3, two CN substituents remained at least until 500 °C. This thermal stability for 2 and 3 is unusual for 2D Hofmann-like compounds such as compound 1.
5. Conclusions
New 1D and 2D coordination polymers were synthesized using imidazole derivative ligands 1-EtIm, 1-BzIm, and 1-AlIm. These structures of the complexes were characterized using SCXRD. These structural properties were studied using techniques such as powder XRD, IR, and TGA. The structure of 1 consists of the Fe(Nlignad)2(NCN)4 coordination, which constructs a cyano-bridged 2D layer. Compounds 2 and 3 have the Fe(Nlignad)4(NCN)2 coordination, constructing a 1D chain structure. For compound 3, the adjacent 1D chains are connected with a C–H⋯N interaction to extend a 2D supramolecular network. In compound 1, NTE behavior due to its 2D cyano-bridged network was observed. In terms of the difference among dimensionalities for cyano-bridged coordination networks, we will continue our studies to obtain deeper insights into these NTE and SCO behaviors, focusing on more synthesis products related to 1D and 2D Hofmann-like compounds.
Supplementary Materials
The following supporting information can be downloaded at: https://www.mdpi.com/article/10.3390/cryst13121658/s1. Figure S1: X-ray powder diffraction data of 1–3 (black line: calculation, red line: experiment). In 3, the inset shows the enlargement of the peaks. The blue arrows indicate the presence of the impurities.; Figure S2: Coordination spheres of 1 (a), 2 (b) and 3 (c) containing its asymmetric unit. In these pictures, hydrogen atoms are omitted for clarity. Symmetry generated atoms are represented as (‘). Symmetry generated atoms are operated by ‘−x, y, −z’, ‘x + 1/2, y + 1/2, z’, ‘−x + 1/2, y + 1/2, −z’, ‘−x, −y, −z’, ‘x, −y, z’, ‘−x + 1/2, −y + 1/2, −z’, ‘x + 1/2, −y + 1/2, z’ for 1 and ‘−x, −y, −z’ for 2 and 3; Figure S3: IR spectra for 1 (black), 2 (red) and 3 (blue); Figure S4: The solid-state UV/Vis reflectance spectra for 1; Figure S5: (a) X-ray Powder diffraction for 1 at 100 K and 300 K (experimental data: black line, simulation data (300 K): red line). (b) An enlargement of the (111) peaks; Figure S6: Variable temperature XRPD profiles of 1; Figure S7: (a) An enlargement of the (001) peaks at 100 and 300 K. (b) Temperature vs. relative changing cell parameters (%) to those at 100 K for 1 in a (black), b (red) and c (blue) axis; Figure S8: Schematic representation of the motion between shrinking and expanding in rhombus mesh Fe[Ni(CN)4] network; Figure S9: Thermogravimetric analysis for 1 (a), 2 (b) and 3 (c) was carried under nitrogen atmosphere at a heating rate of 5 K/min; Table S1: Crystal data and structure refinement for compounds 1–3. Table S2: Selected bond lengths and angles for 1–3. crystallographic data are available online.
Author Contributions
Data curation, R.K.; formal analysis, T.K. (Takeshi Kawasaki) and K.K.; investigation, R.K. and T.K. (Takashi Kosone); project administration, T.K. (Takashi Kosone). All authors have read and agreed to the published version of the manuscript.
Funding
This study was financially supported by KAKENHI (JSPS/23K04605) and the Takahashi Industrial and Economic Research Foundation.
Data Availability Statement
Data are contained within the article and Supplementary Materials.
Conflicts of Interest
The authors declare no conflict of interest.
References
- Martí-Rujas, J. Connecting metal–organic cages (MOCs) for CO2 remediation. Mater. Adv. 2023, 4, 4333–4343. [Google Scholar] [CrossRef]
- Domoto, Y.; Fujita, M. Self-assembly of nanostructures with high complexity based on metal⋯unsaturated-bond coordination. Coord. Chem. Rev. 2022, 466, 214605. [Google Scholar] [CrossRef]
- Torresi, S.; Famulari, A.; Marti-Rujas, J. Kinetically Controlled Fast Crystallization of M(12)L(8) Poly-[n]-catenanes Using the 2,4,6-Tris(4-pyridyl)benzene Ligand and ZnCl(2) in an Aromatic Environment. J. Am. Chem. Soc. 2020, 142, 9537–9543. [Google Scholar] [CrossRef] [PubMed]
- Carne-Sanchez, A.; Craig, G.A.; Larpent, P.; Hirose, T.; Higuchi, M.; Kitagawa, S.; Matsuda, K.; Urayama, K.; Furukawa, S. Self-assembly of metal-organic polyhedra into supramolecular polymers with intrinsic microporosity. Nat. Commun. 2018, 9, 2506. [Google Scholar] [CrossRef] [PubMed]
- Hammet, L.P. The Effect of Structure upon the Reactions of Organic Compounds. Benzene Derivatives. J. Am. Chem. Soc. 1937, 59, 96–103. [Google Scholar] [CrossRef]
- Ariga, K.; Hill, J.P.; Lee, M.V.; Vinu, A.; Charvet, R.; Acharya, S. Challenges and breakthroughs in recent research on self-assembly. Sci. Technol. Adv. Mater. 2008, 9, 014109. [Google Scholar] [CrossRef] [PubMed]
- Yamauchi, Y.; Yoshizawa, M.; Fujita, M. Engineering Stacks of Aromatic Rings by the Interpenetration of Self-Assembled Coordination Cages. J. Am. Chem. Soc. 2008, 130, 5832–5833. [Google Scholar] [CrossRef]
- Furukawa, H.; Cordova, K.E.; O’Keeffe, M.; Yaghi, O.M. The chemistry and applications of metal-organic frameworks. Science 2013, 341, 1230444. [Google Scholar] [CrossRef]
- Hofmann, K.A.; Küspert, F. Verbindungen von Kohlenwasserstoffen mit Metallsalzen. Z. Anorg. Chem. 1897, 15, 204–207. [Google Scholar] [CrossRef]
- Gütlich, P.; Garcia, Y.; Goodwin, H.A. Spin crossover phenomena in Fe(ii) complexesDedicated to Professor F. A. Cotton on occasion of his 70th birthday. Chem. Soc. Rev. 2000, 29, 419–427. [Google Scholar] [CrossRef]
- Kitazawa, T.; Gomi, Y.; Takahashi, M.; Takeda, M.; Enomoto, M.; Miyazaki, A.; Enoki, T. Spin-crossover behaviour of the coordination polymer FeII(C5H5N)2NiII(CN)4. J. Mater. Chem. 1996, 6, 119–121. [Google Scholar] [CrossRef]
- Niel, V.; Martinez-Agudo, J.M.; Munoz, M.C.; Gaspar, A.B.; Real, J.A. Cooperative spin crossover behavior in cyanide-bridged Fe(II)-M(II) bimetallic 3D Hofmann-like networks (M = Ni, Pd, and Pt). Inorg. Chem. 2001, 40, 3838–3839. [Google Scholar] [CrossRef] [PubMed]
- Real, J.A.; Gaspar, A.B.; Niel, V.; Munoz, M.C. Communication between iron(II) building blocks in cooperative spin transition phenomena. Coord. Chem. Rev. 2003, 236, 121–141. [Google Scholar] [CrossRef]
- Muñoz, M.C.; Real, J.A. Thermo-, piezo-, photo- and chemo-switchable spin crossover iron(II)-metallocyanate based coordination polymers. Coord. Chem. Rev. 2011, 255, 2068–2093. [Google Scholar] [CrossRef]
- Ni, Z.-P.; Liu, J.-L.; Hoque, M.N.; Liu, W.; Li, J.-Y.; Chen, Y.-C.; Tong, M.-L. Recent advances in guest effects on spin-crossover behavior in Hofmann-type metal-organic frameworks. Coord. Chem. Rev. 2017, 335, 28–43. [Google Scholar] [CrossRef]
- Otsubo, K.; Haraguchi, T.; Kitagawa, H. Nanoscale crystalline architectures of Hofmann-type metal–organic frameworks. Coord. Chem. Rev. 2017, 346, 123–138. [Google Scholar] [CrossRef]
- Kucheriv, O.I.; Fritsky, I.O.; Il’ya, A. Spin crossover in FeII cyanometallic frameworks. Inorg. Chim. Acta 2021, 521, 120303. [Google Scholar] [CrossRef]
- Ohtani, R.; Yanagisawa, J.; Matsunari, H.; Ohba, M.; Lindoy, L.F.; Hayami, S. Homo- and Heterosolvent Modifications of Hofmann-Type Flexible Two-Dimensional Layers for Colossal Interlayer Thermal Expansions. Inorg. Chem. 2019, 58, 12739–12747. [Google Scholar] [CrossRef]
- Ohtani, R.; Matsunari, H.; Yamamoto, T.; Kimoto, K.; Isobe, M.; Fujii, K.; Yashima, M.; Fujii, S.; Kuwabara, A.; Hijikata, Y.; et al. Responsive Four-Coordinate Iron(II) Nodes in FePd(CN)(4). Angew. Chem. Int. Ed. 2020, 59, 19254–19259. [Google Scholar] [CrossRef]
- Shepherd, H.J.; Gural’skiy, I.A.; Quintero, C.M.; Tricard, S.; Salmon, L.; Molnar, G.; Bousseksou, A. Molecular actuators driven by cooperative spin-state switching. Nat. Commun. 2013, 4, 2607. [Google Scholar] [CrossRef]
- Gural’skiy, I.Y.A.; Golub, B.O.; Shylin, S.I.; Ksenofontov, V.; Shepherd, H.J.; Raithby, P.R.; Tremel, W.; Fritsky, I.O. Cooperative High-Temperature Spin Crossover Accompanied by a Highly Anisotropic Structural Distortion. Eur. J. Inorg. Chem. 2016, 2016, 3191–3195. [Google Scholar] [CrossRef]
- Chapman, K.W.; Chupas, P.J.; Kepert, C.J. Direct Observation of a Transverse Vibrational Mechanism for Negative Thermal Expansion in Zn(CN)2: An Atomic Pair Distribution Function Analysis. J. Am. Chem. Soc. 2005, 127, 15630–15636. [Google Scholar] [CrossRef]
- Kuzevanova, I.S.; Kucheriv, O.I.; Hiiuk, V.M.; Naumova, D.D.; Shova, S.; Shylin, S.I.; Kotsyubynsky, V.O.; Rotaru, A.; Fritsky, I.O.; Gural’skiy, I.A. Spin crossover in iron (II) Hofmann clathrates analogues with 1, 2, 3-triazole. Dalton Trans. 2021, 50, 9250–9258. [Google Scholar] [CrossRef] [PubMed]
- Kosone, T.; Kosuge, R.; Tanaka, M.; Kawasaki, T.; Adachi, N. New family of Hofmann-like coordination polymers constructed with imidazole ligands and associated with spin crossover and anisotropic thermal expansions. New J. Chem. 2022, 46, 10540–10544. [Google Scholar] [CrossRef]
- Kitazawa, T.; Eguchi, M.; Takeda, M. Crystal Structures of Two-Dimensional Coordination Polymer Fe(Methylpyridine)2Ni(CN)4. Mol. Cryst. Liq. Cryst. 2006, 341, 527–532. [Google Scholar] [CrossRef]
- Sheldrick, G.M. SADABS, Program for Empirical Absorption Correction for Area Detector Data; University of Göttingen: Göttingen, Germany, 1996. [Google Scholar]
- Sheldrick, G.M. A short history of SHELX. Acta Crystallogr. Sect. A Found. Crystallogr. 2008, 64, 112–122. [Google Scholar] [CrossRef] [PubMed]
- Cui, S.; Zhu, B.; Zhang, X.; Xiang, S.; He, P.; Yin, Q.; Zuo, M.; Xu, B. Syntheses, crystal structures and magnetic properties of two new cyano-bridged bimetallic complexes. Transit. Met. Chem. 2021, 46, 345–351. [Google Scholar] [CrossRef]
Disclaimer/Publisher’s Note: The statements, opinions and data contained in all publications are solely those of the individual author(s) and contributor(s) and not of MDPI and/or the editor(s). MDPI and/or the editor(s) disclaim responsibility for any injury to people or property resulting from any ideas, methods, instructions or products referred to in the content. |
© 2023 by the authors. Licensee MDPI, Basel, Switzerland. This article is an open access article distributed under the terms and conditions of the Creative Commons Attribution (CC BY) license (https://creativecommons.org/licenses/by/4.0/).



