Effect of Sn Addition on the Microstructure and Age-Hardening Response of a Zn-4Cu Alloy
Abstract
1. Introduction
2. Materials and Methods
2.1. Materials
2.2. Microstructure Characterization
2.3. Microhardness Tests
3. Results and Discussion
4. Conclusions
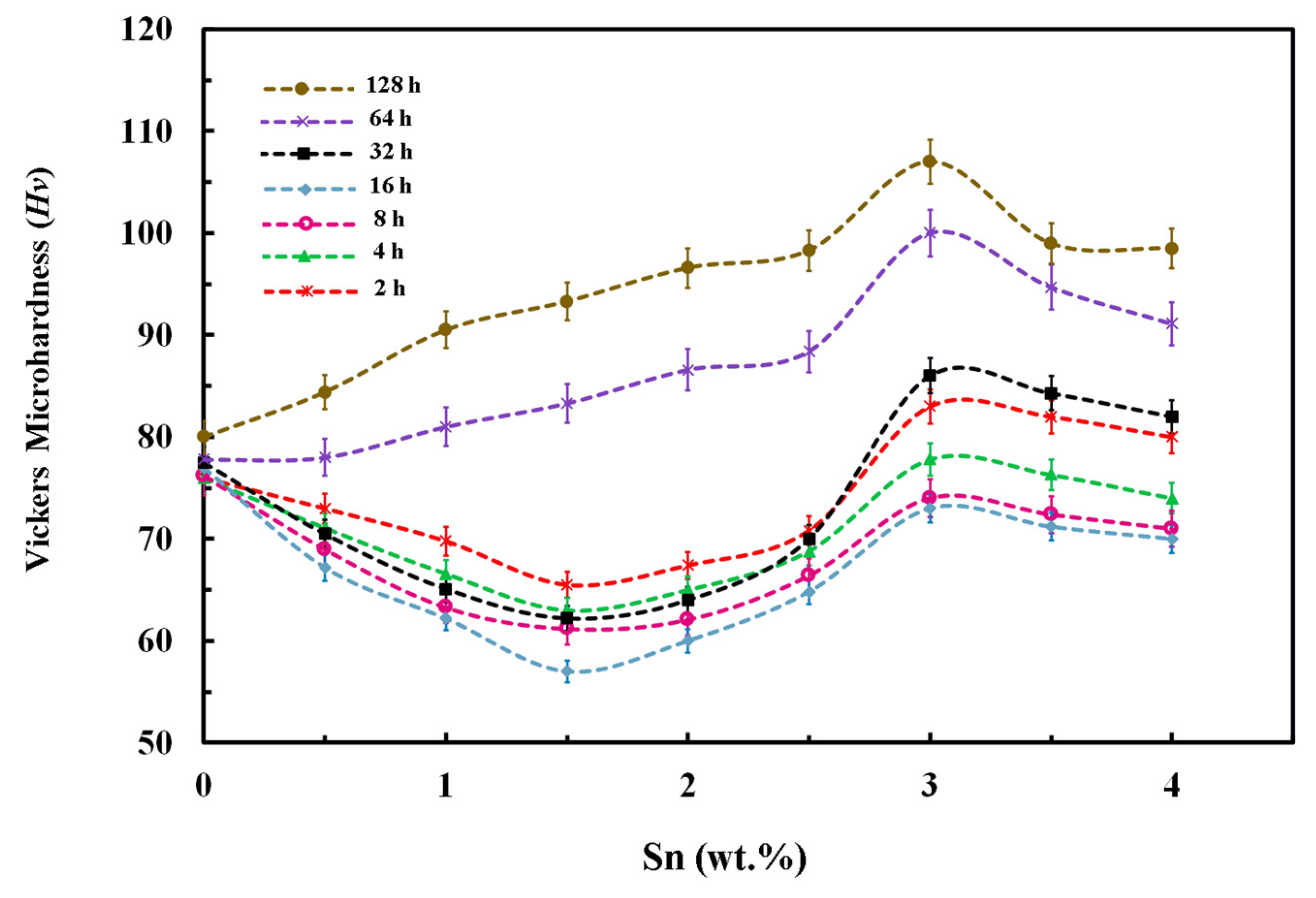
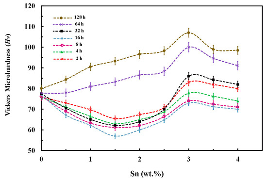
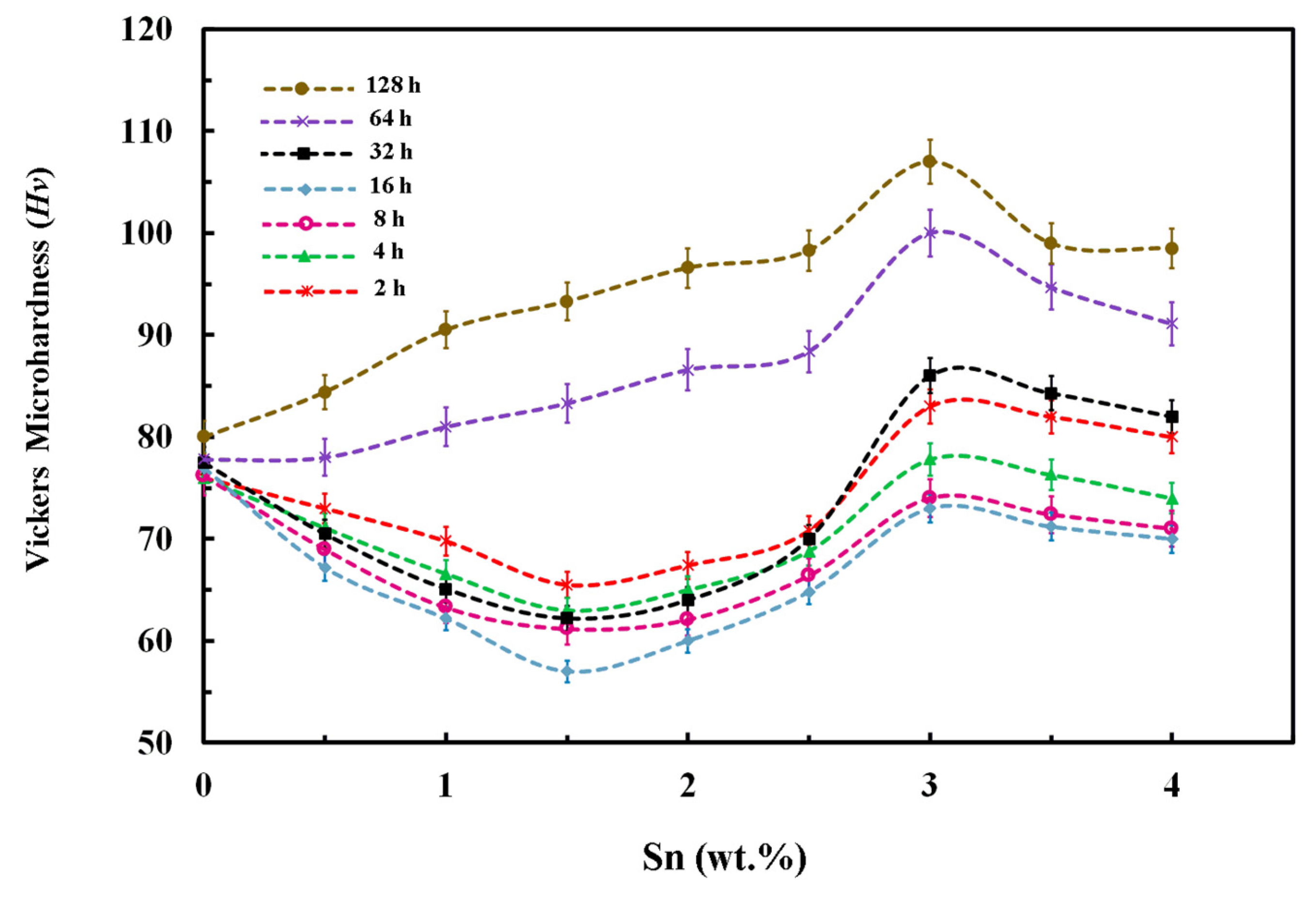
- The microhardness of the Zn-4Cu (ZC) binary alloy increases slightly from 76 to 80 HV as the aging time increases from 2 to 128 h, respectively;
- All Sn-containing alloys first exhibit a decrease in microhardness with increasing aging time up to 16 h, but the trend is then reversed;
- The lowest hardness belongs to the ZC-1.5Sn alloy and the highest to ZC-3.0 alloy, with the remaining alloys lying in between;
- The variations in the age-hardening response with increasing aging time and Sn content were determined based on the structural transformations that take place in the alloys;
- The behavior of the lattice parameters, a, c, and the c/a ratio, as well as the unit cell volume V for the α-Zn matrix, with the aging time for all the investigated alloys, is compatible with the trend of microhardness behavior.
Author Contributions
Funding
Data Availability Statement
Conflicts of Interest
References
- Ramirez-Ledesma, A.L.; Roncagliolo-Barrera, P.; Alvarez-Perez, M.A.; Juarez-Islas, J.A.; Paternoster, C.; Copes, F.; Mantovani, D. Introducing novel bioabsorbable Zn–Ag–Mg alloys intended for cardiovascular applications. Mater. Today Commun. 2023, 35, 105544. [Google Scholar] [CrossRef]
- Mollaei, N.; Razavi, S.H.; Aboutalebi, M.R.; Fatemi, S.M. Effect of Mn addition on the microstructure, mechanical, and corrosion properties of an extruded biodegradable Zn–0.2Mg alloy. J. Mater. Sci. Technol. 2023, 22, 1983–1998. [Google Scholar] [CrossRef]
- Li, S.; Wang, X.; Ren, J.; Liu, C.; Hu, Y.; Yang, Y. Microstructure, mechanical property and corrosion behavior of biomedical Zn–Fe alloy prepared by low-temperature sintering. J. Alloys Compd. 2023, 934, 167812. [Google Scholar] [CrossRef]
- An, F.; Ma, Z.; Sun, K.; Zhang, L.; Joo, S.; Ning, J.; Yu, H. Influences of the Ag content on microstructures and properties of Zne3MgexAg alloy by spark plasma sintering. J. Mater. Sci. Technol. 2023, 24, 595–607. [Google Scholar]
- Li, H.F.; Xie, X.H.; Zheng, Y.F.; Cong, Y.; Zhou, F.Y.; Qiu, K.J.; Wang, X.; Chen, S.H.; Huang, L.; Tian, L.; et al. Development of biodegradable Zn-1X binary alloys with nutrient alloying elements Mg, Ca and Sr. Sci. Rep. 2015, 5, 10719. [Google Scholar] [CrossRef]
- Gong, H.; Wang, K.; Strich, R.; Zhou, J.G. In vitro biodegradation behavior, mechanical properties, and cytotoxicity of biodegradable Zn–Mg alloy. J. Biomed. Mater. Res. Part B Appl. Biomater. 2015, 103, 1632–1640. [Google Scholar] [CrossRef]
- Kafri, A.; Ovadia, S.; Yosafovichdoitch, G.; Aghion, E. In vivo performances of pure Zn and Zn–Fe alloy as biodegradable implants. J. Mater. Sci. Mater. Med. 2018, 29, 94. [Google Scholar] [CrossRef] [PubMed]
- Li, P.; Schille, C.; Schweizer, E.; Rupp, F.; Heiss, A.; Legner, C.; Scheideler, L. Mechanical characteristics, in vitro degradation, cytotoxicity, and antibacterial evaluation of Zn–4.0Ag alloy as a biodegradable material. Int. J. Mol. Sci. 2018, 19, 755. [Google Scholar] [CrossRef]
- Zou, Y.L.; Chen, X.; Chen, B. Effects of Ca concentration on degradation behavior of Zn–x Ca alloys in Hanks’ solution. Mater. Lett. 2018, 218, 193–196. [Google Scholar] [CrossRef]
- Shi, Z.Z.; Yu, J.; Liu, X.F. Microalloyed Zn–Mn alloys: From extremely brittle to extraordinarily ductile at room temperature. Mater. Des. 2018, 144, 343–352. [Google Scholar] [CrossRef]
- Xiao, L.R.; Zhang, X.M.; Wang, Y.; Li, W.; Sun, Q.S.; Geng, Z.J. High temperature creep behavior of Zn-1.0Cu-0.2Ti alloy. Adv. Mater. Res. 2011, 287, 769–776. [Google Scholar] [CrossRef]
- Wang, K.; Tong, X.; Lin, J.X.; Wei, A.P.; Li, Y.C.; Dargusch, M.; Wen, C.E. Binary Zn–Ti alloys for orthopedic applications: Corrosion and degradation behaviors, friction and wear performance, and cytotoxicity. J. Mater. Sci. Technol. 2021, 74, 216–229. [Google Scholar] [CrossRef]
- Zhao, S.; Seitz, J.M.; Eifler, R.; Maier, H.J.; Guillory, R.J., II; Earley, E.J.; Drelich, A.; Goldman, J.; Drelich, J.W. Zn–Li alloy after extrusion and drawing: Structural, mechanical characterization, and biodegradation in abdominal aorta of rat. Mater. Sci. Eng. C 2017, 76, 301–312. [Google Scholar] [CrossRef]
- Tong, X.; Zhang, D.C.; Lin, J.X.; Dai, Y.L.; Luan, Y.N.; Sun, Q.X.; Shi, Z.M.; Wang, K.; Gao, Y.; Lin, J.G.; et al. Development of biodegradable Zn–1Mg–0.1RE (RE = Er, Dy, and Ho) alloys for biomedical applications. Acta Biomater. 2020, 117, 384–399. [Google Scholar] [CrossRef]
- Chen, Q.; Thouas, G.A. Metallic implant biomaterials. Mater. Sci. Eng. R. 2015, 87, 1–57. [Google Scholar] [CrossRef]
- Tang, Z.; Huang, H.; Niu, J.; Zhang, L.; Zhang, H.; Pei, J.; Tan, J.; Yuan, G. Design and characterizations of novel biodegradable Zn-Cu-Mg alloys for potential biodegradable implants. Mater. Des. 2017, 117, 84–94. [Google Scholar] [CrossRef]
- Huang, S.; Liu, H.; Su, Y.; Qiao, L.; Yan, Y. Significant influence of trace Li on the mechanical properties, corrosion behavior, and antibacterial properties of biodegradable Zn–4Cu alloys. J. Mater. Sci. Technol. 2023, 151, 245–257. [Google Scholar] [CrossRef]
- Mostaed, E.; Ardakani, M.S.; Sikora-Jasinska, M.; Drelich, J.W. Precipitation induced room temperature superplasticity in Zn-Cu alloys. Mater. Lett. 2019, 244, 203–206. [Google Scholar] [CrossRef]
- Huang, J.; Lai, Y.; Jin, H.; Guo, H.; Ai, F.; Xing, Q.; Yang, X.; Ross, D.J. Preparation and properties of Zn-Cu alloy for potential stent material. J. Mater. Eng. Perform. 2020, 29, 6484–6493. [Google Scholar] [CrossRef]
- Yue, R.; Huang, H.; Ke, G.; Zhang, H.; Pei, J.; Xue, G.; Yuan, G. Microstructure, mechanical properties and in vitro degradation behavior of novel Zn-Cu-Fe alloys. Mater. Char. 2017, 134, 114–122. [Google Scholar] [CrossRef]
- Tang, Z.; Niu, J.; Huang, H.; Zhang, H.; Pei, J.; Ou, J.; Yuan, G. Potential biodegradable Zn-Cu binary alloys developed for cardiovascular implant applications. J. Mech. Behav. Biomed. Mater. 2017, 72, 182–191. [Google Scholar] [CrossRef] [PubMed]
- Niu, J.; Tang, Z.; Huang, H.; Pei, J.; Zhang, H.; Yuan, G.; Ding, W. Research on a Zn-Cu alloy as a biodegradable material for potential vascular stents application. Mater. Sci. Eng. C 2016, 69, 407–413. [Google Scholar] [CrossRef]
- Qian, Y.; Yuan, G.Y. Research status, challenges, and countermeasures of biodegradable zinc-based vascular stents. Acta Metall. Sin. 2021, 57, 272–282. [Google Scholar]
- Mostaed, E.; Sikora-Jasinska, M.; Drelich, M.; Vedani, J.W. Zinc-based alloys for degradable vascular stent applications. Acta Biomater. 2018, 71, 1–23. [Google Scholar] [CrossRef]
- Abou El-Khair, M.T.; Daoud, A.; Ismail, A. Effect of different Al contents on the microstructure, tensile and wear properties of Zn-based alloy. Mater. Lett. 2004, 58, 1754–1760. [Google Scholar] [CrossRef]
- Porter, F. Zinc Handbook: Properties, Processing, and Use in Design; CRC Press: New York, NY, USA, 1991. [Google Scholar]
- Liu, H.; Ye, L.; Ren, K.; Sun, C.; Zhuo, X.; Yan, K.; Ju, J.; Jiang, J.; Xue, F.; Bai, J. Evolutions of CuZn5 and Mg2Zn11 phases during ECAP and their impact on mechanical properties of Zn-Cu-Mg alloys. J. Mater. Sci. Technol. 2022, 21, 5032–5044. [Google Scholar] [CrossRef]
- Zhang, L.; Liu, X.Y.; Huang, H.; Zhan, W. Effects of Ti on microstructure, mechanical properties and biodegradation behavior of Zn-Cu alloy. Mater. Lett. 2022, 244, 119–122. [Google Scholar] [CrossRef]
- Lin, J.; Tong, X.; Wang, K.; Shi, Z.; Li, Y.; Dargusch, M.; Wen, C. Biodegradable Zn–3Cu and Zn–3Cu–0.2Ti alloys with ultrahigh ductility and antibacterial ability for orthopedic applications. J. Mater. Sci. Technol. 2021, 68, 76–90. [Google Scholar] [CrossRef]
- Wang, H.; Zhang, Y.; Wang, C.; Cao, S.; Bai, W.; Wu, C.; Qian, J. Effect of Al content on microstructure and properties of Zn–Cu–Al alloy. IOP Conf. Ser. Mater. Sci. Eng. 2019, 746, 012018. [Google Scholar] [CrossRef]
- Su, Y.; Lin, X.; Meng, W.; Huang, W. Phase and microstructure pattern selection of Zn-rich Zn–Cu peritectic alloys during laser surface remelting. J. Mater. Sci. 2021, 56, 14314–14332. [Google Scholar] [CrossRef]
- Kejzlar, P.; Machuta, J.; Nová, I. Comparison of the structure of CuZn40MnAl alloy casted into sand and metal moulds. Manuf. Technol. 2017, 17, 44–48. [Google Scholar] [CrossRef]
- Kattner, U.; Massalski, T.B. Binary Alloy Phase Diagrams; ASM International: Material Park, OH, USA, 1990; p. 148. [Google Scholar]
- Abdelaziz, S.M.; Lebda, H.I.; Abd El-Rehim, A.F.; Habashy, D.M. Modeling and experimental investigation of indentation creep behavior of hypoeutectic Sn–Bi and Sn–Bi–Sb2O3 alloys using genetic programming approach. Phys. Scr. 2023, 98, 065912. [Google Scholar] [CrossRef]
- Abd El-Rehim, A.F.; Habashy, D.M.; Zahran, H.Y.; Soliman, H.N. Mathematical modelling of vickers hardness of Sn–9Zn–Cu solder alloys using an artificial neural network. Met. Mater. Int. 2021, 27, 4084–4096. [Google Scholar] [CrossRef]
- Liu, L.; Zhu, J.B.; Zhang, C.; Li, J.C.; Jiang, Q. Microstructure and the properties of FeCoCuNiSnx high entropy alloys. Mater. Sci. Eng. A 2012, 548, 64–68. [Google Scholar] [CrossRef]
- Hu, J.; Yin, F.; Zhao, M.; Ouyang, X. Experimental investigation and thermodynamic calculation of the Co–Sn–Zn ternary system. J. Alloys Compds. 2018, 747, 815–825. [Google Scholar] [CrossRef]
- Sharma, A.; Lee, H.; Ahn, B. Tailoring compressive strength and absorption energy of lightweight multi-phase AlCuSiFeX (X = Cr, Mn, Zn, Sn) high-entropy alloys processed via powder metallurgy. Materials 2021, 14, 4945. [Google Scholar] [CrossRef]
- Takahashi, T.; Komatsu, S.; Nishikawa, H.; Takemoto, T. Improvement of high-temperature performance of Zn–Sn solder joint. J. Electron. Mater. 2010, 39, 1241–1247. [Google Scholar] [CrossRef]
- Li, Q.; Chan, Y.C.; Zhang, K.; Yung, K.C. Study of microstructure evolution in novel Sn–Zn/Cu bi-layer and Cu/Sn–Zn/Cu sandwich structures with nanoscale thickness for 3D packaging interconnection. Microelectron. Eng. 2014, 122, 52–58. [Google Scholar] [CrossRef]
- Mahmudi, R.; Eslami, M. Impression creep behavior of Zn–Sn high-temperature lead-free solders. J. Electron. Mater. 2010, 39, 2495–2502. [Google Scholar] [CrossRef]
- Tian, X.; Zhao, Y.; Gu, T.; Guo, Y.; Xu, F.; Hou, H. Cooperative effect of strength and ductility processed by thermomechanical treatment for Cu–Al–Ni alloy. Mat. Sci. Eng. A 2022, 849, 143485. [Google Scholar] [CrossRef]
- Guo, Q.; Hou, H.; Pan, Y.; Pei, X.; Song, Z.; Liaw, P.K.; Zhao, Y. Hardening-softening of Al0.3CoCrFeNi high-entropy alloy under nanoindentation. Mater. Des. 2023, 231, 112050. [Google Scholar] [CrossRef]
- Pstruś, J. Early stages of wetting of copper by Sn–Zn eutectic alloy. J. Mater. Sci. Mater. Electron. 2018, 29, 20531–20545. [Google Scholar] [CrossRef]
- Lee, C.S.; Shieu, F.S. Growth of intermetallic compounds in the Sn–9Zn/Cu joint. J. Electron. Mater. 2006, 35, 1660–1664. [Google Scholar] [CrossRef][Green Version]
- Mayappan, R.; Ahmad, Z.A. Effect of Bi addition on the activation energy for the growth of Cu5Zn8 intermetallic in the Sn–Zn lead-free solder. Intermetallics 2010, 18, 730–735. [Google Scholar] [CrossRef]
- Wei, Y.; Liu, Y.; Zhao, X.; Tan, C.; Dong, Y.; Zhang, J. Effects of minor alloying with Ge and in on the interfacial microstructure between Zn–Sn solder alloy and Cu substrate. J. Alloys Compds. 2020, 831, 154812. [Google Scholar] [CrossRef]
- Shen, J.; Pu, Y.; Yin, H.; Luo, D.; Chen, J. Effects of minor Cu and Zn additions on the thermal, microstructure and tensile properties of Sn–Bi-based solder alloys. J. Alloys Compds. 2014, 614, 63–70. [Google Scholar] [CrossRef]
- Hamada, N.; Uesugi, T.; Takigawa, Y.; Higashi, K. Effect of addition of small amount of zinc on microstructural evolution and thermal shock behavior in low-Ag Sn–Ag–Cu solder joints during thermal cycling. Mater. Trans. 2013, 54, 796–805. [Google Scholar] [CrossRef]
- Li, J.F.; Mannan, S.H.; Clode, M.P.; Whalley, D.C.; Hutt, D.A. Interfacial reactions between molten Sn–Bi–X solders and cu substrates for liquid solder interconnects. Acta Mater. 2006, 54, 2907–2922. [Google Scholar] [CrossRef]
- Zahran, H.Y.; Soliman, H.N.; Abd El-Rehim, A.F.; Habashy, D.M. Modelling the effect of Cu content on the microstructure and Vickers microhardness of Sn-9Zn binary eutectic alloy using an artificial neural network. Crystals 2021, 11, 481. [Google Scholar] [CrossRef]
- Islam, M.N.; Chan, Y.C.; Rizvi, M.J.; Jillek, W. Investigations of interfacial reactions of Sn–Zn based and Sn–Ag–Cu lead-free solder alloys as replacement for Sn–Pb solder. J. Alloys Compds. 2005, 400, 136–144. [Google Scholar] [CrossRef]
- Silva, B.L.; Spinelli, J.E. Correlations of microstructure and mechanical properties of the ternary Sn-9wt% Zn-2wt% Cu solder alloy. Mater. Res. 2018, 21, e20170877. [Google Scholar] [CrossRef]
- Zahran, H.Y.; Abd El-Rehim, A.F.; Alfaify, S. Effect of graphitic carbon nitride nanosheets addition on the microstructure and mechanical properties of Sn–3.5Ag–0.5Cu solder alloy. J. Electron. Mater. 2018, 47, 5614–5624. [Google Scholar] [CrossRef]
- El-Daly, A.A.; Hammad, A.E. Effects of small addition of Ag and/or Cu on the microstructure and properties of Sn–9Zn lead-free solders. Mater. Sci. Eng. A 2010, 527, 5212–5219. [Google Scholar] [CrossRef]
- Liu, H.; Wei, Y.; Zhang, Y.; Hou, Z.; Zhao, X. Effects of Bi and Cu addition on mechanical properties of Sn9Zn alloy and interfacial intermetallic growth with Ni substrate. Mater. Today Commun. 2023, 35, 106350. [Google Scholar] [CrossRef]
- Xiao, J.; Tong, X.; Liang, J.; Chen, Q.; Tang, Q. Microstructure and morphology of the soldering interface of Sn–2.0Ag–1.5Zn low Ag content lead-free solder ball and different substrates. Heliyon 2023, 9, e12952. [Google Scholar] [CrossRef] [PubMed]
- Narkevičius, A.; Bučinskienė, D.; Ručinskienė, A.; Pakštas, V.; Bikulčius, G. Study on long term atmospheric corrosion of electrodeposited zinc and zinc alloys. Int. J. Surf. Sci. Eng. Coat. 2013, 91, 68–73. [Google Scholar] [CrossRef]















| Alloy | Notation | Element Content (wt.%) | ||
|---|---|---|---|---|
| Cu | Sn | Zn | ||
| Zn-4Cu | ZC | 4.1 | 0 | Bal. |
| Zn-4Cu-0.5Sn | ZC-0.5Sn | 3.98 | 0.48 | Bal. |
| Zn-4Cu-1.0Sn | ZC-1.0Sn | 3.96 | 0.96 | Bal. |
| Zn-4Cu-1.5Sn | ZC-1.5Sn | 3.95 | 1.47 | Bal. |
| Zn-4Cu-2.0Sn | ZC-2.0Sn | 3.92 | 1.95 | Bal. |
| Zn-4Cu-2.5Sn | ZC-2.5Sn | 3.94 | 2.48 | Bal. |
| Zn-4Cu-3.0Sn | ZC-3.0Sn | 3.92 | 2.91 | Bal. |
| Zn-4Cu-3.5Sn | ZC-3.5Sn | 3.91 | 3.44 | Bal. |
| Zn-4Cu-4.0Sn | ZC-4.0Sn | 3.88 | 3.93 | Bal. |
| Lattice Parameter | Aging Time (h) | 0 Sn wt.% | 0.5 Sn wt.% | 1.0 Sn wt.% | 1.5 Sn wt.% | 2.0 Sn wt.% | 2.5 Sn wt.% | 3.0 Sn wt.% | 3.5 Sn wt.% | 4.0 Sn wt.% |
|---|---|---|---|---|---|---|---|---|---|---|
| a (Å) | 2 | 2.6787 | 2.6692 | 2.6513 | 2.641 | 2.646 | 2.6557 | 2.6968 | 2.6893 | 2.6842 |
| 4 | 2.675 | 2.662 | 2.644 | 2.632 | 2.638 | 2.6475 | 2.6859 | 2.6781 | 2.6727 | |
| 8 | 2.6782 | 2.6488 | 2.633 | 2.6180 | 2.6233 | 2.637 | 2.6713 | 2.6652 | 2.6564 | |
| 16 | 2.678 | 2.625 | 2.6168 | 2.6054 | 2.611 | 2.622 | 2.654 | 2.642 | 2.635 | |
| 32 | 2.6825 | 2.6724 | 2.651 | 2.6383 | 2.646 | 2.6724 | 2.7105 | 2.7028 | 2.688 | |
| 64 | 2.686 | 2.6824 | 2.691 | 2.693 | 2.6999 | 2.7076 | 2.743 | 2.7276 | 2.7166 | |
| 128 | 2.6899 | 2.7085 | 2.7246 | 2.733 | 2.7388 | 2.746 | 2.7716 | 2.767 | 2.7583 | |
| c (Å) | 2 | 4.912 | 4.9161 | 4.9268 | 4.9395 | 4.9356 | 4.9209 | 4.9028 | 4.908 | 4.9102 |
| 4 | 4.9125 | 4.9192 | 4.9327 | 4.9429 | 4.9385 | 4.9254 | 4.9048 | 4.9103 | 4.912 | |
| 8 | 4.9119 | 4.9217 | 4.935 | 4.9453 | 4.9399 | 4.9287 | 4.9141 | 4.9163 | 4.9194 | |
| 16 | 4.9124 | 4.924 | 4.9399 | 4.9504 | 4.9438 | 4.9299 | 4.9162 | 4.9188 | 4.9215 | |
| 32 | 4.9091 | 4.897 | 4.9043 | 4.912 | 4.9087 | 4.902 | 4.891 | 4.893 | 4.8942 | |
| 64 | 4.907 | 4.894 | 4.899 | 4.908 | 4.905 | 4.896 | 4.8902 | 4.892 | 4.8930 | |
| 128 | 4.908 | 4.893 | 4.897 | 4.905 | 4.903 | 4.895 | 4.8901 | 4.8911 | 4.8925 | |
| c/a | 2 | 1.8336 | 1.8417 | 1.8582 | 1.8703 | 1.8653 | 1.8529 | 1.8180 | 1.8249 | 1.8293 |
| 4 | 1.8364 | 1.8479 | 1.8656 | 1.8780 | 1.8720 | 1.8603 | 1.8261 | 1.8335 | 1.8378 | |
| 8 | 1.8340 | 1.8580 | 1.8742 | 1.8889 | 1.8830 | 1.8690 | 1.8395 | 1.8446 | 1.8518 | |
| 16 | 1.8343 | 1.8758 | 1.8877 | 1.9000 | 1.8934 | 1.8802 | 1.8523 | 1.8617 | 1.8677 | |
| 32 | 1.8300 | 1.8324 | 1.8499 | 1.8618 | 1.8551 | 1.8342 | 1.8044 | 1.8103 | 1.8207 | |
| 64 | 1.8268 | 1.8244 | 1.8205 | 1.8225 | 1.8167 | 1.8082 | 1.7827 | 1.7935 | 1.8011 | |
| 128 | 1.8246 | 1.8065 | 1.7973 | 1.7947 | 1.7902 | 1.7825 | 1.7643 | 1.7676 | 1.7737 | |
| V = 0.866a2c | 2 | 30.524 | 30.331 | 29.993 | 29.835 | 29.925 | 30.055 | 30.878 | 30.740 | 30.637 |
| 4 | 30.441 | 30.187 | 29.862 | 29.653 | 29.762 | 29.899 | 30.642 | 30.499 | 30.386 | |
| 8 | 30.511 | 29.904 | 29.628 | 29.353 | 29.439 | 29.680 | 30.367 | 30.242 | 30.063 | |
| 16 | 30.509 | 29.382 | 29.293 | 29.101 | 29.187 | 29.350 | 29.988 | 29.733 | 29.592 | |
| 32 | 30.591 | 30.286 | 29.847 | 29.609 | 29.762 | 30.318 | 31.119 | 30.954 | 30.623 | |
| 64 | 30.658 | 30.495 | 30.722 | 30.824 | 30.963 | 31.083 | 31.86 | 31.518 | 31.271 | |
| 128 | 30.753 | 31.084 | 31.481 | 31.727 | 31.849 | 31.964 | 32.53 | 32.429 | 32.235 |
Disclaimer/Publisher’s Note: The statements, opinions and data contained in all publications are solely those of the individual author(s) and contributor(s) and not of MDPI and/or the editor(s). MDPI and/or the editor(s) disclaim responsibility for any injury to people or property resulting from any ideas, methods, instructions or products referred to in the content. |
© 2023 by the authors. Licensee MDPI, Basel, Switzerland. This article is an open access article distributed under the terms and conditions of the Creative Commons Attribution (CC BY) license (https://creativecommons.org/licenses/by/4.0/).
Share and Cite
Shamaki, A.E.; Zahran, H.Y.; Abd El-Rehim, A.F. Effect of Sn Addition on the Microstructure and Age-Hardening Response of a Zn-4Cu Alloy. Crystals 2023, 13, 1635. https://doi.org/10.3390/cryst13121635
Shamaki AE, Zahran HY, Abd El-Rehim AF. Effect of Sn Addition on the Microstructure and Age-Hardening Response of a Zn-4Cu Alloy. Crystals. 2023; 13(12):1635. https://doi.org/10.3390/cryst13121635
Chicago/Turabian StyleShamaki, Aysha E., Heba Y. Zahran, and Alaa F. Abd El-Rehim. 2023. "Effect of Sn Addition on the Microstructure and Age-Hardening Response of a Zn-4Cu Alloy" Crystals 13, no. 12: 1635. https://doi.org/10.3390/cryst13121635
APA StyleShamaki, A. E., Zahran, H. Y., & Abd El-Rehim, A. F. (2023). Effect of Sn Addition on the Microstructure and Age-Hardening Response of a Zn-4Cu Alloy. Crystals, 13(12), 1635. https://doi.org/10.3390/cryst13121635

