Abstract
The superdense hexagonal phosphides BP and AlP, whose structures are formed by distorted tetrahedra and characterized by quartz-derived (qtz) topology, were predicted from crystal chemistry and first principles as potential high-pressure phases. From full geometry structure relaxations and ground state energy calculations based on quantum density functional theory (DFT), qtz BP and AlP were found to be less cohesive than the corresponding cubic zinc-blende (zb) phases with diamond-like (dia) topology, but were confirmed to be mechanically (elastic constants) and dynamically (phonons) stable. From the energy–volume equations of state, qtz phases were found to be energetically favorable at small volumes (high pressures), with zb-to-qtz transition pressures of 144 GPa for BP and 28 GPa for AlP. According to the electronic band structures and the site projected density of states, both phosphides exhibit larger band gaps of the zinc-blende phases compared to the qtz phases; the smaller values for the latter result from the smaller volumes per formula unit, leading to increased covalence.
1. Introduction
III–V compound semiconductors composed of IIIA-group electropositive elements (B, Al, Ga, In) combined with VA-group electronegative elements (N, P, As, Sb) have long been considered promising material bases for a number of well-established commercial technologies, as well as for new and advanced classes of electronic and optoelectronic devices [1,2,3,4]. Examples include heterostructure and high-electron-mobility bipolar transistors, light-emitting diodes, diode lasers, photodetectors, and electro-optic modulators. The physical properties of the constituent materials are critical to the operating characteristics of these devices.
Under normal conditions, most III-V semiconductor compounds crystallize in the cubic zinc-blende (zb) structure (space group , No. 216), and these compounds can be considered as a single series in which there is a gradual change of chemical bonding from the covalent type to the iono-covalent type, while the bonding energy is virtually determined by the first tetrahedral coordination sphere.
For III-V compounds of light elements, while zb-BN is characterized by a large band gap (Eg = 6.36(3) eV [5]), a value three times smaller is reported for zb-BP: Eg ≈ 2.1 eV [6]. In fact, boron nitride is polar covalent with significant charge transfer from B to N as opposed to BP, where less charge transfer is expected. The difference in behavior has a chemical origin derived from the electronegativity (χ) values according to Pauling: χB= 2.04; χN = 3.04 with Δχ(BN) = 1. Conversely, with χP = 2.19, Δχ(BP) = 0.15, and BP is considered as a covalent semiconductor (cf. [7]). As for Al belonging to the 2nd period, χAl = 1.50, and for AlP Δχ(Al-P) = |0.69|, i.e., more than four times greater than in the case of BP.
Recently, we found a significant densification (with increased hardness) for BN and SiC when adopting a quartz-derived structure, i.e., qtz topology [8]. The aim of the present work is to extend the model approach to equiatomic monophosphides of IIIA-group elements and to consider the possibility of their phase transitions at high pressure into superdense quartz-based hexagonal phases. Such high-pressure structures have been identified for zinc chalcogenides in addition to the cubic zinc-blende polymorphs adopted by the other II–VI compounds [9].
As in previous works [7,8], our investigations are based on calculations of energies, structures, and derived properties within the density functional theory (DFT) quantum mechanics framework [10,11]. Specifically, superdense qtz BP and AlP were found to be cohesive, albeit with smaller magnitudes than those known for zinc-blende BP and AlP with dia topology (vide infra, Section 3.1), and were identified as both mechanically (elastic constants) and dynamically (phonon band structures) stable. From the establishment of the respective equations of states (EOS), the trends of zb-BP and zb-AlP transformations to qtz high-pressure forms maintaining tetrahedral coordination have been identified. The electronic band structures of the new qtz phases show reduced band gaps compared to zinc-blende polymorphs.
2. Computational Methodology
The identification of the ground state structures corresponding to the energy minima and the prediction of their mechanical and dynamical properties were carried out by DFT-based calculations using the Vienna Ab initio Simulation Package (VASP) code [12,13] and the projector augmented wave (PAW) method [13,14] for the atomic potentials. Exchange correlation (XC) effects were considered using the generalized gradient functional approximation (GGA) [15]. The relaxation of the atoms to the ground state structures was performed with the conjugate gradient algorithm according to Press et al. [16]. The Blöchl tetrahedron method [17], with corrections according to the Methfessel and Paxton scheme [18], was used for geometry optimization and energy calculations, respectively. Brillouin zone (BZ) integrals were approximated by a special k-point sampling according to Monkhorst and Pack [19]. Structural parameters were optimized until the atomic forces were below 0.02 eV/Å and all stress components were <0.003 eV/Å3. The calculations were converged at an energy cutoff of 400 eV for the plane-wave basis set in terms of the k-point integration in the reciprocal space, from kx(6) × ky(6) × kz(4) up to kx(12) × ky(12) × kz(8) for the final convergence and relaxation to zero strains. The plane wave energy cutoff implicit of the PAW potentials was 300 eV. In the post-processing of the ground state electronic structures, charge density projections were operated on the lattice sites.
The mechanical stability and hardness were obtained from the elastic constant calculations. The analysis of the elastic tensors was carried out using the ELATE software [20], which provides the bulk (B), shear (G), and Young’s (E) moduli along different averaging methods; Voigt’s method [16] was chosen here. Vickers hardness (HV), according to elastic properties, was evaluated using the empirical Mazhnik–Oganov model [21].
The dynamic stabilities of the considered phases were confirmed by the positive phonon magnitudes. The corresponding phonon band structures were obtained from a high resolution of the Brillouin zone, according to Togo and Tanaka [22]. The electronic band structures were obtained using the all-electron DFT-based ASW method [23] and GGA XC functional [15]. The VESTA (Visualization for Electronic and STructural Analysis) [24] program was used to visualize the crystal structures and charge densities.
3. Results and Discussion
3.1. Crystal Structure
With the aim of classifying structures into families, a topological representation of crystal types has been proposed using the TopCryst system [25]. Cubic diamond has dia topology, and its rare hexagonal form, called “lonsdaleite”, has lon topology. These two topological types are characteristic of many crystal systems. For example, zinc-blende phases have dia topology and wurtzite phases have lon topology. Recently, a hexagonal tricarbon C3 allotrope was claimed by ab initio studies to be superdense and superhard with an assigned qtz topology [26]. Later, we proposed qtz C6, which is characterized by an ultra-hardness comparable (or even superior) to that of diamond [27]. For the sake of completeness, we note that the qtz topology is also adopted by trigonal binary phases [8].
The III–V compounds are found to crystallize:
- In tetrahedral coordination as zinc-blende ZnS (space group , No. 216; dia topology) and wurtzite ZnO (space group P63mc, No. 186; lon topology);
- In octahedral coordination as rock salt NaCl (space group , No. 225; pcu topology) and NiAs (space group P63/mmc, No. 194; seh topology).
Knowing that a tetrahedral void is larger than an octahedral void, one might expect denser NaCl and NiAs-type structures to prevail at high pressures. However, an interesting feature of the topology of qtz systems, i.e., very high density, is used in the present work to propose new, hypothetical high-pressure phases with tetrahedral topology for the well-known III–V phosphides, BP and AlP, based on crystal chemistry and DFT studies. Gallium and indium phosphides are not considered here due to their dynamic instability (see Section 3.5 for details).
The ground state structures of zinc-blende BP and AlP belong to the high-symmetry space group , where B/Al atoms occupy the 4a position and P atoms occupy the 4c position. The corresponding structures presented in Figure 1 show a perfectly regular arrangement of tetrahedra with a characteristic tetrahedral angle of ∠109.47°. The calculated structure parameters are very close to the experimental values [28,29] (cf. Table 1).
Figure 1.
Ball-and-stick and tetrahedral representations of cubic (zinc-blende) and hexagonal (qtz) structures: (a) zb-BP; (b) qtz BP; (c) zb-AlP; (d) qtz AlP. Green, blue, and purple balls correspond to B, Al, and P atoms, respectively.
Table 1.
Crystal structure parameters of BP and AlP polymorphs.
The alternative description of the qtz C6 structure (space group P6522, No. 179 with unique (6a) sites [27]) is possible in space group P6422, No. 181, with two distinct Wyckoff positions, namely, (3c) and (3d), as shown in Table 1. Such a configuration corresponds to the binary equiatomic phosphides BP and AlP. The lattice parameters of the ground state structures are given in Table 1. The corresponding crystal structures are shown in Figure 1 with ball-and-stick and tetrahedral representations, with the latter featuring corner-sharing irregular tetrahedra (vide infra). The atoms occupy the Wyckoff positions (3c) ½, 0, 0 and (3d) ½, 0, ½. Differences can be observed in the volumes (total and atom-averaged) and the interatomic distances, which increase due to the significant increase in the atomic radius from B to Al: 0.83 Å versus 1.83 Å; r(P) = 1.10 Å. Looking at the angles related to the constituent tetrahedra, they differ significantly from the regular tetrahedral type (∠109.47°), thus showing the specificity of the qtz topology. Energies in eV are given in the last row of Table 1. The total energy was used to extract the atom-weighted cohesive energy (Ecoh/atom) obtained by subtracting the energy of each atom, a process conducted in a large box, i.e., E(B) = −5.33, E(Al) = −3.37, and E(P) = −5.24. At negative Ecoh/atom values, all four phases were cohesive, albeit with larger magnitudes for the ground state zinc-blende phases than for the less cohesive qtz structures. The other energy-relevant result is shown for the total energies per formula unit (FU): the qtz phases had higher energies than the zinc-blende ones, which are known as ground state structures under normal conditions. This observation, together with the smaller qtz volumes per FU, suggests possible phase transitions at high pressures (vide infra). Note that the ΔE/FU of AlP, which is two times smaller than that of BP, should allow a phase transition at a lower pressure. This will be discussed in Section 3.4.
3.2. Projections of the Charge Densities
For a qualitative assessment, Figure 2 shows the projected charge densities (yellow volumes) that were found to be centered on the electronegative element P, with a shape difference between BP and AlP. In BP, a tetrahedral shape of the charge density on P can be observed, with a skew towards B. In contrast, in AlP, a charge centered on P is observed.
Figure 2.
Charge density projections of zb-BP (a); qtz BP (b); zb-AlP (c); and qtz AlP (d). Green, blue, and purple spheres correspond to B, Al, and P atoms, respectively. The c-axis can be seen along the vertical direction.
Such observations were further quantified by treating the respective charge density output files using the AIM (atoms in molecules theory) approach developed by Bader [30]. The charge density in a chemical compound reaches a minimum between atoms, thus defining a region that separates atoms from each other. The results of the charge transfer δ were δ(BP) = 0.30 and δ(AlP) = 2.60, indicating a stronger trend from covalent BP to ionic AlP, which can be explained by the electronegativity χ difference between the constituent atoms (see Introduction).
3.3. Mechanical Properties
The analysis of the mechanical properties of the new qtz phosphides was carried out by calculating the elastic tensor through finite distortions of the lattice. The calculated sets of elastic constants Cij (i and j correspond to directions) for cubic zinc-blende and hexagonal qtz and NiAs-type phases are given in Table 2. For comparison, the values obtained for qtz C6 [27] were added. All Cij values were positive, suggesting mechanically stable phases. qtz C6 had the largest Cij values, while qtz BP and qtz AlP had significantly smaller elastic constants. The new phases can be fully described by the bulk (B), shear (G) and Young’s (E) moduli obtained by Voight’s averaging [31] of the elastic constants using ELATE software [20]. The last three columns of Table 2 show the elastic moduli, with values that follow the trends observed for Cij. It is evident that AlP is significantly more compressible than BP, both in the case of the cubic (zb) and the hexagonal (qtz and NiAs-type) phases.
Table 2.
Elastic constant Cij of BP and AlP polymorphs, and qtz C6. Bulk (BV), shear (GV), and Young’s (EV) moduli calculated by the Voight averaging. All values are in GPa.
The Vickers hardness (HV) of the new phosphides was predicted using two contemporary models: the thermodynamic (T) model [32], which is based on thermodynamic properties and crystal structure and shows perfect agreement with available experimental data [33,34,35], and the empirical Mazhnik–Oganov (MO) model [21], which is based on elastic properties. The results are summarized in Table 3. Both qtz and zinc-blende BP are (super)hard phases, while the hardnesses of all AlP polymorphs are three times lower. The absence of differences in the hardnesses of AlP polymorphs calculated by the empirical MO model is apparently due to the limitations of this model.
Table 3.
Lattice parameters, density (ρ), and Vickers hardness (HV) of BP and AlP polymorphs, and qtz C6.
3.4. Equations of State and Possible High-Pressure Phase Transitions
To determine energy trends when considering different crystal structures of a solid, equations of state (EOS) are required, i.e., one cannot rely solely on the quantities obtained from plane lattice optimizations, especially when comparing the energies and volumes of different phases. The underlying physics mean that the calculated total energy corresponds to the cohesion within the crystal, as discussed above. The solutions to the Kohn–Sham DFT equation indicate the energy in terms of infinitely separated electrons and nuclei. But the zero of the energy depends on the choice of pseudopotentials; then, it becomes arbitrary by its shift, not by scaling. However, the energy derivatives and the EOS remain unchanged. Therefore, it is necessary to obtain the EOS and extract the fitting parameters for an evaluation of the equilibrium values. This was carried out from a series of calculations of the total energy as a function of volume for the cubic and hexagonal phases of BP and AlP. The resulting E(V) curves, shown in Figure 3, were fitted to the third-order Birch equations of state [36]:
where E0, V0, B0, and B0′ are the equilibrium energy; volume; bulk modulus; and its first pressure derivative, respectively (see Table 4).
E(V) = E0(V0) + (9/8)∙V0B0[([(V0)/V])⅔ − 1]2 + (9/16)∙B0(B0′ − 4)V0[([(V0)/V])⅔ − 1]3,
Figure 3.
Calculated total energies per formula unit as function of volume for BP (a) and A1P (b).
Table 4.
Calculated and experimental properties of BP and AlP polymorphs: bulk moduli (B0) and their first pressure derivatives (B0′); total energies (E0) and volumes (V0) per formula unit; zb-to-qtz transition pressures (ptr) and reduced volumes (Vtr/V0).
In the case of boron phosphide (Figure 3a), an intersection of E(V) curves of the zinc-blende and qtz phases can be observed at V/FU = 15.6 Å, which, for zb-BP, is equivalent to a reduced volume of 0.67. The corresponding pressure can be calculated by the Murnaghan equation [39]:
using the experimental values of B0 and B0′ (Table 4), and is equal to 144 GPa. Thus, it can be assumed that the phase transformation of zb-BP into qtz BP can occur at pressures not lower than 144 GPa, which is in agreement with the experimental data on the absence of room-temperature phase transitions of zb-BP up to 110 GPa [40].
p = B0/B0′ [(V0)/V])B0′ − 1]
In the case of aluminum phosphide (Figure 3b), the intersection of the E(V) curves of zb-AlP and qtz AlP was observed at V/FU = 33.84 Å (V/V0 = 0.81 for zb-AlP). The corresponding pressure calculated using the experimental B0 and B0′ values of zb-AlP (Table 4) was equal to 28 GPa, i.e., qtz AlP formation could be expected at higher pressures. However, at room temperature, the phase transformation of zb-AlP into a high-pressure phase with a NiAs-type structure, which would be energetically favorable over the whole pressure range, was observed at about 10 GPa [41]. Thus, the formation of qtz AlP at sufficiently high (>28 GPa) pressures can only be possible due to alternative metastable behavior under far-from-equilibrium conditions (shock compression, etc.).
3.5. Dynamic and Thermodynamic Properties from the Phonons
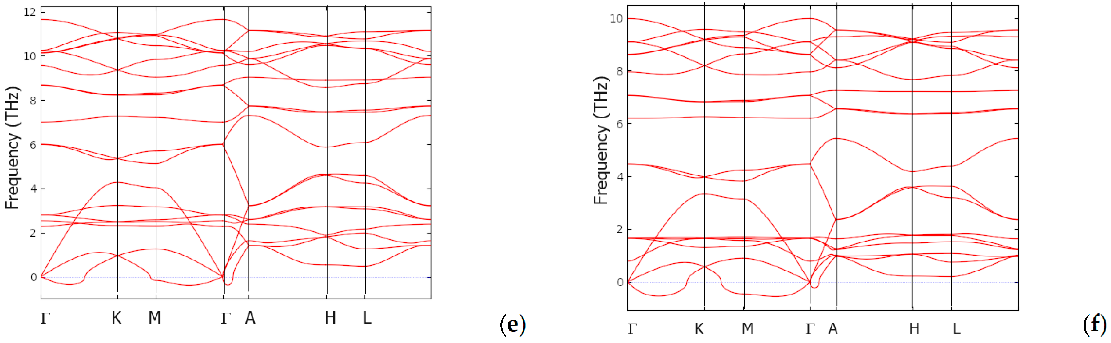
An important criterion for phase dynamic stability can be obtained from the phonon properties. Phonons are vibrational quanta whose energy is quantized using the Planck constant h in its reduced form ћ (ћ = h/2π), which gives the phonons’ energy: E = ћω (frequency: ω). The phonon band structures (red lines) obtained following the protocol presented in Section 2 are shown in Figure 4. The horizontal direction shows the main directions of the hexagonal center of the Brillouin zone, while the vertical direction shows the ω frequencies, given in units of terahertz (THz). The absence of negative frequencies indicates dynamically stable systems. The band structure includes 3N bands with 3N−3 optical modes found at higher energies than three acoustic modes starting from zero energy (ω = 0) at the Γ point, the center of the BZ, up to a few terahertz. They correspond to the lattice rigid translation modes of the crystal (two transverse and one longitudinal). While the different panels show positive frequency (ω) magnitudes, a slightly negative phonon curve can be observed along Γ-A (vertical direction), around Γ, the center of the BZ. This indicates a slight instability of the longitudinal acoustic mode, which may result from the volume of AlP (37.08 Å3/FU), almost double compared to BP (21.60 Å3/FU). The resulting openness of the AlP structure is consistent with the structurally dense qtz topology. This observation explains the reason why GaP and InP, characterized by large atomic radii of Ga (1.35 Å) and In (1.47 Å), could not be dynamically stabilized in qtz topology, as follows from our preliminary study (Figure 4e,f).

Figure 4.
Phonon band structures of zb-BP (a); qtz BP (b); zb-AlP (c); qtz AlP (d), qtz GaP (e), and qtz IP (f).
The thermodynamic properties of the new qtz phases were calculated from the phonon frequencies using the statistical thermodynamic approach [42] on a high-precision sampling mesh in the Brillouin zone. The temperature dependencies of the heat capacity at constant volume (Cv) and entropy (S) of qtz BP and qtz AlP are shown in Figure 5 in comparison with experimental Cp data for zb-BP [43,44] and zb-AlP [45]. It is easy to see that the heat capacity of zb-BP is higher than that of qtz BP in the entire temperature range which was studied, while the heat capacity of zb-AlP in the range of 300–1000 K practically coincides with the heat capacity of qtz AlP. Experimental data on the low-temperature heat capacity of zb-AlP are not available in the literature.
Figure 5.
Heat capacity at constant volume (CV) and entropy (S) of qtz BP (a) and qtz AlP (b) as functions of temperature. Experimental heat capacity data for zb-BP [43,44] and zb-AlP [45] are shown as gray and cyan symbols, respectively.
3.6. Electronic Band Structures
Using the crystal parameters in Table 1, electronic band structures were obtained using the all-electrons DFT-based augmented spherical method (ASW) [23], and are shown in Figure 6. The bands (blue lines) developed along the major directions of the hexagonal Brillouin zones. The zero energy along the vertical axis was considered with respect to EV, at the top of the filled valence band (VB), separated from the empty conduction band (CB) by a band gap. For both phosphides, the zinc-blende phase had a larger band gap compared to the qtz phase, with the smaller magnitude for the latter resulting from the smaller volume per FU, leading to increased covalence.
Figure 6.
Electronic band structures (left) and site-projected density of states (right) of zb-BP (a,b); qtz BP (c,d); zb-AlP (e,f); and qtz AlP (g,h).
The band structures are mirrored by the site-projected densities of states (DOS) shown in the right part of Figure 6. As a general feature, the P(DOS) showed higher intensity than the B(DOS) and Al(DOS) due to the lower electronegativities of boron and aluminum compared to phosphorus, as discussed above. The Fermi level is represented by a vertical line at 0 along the horizontal energy axis, while the vertical axis corresponds to the DOS expressed in eV−1 units, translating the number of states per unit energy. The valence band (VB) was wider in BP than in AlP, with the characteristics of a small separation between s-prevailing states from −16 to −10 eV and the p-prevailing states from −9 eV to EV (top of the VB) in BP, and a larger separation for s-states from −12 to −9 eV and p-states from −6 to EV in AlP. Such a feature can be related to the larger interatomic distances in AlP vs. BP.
4. Conclusions
Based on crystal chemistry and DFT calculations, superdense hexagonal (P6422) BP and AlP were proposed as potential high-pressure phases with quartz-derived topology. All binary phases were found to be cohesive, with higher energies for quartz-like topologies than for ambient pressure zinc-blende phases. Subsequent energy–volume equations of states revealed that qtz BP and AlP dominate at low volumes, and the threshold pressures of the cubic-to-hexagonal phase transition are 144 and 28 GPa, respectively. At the local level, the transition mechanism is related to the distortion of the BP4/AlP4 tetrahedra that characterizes the qtz topology. The electronic band structure, reflected by the site-projected density of states (DOS), shows that smaller-volume qtz phases lead to increased covalence of both phosphides, resulting in lower band gap values compared to the corresponding zinc-blende phases.
Author Contributions
Conceptualization, S.F.M. and V.L.S.; methodology, S.F.M. and V.L.S.; investigation, S.F.M. and V.L.S.; formal analysis, S.F.M. and V.L.S.; data curation, S.F.M. and V.L.S.; visualization, S.F.M. and V.L.S.; validation, S.F.M. and V.L.S.; resources, S.F.M.; writing—original draft preparation, S.F.M.; writing—review and editing, V.L.S. All authors have read and agreed to the published version of the manuscript.
Funding
This research received no external funding.
Data Availability Statement
The data presented in this study are available upon reasonable request due to LGU restrictions, i.e., privacy, etc.
Acknowledgments
V.L.S. acknowledges support from the Agency Nationale de la Recherche (project No. ANR-20-ASTR-0020). Computational facilities from the Lebanese German University are gratefully acknowledged.
Conflicts of Interest
The authors declare no conflict of interest.
References
- Quillec, M. (Ed.) Materials for Optoelectronics; Kluwer Academic: Boston, MA, USA, 1996. [Google Scholar]
- Levinshtein, M.; Rumyantsev, S.; Shur, M. Handbook Series on Semiconductor Parameters; World Scientific: Singapore, 1999; Volume 1. [Google Scholar]
- Vurgaftman, I.; Meyer, J.R.; Ram-Mohan, L.R. Band parameters for III-V compound semiconductors and their alloys. J. Appl. Phys. 2001, 89, 5815–5875. [Google Scholar] [CrossRef]
- Adachi, S. Physical Properties of III-V Semiconductor Compounds. Wiley-VCH: Weinheim, Germany, 2004. [Google Scholar]
- Evans, D.A.; McGlynn, A.G.; Towlson, B.M.; Gunn, M.; Jones, D.; Jenkins, T.E.; Winter, R.; Poolton, N.R.J. Determination of the optical band-gap energy of cubic and hexagonal boron nitride using luminescence excitation spectroscopy. J. Phys. Condens. Matter 2008, 20, 075233. [Google Scholar] [CrossRef]
- Agui, A.; Shin, S.; Kumashiro, Y. Electronic structure of BP studied by resonant soft X-ray emission spectroscopy. J. Phys. Soc. Jpn. 1999, 68, 166–169. [Google Scholar] [CrossRef]
- Solozhenko, V.L.; Matar, S.F. Polymorphism of boron phosphide: Theoretical and experimental assessments. J. Mater. Chem. C 2022, 10, 3937–3943. [Google Scholar] [CrossRef]
- Matar, S.F.; Solozhenko, V.L. Ultrahigh-density superhard hexagonal BN and SiC with quartz topology from crystal chemistry and first principles. Crystals 2023, 13, 1498. [Google Scholar] [CrossRef]
- McMahon, M.I.; Nelmes, R.J.; Wright, N.G.; Allan, D.R. Crystal structure studies of II-VI semiconductors using angle-dispersive diffraction techniques with an image-plate detector. AIP Conf. Proc. 1994, 309, 633–636. [Google Scholar]
- Hohenberg, P.; Kohn, W. Inhomogeneous electron gas. Phys. Rev. B 1964, 136, 864–871. [Google Scholar] [CrossRef]
- Kohn, W.; Sham, L.J. Self-consistent equations including exchange and correlation effects. Phys. Rev. A 1965, 140, 1133–1138. [Google Scholar] [CrossRef]
- Kresse, G.; Furthmüller, J. Efficient iterative schemes for ab initio total-energy calculations using a plane-wave basis set. Phys. Rev. B 1996, 54, 11169. [Google Scholar] [CrossRef]
- Kresse, G.; Joubert, J. From ultrasoft pseudopotentials to the projector augmented wave. Phys. Rev. B 1999, 59, 1758–1775. [Google Scholar] [CrossRef]
- Blöchl, P.E. Projector augmented wave method. Phys. Rev. B 1994, 50, 17953–17979. [Google Scholar] [CrossRef] [PubMed]
- Perdew, J.; Burke, K.; Ernzerhof, M. The Generalized Gradient Approximation made simple. Phys. Rev. Lett. 1996, 77, 3865–3868. [Google Scholar] [CrossRef] [PubMed]
- Press, W.H.; Flannery, B.P.; Teukolsky, S.A.; Vetterling, W.T. Numerical Recipes, 2nd ed.; Cambridge University Press: New York, NY, USA, 1986. [Google Scholar]
- Blöchl, P.; Jepsen, O.; Anderson, O. Improved tetrahedron method for Brillouin-zone integrations. Phys. Rev. B 1994, 49, 16223–16233. [Google Scholar] [CrossRef] [PubMed]
- Methfessel, M.; Paxton, A.T. High-precision sampling for Brillouin-zone integration in metals. Phys. Rev. B 1989, 40, 3616–3621. [Google Scholar] [CrossRef] [PubMed]
- Monkhorst, H.J.; Pack, J.D. Special k-points for Brillouin Zone integration. Phys. Rev. B 1976, 13, 5188–5192. [Google Scholar] [CrossRef]
- Gaillac, R.; Pullumbi, P.; Coudert, F.X. ELATE: An open-source online application for analysis and visualization of elastic tensors. J. Phys. Condens. Matter 2016, 28, 275201. [Google Scholar] [CrossRef] [PubMed]
- Mazhnik, E.; Oganov, A.R. A model of hardness and fracture toughness of solids. J. Appl. Phys. 2019, 126, 125109. [Google Scholar] [CrossRef]
- Togo, A.; Tanaka, I. First principles phonon calculations in materials science. Scr. Mater. 2015, 108, 1–5. [Google Scholar] [CrossRef]
- Eyert, V. Basic notions and applications of the augmented spherical wave method. Int. J. Quantum Chem. 2000, 77, 1007–1031. [Google Scholar] [CrossRef]
- Momma, K.; Izumi, F. VESTA3 for three-dimensional visualization of crystal, volumetric and morphology data. J. Appl. Crystallogr. 2011, 44, 1272–1276. [Google Scholar] [CrossRef]
- Shevchenko, A.P.; Shabalin, A.A.; Karpukhin, I.Y.; Blatov, V.A. Topological representations of crystal structures: Generation, analysis and implementation in the TopCryst system. Sci. Technol. Adv. Mat. 2022, 2, 250–265. [Google Scholar] [CrossRef]
- Luo, B.; Wu, L.; Zhang, Z.; Li, G.; Tian, E. A triatomic carbon and derived pentacarbides with superstrong mechanical properties. iScience 2022, 25, 104712. [Google Scholar] [CrossRef] [PubMed]
- Matar, S.F.; Solozhenko, V.L. First principles search for novel ultrahard high-density carbon allotropes: Hexagonal C6, C9 and C12. J. Superhard Mater. 2023, 45, 239–248. [Google Scholar] [CrossRef]
- Rundqvist, S. Crystal structure of boron phosphide BP. In Proceedings of the Congres International de Chimie Pure et Applique, Paris, France, 18–24 July 1957; Volume 16, pp. 539–540. [Google Scholar]
- Richman, D. Vapor phase growth and properties of aluminum phosphide. J. Electrochem. Soc. 1968, 115, 945–947. [Google Scholar] [CrossRef]
- Bader, R.F.W. A quantum theory of molecular structure and its applications. Chem. Rev. 1991, 91, 893–928. [Google Scholar] [CrossRef]
- Voigt, W. Über die Beziehung zwischen den beiden Elasticitätsconstanten isotroper Körper. Annal. Phys. 1889, 274, 573–587. [Google Scholar] [CrossRef]
- Mukhanov, V.A.; Kurakevych, O.O.; Solozhenko, V.L. The interrelation between hardness and compressibility of substances and their structure and thermodynamic properties. J. Superhard Mater. 2008, 30, 368–378. [Google Scholar] [CrossRef]
- Solozhenko, V.L.; Bushlya, V. Mechanical properties of boron phosphides. J. Superhard Mater. 2019, 41, 84–89. [Google Scholar] [CrossRef]
- Solozhenko, V.L. Hardness of new boron-rich chalcogenides B12S and B12Se. J. Superhard Mater. 2021, 43, 375–377. [Google Scholar] [CrossRef]
- Solozhenko, V.L. On hardness of boron subarsenide B12As2. J. Superhard Mater. 2022, 44, 377–378. [Google Scholar] [CrossRef]
- Birch, F. Finite strain isotherm and velocities for single-crystal and polycrystalline NaCl at high pressures and 300 K. J. Geophys. Res. 1978, 83, 1257–1268. [Google Scholar] [CrossRef]
- Solozhenko, V.L.; Kurakevych, O.O.; Le Godec, Y.; Kurnosov, A.V.; Oganov, A.R. Boron phosphide under pressure: In situ study by Raman scattering and X-ray diffraction. J. Appl. Phys. 2014, 116, 033501. [Google Scholar] [CrossRef]
- Wiley, J.D. Semiconductors and Semimetals; Willardson, R.K., Beer, A.C., Eds.; Academic Press: New York, NY, USA, 1975; Volume 10. [Google Scholar]
- Murnaghan, F.D. The compressibility of media under extreme pressures. Proc. Nation. Acad. Sci. USA 1944, 30, 244–247. [Google Scholar] [CrossRef] [PubMed]
- Xia, H.; Xia, Q.; Ruoff, A.L. BP at megabar pressures and its equation of state to 110 GPa. J. Appl. Phys. 1993, 74, 1660–1662. [Google Scholar] [CrossRef]
- Greene, R.G.; Luo, H.; Ruoff, A.L. High pressure study of AIP: Transformation to a metallic NiAs phase. J. Appl. Phys. 1994, 76, 7296–7299. [Google Scholar] [CrossRef]
- Dove, M.T. Introduction to Lattice Dynamics; Cambridge University Press: New York, NY, USA, 1993. [Google Scholar]
- Ohsawa, J.; Nishinaga, T.; Uchiyama, S. Measurement of specific heat of boron monophosphide by AC calorimetry. Jpn. J. Appl. Phys. 1978, 17, 1059–1065. [Google Scholar] [CrossRef]
- Koshchenko, V.I.; Grinberg, Y.K.; Demidenko, A.F. Thermodynamic properties of AlN (5-2700 K), GaP (5-1500 K) and BP (5-800 K). Izv. Akad. Nauk SSSR Neorg. Mater. 1984, 20, 1787–1790. (In Russian) [Google Scholar]
- Neviak, S.O.; Sandulova, A.V. Thermodynamic characteristics of aluminum phosphide. Izv. Akad. Nauk SSSR Neorg. Mater. 1974, 10, 146–147. (In Russian) [Google Scholar]
Disclaimer/Publisher’s Note: The statements, opinions and data contained in all publications are solely those of the individual author(s) and contributor(s) and not of MDPI and/or the editor(s). MDPI and/or the editor(s) disclaim responsibility for any injury to people or property resulting from any ideas, methods, instructions or products referred to in the content. |
© 2023 by the authors. Licensee MDPI, Basel, Switzerland. This article is an open access article distributed under the terms and conditions of the Creative Commons Attribution (CC BY) license (https://creativecommons.org/licenses/by/4.0/).






