Abstract
Although known since antiquity, mechanochemistry has remained dormant for centuries. Nowadays, mechanochemistry is a flourishing research field at the simultaneous stages of gathering data and (often astonishing) observations, and scientific argumentation toward their analysis, for which the combination of interdisciplinary expertise is necessary. Mechanochemistry’s implementation as a synthetic method is constantly increasing, although it remains far from being fully exploited, or understood on the basis of fundamental principles. This review starts by describing many remarkable advantages of mechanochemical reactions, simplifying and “greening” chemistry in solutions. This description is followed by an overview of the current main weaknesses to be addressed in the near future toward the systematic study of its energetics and chemical mechanisms. This review finishes by describing recent breakthrough experimental advances, such as in situ kinetics monitoring using synchrotron X-ray powder diffraction and Raman spectroscopy, plus equally significant computational chemistry approaches, such as quantum mechanochemistry, used for the understanding of covalent or hydrogen bond ruptures in biomolecules or mechanophores in polymers at the single-molecule level. Combined with new technologies to control temperature and pressure in ball mills, these appealing new methods are promising tools for establishing the fundamental knowledge necessary for the understanding of mechanochemical reactivity and mechanisms.
1. Introduction: Terminology Overview and Mechanochemical Instrumentation
Mechanochemistry describes diverse phenomena having in common that mechanical forces affect chemical reactivity. This broad definition encompasses seemingly unrelated processes, such as organic syntheses in ball mills and twin-screw extruders, reactions at propagating cracks in solids, or covalent bond braking in stretched polymers at the single-molecule level. It has been stated that microscopic to macroscopic scale mechanical motion can induce chemical reactivity leading to endergonic reactions, while spontaneous chemical reactions can also power mechanical motion [1].
While many chemical reactions occur spontaneously, many others require that energy is provided to the reactants to induce and sustain a chemical reaction. Based on the type of energy used, several branches of chemistry can be defined [2]: Thermochemistry (based on the addition of heat), photochemistry (radiation), electrochemistry (electrical potentials), and mechanochemistry (mechanical energy). IUPAC has defined mechanochemical reactions as “those induced by the direct absorption of mechanical energy” [2,3]. However, one can wonder what exactly “mechanical energy” is. Mechanical energy is delivered to the reactants through a mechanical treatment, which involves the application of mechanical forces, such as shear and non-hydrostatic compression forces, and combinations thereof. These are represented in Scheme 1.
Scheme 1.
Typical mechanical force types delivering mechanical energy to reactants and inducing mechanochemical reactions. (a) Shear forces lead to surfaces sliding against each other. (b) Non-hydrostatic compression forces anisotropically compress the reactants. The arrows labeled F represent such forces. During ball impacts (in all types of ball mills), mechanical forces, such as (c) shear forces, and (d) non-hydrostatic compression forces, are applied to the reactants at the collision sites, resulting in plastic deformations and the absorption of mechanical energy. The arrows in (c,d) represent the ball’s velocities (v) before impact.
Mechanical energy acts synergistically with the internal energy of a chemical system due to its temperature, further increasing the chemical reactivity of matter. In the chemical laboratory, many mechanochemical reactions can be induced simply by manually grinding the reactants in a mortar with a pestle. However, in order to gain control of the reaction conditions and to obtain reproducible results, various types of ball mills [2,4], or alternatively single- or twin-screw extruders [5], are used. These instruments are represented in Figure 1 and will be further described in the next section.
Mechanochemistry can be carried out in any state of matter [2]. It has been mostly studied in solids and liquids (and their combinations); however, the reactivity of gases such as H2, O2, HCN, CO, CO2, etc., has also been shown to increase using mechanochemistry [6].
The application of mechanical energy to solids involves several associated physical processes (not immediately producing chemical changes but modifying the chemical system toward them), which have been called mechanical activation [2]. Those processes are particle size reduction (comminution), with a consequent surface area increase, and the formation of lattice defects of various types [2], wherein the reactivity is enhanced due to the reduction of the strength of the attractive interactions that hold the solid together, which also ultimately leads to amorphization. For example, partially crystalline α-cellulose can be rendered amorphous using mechanical processing in a planetary ball mill, and the degree of crystallinity can be studied using X-ray powder diffraction [7].
Most of the mechanical energy provided to the reactants is dissipated as frictional heat [8]. Nevertheless, during or after mechanical activation, many substances undergo chemical reactions, such as covalent bond breaking and forming (also called covalent mechanochemistry), hydrogen transfer (acid-base reactions) or hydrogen bonding rearrangements, electron transfer (redox reactions), polymerization, decomposition reactions, etc., and often new phases containing the products crystallize during the mechanical treatment (typically as powders) with varied degrees of crystallinity, crystalline domain size, lattice microstrain and defects, particle sizes, and morphologies.
1.1. Mechanochemical Instrumentation and Accessories
Various types of laboratory equipment are used to carry out mechanochemical reactions. Besides a simple mortar and pestle for manual grinding (without systematic control of the amount of mechanical energy applied or the reaction time), mechanochemical reactions are typically carried out in ball mills of the planetary, vibratory or mixer, and attrition types [2,4,9], as shown in Figure 1.
Basically, ball mills consist of one or more vessels where the reactants, the milling media (one or more balls), and sometimes milling additives are placed together to receive mechanical treatment and react.
Figure 1.
Examples of laboratory equipment and instruments commonly used in mechanochemistry. (a) An agate mortar and pestle for manual grinding. (b) A Retsch GmbH (Haan, Germany) mixer-type ball mill model MM 500 with optional temperature control capability. The pink horizontal arrows (drawn on the photograph) indicate the oscillatory movement of the reaction jars. (c) A Retsch GmbH (Haan, Germany) planetary ball mill model PM 100. (d) Schematics of the operation mode of a planetary ball mill. The support disc at the bottom rotates with ωd frequency as indicated by the arrow. Two reaction jars, in which individual rotational axes are placed at R distances from the central axis, each rotate with ωr frequency in a direction opposite to that of the support disc. A vertical view of a reaction jar (right side) shows a ball’s trajectory. Scheme reproduced from reference [9] with permission. (e) A twin-screw extruder. The reactants are introduced through the feed port, the reaction occurs in the barrel, and the products are obtained in the exit port. Figure reproduced from reference [10] with permission.
Figure 1.
Examples of laboratory equipment and instruments commonly used in mechanochemistry. (a) An agate mortar and pestle for manual grinding. (b) A Retsch GmbH (Haan, Germany) mixer-type ball mill model MM 500 with optional temperature control capability. The pink horizontal arrows (drawn on the photograph) indicate the oscillatory movement of the reaction jars. (c) A Retsch GmbH (Haan, Germany) planetary ball mill model PM 100. (d) Schematics of the operation mode of a planetary ball mill. The support disc at the bottom rotates with ωd frequency as indicated by the arrow. Two reaction jars, in which individual rotational axes are placed at R distances from the central axis, each rotate with ωr frequency in a direction opposite to that of the support disc. A vertical view of a reaction jar (right side) shows a ball’s trajectory. Scheme reproduced from reference [9] with permission. (e) A twin-screw extruder. The reactants are introduced through the feed port, the reaction occurs in the barrel, and the products are obtained in the exit port. Figure reproduced from reference [10] with permission.

The reaction vessels are rotated (see Figure 1d) or oscillated at chosen frequencies (horizontally, such as in Figure 1b, or vertically in other models), so that the milling media acquire and maintain kinetic energy during a preset milling time. The balls repeatedly collide among themselves and with the container walls, trapping the reactants in inelastic collisions (in which the ball’s kinetic energies are not conserved), transferring to them part of that energy through repeated impacts. Ball mills are furnished with timers to select the operation times, and most often, milling frequency control is also possible. In planetary ball mills, the rotational frequencies of the support disc and the milling jars can be selected, while in vibratory/mixer mills, the vibrational frequency of the reaction jars can be chosen (see Figure 1b,d, respectively).
Inside mixer/vibratory and planetary ball mills, balls collide at relatively high velocities, and pulsed ball impacts dominate the mechanical energy input. In attritor ball mills, the ball velocities can be lower than in the previous types, leading to frictional dynamics in which shear forces are also important [9]. All these instruments deliver different amounts of mechanical energy per time unit, and they can be operated under slightly different experimental conditions, further varying the overall mechanical energy input, and the shear to shock ratio [4,9]. Hence, the chemical reactivity of substances, the rates of mechanochemical reactions, and/or the products obtained can also differ.
Planetary and vibratory/mixer (sometimes also called shaker) ball mills are most commonly used in the laboratory [11,12,13]. Reaction vessels and balls can be made of steel (various types), agate, ZrO2, WC, PMMA, and less often other materials, such as aluminum, Al2O3, polylactic acid, or Teflon®. Mechanochemical reactions between organic solids, which are generally soft, may be conducted using agate, steel, or PMMA as milling vessels and media. Harder materials, such as many inorganic compounds, may require the use of mechanically resistant vials or milling media composed of ZrO2, Al2O3, or WC.
Single- or twin-screw extruders are less commonly used to carry out mechanochemical reactions, although their implementation is gaining interest. In a twin-screw extruder, the reactants undergo mechanical treatment with the action of interlocking screws in a barrel (see Figure 1e), which can also be heated to a chosen temperature [13]. These instruments allow continuous flow processes [5,12,13], and so, they are uniquely suited for scaling up mechanochemical reactions. Products of organic syntheses, cocrystals, and other materials have been obtained at the multi-kilogram per hour scale [14]. The mechanochemical syntheses of metal-organic frameworks (MOFs) have been similarly scaled up [10].
Furthermore, grinding, ball milling, and reactive extrusion in twin-screw extruders are not the only techniques used to carry out mechanochemical reactions. Other methods such as ultrasound [15], resonant acoustic mixing [16], and the manipulation of chemical bonds using the application of mechanical forces at the single molecule level with AFM [1,17,18,19] can lead also to mechanochemical processes.
Single molecule force spectroscopy techniques have provided significant insights on the mechanical strengths of chemical bonds [1,17,18], such as the magnitudes of the mechanical forces required to break covalent bonds and non-covalent interactions like hydrogen bonds. Figure 2 shows the orders of magnitude of such forces [18], as determined at the single-molecule level. As intuitively expected, the forces to break covalent bonds are typically higher (reaching the nN order of magnitude), than those to disrupt non-covalent interactions.
Figure 2.
(Top) Orders of magnitude of the mechanical forces (spanning up to hundreds of pN) required to disrupt non-covalent interactions such as hydrogen bonds in biomolecules, or to induce molecular fragment rotations of defined groups of bonds. (Bottom) The ranges of the mechanical forces required to break covalent bonds, such as metal-organic bonds in proteins, disulfide bonds, and the ring opening of mechanophores in polymers. Note that the forces to break covalent bonds can be higher, in the nN order of magnitude. Figure reprinted by permission from Springer Nature, in Nature Reviews Chemistry, “Steering Chemical Reactions with Force,” by S. Garcia-Manyes and A. E. M. Beedle, 2017.
1.2. Mechanochemistry-Related Fields and Terminology in Publications
The history of mechanochemistry has been recently reviewed [20]. Although known since antiquity, the first systematic investigations and the definition of mechanochemistry as a new chemistry field appeared only at the end of the 19th century.
The mechanochemistry-related jargon has evolved with the field, more rapidly during the 20th century. Besides mechanochemistry, other related terms have been (and are still) used, such as tribochemistry (reserved for chemical and physicochemical processes in solids [19] such as ball milling, but also involving lubrication, shear, comminution, friction, and wear processes), and mechanical alloying, which was brought into existence in 1966 [20] and involves the preparation of alloys and intermetallic compounds not obtainable using other methods, with important practical applications [19,20,21].
A recent search in the Web of Science™ using the keywords “mechanochemistry” or “mechanochemical” led to 14,993 entries (including abstracts and proceeding papers) published since 1937. Within these, 13,362 publications were articles and 942 were review articles. Since 2013, the number of publications has added up to more than 500 per year, whereas this number had been fewer than 100 per year before the early 1990s. Currently the worldwide interest in mechanochemical studies appears to be on the rise, and this has been already pointed out by other research groups [13].
The number of publications increased from 14,993 to 17,167 when “tribochemical” was added to the search keywords, not a substantial change. However, when “mechanical alloying” was added as a new search keyword, 27,738 publications were found. Within the 11,001 publications under only the “mechanical alloying” keyword, 121 were review articles, and only since the early 1990s the number of those publications consistently surpassed 100 per year. However, in the most recent years the publications per year in this field were around half of the corresponding values for the “mechanochemistry” or “mechanochemical” category.
Overall, these data reflect not only the timeline of the terminology most frequently used and a recent increasing interest in mechanochemical reactions other than mechanical alloying, but they also highlight the highly interdisciplinary nature of the field (one can suspect sometimes using different jargons) that engages material scientists, engineers, inorganic, physical and organic chemists, biochemists, computational chemists, and physicists.
2. Mechanochemistry: A Rediscovered Branch of Chemistry with Increasingly Recognized Advantages
It has been stated, without exaggeration, that currently mechanochemistry is truly experiencing a “renaissance” [22] of epoch-making significance toward realizing different types of chemistry [23].
Among the many compelling reasons promoting the increasing study of mechanochemistry, its sustainability features stand out. Mechanochemistry affords versatile chemical processes that do not require the use of reaction solvents, significantly reducing the generation of waste and pollution while simultaneously cutting down economic costs. Mechanochemical processes often give rise to larger yields than the analogous reactions in solution, and typically involve considerably reduced reaction times [24,25], good stoichiometry control, and enhanced product selectivity [11,25]. Furthermore, sometimes they lead to products not obtainable from solutions or other synthetic methods, in terms of structures, stereochemistry, stoichiometries, or mixture compositions. These observations point to the unique chemical mechanisms involved in mechanochemistry, which sometimes appear to be considerably different from those in the analogous reactions in solution.
Mechanochemical reactions are amenable to the use of catalysts [13]. Mechanochemical reactivity also depends on the temperature [26,27], the amounts of mechanical energy delivered to the reactants, and although still scarcely studied, it also depends on the pressure, most importantly for reactions involving gases [6]. Hence, new paths to fine tune mechanochemical reaction conditions and obtain new products are enabled.
The following sections provide further details about the many advantages of mechanochemistry with selected examples of mechanochemical reactions.
2.1. “Green” Mechanochemistry toward a Sustainable World
A large number of inorganic, organic [28], and organo-metallic reactions (if not all) can be carried out under solvent-free conditions, including those using mechanochemistry. Reaction solvents are not necessary in mechanochemical processes. This is very important because most solvents are harmful (or toxic), they must be purchased and disposed of properly, the reactants must be soluble in them (which may limit the number of possible starting materials, potentially increasing costs), the products must be separated and purified, and occasionally they contain unwanted residual solvent. Moreover, solvents often may need preliminary conditioning such as degassing, distilling, and drying. In the laboratory or in large scale syntheses, all these operations increase economic costs and require energy input and time, specialized infrastructure, and trained workers, besides generating vast amounts of waste and pollution. Substantial quantities of water are also used in many of these processes, for washing, cooling, as a solvent, etc. In contrast, the workup procedures involved in mechanochemical reactions are generally much simpler, work safety is simplified, and often mechanochemical products require minimum purification steps, leading to further cost reductions, overall lower energy consumption, and reduced waste production.
Solvent-free reactions are a very significant step forward toward realizing sustainable chemistry. Sustainable industrial processes and the “greening” of all areas of chemistry are sought due to their environmental and economic advantages. For example, the American Chemical Society, Green Chemistry Institute Pharmaceutical Roundtable has been established with the objective of promoting the integration of green chemistry and engineering into the pharmaceutical industry [29].
Another significant benefit is that mechanochemical reactions can be scaled up [10,14,30] and carried out under continuous flow conditions. Not surprisingly, IUPAC has recently nominated reactive extrusion (a form of mechanochemistry in flow reactors) as one of the ten most important technological innovations toward a sustainable world [31].
However, it must be pointed out that small amounts of solvents used as reaction additives also find applications in mechanochemistry. Liquid assisted grinding (LAG) is a recently developed mechanochemical synthetic method based on the mechanical treatment of powdered reactants together with small (catalytic) quantities of liquid additives [32,33]. LAG typically affords increased reaction rates or even enables mechanochemical reactions, it generally gives rise to increased crystallinity of the products, and product selectivity, topology, or polymorph control can be achieved by using particular liquid additives [12,34]. Mechanochemical reactions in pastes (e.g., powders with minimum volumes of solvent added) may provide benefits comparable to the use of reaction solvents in solution chemistry, such as energetically stabilizing ionic species [35], among others.
Mechanochemistry encompasses not only waste prevention (one of the most important green chemistry principles), and the use of energy efficient processes, but also simplified reaction instrumentation that minimizes accident risks and human exposure to harmful chemicals. “One pot” syntheses avoiding the purification and isolation of intermediate products are often possible. Mechanochemical reactions many times involve high atom economy processes, wherein all atoms of the reactants are incorporated into the products [36].
Moreover, it has been stated that all twelve principles of green chemistry can be related in one way or another to mechanochemistry [36]. These principles and how they are supported through mechanochemistry with examples, are shown in the table below.
Table 1.
The twelve principles of green chemistry and how they can be fulfilled through mechanochemistry, including selected examples.
Table 1.
The twelve principles of green chemistry and how they can be fulfilled through mechanochemistry, including selected examples.
| Green Chemistry Principle | How Mechanochemistry Helps and Examples |
|---|---|
| Waste prevention | Largely reduced use of solvents and water. Reduced need of isolation and purification processes. |
| Atom economy | Avoided use of reactants in large excess. Typical high chemical selectivity and high yields. Avoided formation of unwanted solvates. Example: Syntheses of MOFs directly from metal oxides instead of metal salts [37]. |
| Less hazardous syntheses | Highly reactive species can be produced and immediately reacted, without using controlled atmospheres. Example: Mechanochemical activation of CaC2 avoiding the use of gaseous acetylene [38]. Replacement of aqua regia with safer oxidants such as oxone® [39]. |
| Design of safer chemicals | Alternative synthetic routes to active pharmaceutical ingredients and new solid-state forms (cocrystals, polymorphs). Example: Syntheses of new metallodrugs with reduced toxicity [40]. |
| Safer solvents and auxiliaries | Reactant solubility considerations are unnecessary. New potential reactants (less toxic, cheaper, safer to use) become available. Reactivity tunability using LAG selectively leading to different polymorphs, MOF topologies, etc. |
| Design for energy efficiency | Scalability for industrial production and continuous flow processes using reactive extrusion. Typical fast reaction rates and high yields, often at room temperature and ambient pressure. Heating may be avoided, shortened, or the temperature reduced, potentially leading to lower fossil fuel consumption and reduced carbon footprint. Example: Synthesis of ammonia under mild conditions [41]. |
| Renewable feedstock use | Biomass valorization reactions of cellulose, charcoal, lignin, chitin, and eggshell [42] renewable feedstocks. |
| Reduced derivatives | Affords important synthetic processes in less steps and “one pot” syntheses. Example: Highly processed salts used as catalysts have been replaced with less costly mineral ores [43]. |
| Catalysis | Milling media/vessels can be used as catalysts [44]. Many enzymes remain active in ball milling and reactive extrusion [45]. |
| Design for degradation | Affords the synthesis of biodegradable polymers [46], and the efficient degradation of waste polymers such as polyethylene terephthalate [47]. |
| Real-time analysis | Raman spectroscopy affords in situ monitoring of product formation. |
| Accident prevention | Automation of chemical processes in flow reactors is possible. A reduced exposure of humans and the environment to hazardous chemicals can be achieved. |
The benefits of mechanochemistry (justifiably called chemistry 2.0 [26,48]) touching all green chemistry principles, are truly remarkable. Worldwide current goals for sustainable economic and industrial development, while encompassing environmental protection, have found in mechanochemistry a priceless resource. Yet it is necessary that mechanochemistry is increasingly taught to and practiced by the new generations of chemists and chemical engineers.
2.2. A Myriad of (If Not Any) Materials from Mechanochemical Reactions
A truly immense number of mechanochemical reactions (yielding materials with varied types of chemical bonding) have been published. Several early discovered reactions in mortar and pestles were inorganic redox reactions, such as the preparation of Hg from cinnabar (HgS) in a Cu mortar with a Cu pestle in the presence of vinegar [49], which has been dated at around 315 B.C. [2,20,22].
The mechanochemical reactions of inorganic materials of the main group elements (s- and p-blocks) have been recently reviewed [49]. These studies include simple oxides [2,33,50], sulfides and selenides [2,33,51], and their phase transformations [2]; chalcogenides [50], nitrides [33], hydrides [52], and materials for hydrogen production and storage [49,53].
The facile mechanochemical syntheses of coordination complexes of transition metals with organic ligands have led to mononuclear complexes and coordination clusters, cages, and other one-, two-, and three-dimensional architectures [54]. Hybrid organic-inorganic metal halide perovskites for solar cells [23,55], advanced energy materials [23], complex ceramic oxides [2,50,56], including technologically important piezoelectric materials such as Pb[Zr,Ti]O3 (PZT) [57], can be synthesized using mechanochemistry. Improved inorganic catalysts [58], and nanomaterials preparation and functionalization have also been similarly achieved [2,22,59,60], including metal nanoparticles and graphene-based materials, among others. Scheme 2 shows some examples of inorganic mechanochemical reactions.
Scheme 2.
A few selected examples of inorganic mechanochemical reactions. (a,b) The redox decomposition of silver and mercury chlorides into the respective metals and chlorine in a mortar and pestle [20]. (c) The ball mill synthesis of an alane for hydrogen storage [49,53]. (d) The mechanochemical synthesis of a spinel-type material for lithium-ion battery applications [49,56]. Note the symbol used above the reaction arrows to denote mechanochemical activation [19].
Mechanochemical organic synthesis (through breaking and forming covalent bonds), also called “covalent mechanochemistry” is a more recent, albeit flourishing and remarkably promising research area, covering all types of organic reactions [61]. Organic solvents are ubiquitous in organic chemistry, so solvent-free mechanochemical reactions are especially appealing as “green” synthetic alternatives. Organic mechanochemical reactions are also typically faster, are more selective, provide good stoichiometry control, and generally lead to higher yields than the analogous reactions in solution [11,25].
Several reviews [13,61,62,63], and books on mechanochemical organic syntheses have been published [24,64]. As a note toward providing a simplified overview of the scope of organic mechanochemistry, Margetić and Štrukil organize their book [24] into chapters dedicated to C-C bond forming reactions (22 reaction types), C-N (16 types), C-O and other bond forming reactions (nine types), cycloadditions (e.g., Diels Alder), and oxidations and/or reductions of alcohols, aldehydes, ketones, amines, esters, and thiols, among other functional groups. Sometimes multistep organic and organometallic reactions can be conveniently performed as “one-pot” syntheses [65,66,67], without isolation and purification of intermediate products. Mechanochemical rearrangements in organics have been also investigated [68].
Peptides and polymers can be also prepared using mechanochemistry [12,69,70]. The extraction of chemicals from plants (renewable resources) can be also enhanced with mechanochemistry [71].
Furthermore, mechanophores in polymer materials have been studied toward obtaining responsive materials [12,72], which break at intended positions with the application of mechanical force.
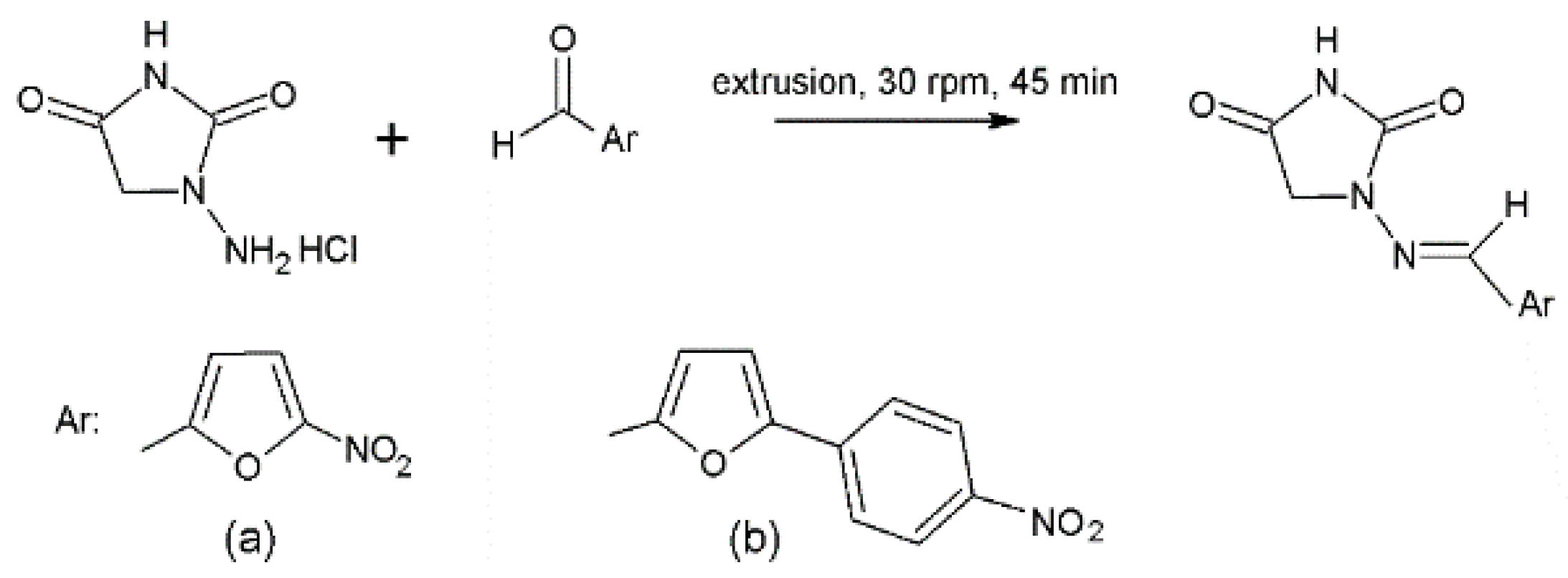
Scheme 3.
The “green” synthesis of the pharmaceutical active ingredients (a) nitrofurantoin and (b) dantrolene have been carried out at the 25 g scale using twin-screw extrusion [73] without bases, solvents, or additives.
Scheme 3.
The “green” synthesis of the pharmaceutical active ingredients (a) nitrofurantoin and (b) dantrolene have been carried out at the 25 g scale using twin-screw extrusion [73] without bases, solvents, or additives.

Recent crystal engineering advances and the emergence of “tunable” material types such as metal-organic frameworks, with important technological applications in selective gas separation, catalysis, sensors, CO2 capture, H2 production and storage, etc. have also benefited from mechanochemistry [74,75]. The latter facilitates large scale preparations, and twin extrusion methods have been used [10,14,76]. Covalent organic frameworks (COFs) with tunable porous structures have been also synthesized using mechanochemistry [77].
Organic multicomponent crystals (cocrystals) with tailored applications [78,79,80,81,82] are another rather recent type of crystal-engineered materials with tunable properties, often synthesized using mechanochemistry. The supramolecular-type synthesis of these materials does not involve covalent bond breaking and forming reactions, but it is rather driven by less energy-demanding processes that involve molecular recognition, such as organic acid-base (H+ transfer) reactions, changes in hydrogen bonding arrays, halogen bonding interactions, π stacking, and charge transfer reactions [28,35,82,83]. Often, these materials are accessible by manually grinding the reactants using a mortar and pestle during short time periods (e.g., 30 min or less).
Drug-drug combinations with synergistic properties (often salts or cocrystals) have been also prepared using mechanochemistry [84,85]. In comparison with cocrystal syntheses from solutions, mechanochemical reactions are advantageous toward avoiding problems due to the low solubility of any of the individual coformers. Mechanochemistry has been also used to prepare ternary organic cocrystals and inclusion compounds [86].
Furthermore, mechanochemical processes and reactions have been implemented in the recycling of waste, in metallurgy, and in the mining and pharmaceutical industries [51,87]. In the latter, these processes have been implemented for the synthesis of active pharmaceutical ingredients (as shown in Scheme 3) and for the screening of their salts, cocrystals, and polymorphs [88], before a solid drug delivery form can be selected [70,89]. Furthermore, the processes of grinding and milling powders (not pursuing chemical reactions) are commonly used in large scale manufacturing, for example for the processing of pharmaceuticals, such as milling powdered drugs to increase their dissolution rates [79,90].
2.3. Liquid Additives, Milling Auxiliaries, and Catalysts
Mechanochemical reactions can be carried out in any state of matter. However, since the practice of alchemy, perhaps then based on Aristotle’s idea “No coopora nisi fluida” (no reaction occurs in the absence of solvent) [61], even today the idea of reactions directly between solids seems unnatural to many scientists.
Organic solids, wherein covalently bonded molecules are held together in crystals by intermolecular attractive interactions (which are energetically orders of magnitude weaker than covalent bonds), are in general soft, and many reactions can occur even by manually grinding powders in a mortar and pestle for a few minutes. Some covalent bond breaking and forming reactions can similarly occur, although, in general these reactions require larger mechanical energy inputs, such as sustained ball milling for hours rather than minutes, as it can intuitively be expected from Figure 2.
As a guideline, in 1973 Paul and Curtin [91] mentioned that “any organic reaction occurring in an inert solvent at a reasonable rate at a temperature 60–100 °C below the melting point of the reactants, can probably be carried out in the solid state as well.” They also proposed a general mass transfer mechanism for certain thermally initiated organic solid-state reactions, which starts by (1) the loosening of the molecules at the reaction sites, followed by (2) the “chemical” change (at the molecular level), (3) the formation of a solid solution of the product in the reactant/s, and (4) the separation of the product phase.
By then, available studies of organic reactions using optical microscopy had shown the anisotropic nature of organic solid-state reactions in single crystals, the existence of nucleation processes, and the effects of defects in the reaction rates. At those times, the topochemical postulate was considered valid. This stated that suitable molecular orientation and short distances (less than 4.1 Å) were required for a photochemical (and in general any solid-state reaction) to occur [30,91].
Since two types of processes, the “chemical” change/s and the phase transition/s [91,92] are necessarily correlated, the issue of the mobility of molecules in reacting solids has been controversial for a long time. More recently, Kaupp has reported that topochemical reactions appear to be the exceptions rather than the rule [30]. This was largely inferred from AFM, scanning near field optical microscopy, and nano scratching measurements. These experimental studies have demonstrated that molecules are able to migrate long distances to escape mechanical stress and to build product phases, for example after chemical reactions. Increased reaction rates on certain crystal faces where reacting functional groups are readily accessible, and face selectivity are also known to occur [30,92,93]. However, these observations may be different for mechanochemical reactions than for photochemical reactions [92], or reactions of solids with gases [93]. This is likely due to the mechanical treatment itself promotes molecular movements, diffusion processes, and the formation of lattice defects, leading to particle size reduction, surface area increase, and ultimately amorphization. The diffusion rates and mass transport are additionally enhanced when small quantities of liquids are added to mechanochemical reactions [94].
Several mechanisms enhancing molecular mobility toward mechanochemical cocrystallization have been recently hypothesized by Friščić [95], involving (1) molecular diffusion (e.g., when one of the reactants has considerable vapor pressure), (2) the formation of eutectic liquids (known to occur among some pairs of solids [96,97]), and (3) the formation of amorphous intermediate phases. For example, considerable amorphous halos have been measured using X-ray powder diffraction in some mechanochemical reactions [98], and amorphous intermediate phases have been identified during in situ monitoring of mechanochemical reactions using synchrotron X-ray powder diffraction [99].
In 2002, a pioneer study of Shan et al. reported increases in the mechanochemical reaction rates of hydrogen-bonding driven cocrystallizations due to the addition of small quantities of solvents, if one of the reactants was soluble in the solvent selected [100]. This synthetic method received the initial name of “solvent-drop grinding,” while other research groups have called it “kneading” (forming pastes) [33], wherein the mechanochemical processes were carried out. Currently the name “liquid assisted grinding” (LAG) coined by the Friščić’s group [32,95,101] is most often used, while the word “liquid” has replaced “solvent” to emphasize that the reactants may or not be soluble in the liquid phase in order to observe mechanochemical reactivity changes (in comparison with neat conditions). These changes are generally increased reaction rates and reaction yields, increased chemical reactivity (a larger number of reactants undergoing a reaction and a larger number of products obtainable), product polymorph control (e.g., different cocrystal polymorphs or MOF topologies can be obtained), and an increased degree of crystallinity in the products [95]. The degree of crystallinity and the microstructure of the powder products also depend on the LAG liquid used [95,102,103].
The amount of liquid additive relative to the mass of the reactants is defined as η, the ratio of the volume of added liquid (in μL) to the total mass of reactants (in mg) [32,101]. Note that an empirical definition of the LAG environment involves the conditions in which the individual effects of the reactant and product solubilities on the reaction are avoided [101]. Hence, strictly speaking, η in LAG is typically below 1 μL/mg.
The many effects observable by using liquid additives in mechanochemical reactions, under LAG conditions or in reactions from pastes, are graphically represented in Scheme 4. Interestingly, LAG effects can be observed even when one of two cocrystal coformers is in the liquid phase [86]. This reveals a LAG liquid role more complex than simply acting as a lubricant enhancing diffusion among solids and promoting a reaction, and it suggests a templating role, which can be mediated through intermolecular interactions that involve the molecules of the LAG liquid and those of the reactants. As a related example, the addition of liquid additives was necessary to observe crystalline quininium aspirinate [85] upon grinding quinine and aspirin in 1:1 molar ratio, while neat grinding (in a ball mill or in a mortar and pestle) led to amorphous phases instead (determined by X-ray powder diffraction); but a mechanochemical reaction had also occurred in those, as univocally determined using FT-IR spectroscopy. These observations suggested that the liquid additives had roles promoting the crystallization of the product, also prone to form glass phases [85].
Scheme 4.
Advantages of using LAG and mechanochemical reactions from pastes (kneading). LAG is defined as the conditions in which the individual effects of the reactant and product solubilities on the reaction are avoided [101].
LAG is a demonstrated method for including guests in a previously formed host-guest array; thus, it appears to be a promising method for synthesizing ternary and multicomponent cocrystals [86]. Moreover, the effects of various properties of the LAG liquids in mechanochemical reactions, such as polarity [11], dipole moment, dielectric constant, protic and aprotic character, acidity/basicity, and molecular volume have been explored. The author’s previous work [83,102,103] on organic binary-component charge transfer complexes (CTC) illustrates the effect of the dielectric constant of the liquid additives toward the preferential formation of ionic CTC of tetrathiafulvalene (TTF), an electron donor. Although these reactions using agate mortars and pestles do not qualify for LAG under the previous definition—since in many cases they occurred in pastes that dried during the mechanical treatment—it was systematically found that the most polar solvents facilitated the formation of ionic CTC, including tetrathiafulvalene chloranil (TTF-CA) [102], tetrathiafulvalene 2,3-dichloro-5,6-dicyano-p-benzoquinone (TTF-DDQ, DDQ = 2,3-dichloro-5,6-dicyano-p-benzoquinone) [103], and ionic tetrathiafulvalene chloranilic acid (TTF-CAH2) [83]. Neat grinding or manual grinding with low polarity solvents produced instead a neutral form of TTF-CAH2, pseudo-neutral (green) TTF-CA, and amorphous phases of TTF-DDQ. Selected results are summarized in Figure 3.
Figure 3.
Liquid additive effects in the mechanochemical syntheses of charge transfer complexes of tetrathiafulvalene, showing different charge transferred (ionicities). For (a) the mechanochemical reaction of tetrathiafulvalene and chloranil [102], and (b) tetrathiafulvalene and chloranilic acid [83], the use of highly polar liquid additives, such as water and DMSO, above threshold quantities (often forming pastes ground in mortars) led to the respective ionic polymorphs, while neat grinding and pastes of low polarity liquids yielded neutral or pseudo-neutral forms, as indicated in the figure. The colors of the powders obtained as products, and a representation of their crystal packings followed by the names of each polymorphic form (in red) are also shown (C: gray, S: yellow, O: red, H: light gray). The dielectric constant of the liquids used as additives, and additionally their protic character in the reaction shown in (b), are deemed to have roles in the chemical mechanisms leading to particular polymorphs and ionicities. Note also that the neutral form of TTF-CAH2 has been only obtained using mechanochemistry [83].
Note also that the crystallinity of the above products is typically increased using liquid additives in comparison with neat grinding, which made it possible to solve the crystal structures of the black (ionic) TTF-CA [102], the ionic TTF-DDQ [103], and the neutral TTF-CAH2 [83] from synchrotron X-ray powder diffraction data.
Furthermore, solvent effects are universal in organic chemistry [104,105]. For example, solvent polarity is known to accelerate the rates of organic reactions that have polar transition states. The rates of the Menschutkin reaction (involving salt formation from two neutral molecules) in solutions of acetone-benzene of varied composition and polarity, are considerably accelerated by an increase in the dielectric constant of the solution [104,105,106]. While trying to use this knowledge to understand the mechanochemical reaction leading to two forms of TTF-CA [102], ionic and pseudo-neutral, it is interesting to point out that tetrathiafulvalene is not soluble in water. Nonetheless, water as a liquid additive facilitates the formation of the ionic product. It seems reasonable to think of “solvation spheres” (or layers of polar water molecules around the reactants), which energetically facilitate the full ionization of tetrathiafulvalene and chloranil molecules (by reducing the Gibbs energy of activation) yielding the ionic product [35]. Hence, the liquid additives (and their polarity in particular) appear to have a mechanistic role in these redox reactions.
Not only organic cocrystallization, but organometallic chemistry has also benefited from LAG. It is well known that LAG and ILAG (ion liquid assisted grinding) can be used to template the selective formation of particular MOF topologies [34,107]. Additionally, covalent mechanochemical reactions such as the syntheses of Schiff bases (a condensation reaction) from aldehydes and amines can be accelerated using LAG. Atmospheric H2O (even though water is a product), or mixtures of organic solvents with volatile bases such as triethylamine [108], can also accelerate those reactions.
All the above examples indicate that there is potential for transferring and reusing the bulk of knowledge on thermodynamic and kinetic solvent effects in solution chemistry to mechanochemical reaction mechanisms that make use of liquid additives to some extent (e.g., LAG, pastes, slurries, etc.).
Moreover, the existence of reaction reversibility in covalent mechanochemistry was inferred in the work of Belenguer et al. [109] on the base catalyzed metathesis reaction of symmetric aromatic disulfides substituted in the para position with -nitro, -chloro, and -methyl groups, and with -nitro in the ortho position. In the diluted solutions of all these reactants (after equilibration, since the metathesis reactions are reversible), the reaction products are a mixture of both homodimers and the heterodimer in the statistical 1:1:2 ratio, respectively. Using neat grinding or LAG with acetonitrile, together with 2 mol% of a base (1,8-diazabicyclo[5,4,0]undec-7-ene, dbu) as catalyst, the reaction yielded 98% of the heterodimer (for both neat grinding and LAG), in the case of -nitro in ortho and -chloro in para substitution (see Scheme 5).
Scheme 5.
The mechanochemical metathesis reaction of symmetric aromatic disulfides [109] was reversible using neat milling and LAG (acetonitrile, 0.25 μL/mg) in the presence of 1,8-diazabicyclo[5,4,0]undec-7-ene (dbu). However, neat milling and LAG yielded different polymorphs of the product (both 98% yield). After chemical equilibration, the solution reaction led to a different mixture of both homodimers and the heterodimer in the statistical 1:1:2 ratio, respectively.
Data from the reactions initiated from different reactant compositions demonstrated that LAG and neat grinding were reversible, implying a dynamic interconversion between homo- and heterodimers. Other combinations of substituents in the aromatic disulfides studied also led to mechanochemical products with different compositions than the solution mixtures [109].
The existence of reversible mechanochemical reactions appears to be a new concept. These experiments suggest that chemical equilibria could be also found in mechanochemical reactions among liquids or gases, or even in pastes of powders mechanically treated together with liquid additives, and that equilibrium constants could be measured. It is appealing to investigate how the equilibria and the equilibrium constants, made of the activities of reactive species, would vary with the experimental conditions. This is, not only with thermodynamic variables such as temperature and pressure (for gases), but also with the mechanical energy input, since mechanochemical reactions are jointly driven by thermal and mechanical activation.
Furthermore, mechanochemical reactions between liquid reactants can be carried out using an inert (or not so inert) solid as a milling auxiliary. For example, powders of Al2O3, fused quartz sand (SiO2), and zirconia have been used as solid supports in Sonogashira reactions [62]. Organic mechanochemical reactions can benefit (or require) the use of catalysts as well, as they are conventionally used in solution chemistry [24,61,62].
2.4. Unique Mechanochemical Reactivity and Selectivity
As early as the 1890s, Matthew Carey Lea, who has been proposed as the first systematic investigator of mechanochemistry [110], reported that silver and mercury chlorides decomposed during grinding in a mortar but just melted down or sublimed, undecomposed, upon heating. These reactivity differences (by that time studied for a better understanding of the physicochemical processes applied in photography) have indeed served to identify chemical reactions mainly occurring due to mechanical treatment, supporting the definition of a (then new) chemistry branch labeled “mechanochemistry” by Ostwald [110].
Currently, it is well known that mechanochemical reactions often lead to different products than thermally activated (or photochemical or electrochemical) processes. This is due to their unique reaction mechanisms (in these cases, differing from those of the same reactions using thermo-, photo-, or electrochemistry). Moreover, the previous section has outlined several possible mechanistic effects of liquid additives (in LAG or pastes), catalysts, and milling auxiliaries, toward the selective formation of particular mechanochemical products.
Hernández and Bolm have recently reviewed this topic [11], focused on organic reactions; however, differences between thermochemical and mechanochemical reactivities have been noted in all reaction types. Selected examples from [11] and a few other works are as follows. For the synthesis of functionalized fullerenes, it was observed that the mechanochemical nucleophilic behavior of CN− was different from its behavior in solutions, leading to a new compound, C120 (18% yield) [111]. Other mechanochemical products not obtainable from solutions are various large iptycenes synthesized using double Diels Alder cycloadditions [112], and several cyclooctatetraene derivatives prepared from ethyl propiolate (an alkyne) using a Ni vial and Ni pellets as catalysts [44]. Different mixtures of stereoisomers have been obtained for the oxidation of 4-tert-butylcyclohexanone with NaBH4 at low temperatures, compared with the products from a MeOH solution [27]. As shown in Figure 3, the neutral polymorph of TTF-CAH2 could only be synthesized using mechanochemistry as well [83].
New stable intermediates have been also obtained using mechanochemistry. For example, milling bis(benzotriazolyl)methanethione with several substituted anilines led to a series of N-thiocarbamoylbenzotriazole bench-stable intermediates (not isolable from solutions), which could be used as reactants for the formation of thioureas [113]. Moreover, high regioselectivity has been observed for the phenyl C-H bond activation in asymmetrically substituted 4′-(N,N-dimethylamino)-4-nitroazobenzene reacting with Pd(II) acetate, using glacial acetic acid (and sometimes sodium acetate) as additives, yielding two cyclopalladated coordination complexes, one of them only obtainable using mechanochemistry [114].
2.5. Temperature and Pressure Effects in Mechanochemical Reactions
Cryo-mills have recently become commercially available, but they have not been broadly used yet to study the effects of the temperature on mechanochemical reactions [26,27]. A few research groups have pioneered the modification of commercial ball mills in order to control the temperature of mechanochemical processes, and for the study of reactions which occur under non-ambient temperatures [26,27,115]. Studies on reactants pre-heated before mechanochemical reactions have been performed as well [116].
Overall, upon temperature variation not only reaction rate changes are observed (as expected in any thermally activated process), but various published works describe changes in the products and/or the selectivity of the mechanochemical reactions, implying differences in the chemical mechanisms at non-ambient conditions in comparison with room temperature (RT) mechanochemistry. For example, for the MOF synthesis from milling cadmium chloride (or its monohydrate) and cyanoguanidine in a 1:2 molar ratio without additives, Užarević et al. [116] observed a change in reactivity at higher temperatures (50, 65, and 70 °C) in comparison with the reaction at RT. At high temperatures, an intermediate MOF with a 1:1 stoichiometry was detected, and the measured amorphous fraction was smaller. As another example, the stereoselectivity of the mechanochemical reduction of 4-tert-butylcyclohexanone (an exothermic reaction leading to two stereoisomers) at constant temperature in a modified SPEX SamplePrep (Metuchen, USA) mixer mill model 8000M is dependent on both the milling temperature (varied between −5 °C and 40 °C) and the milling frequency (varied between 12 and 21 Hz) [27].
Cindro et al. [26] have demonstrated the effects of the temperature on mechanochemical processes by implementing programmable mechanical treatments using chosen temperatures and reaction times, allowing the chemist to “fine-tune” mechanochemical reactions in terms of product selectivity and processing efficiencies. Mechanochemical reactions such as a Knoevenagel condensation (C-C bond formation), the selective C-N bond formation in urea/amide syntheses, a double imine condensation, and the formation of MOF-74 were studied.
The Knoevenagel condensation of vanillin (an aldehyde) and barbituric acid occurs at RT through a cocrystal intermediate formed after 2 h of dry milling, while the condensation reaction itself required additional 11–13 milling hours. However, at 50 °C the cocrystal intermediate is formed faster (only in 25 min), while weak signals of the condensation product already appear at 40 min of milling (although the cocrystal intermediate remains during the following 1 h milling). At 75 °C, the reaction finishes in 15 min without evidence of a cocrystal intermediate, and a new phase of the condensation product was identified using Raman spectroscopy, as a product not obtainable at RT. Rheological changes in the mixture were also noted.
For the double imine condensation of vanillin with p-phenyldianiline (PDA) in a 2:1 molar ratio, milling at RT for 60 min yielded a mixture of products (vanillin mono-substituted and di-substituted PDA) and left-over vanillin reactant. However, milling for the same time at 75 °C led to the pure di-substituted product, visible after 5 min of milling. Another example is the formation of MOF-74 from ZnO and 2,5-dihydroxyterephthalic acid at RT, which is accelerated at 75 °C without a mechanism change, even when smaller milling media were used.
Although the development and uses of ball mills with enabled temperature control are very recent [26], these results are quite promising for further exploring the simultaneous control of mechanical and thermal activation for the optimization of mechanochemical reaction conditions, and the preparation of different materials from those obtained using conventional milling at RT. It must be pointed out that in all cases the mechanochemical products depend on the amounts of thermal and mechanical activation provided to the reactants, hence the products are the consequence of thermal and mechanical activation determining chemical reactivity, selectivity, kinetics, and mechanisms.
Furthermore, from a thermodynamic point of view it is expected that mechanochemical reactivity will also depend on the pressure, most notably when gases react. For example, mechanochemical reactions could be industrially important for improving the efficiency of synthesis gas (syn gas) production. Syn gases are mixtures of CO and H2 in different proportions that are used in petrochemistry. WC nano-powders prepared using mechanochemistry and plasma-mechanochemistry have been used as catalysts for the dry reforming of CH4 reacting with CO2 in a 1:1 molar ratio, selectively leading to CO and H2 [117]. This or a similar process could potentially be applied to recycle CH4 waste in petroleum refineries, reusing two greenhouse gases instead of using coal as a raw material, which may (or not) lead to useful syn gas compositions. These types of processes could contribute to “greening” the economically important petrochemical industry as well.
Improved reactions of gases at mechanically treated solid interfaces are also known to occur. The synthesis of ammonia under mild conditions was mentioned in Table 1 [41]. The formation of methane can be performed using ball milling Ni-Fe-MgO and Ru-MgO heterogeneous catalysts in the presence of CO2 and H2 [118]. Similarly, CO and H2 react while ball milled with FeCo/TiO2 catalysts, selectively leading to CH4 when FeCo supported on TiO2 is used [119]. CH4 can be also selectively produced using the mechanical treatment of light metal hydrides and CO2 at RT, together with H2 (a technologically important gas and fuel). It was reported already that the molar fraction of CH4 depends on the CO2 pressure [120], as well as the rate and duration of ball milling and the particular catalyst used.
Many other industrially important reactions involving gases, e.g., hydrogenations of organic compounds, could become “greener” and more sustainable through mechanochemistry. For example, the metal-free hydrogenation of olefins can be catalyzed by hexagonal BN, in which defects have been introduced using mechanical treatment [121], avoiding the contamination of the products with traces of a metallic catalyst. Oxidations using direct reaction with O2 (even minimum amounts present in the milling container) have been also reported [122], and the fraction of the oxidation products has been shown to depend on the concentration of O2 in the milling vessel.
3. Mechanochemistry’s Current Drawbacks
At present, mechanochemistry is a “rediscovered” field whose study and application are only in their beginnings. Hence, substantial fundamental physicochemical knowledge of mechanochemical processes, and how this relates to thermodynamics and kinetics knowledge, is yet to be discovered and fully demonstrated. Unfortunately, in most commercially available ball mills, the thermodynamic variables used to study and control chemical reactions, such as temperature and pressure, are not yet routinely measured or controlled [26].
Remarkably, the energetics of mechanochemical reactions, how much energy is transferred or available to the reactants due to the combined effects of the temperature and the mechanical treatment applied, how it flows through the chemical system to form products, and “why” particular products are obtained (chemical selectivity); the chemical mechanisms (what atoms or molecules are doing at the atomic/molecular level during a reaction, how the elementary reaction steps combine in complex chemical mechanisms leading to the observed products); and overall how mass transfer occurs, since most often mechanochemical processes are heterogeneous phase reactions—all remain poorly understood, and only recently have inspired an increasing interest from the chemical community worldwide. These deficiencies, and promising new experimental and computational methods able to provide significant insights and necessary data to overcome them, are discussed in the following sections. These and related ideas are graphically represented in Scheme 6 (cartoon style), as the “dawn” of the physicochemical knowledge necessary to fully explain mechanochemical reactivity.
Scheme 6.
A thorough knowledge of any mechanochemical reaction (represented in clouds) will be accessed and built upon fundamental physicochemical knowledge. The use of thermodynamic principles requires the control of temperature, pressure, and mechanical energy input, while ongoing advances in mechanochemical reaction kinetics and quantum mechanochemical calculations, will afford the application and further development of chemical kinetics and mechanisms knowledge to the mechanochemistry field.
3.1. The Insufficiently Characterized Energy Input in Ball Milling Processes
Some engineering studies in the powder technology field have dealt with the minimization of the energy used to mechanically process minerals [123], foods [124], and in metal alloying [125], using planetary ball mills [126], and other mill types [61]. An interest in this type of study is yet to spread among the communities of mechanochemical synthetic chemists and mill manufacturers, toward the systematic measurement and recording of the energy provided to reactants in all mechanochemical processes published. Nevertheless, typically the type of milling apparatus (mixer or vibrational, planetary ball mill, etc.) including its make and model, are reported to ensure reproducibility, together with the milling frequency, the reaction time, the number, diameter, mass and composition of the balls, the volume of the milling vessel, and the mass of reactants (so it becomes possible to calculate the ball to powder ratio in mass, and the void volume of the milling vessel). However, due to the different physics of the operation modes of the several types of ball mills, the total mechanical energy delivered and the power (energy delivered per time unit) can differ significantly among instruments.
Since mechanochemical reactions are induced and sustained by the absorption of mechanical energy (in addition to thermal activation solely given by the reaction temperature), optimally the power and the reaction time, or the total mechanical energy input should be characterized, systematically measured and reported, for example by comparison with appropriate standards.
Toward the above purpose, Gotor et al. [127] have published interesting results based on the analysis of the ignition time, the time required for the induction of a self-sustaining reaction between Zn and Se (as powders), assuming the reaction needs a constant amount of mechanical energy input per gram of reactants to be ignited. The comparison of the ignition times under different experimental conditions in a planetary mill has been useful in evaluating the amounts of mechanical energy inputs provided, and to estimate the effects of the operational parameters. For a planetary ball mill, the most important parameter is the spinning rate, resulting in a third power dependence of the inverse of the ignition time with it [127].
One could expect that such a mechanochemical reaction remains useful to characterize and compare the mechanical energy delivered using any other type of ball mill used for synthetic chemistry, under any available operational regime (milling frequency, milling media, jar filling, etc.). This type of study has been initiated in the author’s laboratory using an InSolido Tech (Zagreb, Croatia) mixer mill model IST500 with Thermojar attachments [9,99]. At present, it can be said that a peak in the reaction vessel’s temperature is measured a few minutes after the beginning of milling. The 14 mL reaction jar is made of PMMA, and it contains an Al plug with attached electronics for temperature monitoring. The time at which the maximum of the peak in temperature occurs, its area and spread, and the fraction of ZnSe obtained, all depend on the mass and the diameter of a steel milling ball (for a constant mass of Zn and Se reactants). Using the reaction enthalpy, it is possible to calculate the heat released by knowing the amounts of product formed, which can be determined using X-ray powder diffraction. Insights into the effectiveness of the processes transferring mechanical energy to the reactants under varied operational parameters could be obtained by using balls composed of different materials (e.g., PMMA, agate, steel, WC) and in different numbers, at particular milling frequencies. Moreover, for a new reaction under study resulting in a particular yield, the yield of ZnSe under the same experimental conditions could be reported. The purpose of this is to benchmark the amounts of mechanical energy provided to any mechanochemical reaction by comparison with the reaction of Zn and Se used as a standard.
Furthermore, a common feature of ball mill reactions is that the mechanochemical rate constants generally increase with a milling frequency increase (and otherwise unmodified experimental conditions). Pioneer studies have demonstrated this for the syntheses of ZIF-6 (a MOF) [128], 2,3-diphenylquinoxaline [129], and the Diels-Alder cycloaddition of cyclopentadiene and N-4-tolylmaleimide [130]. The author has also observed that for the neat mechanochemical synthesis of quininium aspirinate, reactant consumption increases from partial to complete with a milling frequency increase from 10 to 30 Hz [85]. Although in some publications these effects have been interpreted based on increased amounts of mechanical energy input at increasing milling frequencies, quantitative relationships remain poorly explored. Certainly, providing larger doses of mechanical energy to mechanochemical reactions increases their rates (like increasing the temperature increases the rates of thermally activated reactions), but the physical chemistry of these processes, also very much intertwined with thermal activation, is not yet understood. This is, it is challenging to separate the effects of a temperature increase on reaction kinetics from those of the mechanical energy increase, because the mechanical treatment itself leads to an increase in the temperature, unless the frictional heat generated is removed to maintain a constant reaction temperature.
The mechanical energy input provided using vibrational mills can be estimated as the kinetic energy of a classical oscillator, , which is directly proportional to the square of the vibrational frequency, , of the reaction jars [61,131]. This is:
where I is the moment of inertia. Mechanical energy transfer processes heavily rely on ball collisions as primary energy transfer events [123], compared with shear/friction processes. However, how much of the total kinetic energy provided (as in Equation (1)) is actually transferred to the substances milled still remains to be estimated, since it also depends on how elastic (or not) are the ball collisions that trap the reactants transferring energy to them, the ball’s collision frequency, the total milling time, and other quantities such as ball-to-reactant mass ratio, shear-to-shock ratio, the void volume and the jar filling fraction (affecting the ball trajectories), the mass, number, and diameter of the balls, and their composition (determining their hardness and capacity for plastic deformation).
Furthermore, keeping in mind (from Equation (1)) that the vibrational frequency and the moment of inertia (involving the masses shook) are likely the most influential parameters determining the mechanical energy input for a reaction, but due to the combined effects of the other processes mentioned above, the actual mechanical energy transferred to the reactants is far from simple to calculate, it appears advantageous to carry out a quantitative assessment of the mechanical energy input for a mechanochemical reaction by comparing it (carrying it out under the same experimental conditions) with another reaction used as a standard (e.g., the mechanosynthesis of ZnSe), as previously indicated.
Nevertheless, promising simulation tools, such as the discrete element model (DEM), have been used to simulate the dynamics of particles in laboratory mills [125,126,132,133,134], among other models [135,136]. Many studies have been done in planetary ball mills. Delogu’s laboratory has implemented an analytical description of the ball trajectory in a mixer mill, while the equations of motion of the ball and the powder particles were solved numerically. The DEM was used to describe contacts [132]. This approach has led to a phenomenological description of the reaction propagation in a SPEX SamplePrep (Metuchen, USA) Mixer/mill 8000, and a model able to describe the kinetics of some mechanochemical reactions [137].
3.2. Limited Theoretical Frameworks for Mechanochemistry and Plausible Paradigm Shifts
As shown in the previous sections, mechanical treatments considerably alter the chemical reactivity of substances. It has been also pointed out that mechanochemistry itself occurs to relieve externally imposed mechanical strain [1].
Mechanochemical reactions are deemed to be mediated by the excitation of vibrational modes [64,138] through mechanical treatment. This is coupled with mechanical friction, leading to the dissipation of energy as heat [64]. Indeed, most of the mechanical energy provided to the reactants appears to be dissipated as frictional heat [8,99]. However, energy can be also transferred to the electron systems [64,138], thus enabling chemical reactions. Needless to say, a short but meaningful and largely unanswered question is: How? This will certainly vary from reaction to reaction, and it will depend on how the potential energy surface (PES) of the otherwise only thermally activated reaction is modified by the action of the mechanical treatment applied (by mechanical forces acting at the atomic/molecular level), leading to the absorption of mechanical energy.
Existing theories for mechanochemical reactivity have been formulated mostly inspired by inorganic systems, such as the magma-plasma theory and the hot-spot model [33], both involving localized, short-lived, non-equilibrium states with very high “temperatures.” The hot spot model rather relies on thermal reactions (in “hot spots”) generated by the collisions involved in the mechanical treatment [139]. For reactions in which this model seems reasonably applicable, the duration, size, and temperature of the hot spots are the parameters determining the extent of certain mechanochemical reactions, such as the decomposition of CaCO3. Hot spot durations on the order of 10 ms (that increase with milling frequency increase), acting together with temperatures on the order of 1000 K have been estimated, resulting in calculations of the extent of reaction in single collisions. Although this model cannot fully explain all mechanochemical reactions, the existence of hot spots has not been refuted either [139].
The magma-plasma theory was developed around the 1960s [2]. It involves a plasma state of matter generated at the contact spots in collisions, wherein large amounts of energy are released. Over very short time scales, electrons, photons, and fragments of matter can be released, and local “temperatures” can be more than 10,000 K [2,33].
However, it is currently accepted that the above two models cannot satisfactorily explain organic and metal-organic mechanochemical reactivity [33,63,140]; those localized “temperatures” would imply at least some decomposition of many organic compounds, which generally is not observed in ball mill reactions. However, high temperatures appear to be achieved at the tips of propagating cracks, and the formation of N2 from azides and other gaseous decomposition products from organic compounds has been detected under certain conditions [33].
Nevertheless, it is important for the chemist to be able to understand what atoms are doing in a chemical reaction and why it leads to the products observed, which neither magma-plasma nor hot spot models can predict, regardless of their validity (or not). Instead, an appealing approach toward studying organic and metal-organic mechanochemical mechanisms is based on quantum chemical calculations incorporating the effects of mechanical forces at the atomic level, able to alter the potential energy surfaces, yielding “force-modified” potential energy surfaces. Since it is accepted that mechanochemical reactions also follow the transition state theory [1], experimental and computational work should enable the study of how the PES of a reaction gradually moves from a purely thermally activated regime, into one controlled by both the temperature and the mechanical energy input. Mechanochemical reactions giving rise to products different from only thermally activated processes seem well suited for these studies.
At the single molecular level, mechanistic studies of mechanochemical reactions using computational chemistry have been carried out, but they are still rare [1], and they require recently developed theoretical frameworks (on the order of two decades old), which incorporate the effects of external forces applied to the reactants, and involve various degrees of sophistication. This implies the computational study of the potential energy surfaces, the activation barriers, the reaction coordinates, and ultimately why certain mechanochemical products are obtained but not others (chemical selectivity). An example is the pericyclic reaction of ring opening in benzocyclobutene (a mechanophore) linked to polymeric chains, wherein the Woodward Hoffmann rules should be applicable, but sonochemical products do not conform to such rules [141,142].
Some experimental and computational studies of organic mechanochemical systems have suggested mechanistic resemblances to homogeneous solution chemistry [35,140]. For example, Figure 4 shows four stages in a computational study of the nanoindentation of aspirin and meloxicam clusters using molecular dynamics [143]. Aspirin and meloxicam cocrystallize only involving changes in hydrogen bonding. The results suggest that mixing at the molecular level in vibrational/mixer ball mills is facile under solvent-free conditions, and it does not involve large increases in the temperature, in plain discrepancy with the hot spot and magma plasma models. Amorphization is produced at the contact regions, and in the so-called “connective necks” formed between the colliding molecular clusters (see Figure 4c). Note that products could be formed there. One can reasonably expect that the mobility of molecules in the connective necks and nearby zones is larger than that in the unperturbed crystalline lattice, perhaps comparable with molecular mobilities in solution, but without the solvent molecules separating the reactants.
Figure 4.
Simulated indentation between fragments of meloxicam molecules (red) and aspirin molecules (blue) at four different stages. The indentation velocity was 4 m/s. Molecules in the three upper layers of the aspirin cluster and in the three bottom layers of the meloxicam slab (not shown) were fixed during the simulation. (a) Initial configuration. (b) The point of maximum indentation. (c) Intermediate stage during retraction before the connective neck (center) breaks. (d) The resulting configuration after one indentation event. Figure adapted with permission from The Royal Society of Chemistry, from “Insights into Mechanochemical Reactions at the Molecular Level: Simulated Indentations of Aspirin and Meloxicam Crystals,” by M. Ferguson, M.S. Moyano, G. A. Tribello, D.E. Crawford, E.M. Bringa, S.L. James, J. Kohanoff and M.G. Del Pópolo, Chemical Science, 10, 2924–2929, 2019. Permission conveyed through Copyright Clearance Center, Inc.
Furthermore, amorphization due to mechanical treatment has been experimentally observed in other material types, such as B4C, as shown in Figure 5 [144], and even in diamond and related nano-phases [144,145]. This also suggests that mechanochemical reactions in inorganic amorphous phases (after harsher mechanical treatments than those for organic solids, at least on average) could also be possible.
Figure 5.
High-resolution TEM image of an amorphous region at the nanoscale (the bar in the figure is 3 nm long) formed using shock loading in B4C. The inset is a fast Fourier transform pattern from the amorphous (central horizontal) zone, highlighting its amorphous nature. Figure reprinted from Scripta Materialia, “Amorphization in Mechanically Driven Material Systems”, by E. Ma, 49, 941–946, 2003, with permission from Elsevier Ltd.
Recently developed experimental methods for monitoring mechanochemical reaction kinetics have enabled the determination of kinetic models [146], sometimes corresponding to reaction order types [35], which can occur in both heterogeneous and homogeneous phases. The formation of mechanochemical products under homogeneous conditions appears to be a reasonable assumption in those cases, since amorphous phases seem to be easily obtained in local contact zones between powders of soft materials [143] such as most organics (see Figure 4), that are trapped between balls colliding or ball/container collisions.
In situ mechanochemical kinetics monitoring using synchrotron X-ray powder diffraction and/or Raman spectroscopy (occasionally used with thermography [9,66,99]) are recently developed tools to gather data and insights for a better understanding of mechanochemical reaction mechanisms, and these methods have been successfully used for the identification of many reaction intermediates and for the determination of kinetic models [146]. This topic will be further discussed in Section 4.2.
However, generally the number of elementary steps in covalent bond-forming and breaking mechanochemical reactions is not experimentally determined, nor the activation energies of the reactions, which have been measured only in a few cases [115,147,148]. As previously mentioned, mechanochemical reactions are simultaneously thermally activated, and their kinetics follow the transition state theory [1]. However, transition states have been scarcely mentioned in the synthetic chemistry literature [147,149], and Eyring’s transition state theory has not been yet quantitatively used for the experimental determination of the activation barriers (Gibbs energy of activation, enthalpy of activation and entropy of activation) of elementary steps in mechanochemical mechanisms.
While experimental kinetics and computational chemistry methods are well developed for the mechanistic study of reactions among gases and in solution [150], solid-state reaction kinetic studies are less common [146,151,152], and they do not necessarily lead to data from which a chemical mechanism could be proposed. The rate determining steps do not necessarily involve the “chemical” change, but they may be related to mass transfer instead (e.g., nucleation of new phases or diffusion across product layers).
Since, ultimately, the theoretical approach for the study of mechanochemical mechanisms will most likely be based on Eyring’s transition state theory, experimentally determined values of the activation barriers will be indispensable for extending the bulk of chemical mechanisms knowledge to the mechanochemistry field. This, in turn, will optimally foster the development of quantum mechanochemistry approaches explaining the experimental kinetic data. Although far from trivial, these developments represent plausible future directions for the study of mechanochemical mechanisms.
Many recent advances toward understanding the effects of mechanical forces on covalent bonds (or non-covalent interactions such as hydrogen bonding) have used single molecule force spectroscopy, generally based on AFM measurements. Typically, a macromolecule (e.g., a protein or a polymer) is clamped between a surface and the AFM tip [153]. The mechanical responses of many biomolecules have been studied by measuring force versus extension curves. As shown in Figure 2, the forces to break non-covalent interactions are in the pN range [18], while those to break covalent bonds are typically larger, on the nN order of magnitude. While thermochemical organic reactions in solution are typically activated (their activation energies are more than 25 kJ/mol [150]), presumably most covalent mechanochemical reactions (requiring large ball milling times) will be as well. Due to the scission of hydrogen bonds at the single-molecule level requires smaller forces, reaction types such as organic cocrystallizations due to hydrogen bonding rearrangements may not be activated reactions, but they may occur under diffusional control instead.
Furthermore, various phenomenological models have been developed to understand the mechanical strength of covalent bonds in biomolecules. The Bell model subtracts a work term (as mechanical energy provided to the system) from the activation energy of a bond rupture process in the absence of a mechanical force (). When a mechanical force is applied, the subtracted term implies a decrease in the activation energy of the same process (. This is,
where F is the component of an applied force along the reaction coordinate ξ, and Δξ is the distance along that reaction coordinate. This simple model does not imply any change on a PES, but only that the activation energy of the bond rupture process is reduced; thus, its rate is increased since work is done on the system [154]. A related model is the tilted potential energy profile. It is also an approximate model, but it additionally leads to changes in the structures of the reactants and the transition state (so in the potential energy surfaces), which are induced by the application of a mechanical force [154].
The following sections further discuss two significant recent advances toward understanding mechanochemical reaction mechanisms based on the ideas previously outlined. The determination of the activation barriers is carried out through chemical kinetic measurements as a function of the temperature. Hence, in situ mechanochemical kinetic measurements under controlled temperatures are expected to enable their experimental determination. Additionally, quantum mechanochemistry calculations will be indispensable to understand the effects of mechanical forces on potential energy surfaces.
4. Recent Advances
4.1. Quantum Mechanochemistry
Gilman reported in the 1990s that shear forces decrease the gap between HOMO and LUMO orbitals in molecules [155], and once the gap is closed, electrons can move freely so that a chemical reaction can proceed.
After groundbreaking studies to measure the rupture forces of covalent bonds in polysaccharides using AFM [156], pioneer DFT-based calculations followed, implementing the so-called COGEF (constrained geometries simulate external force) method [157]. A promising field emerged as quantum mechanochemistry [153,154], through which the behavior of molecules under external forces is described using quantum chemistry principles.
It is currently understood that the action of external forces alters the potential energy surfaces. External forces can be used to probe PES regions not accessible using changes in temperature, concentration, etc. [158]. Then, the thermal energy at RT can easily be sufficient to break mechanically weakened covalent bonds. However, the understanding of mechanochemical processes at the molecular level is still very limited [18,159].
COGEF calculations based on DFT [153,157] have been used to quantify bond rupture probability densities as a function of the applied force [157]. The mechanical rupture of covalent bonds can be characterized by two parameters, the breaking point distance and the rupture force [154]. No value was determined as the mechanical strength of a particular covalent bond, but instead, the bond’s lifetime depended on the applied force. At very short bond lifetimes (e.g., 1 ps), the rupture forces are very high, but at long bond lifetimes, they considerably decrease to around 30–50% of their initial values [157]. The rupture forces needed (for a particular bond lifetime) also depend on the chemical environment. For example, single-molecule force spectroscopy has been used to measure the rate constants (at a fixed force) for breaking a C-O bond in three spiropyran derivatives substituted with -H, -Br, or -NO2 in the para position to the C-O bond. A Hammett linear free energy relationship was found [160].
The GOGEF method simulates the action of a mechanical force by applying geometrical constraints (e.g., elongating in steps a particular distance, r, between two selected atoms in which a force is applied) and relaxing the geometry of the rest of the molecule. The distance r is taken as the reaction coordinate. At each step, the remaining molecular geometry is relaxed and optimized, giving the potential energy as a function of r [157]. Alternative approaches involve the explicit inclusion of a mechanical force acting along a particular direction (instead of fixing distances between atoms in the molecule) to calculate the geometrical distortions in the reactants, the transition states, and the energies of activation required [153]. Essentially the above theoretical approaches are regarded as “isometric” (COGEF) or “isotensional” by controlling distance or force, respectively [154].
Isotensional methods to calculate the effects of mechanical force on the PES (although less simple to implement than COGEF), are the FMPES (force-modified potential energy surface) and the EFEI (external force explicitly included), pioneered by Ribas-Ariño and others [153,154]. In many cases, the differences between COGEF results and those applying the latter methods can be subtle [153]. The related EGO/NE (EGO = enforced geometry optimization; NE = nuclei and some electrons), derived from the EGO/N (N = nuclei), implements the effect of forces on the 1s electrons, which are assumed to be rigidly connected to the nuclei. Its use has resulted in good agreements between calculated forces and experimentally determined values for pyranose ring transitions using AFM [153].
Furthermore, the Frank-Condon principle has been recently applied to explain mechanochemical reactivity [138,159]. In the sudden-applied force regime and for large external forces, a transition from the PES to a force-modified PES is assumed to happen instantaneously, analogous to an optical electronic transition. A non-equilibrium ensemble of vibrationally excited molecules is then obtained, in addition to the above-discussed changes in the PES and the activation barriers due to the action of external forces. The nonequilibrium vibrational energy distribution gives rise to non-statistical mechanochemical reaction kinetics, which have been calculated for the selective bond breaking in n-butane and for the mechanochemical decomposition of BH [138].
Interestingly, mechanochemical reactions can also occur as barrierless processes under some conditions [161,162]. For mechanochemical ring openings in mechanophores [162], at low applied mechanical force, the PES resembles the one in the absence of applied force. However, when the applied force is large, the PES considerably changes, and large differences in the reaction pathways can emerge. Three possible scenarios are schematically depicted in Figure 6.
Figure 6.
Upon the application of mechanical forces to mechanophores, examples of possible modifications of the ring opening pathways are the loss of the transition state (left), a shift in the transition state (center), and the loss of a reaction intermediate (right). Figure adapted with permission from A. G. Roessler and P. M. Zimmerman, “Examining the Ways to Bend and Break Reaction Pathways Using Mechanochemistry.” J. Phys. Chem. C, 122 (12), 6996–7004. Copyright 2018. American Chemical Society.
Recently the term “stress-augmented thermal activation” has been introduced [163], reminding us that mechanical and thermal activation act together. This model applies to any process involving an atom or molecule traversing an energy barrier (such as in Figure 6) and implies that mechanical forces act synergistically with the temperature to increase the rate of the process.
Around the 1940s, Kauzmann and Eyring had phenomenologically extended the transition state theory for cases where a constant external force (F) acts along a reaction coordinate (). Such force hypothetically leads to a work term that reduces the activation barrier of the reaction if compared with that of the process thermally activated only [154,163,164]. Hence, the usual expression for the rate constant, k, from transition state theory becomes:
where κ, kB, h, Q, and T are the transmission coefficient, the Boltzmann constant, the Planck’s constant, a prefactor, and the absolute temperature, respectively. is the Gibbs free energy of activation in the absence of mechanical forces applied, and FΔξ is a phenomenological work term due to the action of a force F along a suitable reaction coordinate ξ, acting through a distance Δξ. This work term implies an exponential increase of the mechanochemical reaction rates due to such applied force, and it embodies the rate differences observed among mechanochemical reactions and their counterparts only thermally activated [154].
Nonetheless, quantum mechanical methods for the understanding and prediction of mechanochemical reactions in ball mills or twin-screw extruders are yet to be developed [153]. The author’s laboratory is working toward experimentally determining the activation barriers of mechanochemical reactions in a ball mill to assess the applicability of the above Kauzmann and Eyring model.
4.2. In Situ Monitoring of Mechanochemical Reaction Kinetics
Since around 2013, experimental methods to monitor in situ mechanochemical reactions in ball mills using synchrotron X-ray powder diffraction [165,166], Raman spectroscopy [167,168,169], or both combined [170,171] have been a breakthrough in the mechanochemistry field. These techniques have enabled the detection and subsequent physicochemical and structural characterization of rapidly formed and reacted reaction intermediates, metastable phases, and compounds that otherwise may be altered under ambient conditions (e.g., decomposed under air, hygroscopic, etc.) [172]. The amounts of products formed and reactants consumed can be measured in situ while the reactions occur. Measurements are carried out as a function of the reaction time (with resolution on the order of the second). Thus, the kinetics of mechanochemical reactions can be determined without interrupting or perturbing the chemical processes.
The first reactions studied by Friščić et al. [165] were the mechanochemical syntheses of metal-organic frameworks of Zn(II) and imidazole, 2-methylimidazole, and 2-ethylimidazole. Neat milling, LAG, and ILAG were used. For the ZnO + 2-ethylimidazole combination, in situ monitoring revealed the sequential formation of MOFs with zeolite ρ, analcime, and β-quartz topologies. Various liquid additives affected differently the reaction course and the times of appearance of the intermediate topologies, providing previously inaccessible details of this ball mill reaction, including the effects of the LAG and ILAG additives. Analyses of the reaction kinetics of ZnO + imidazole or 2-methylimidazole and the variation of particle sizes from the diffraction peak widths were also carried out. Soon after this, the addition of Si as an internal standard allowed the quantitative determination of the amorphous content using the Rietveld method [98].
High energy X-rays (e.g., 87 keV or 0.1427 Å at the ID15B beamline, ESRF [165]) have been used to reduce X-ray absorption, together with acrylic (PMMA) reaction vessels (also transparent to Raman lasers). An internal standard is required as well [173]. The initial in situ monitoring measurements were performed from adapted vibratory ball mills [165], but currently, commercial instruments are also available [9]. Figure 7 shows typical experimental arrangements and instrumentation used.
Figure 7.
(a) An InSolido Tech (Zagreb, Croatia) vibratory ball mill with transparent milling vessels (typically made of PMMA) and an optical fiber Raman probe and detector focused on the bottom of a reaction jar for in situ reaction monitoring using Raman spectroscopy. (b) In situ kinetics monitoring with synchrotron X-ray powder diffraction and Raman spectroscopy can also be carried out simultaneously. In addition to the Raman probe (as in (a)), the figure shows the location of a beam collimator for the X-ray synchrotron beam in an InSolido Tech (Zagreb, Croatia) ball mill. Figure reproduced from reference [9] with permission. (c) An area detector for X-rays is used for the fast measurement of Debye rings of diffracted radiation, which are then converted to X-ray powder diffraction patterns for quantitative phase analysis. Figure reproduced from reference [36] with permission from John Wiley and Sons obtained through Copyright Clearance Center.
Since these pioneer measurements, in situ monitoring of mechanochemical reactions using synchrotron X-ray powder diffraction has afforded the measurement of many more kinetic profiles, the demonstration of the formation of reaction intermediates, and the observation of the effects of liquid additives in the product’s outcome for many other reactions, for example, the stepwise mechanosynthesis of Zn-MOF-74 [174]; the cocrystallization of carbamazepine and saccharin (LAG MeCN) [175], and the stepwise formation of (nicotinamide)2:suberic acid cocrystal, through a 1:1 cocrystal as intermediate [175]; MOF topology control using LAG and metal precursor in the ball mill synthesis of Zr-based MOFs [34], and the determination of the lattice parameter and particle size evolution in ball mill synthesis of MOFs [176].
An advantage of in situ kinetics monitoring using Raman spectroscopy is that Raman spectrometers are readily available in the chemical laboratory, and the instrumental setup is rather simple (see Figure 7a). While both Raman spectroscopy and X-ray diffraction can be used to measure reaction kinetics, they provide complementary information about the mechanochemical processes [169]. X-ray powder diffraction is able to determine crystallographic information such as crystalline phases (and their composition if the crystal structure is known or can be solved), total amorphous content, MOF topologies, organic polymorphs, and lattice parameter and crystalline domain size evolution. Raman spectroscopy data leads instead to the frequencies and intensities of Raman transitions, which largely depend on molecular properties rather than crystallographic ones. The analyte may not necessarily be crystalline, so Raman spectroscopy affords compositional information from amorphous or liquid phases (not obtainable from X-ray diffraction), or even from phases that have not yet been structurally characterized [170]. Raman spectra are sensitive to H/D substitution (for the measurement of kinetic isotope effects), while X-ray powder diffraction is, in general, not sensitive to the positions of H (or D) atoms due to their low atomic scattering factors. However, Raman data may be limited by sample fluorescence. Also, different organic polymorphs can have very similar Raman spectra impeding their identification, which is typically done using X-ray diffraction. For the detection of organic polymorphic transitions, some Raman instruments are equipped with probes detecting bands whose frequencies are close to the Raman laser frequency. Thus, the so-called phonon region (30–200 cm−1) can lead to differences between the spectra of different organic polymorphs, enabling their quantitative analysis [169].
Raman spectroscopy has been used to monitor many mechanochemical reactions in situ, such as the regioselective C-H bond activation in asymmetrically substituted azobenzene [114]; the nucleophilic substitution of 4-nitrobenzoylazide with 1,4-diaminobenzene with several LAG and ILAG additives, demonstrating the reaction is catalyzed by bases [177]; the formation of aryl N-thiocarbamoylbenzotriazoles as bench-stable solids (otherwise deemed to be reactive intermediates in solution) [113]; the synthesis of the pharmaceutical active ingredients silver sulfadiazine and dantrolene [178]; the mechanochemical synthesis of the bimetallic amidoboranes M2Mg(NH2BH3)4 (M=Li, Na) [179]; the synthesis of 2,3-diphenylquinoxaline from benzil and o-phenylenediamine [129], etc.
Raman spectroscopy and X-ray powder diffraction have been simultaneously used to monitor in situ many mechanochemical reactions as well, such as the mechanochemical synthesis of MOFs, Co(II) phenylphosphonate monohydrate, and theophylline benzoic acid cocrystals [180], the chlorination of N-3-ethyl-5,5-dimethylhydantoin [171], the synthesis of ternary organic cocrystals [181], and the mechanochemical cocrystallization of pyrazinamide with malonic acid (in 1:1 molar ratio), which proceeds through a metastable crystalline intermediate (another polymorph of the thermodynamically most stable cocrystal, also with 1:1 stoichiometry), that could be isolated and its structure solved from X-ray powder diffraction data [182]. Sometimes combined Raman and X-ray studies have additionally included thermography (in situ monitoring of the reaction temperature) [9,66,99].
While in situ kinetic measurements are very significant advances toward understanding mechanochemical mechanisms, kinetic data under strictly isothermal conditions have been collected only in a few cases [27,115,140,147,148] as exceptions rather than the rule. This is probably due to isothermal measurements (at least until recently) required the use of adapted instrumentation to keep the temperature constant during ball milling. The commercial implementation of temperature control capabilities, plus in situ kinetics monitoring in ball mills, is expected to pave the way toward the experimental determination of mechanochemical activation barriers, as previously mentioned.
Nonetheless, it has been pointed out that often kinetic data is useful for ruling out proposed reasonable mechanisms which do not agree with the experimental data, rather than univocally determining a particular mechanism [183]. Reaction mechanisms are models, after all; they cannot be experimentally demonstrated as univocally valid, but they can be refuted or modified in case existing or new observations (using improved instrumentation or new techniques) are not compatible with them. Additionally, observations at the single-molecule level and quantum mechanochemical calculations are expected to lead to valuable insights into the mechanochemical processes of breaking and forming chemical bonds.
5. Outlook and Conclusions
Mechanochemistry, a rediscovered branch of chemistry, is increasingly gaining worldwide interest. While its sustainability features fostering the “greening” of chemical processes are quite remarkable, a myriad of new materials and reactions are being constantly discovered. Its application at the industrial scale using continuous flow processes in twin-screw extruders has the potential to considerably transform industrial chemical processes conducted in the future. Its implementation in economically important industries (e.g., pharmaceutical, petrochemical, agrochemical, mining, etc.) will considerably benefit our planet, while still affording economic development and providing cheaper and sustainable access to new and known materials and the technologies and processes they enable. Toward this end, it is now necessary that mechanochemistry is increasingly taught to the new generations of synthetic chemists and chemical engineers.
The study of mechanochemistry is inherently interdisciplinary. Processes that could initially appear unrelated, such as the stretching and breaking of covalent or hydrogen bonds in biomolecules at the single-molecule level, sonochemistry, metal alloying, and organic reactions in ball mills, have as a common factor the action of external mechanical forces and the absorption of mechanical energy enhancing thermochemical reactivity, substantially increasing reaction rates, reducing activation barriers, and occasionally leading to different products.
Recent advances in mechanochemistry are not only evidenced by an ongoing growth in the number of publications and reviews, but also through the generation of distinctive research fields, such as quantum mechanochemistry, single molecule force spectroscopy, and in situ monitoring of mechanochemical reaction kinetics. A growing amount of work is being done toward applying recently developed experimental methods for in situ monitoring of mechanochemical reaction kinetics, new computational chemistry approaches in the quantum mechanochemistry field, and advances in commercially available instrumentation for mechanochemical syntheses enabling the control of thermodynamic variables, such as temperature and pressure. These recent theoretical and experimental advances are quite promising for the elucidation of the fundamental knowledge needed to understand mechanochemical reactivity from fundamental physicochemical principles, enabling the formulation of rationales for implementing and controlling mechanochemical reactivity.
Funding
This research was funded by the National Science Foundation, award number 2154893, through the Chemical Structure, Dynamics, and Mechanisms B (CSDM-B) Program of the Division of Chemistry, jointly with the Solid State and Materials Chemistry Program of the Division of Materials Research.
Institutional Review Board Statement
Not applicable.
Informed Consent Statement
Not applicable.
Data Availability Statement
Not applicable.
Acknowledgments
S.P. gratefully acknowledges previous funding from the PURS (Program for Undergraduate Research and Scholarship) from the Perry Honors College of Old Dominion University, and administrative support from the Department of Chemistry and Biochemistry at Old Dominion University.
Conflicts of Interest
The author declares no conflict of interest. The funders had no role in the design of the study; in the collection, analyses, or interpretation of data; in the writing of the manuscript; or in the decision to publish the results.
References
- O’Neill, R.T.; Boulatov, R. The Many Flavours of Mechanochemistry and Its Plausible Conceptual Underpinnings. Nat. Rev. Chem. 2021, 5, 148–167. [Google Scholar] [CrossRef]
- Baláž, P.; Achimovičová, M.; Baláž, M.; Billik, P.; Cherkezova-Zheleva, Z.; Criado, J.M.; Delogu, F.; Dutková, E.; Gaffet, E.; Gotor, F.J.; et al. Hallmarks of Mechanochemistry: From Nanoparticles to Technology. Chem. Soc. Rev. 2013, 42, 7571–7637. [Google Scholar] [CrossRef]
- Horie, K.; Barón, M.; Fox, R.B.; He, J.; Hess, M.; Kahovec, J.; Kitayama, T.; Kubisa, P.; Maréchal, E.; Mormann, W.; et al. Definitions of Terms Relating to Reactions of Polymers and to Functional Polymeric Materials (IUPAC Recommendations 2003). Pure Appl. Chem. 2004, 76, 889–906. [Google Scholar] [CrossRef]
- Lapshin, O.V.; Boldyreva, E.V.; Boldyrev, V.V. Role of Mixing and Milling in Mechanochemical Synthesis (Review). Russ. J. Inorg. Chem. 2021, 66, 433–453. [Google Scholar] [CrossRef]
- Gaudino, E.C.; Grillo, G.; Manzoli, M.; Tabasso, S.; Maccagnan, S.; Cravotto, G. Mechanochemical Applications of Reactive Extrusion from Organic Synthesis to Catalytic and Active Materials. Molecules 2022, 27, 449. [Google Scholar] [CrossRef] [PubMed]
- Bolm, C.; Hernández, J.G. Mechanochemistry of Gaseous Reactants. Angew. Chem. Int. Ed. 2019, 58, 3285–3299. [Google Scholar] [CrossRef]
- Podgorbunskikh, E.M.; Bychkov, A.L.; Bulina, N.V.; Lomovskii, O.I. Disordering of the Crystal Structure of Cellulose Under Mechanical Activation. J. Struct. Chem. 2018, 59, 201–208. [Google Scholar] [CrossRef]
- Schmidt, R.; Martin Scholze, H.; Stolle, A. Temperature Progression in a Mixer Ball Mill. Int. J. Ind. Chem. 2016, 7, 181–186. [Google Scholar] [CrossRef]
- Colacino, E.; Carta, M.; Pia, G.; Porcheddu, A.; Ricci, P.C.; Delogu, F. Processing and Investigation Methods in Mechanochemical Kinetics. ACS Omega 2018, 3, 9196–9209. [Google Scholar] [CrossRef]
- Crawford, D.; Casaban, J.; Haydon, R.; Giri, N.; McNally, T.; James, S.L. Synthesis by Extrusion: Continuous, Large-Scale Preparation of MOFs Using Little or No Solvent. Chem. Sci. 2015, 6, 1645–1649. [Google Scholar] [CrossRef]
- Hernández, J.G.; Bolm, C. Altering Product Selectivity by Mechanochemistry. J. Org. Chem. 2017, 82, 4007–4019. [Google Scholar] [CrossRef] [PubMed]
- Friščić, T.; Mottillo, C.; Titi, H.M. Mechanochemistry for Synthesis. Angew. Chem. Int. Ed. 2020, 59, 1018–1029. [Google Scholar] [CrossRef] [PubMed]
- Andersen, J.; Mack, J. Mechanochemistry and Organic Synthesis: From Mystical to Practical. Green Chem. 2018, 20, 1435–1443. [Google Scholar] [CrossRef]
- Crawford, D.E.; Miskimmin, C.K.G.; Albadarin, A.B.; Walker, G.; James, S.L. Organic synthesis by Twin Screw Extrusion (TSE): Continuous, scalable and solvent-free. Green Chem. 2017, 19, 1507–1518. [Google Scholar] [CrossRef]
- Suslick, K.S. Mechanochemistry and Sonochemistry: Concluding Remarks. Faraday Discuss. 2014, 170, 411–422. [Google Scholar] [CrossRef] [PubMed]
- Michalchuk, A.A.L.; Hope, K.S.; Kennedy, S.R.; Blanco, M.V.; Boldyreva, E.V.; Pulham, C.R. Ball-Free Mechanochemistry: In Situ Real-Time Monitoring of Pharmaceutical Co-Crystal Formation by Resonant Acoustic Mixing. Chem. Commun. 2018, 54, 4033–4036. [Google Scholar] [CrossRef]
- Ainavarapu, S.R.K.; Wiita, A.P.; Dougan, L.; Uggerud, E.; Fernández, J.M. Single-Molecule Force Spectroscopy Measurements of Bond Elongation during a Bimolecular Reaction. J. Am. Chem. Soc. 2008, 130, 6479–6487. [Google Scholar] [CrossRef]
- Garcia-Manyes, S.; Beedle, A.E.M. Steering Chemical Reactions with Force. Nat. Rev. Chem. 2017, 1, 0083. [Google Scholar] [CrossRef]
- Michalchuk, A.A.L.; Boldyreva, E.V.; Belenguer, A.M.; Emmerling, F.; Boldyrev, V.V. Tribochemistry, Mechanical Alloying, Mechanochemistry: What Is in a Name? Front. Chem. 2021, 9, 685789. [Google Scholar] [CrossRef]
- Takacs, L. The Historical Development of Mechanochemistry. Chem. Soc. Rev. 2013, 42, 7649–7659. [Google Scholar] [CrossRef]
- Shuai, C.; He, C.; Peng, S.; Qi, F.; Wang, G.; Min, A.; Yang, W.; Wang, W. Mechanical Alloying of Immiscible Metallic Systems: Process, Microstructure, and Mechanism. Adv. Eng. Mater. 2021, 23, 2001098. [Google Scholar] [CrossRef]
- Szczęśniak, B.; Borysiuk, S.; Choma, J.; Jaroniec, M. Mechanochemical Synthesis of Highly Porous Materials. Mater. Horiz. 2020, 7, 1457–1473. [Google Scholar] [CrossRef]
- Liu, X.; Li, Y.; Zeng, L.; Li, X.; Chen, N.; Bai, S.; He, H.; Wang, Q.; Zhang, C. A Review on Mechanochemistry: Approaching Advanced Energy Materials with Greener Force. Adv. Mater. 2022, 34, 2108327. [Google Scholar] [CrossRef] [PubMed]
- Margetić, D.; Štrukil, V. Mechanochemical Organic Synthesis, 1st ed.; Elsevier: Amsterdam, The Netherlands, 2016. [Google Scholar]
- Howard, J.L.; Cao, Q.; Browne, D.L. Mechanochemistry as an Emerging Tool for Molecular Synthesis: What Can It Offer? Chem. Sci. 2018, 9, 3080–3094. [Google Scholar] [CrossRef] [PubMed]
- Cindro, N.; Tireli, M.; Karadeniz, B.; Mrla, T.; Užarević, K. Investigations of Thermally Controlled Mechanochemical Milling Reactions. ACS Sustain. Chem. Eng. 2019, 7, 16301–16309. [Google Scholar] [CrossRef]
- Andersen, J.; Mack, J. Insights into Mechanochemical Reactions at Targetable and Stable, Sub-Ambient Temperatures. Angew. Chem. Int. Ed. 2018, 57, 13062–13065. [Google Scholar] [CrossRef] [PubMed]
- Braga, D.; Giaffreda, S.L.; Rubini, K.; Grepioni, F.; Chierotti, M.R.; Gobetto, R. Making Crystals from Crystals: Three Solvent-Free Routes to the Hydrogen Bonded Co-Crystal between 1,1′-di-pyridyl-ferrocene and Anthranilic Acid. CrystEngComm 2007, 9, 39–45. [Google Scholar] [CrossRef]
- Bandichhor, R.; Bhattacharya, A.; Diorazio, L.; Dunn, P.; Fraunhoffer, K.; Gallou, F.; Hayler, J.; Hickey, M.; Hinkley, B.; Humphreys, L.; et al. Green Chemistry Articles of Interest to the Pharmaceutical Industry. Org. Prog. Res. Dev. 2010, 14, 19–29. [Google Scholar] [CrossRef]
- Kaupp, G. Solid-State Molecular Syntheses: Complete Reactions without Auxiliaries Based on the New Solid-State Mechanism. CrystEngComm 2003, 5, 117–133. [Google Scholar] [CrossRef]
- Gomollón-Bel, F. Ten Chemical Innovations That Will Change Our World. Chem. Int. 2020, 42, 3–9. [Google Scholar] [CrossRef]
- Friščić, T. New Opportunities for Materials Synthesis Using Mechanochemistry. J. Mater. Chem. 2010, 20, 7599–7605. [Google Scholar] [CrossRef]
- James, S.L.; Adams, C.J.; Bolm, C.; Braga, D.; Collier, P.; Friščić, T.; Grepioni, F.; Harris, K.D.M.; Hyett, G.; Jones, W.; et al. Mechanochemistry: Opportunities for New and Cleaner Synthesis. Chem. Soc. Rev. 2012, 41, 413–447. [Google Scholar] [CrossRef] [PubMed]
- Karadeniz, B.; Žilić, D.; Huskić, I.; Germann, L.S.; Fidelli, A.M.; Muratović, S.; Lončarić, I.; Etter, M.; Dinnebier, R.E.; Barišić, D.; et al. Controlling the Polymorphism and Topology Transformation in Porphyrinic Zirconium Metal-Organic Frameworks via Mechanochemistry. J. Am. Chem. Soc. 2019, 141, 19214–19220. [Google Scholar] [CrossRef]
- Chen, R.; Gokus, M.K.; Pagola, S. Tetrathiafulvalene: A Gate to the Mechanochemical Mechanisms of Electron Transfer Reactions. Crystals 2020, 10, 482. [Google Scholar] [CrossRef]
- Ardila-Fierro, K.J.; Hernández, J.G. Sustainability Assessment of Mechanochemistry by Using the Twelve Principles of Green Chemistry. ChemSusChem 2021, 14, 2145–2162. [Google Scholar] [CrossRef] [PubMed]
- Friščić, T.; Fábián, L. Mechanochemical Conversion of a Metal Oxide into Coordination Polymers and Porous Frameworks Using Liquid-Assisted Grinding (LAG). CrystEngComm 2009, 11, 743–745. [Google Scholar] [CrossRef]
- Rodygin, K.S.; Ledovskaya, M.S.; Voronin, V.V.; Lotsman, K.A.; Ananikov, V.P. Calcium Carbide: Versatile Synthetic Applications, Green Methodology and Sustainability. Eur. J. Org. Chem. 2020, 2021, 43–52. [Google Scholar] [CrossRef]
- Hussain, H.; Green, I.R.; Ahmed, I. Journey Describing Applications of Oxone in Synthetic Chemistry. Chem. Rev. 2013, 113, 3329–3371. [Google Scholar] [CrossRef] [PubMed]
- McCalmont, A.S.; Ruiz, A.; Lagunas, M.C.; Al-Jamal, W.T.; Crawford, D.E. Cytotoxicity of Mechanochemically Prepared Cu(II) Complexes. ACS Sustain. Chem. Eng. 2020, 8, 15243–15249. [Google Scholar] [CrossRef]
- Han, G.-F.; Li, F.; Chen, Z.-W.; Coppex, C.; Kim, S.-J.; Noh, H.-J.; Fu, Z.; Lu, Y.; Singh, C.V.; Siahrostami, S.; et al. Mechanochemistry for Ammonia Synthesis under Mild Conditions. Nat. Nanotechnol. 2020, 16, 325–330. [Google Scholar] [CrossRef]
- Cree, D.; Rutter, A. Sustainable Bio-Inspired Limestone Eggshell Powder for Potential Industrialized Applications. ACS Sustain. Chem. Eng. 2015, 3, 941–949. [Google Scholar] [CrossRef]
- Puccetti, F.; Schumacher, C.; Wotruba, H.; Hernández, J.G.; Bolm, C. The Use of Copper and Vanadium Mineral Ores in Catalyzed Mechanochemical Carbon–Carbon Bond Formations. ACS Sustain. Chem. Eng. 2020, 8, 7262–7266. [Google Scholar] [CrossRef]
- Haley, R.A.; Zellner, A.R.; Krause, J.A.; Guan, H.; Mack, J. Nickel Catalysis in a High Speed Ball Mill: A Recyclable Mechanochemical Method for Producing Substituted Cyclooctatetraene Compounds. ACS Sustain. Chem. Eng. 2016, 4, 2464–2469. [Google Scholar] [CrossRef]
- Kaabel, S.; Friščić, T.; Auclair, K. Mechanoenzymatic Transformations in the Absence of Bulk Water: A More Natural Way of Using Enzymes. ChemBioChem 2019, 21, 742–758. [Google Scholar] [CrossRef]
- Oh, C.; Choi, E.H.; Choi, E.J.; Premkumar, T.; Song, C. Facile Solid-State Mechanochemical Synthesis of Eco-Friendly Thermoplastic Polyurethanes and Copolymers Using a Biomass-Derived Furan Diol. ACS Sustain. Chem. Eng. 2020, 8, 4400–4406. [Google Scholar] [CrossRef]
- Štrukil, V. Highly Efficient Solid-State Hydrolysis of Waste Polyethylene Terephthalate by Mechanochemical Milling and Vapor-Assisted Aging. ChemSusChem 2020, 14, 330–338. [Google Scholar] [CrossRef]
- Do, J.L.; Friščić, T. Chemistry 2.0: Developing a New, Solvent-Free System of Chemical Synthesis Based on Mechanochemistry. Synlett 2017, 28, 2066–2092. [Google Scholar] [CrossRef]
- Tan, D.; García, F. Main Group Mechanochemistry: From Curiosity to Established Protocols. Chem. Soc. Rev. 2019, 48, 2274–2292. [Google Scholar] [CrossRef]
- Carlton, H.; Huitink, D.; Liang, H. Tribochemistry as an Alternative Synthesis Pathway. Lubricants 2020, 8, 87. [Google Scholar] [CrossRef]
- Baláž, P. Mechanochemistry of Sulphides. J. Mater. Sci. 2004, 39, 5097–5102. [Google Scholar] [CrossRef]
- Huot, J.; Cuevas, F.; Deledda, S.; Edalati, K.; Filinchuk, Y.; Grosdidier, T.; Hauback, B.C.; Heere, M.; Jensen, T.R.; Latroche, M.; et al. Mechanochemistry of Metal Hydrides: Recent Advances. Materials 2019, 12, 2778. [Google Scholar] [CrossRef] [PubMed]
- Balema, V.P.; Pecharsky, V.K.; Dennis, K.W. Solid State Phase Transformations in LiAlH4 during High-Energy Ball-Milling. J. Alloys Compd. 2000, 313, 69–74. [Google Scholar] [CrossRef]
- Garay, A.L.; Pichon, A.; James, S.L. Solvent-Free Synthesis of Metal Complexes. Chem. Soc. Rev. 2007, 36, 846–855. [Google Scholar] [CrossRef] [PubMed]
- Prochowicz, D.; Saski, M.; Yadav, P.; Grätzel, M.; Lewiński, J. Mechanoperovskites for Photovoltaic Applications: Preparation, Characterization, and Device Fabrication. Acc. Chem. Res. 2019, 52, 3233–3243. [Google Scholar] [CrossRef]
- Soiron, S.; Rougier, A.; Aymard, L.; Tarascon, J.-M. Mechanochemical Synthesis of Li–Mn–O Spinels: Positive Electrode for Lithium Batteries. J. Power Sources 2001, 97–98, 402–405. [Google Scholar] [CrossRef]
- Branković, Z.; Branković, G.; Jovalekić, Č.; Maniette, Y.; Cilense, M.; Varela, J.A. Mechanochemical Synthesis of PZT Powders. Mater. Sci. Eng. A 2003, 345, 243–248. [Google Scholar] [CrossRef]
- Amrute, A.P.; De Bellis, J.; Felderhoff, M.; Schuth, F. Mechanochemical Synthesis of Catalytic Materials. Chem. Eur. J. 2021, 27, 6819–6847. [Google Scholar] [CrossRef] [PubMed]
- Baláž, P. Mechanochemistry in Nanoscience and Minerals Engineering, 1st ed.; Springer: Berlin, Germany, 2008. [Google Scholar]
- Zhu, S.E.; Li, F.; Wang, G.W. Mechanochemistry of Fullerenes and Related Materials. Chem. Soc. Rev. 2013, 42, 7535–7570. [Google Scholar] [CrossRef]
- Stolle, A.; Szuppa, T.; Leonhardt, S.E.S.; Ondruschka, B. Ball Milling in Organic Synthesis: Solutions and Challenges. Chem. Soc. Rev. 2011, 40, 2317–2329. [Google Scholar] [CrossRef]
- Wang, G.W. Mechanochemical Organic Synthesis. Chem. Soc. Rev. 2013, 42, 7668–7700. [Google Scholar] [CrossRef]
- Tan, D.; Friščić, T. Mechanochemistry for Organic Chemists: An Update. Eur. J. Org. Chem. 2018, 2018, 18–33. [Google Scholar] [CrossRef]
- Todres, Z.V. Organic Mechanochemistry and Its Practical Applications, 1st ed.; CRC Press; Taylor & Francis Group: Boca Raton, FL, USA, 2006. [Google Scholar]
- Ferguson, M.; Giri, N.; Huang, X.; Apperley, D.; James, S.L. One-Pot Two-Step Mechanochemical Synthesis: Ligand and Complex Preparation without Isolating Intermediates. Green Chem. 2014, 16, 1374–1382. [Google Scholar] [CrossRef]
- Kulla, H.; Haferkamp, S.; Akhmetova, I.; Röllig, M.; Maierhofer, C.; Rademann, K.; Emmerling, F. In Situ Investigations of Mechanochemical One-Pot Syntheses. Angew. Chem. Int. Ed. 2018, 57, 5930–5933. [Google Scholar] [CrossRef] [PubMed]
- Li, R.; Ren, X.; Ma, H.; Feng, X.; Lin, Z.; Li, X.; Hu, C.; Wang, B. Nickel-Substituted Zeolitic Imidazolate Frameworks for Time-Resolved Alcohol Sensing and Photocatalysis under Visible Light. J. Mater. Chem. A 2014, 2, 5724–5729. [Google Scholar] [CrossRef]
- Virieux, D.; Delogu, F.; Porcheddu, A.; García, F.; Colacino, E. Mechanochemical Rearrangements. J. Org. Chem. 2021, 86, 13885–13894. [Google Scholar] [CrossRef]
- Hu, L.; Xu, S.; Zhao, Z.; Yang, Y.; Peng, Z.; Yang, M.; Wang, C.; Zhao, J. Ynamides as Racemization-Free Coupling Reagents for Amide and Peptide Synthesis. J. Am. Chem. Soc. 2016, 138, 13135–13138. [Google Scholar] [CrossRef]
- Ying, P.; Yu, J.B.; Su, W.K. Liquid-Assisted Grinding Mechanochemistry in the Synthesis of Pharmaceuticals. Adv. Synth. Catal. 2021, 363, 1246–1271. [Google Scholar] [CrossRef]
- Lomovsky, O.I.; Lomovskiy, I.O.; Orlov, D.V. Mechanochemical Solid Acid/Base Reactions for Obtaining Biologically Active Preparations and Extracting Plant Materials. Green Chem. Lett. Rev. 2017, 10, 171–185. [Google Scholar] [CrossRef]
- Chen, Y.; Mellot, G.; Van Luijk, D.; Creton, C.; Sijbesma, R.P. Mechanochemical Tools for Polymer Materials. Chem. Soc. Rev. 2021, 50, 4100–4140. [Google Scholar] [CrossRef]
- Colacino, E.; Porcheddu, A.; Halasz, I.; Charnay, C.; Delogu, F.; Guerra, R.; Fullenwarth, J. Mechanochemistry for “No Solvent, No Base” Preparation of Hydantoin-Based Active Pharmaceutical Ingredients: Nitrofurantoin and Dantrolene. Green Chem. 2018, 20, 2973–2977. [Google Scholar] [CrossRef]
- Stolar, T.; Užarević, K. Mechanochemistry: An Efficient and Versatile Toolbox for Synthesis, Transformation, and Functionalization of Porous Metal-Organic Frameworks. CrystEngComm 2020, 22, 4511–4525. [Google Scholar] [CrossRef]
- Li, P.; Cheng, F.F.; Xiong, W.W.; Zhang, Q. New Synthetic Strategies to Prepare Metal-Organic Frameworks. Inorg. Chem. Front. 2018, 5, 2693–2708. [Google Scholar] [CrossRef]
- Julien, P.A.; Mottillo, C.; Friščić, T. Metal-Organic Frameworks Meet Scalable and Sustainable Synthesis. Green Chem. 2017, 19, 2729–2747. [Google Scholar] [CrossRef]
- Li, Y.; Chen, W.; Xing, G.; Jiang, D.; Chen, L. New Synthetic Strategies toward Covalent Organic Frameworks. Chem. Soc. Rev. 2020, 49, 2852–2868. [Google Scholar] [CrossRef]
- Huang, Y.; Wang, Z.; Chen, Z.; Zhang, Q. Organic Cocrystals: Beyond Electrical Conductivities and Field-Effect Transistors (FETs). Angew. Chem. Int. Ed. 2019, 58, 2–18. [Google Scholar] [CrossRef]
- Trask, A.V. An Overview of Pharmaceutical Cocrystals as Intellectual Property. Mol. Pharm. 2007, 4, 301–309. [Google Scholar] [CrossRef]
- Schultheiss, N.; Newman, A. Pharmaceutical Cocrystals and Their Physicochemical Properties. Cryst. Growth Des. 2009, 9, 2950–2967. [Google Scholar] [CrossRef]
- Mir, N.A.; Dubey, R.; Desiraju, G.R. Strategy and Methodology in the Synthesis of Multicomponent Molecular Solids: The Quest for Higher Cocrystals. Acc. Chem. Res. 2019, 52, 2210–2220. [Google Scholar] [CrossRef]
- Braga, D.; Maini, L.; Grepioni, F. Mechanochemical Preparation of Co-Crystals. Chem. Soc. Rev. 2013, 42, 7638–7648. [Google Scholar] [CrossRef]
- Jones, J.; Ta Phuoc, V.; Del Campo, L.; Massa, N.E.; Brown, C.M.; Pagola, S. Accessing New Charge-Transfer Complexes by Mechanochemistry: A Tetrathiafulvalene Chloranilic Acid Polymorph Containing Segregated Tetrathiafulvalene Stacks. Cryst. Growth Des. 2019, 19, 4970–4980. [Google Scholar] [CrossRef]
- Thipparaboina, R.; Kumar, D.; Chavan, R.B.; Shastri, N.R. Multidrug Co-crystals: Towards the Development of Effective Therapeutic Hybrids. Drug Discov. Today 2016, 21, 481–490. [Google Scholar] [CrossRef]
- Harris, N.; Benedict, J.; Dickie, D.A.; Pagola, S. Mechanochemical Synthesis Insights and Solid-State Characterization of Quininium Aspirinate, a Glass-Forming Drug-Drug Salt. Acta Crystallogr. Sect. C Struct. Chem. 2021, 77, 566–576. [Google Scholar] [CrossRef]
- Friščić, T.; Trask, A.V.; Jones, W.; Motherwell, W.D.S. Screening for Inclusion Compounds and Systematic Construction of Three-Component Solids by Liquid-Assisted Grinding. Angew. Chem. Int. Ed. 2006, 45, 7546–7550. [Google Scholar] [CrossRef]
- Boldyreva, E. Mechanochemistry of Inorganic and Organic Systems: What Is Similar, What Is Different? Chem. Soc. Rev. 2013, 42, 7719–7738. [Google Scholar] [CrossRef]
- Llinàs, A.; Goodman, J.M. Polymorph control: Past, present and future. Drug Discov. Today 2008, 13, 198–210. [Google Scholar] [CrossRef] [PubMed]
- Tan, D.; Loots, L.; Friščić, T. Towards Medicinal Mechanochemistry: Evolution of Milling from Pharmaceutical Solid Form Screening to the Synthesis of Active Pharmaceutical Ingredients (APIs). Chem. Commun. 2016, 52, 7760–7781. [Google Scholar] [CrossRef] [PubMed]
- Descamps, M.; Willart, J.F. Perspectives on the Amorphisation/Milling Relationship in Pharmaceutical Materials. Adv. Drug Deliv. Rev. 2016, 100, 51–66. [Google Scholar] [CrossRef] [PubMed]
- Paul, I.C.; Curtin, D.Y. Thermally Induced Organic Reactions in the Solid State. Acc. Chem. Res. 1973, 6, 217–225. [Google Scholar] [CrossRef]
- Varga, K.; Volarić, J.; Vančik, H. Crystal Disordering and Organic Solid-State Reactions. CrystEngComm 2015, 17, 1434–1438. [Google Scholar] [CrossRef]
- Chen, X.; Li, T.; Morris, K.R.; Byrn, S.R. Crystal Packing and Chemical Reactivity of Two Polymorphs of Flufenamic Acid with Ammonia. Mol. Cryst. Liq. Cryst. 2002, 381, 121–131. [Google Scholar] [CrossRef]
- Bowmaker, G.A. Solvent-Assisted Mechanochemistry. Chem. Commun. 2013, 49, 334–348. [Google Scholar] [CrossRef] [PubMed]
- Friščić, T.; Jones, W. Recent Advances in Understanding the Mechanism of Cocrystal Formation via Grinding. Cryst. Growth Des. 2009, 9, 1621–1637. [Google Scholar] [CrossRef]
- Rothenberg, G.; Downie, A.P.; Raston, C.L.; Scott, J.L. Understanding Solid/Solid Organic Reactions. J. Am. Chem. Soc. 2001, 123, 8701–8708. [Google Scholar] [CrossRef] [PubMed]
- Chadwick, K.; Davey, R.; Cross, W. How Does Grinding Produce Co-Crystals? Insights from the Case of Benzophenone and Diphenylamine. CrystEngComm 2007, 9, 732–734. [Google Scholar] [CrossRef]
- Halasz, I.; Friščić, T.; Kimber, S.A.J.; Užarević, K.; Puškarić, A.; Mottillo, C.; Julien, P.; Štrukil, V.; Honkimäki, V.; Dinnebier, R.E. Quantitative in Situ and Real-Time Monitoring of Mechanochemical Reactions. Faraday Discuss. 2014, 170, 203–221. [Google Scholar] [CrossRef]
- Užarević, K.; Ferdelji, N.; Mrla, T.; Julien, P.A.; Halasz, B.; Friščić, T.; Halasz, I. Enthalpy vs. Friction: Heat Flow Modelling of Unexpected Temperature Profiles in Mechanochemistry of Metal-Organic Frameworks. Chem. Sci. 2018, 9, 2525–2532. [Google Scholar] [CrossRef]
- Shan, N.; Toda, F.; Jones, W. Mechanochemistry and Co-Crystal Formation: Effect of Solvent on Reaction Kinetics. Chem. Commun. 2002, 2372–2373. [Google Scholar] [CrossRef]
- Friščić, T.; Childs, S.L.; Rizvi, S.A.A.; Jones, W. The Role of Solvent in Mechanochemical and Sonochemical Cocrystal Formation: A Solubility-Based Approach for Predicting Cocrystallisation Outcome. CrystEngComm 2009, 11, 418–426. [Google Scholar] [CrossRef]
- Lapidus, S.H.; Naik, A.; Wixtrom, A.; Massa, N.E.; Ta Phuoc, V.; Del Campo, L.; Lebègue, S.; Ángyán, J.G.; Abdel-Fattah, T.; Pagola, S. The Black Polymorph of TTF-CA: TTF Polymorphism and Solvent Effects in Mechanochemical and Vapor Digestion Syntheses, FT-IR, Crystal Packing, and Electronic Structure. Cryst. Growth Des. 2014, 14, 91–100. [Google Scholar] [CrossRef]
- Mohamud, S.; Ta Phuoc, V.; Massa, N.E.; Pagola, S. TTF-DDQ: Two “Green” Synthetic Routes, Crystal Structure and Band Gap from FT-IR Spectroscopy. Synth. Met. 2016, 214, 71–75. [Google Scholar] [CrossRef]
- Dack, M.R.J. The Influence of Solvent on Chemical Reactivity: An Alternative Approach. J. Chem. Educ. 1974, 51, 231. [Google Scholar] [CrossRef]
- Buncel, E.; Wilson, H. Solvent Effects on Rates and Equilibria: A Practical Approach. J. Chem. Educ. 1980, 56, 629–633. [Google Scholar] [CrossRef]
- El Seoud, O.A. Solvation in Pure and Mixed Solvents: Some Recent Developments. Pure Appl. Chem. 2007, 79, 1135–1151. [Google Scholar] [CrossRef]
- Friščić, T.; Reid, D.G.; Halasz, I.; Stein, R.S.; Dinnebier, R.E.; Duer, M.J. Ion- and Liquid-Assisted Grinding: Improved Mechanochemical Synthesis of Metal-Organic Frameworks Reveals Salt Inclusion and Anion Templating. Angew. Chem. Int. Ed. 2010, 49, 712–715. [Google Scholar] [CrossRef] [PubMed]
- Cinčić, D.; Brekalo, I.; Kaitner, B. Effect of Atmosphere on Solid-State Amine-Aldehyde Condensations: Gas-Phase Catalysts for Solid-State Transformations. Chem. Commun. 2012, 48, 11683–11685. [Google Scholar] [CrossRef] [PubMed]
- Belenguer, A.M.; Friščić, T.; Day, G.M.; Sanders, J.K.M. Solid-State Dynamic Combinatorial Chemistry: Reversibility and Thermodynamic Product Selection in Covalent Mechanosynthesis. Chem. Sci. 2011, 2, 696–700. [Google Scholar] [CrossRef]
- Takacs, L.M. Carey Lea, the First Mechanochemist. J. Mater. Sci. 2004, 39, 4987–4993. [Google Scholar] [CrossRef]
- Guan-Wu, W.; Koichi, K.; Yasujiro, M.; Motoo, S. Synthesis and X-ray Structure of Dumb-Bell-Shaped C120. Nature 1997, 387, 583–586. [Google Scholar]
- Zhao, Y.; Rocha, S.V.; Swager, T.M. Mechanochemical Synthesis of Extended Iptycenes. J. Am. Chem. Soc. 2016, 138, 13834–13837. [Google Scholar] [CrossRef]
- Štrukil, V.; Gracin, D.; Magdysyuk, O.V.; Dinnebier, R.E.; Friščic, T. Trapping Reactive Intermediates by Mechanochemistry: Elusive Aryl N-Thiocarbamoylbenzotriazoles as Bench-Stable Reagents. Angew. Chem. Int. Ed. 2015, 54, 8440–8443. [Google Scholar] [CrossRef]
- Juribašić, M.; Užarević, K.; Gracin, D.; Ćurić, M. Mechanochemical C–H Bond Activation: Rapid and Regioselective Double Cyclopalladation Monitored by in Situ Raman Spectroscopy. Chem. Commun. 2014, 50, 10287–10290. [Google Scholar] [CrossRef] [PubMed]
- Fischer, F.; Wenzel, K.-J.; Rademann, K.; Emmerling, F. Quantitative Determination of Activation Energies in Mechanochemical Reactions. Phys. Chem. Chem. Phys. 2016, 18, 23320–23325. [Google Scholar] [CrossRef] [PubMed]
- Užarević, K.; Štrukil, V.; Mottillo, C.; Julien, P.A.; Puškarić, A.; Friščić, T.; Halasz, I. Exploring the Effect of Temperature on a Mechanochemical Reaction by in Situ Synchrotron Powder X-ray Diffraction. Cryst. Growth Des. 2016, 16, 2342–2347. [Google Scholar] [CrossRef]
- Grigoryan, R.R.; Aloyan, S.G.; Harutyunyan, V.R.; Arsentev, S.D.; Tavadyan, L.A. Dry Reforming of Methane over Nanosized Tungsten Carbide Powders Obtained by Mechanochemical and Plasma-Mechanochemical Methods. Pet. Chem. 2019, 59, 1256–1263. [Google Scholar] [CrossRef]
- Mori, S.; Xu, W.-C.; Ishidzuki, T.; Ogasawara, N.; Imai, J.; Kobayashi, K. Mechanochemical Activation of Catalysts for CO2 Methanation. Appl. Catal. A Gen. 1996, 137, 255–268. [Google Scholar] [CrossRef]
- Mulas, G.; Campesi, R.; Garroni, S.; Delogu, F.; Milanese, C. Hydrogenation of Carbon Monoxide over Nanostructured Systems: A Mechanochemical Approach. Appl. Surf. Sci. 2011, 257, 8165–8170. [Google Scholar] [CrossRef]
- Dong, B.-X.; Zhao, J.; Wang, L.-Z.; Teng, Y.-L.; Liu, W.-L.; Wang, L. Mechanochemical Synthesis of COx-Free Hydrogen and Methane Fuel Mixtures at Room Temperature from Light Metal Hydrides and Carbon Dioxide. Appl. Energy 2017, 204, 741–748. [Google Scholar] [CrossRef]
- Nash, D.J.; Restrepo, D.T.; Parra, N.S.; Giesler, K.E.; Penabade, R.A.; Aminpour, M.; Le, D.; Li, Z.; Farha, O.K.; Harper, J.K.; et al. Heterogeneous Metal-Free Hydrogenation over Defect-Laden Hexagonal Boron Nitride. ACS Omega 2016, 1, 1343–1354. [Google Scholar] [CrossRef]
- Beillard, A.; Métro, T.-X.; Bantreil, X.; Martinez, J.; Lamaty, F. Cu(0), O2 and Mechanical Forces: A Saving Combination for Efficient Production of Cu–NHC Complexes. Chem. Sci. 2017, 8, 1086–1089. [Google Scholar] [CrossRef]
- Kano, J.; Miyazaki, M.; Saito, F. Ball Mill Simulation and Powder Characteristics of Ground Talc in Various Types of Mill. Adv. Powder Technol. 2000, 11, 333–342. [Google Scholar] [CrossRef]
- Fišteš, A.Z.; Rakić, D.Z.; Pajin, B.S.; Dokić, L.P.; Nikolić, I.R. The Effect of Processing Parameters on Energy Comsumption of Ball Mill Refiner for Chocolate. Hem. Ind. 2013, 67, 747–751. [Google Scholar] [CrossRef]
- Dallimore, M.P.; McCormick, P.G. Dynamics of Planetary Ball Milling: A Comparison of Computer Simulated Processing Parameters with CuO/Ni Displacement Reaction Milling Kinetics. Mater. Trans. 1996, 37, 1091–1098. [Google Scholar] [CrossRef]
- Burmeister, C.F.; Kwade, A. Process Engineering with Planetary Ball Mills. Chem. Soc. Rev. 2013, 42, 7660–7667. [Google Scholar] [CrossRef]
- Gotor, F.J.; Achimovicova, M.; Real, C.; Bálaž, P. Influence of the Milling Parameters on the Mechanical Work Intensity in Planetary Mills. Powder Technol. 2013, 233, 1–7. [Google Scholar] [CrossRef]
- Ma, X.; Yuan, W.; Bell, S.E.J.; James, S.L. Better Understanding of Mechanochemical Reactions: Raman Monitoring Reveals Surprisingly Simple “pseudo-Fluid” Model for a Ball Milling Reaction. Chem. Commun. 2014, 50, 1585–1587. [Google Scholar] [CrossRef] [PubMed]
- Julien, P.A.; Malvestiti, I.; Friščić, T. The Effect of Milling Frequency on a Mechanochemical Organic Reaction Monitored by in Situ Raman Spectroscopy. Beilstein J. Org. Chem. 2017, 13, 2160–2168. [Google Scholar] [CrossRef] [PubMed]
- Zhang, Z.; Peng, Z.W.; Hao, M.F.; Gao, J.G. Mechanochemical Diels-Alder Cycloaddition Reactions for Straightforward Synthesis of Endo-Norbornene Derivatives. Synlett 2010, 19, 2895–2898. [Google Scholar] [CrossRef]
- Schneider, F.; Szuppa, T.; Stolle, A.; Ondruschka, B.; Hopf, H. Energetic Assessment of the Suzuki–Miyaura Reaction: A Curtate Life Cycle Assessment as an Easily Understandable and Applicable Tool for Reaction Optimization. Green Chem. 2009, 11, 1894–1899. [Google Scholar] [CrossRef]
- Cincotti, A.; Traversari, G.; Pia, G.; Delogu, F. Milling Dynamics and Propagation of Mechanically Activated Self-Sustaining Reactions. Adv. Mater. Sci. Eng. 2020, 2020, 26–35. [Google Scholar] [CrossRef]
- Geng, F.; Gang, L.; Wang, Y.; Li, Y.; Yuan, Z. Numerical Investigation on Particle Mixing in a Ball Mill. Powder Technol. 2016, 292, 64–73. [Google Scholar] [CrossRef]
- Burmeister, C.F.; Hofer, M.; Molaiyan, P.; Michalowski, P.; Kwade, A. Characterization of Stressing Conditions in a High Energy Ball Mill by Discrete Element Simulations. Processes 2022, 10, 692. [Google Scholar] [CrossRef]
- Kakuk, G.; Zsoldos, I.; Csanády, Á.; Oldal, I. Contributions to the Modelling of the Milling Process in a Planetary Ball Mill. Rev. Adv. Mater. Sci. 2009, 22, 21–38. [Google Scholar]
- Reichardt, R.; Wiechert, W. Event Driven Algorithms Applied to a High Energy Ball Mill Simulation. Granul. Matter 2007, 9, 251–266. [Google Scholar] [CrossRef]
- Carta, M.; Colacino, E.; Delogu, F.; Porcheddu, A. Kinetics of Mechanochemical Transformations. Phys. Chem. Chem. Phys. 2020, 22, 14489–14502. [Google Scholar] [CrossRef] [PubMed]
- Rybkin, V.V. Franck-Condon Theory of Quantum Mechanochemistry. J. Phys. Chem. A 2017, 121, 5758–5762. [Google Scholar] [CrossRef] [PubMed]
- Tricker, A.W.; Samaras, G.; Hebisch, K.L.; Realff, M.J. Hot Spot Generation, Reactivity, and Decay in Mechanochemical Reactors. Chem. Eng. J. 2020, 382, 122954. [Google Scholar] [CrossRef]
- Andersen, J.; Brunemann, J.; Mack, J. Exploring Stable, Sub-Ambient Temperatures in Mechanochemistry via a Diverse Set of Enantioselective Reactions. React. Chem. Eng. 2019, 4, 1229–1236. [Google Scholar] [CrossRef]
- Ong, M.T.; Leiding, J.; Tao, H.; Virshup, A.M.; Martínez, T.J. First Principles Dynamics and Minimum Energy Pathways for Mechanochemical Ring Opening of Cyclobutene. J. Am. Chem. Soc. 2009, 131, 6377–6379. [Google Scholar] [CrossRef]
- Hickenboth, C.R.; Moore, J.S.; White, S.R.; Sottos, N.R.; Baudry, J.; Wilson, S.R. Biasing Reaction Pathways with Mechanical Force. Nature 2007, 446, 423–427. [Google Scholar] [CrossRef]
- Ferguson, M.; Moyano, M.S.; Tribello, G.A.; Crawford, D.E.; Bringa, E.M.; James, S.L.; Kohanoff, J.; Del Pópolo, M.G. Insights into Mechanochemical Reactions at the Molecular Level: Simulated Indentations of Aspirin and Meloxicam Crystals. Chem. Sci. 2019, 10, 2924–2929. [Google Scholar] [CrossRef]
- Ma, E. Amorphization in Mechanically Driven Material Systems. Scr. Mater. 2003, 49, 941–946. [Google Scholar] [CrossRef]
- Ma, X.; Shi, L.; He, X.; Li, L.; Cao, G.; Hou, C.; Li, J.; Chang, L.; Yang, L.; Zhong, Y. Graphitization Resistance Determines Super Hardness of Lonsdaleite, Nanotwinned and Nanopolycrystalline Diamond. Carbon 2018, 133, 69–76. [Google Scholar] [CrossRef]
- Khawam, A.; Flanagan, D.R. Solid-State Kinetic Models: Basics and Mathematical Fundamentals. J. Phys. Chem. B 2006, 110, 17315–17328. [Google Scholar] [CrossRef]
- Gonnet, L.; Chamayou, A.; André-Barrès, C.; Micheau, J.C.; Guidetti, B.; Sato, T.; Baron, M.; Baltas, M.; Calvet, R. Elucidation of the Diels-Alder Reaction Kinetics between Diphenylfulvene and Maleimide by Mechanochemistry and in Solution. ACS Sustain. Chem. Eng. 2021, 9, 4453–4462. [Google Scholar] [CrossRef]
- Oliveira, P.F.M.; Baron, M.; Chamayou, A.; Baltas, M.; Guidetti, B.; Haruta, N.; Tanaka, K.; Sato, T. Lowering the Activation Energy under Mechanochemical Conditions: The Case of 2,3-Diphenylquinoxaline. ChemistrySelect 2016, 1, 984–988. [Google Scholar] [CrossRef]
- Lukin, S.; Tireli, M.; Lončarić, I.; Barišić, D.; Šket, P.; Vrsaljko, D.; Di Michiel, M.; Plavec, J.; Užarević, K.; Halasz, I. Mechanochemical Carbon-Carbon Bond Formation That Proceeds via a Cocrystal Intermediate. Chem. Commun. 2018, 54, 13216–13219. [Google Scholar] [CrossRef] [PubMed]
- Taylor, P.; Mortimer, M. (Eds.) Chemical Kinetics and Mechanism, 1st ed.; RSC Publishing: Cambridge, UK, 2002. [Google Scholar]
- Khawam, A.; Flanagan, D.R. Basics and Applications of Solid-State Kinetics: A Pharmaceutical Perspective. J. Pharm. Sci. 2006, 95, 472–498. [Google Scholar] [CrossRef]
- Ya Davydov, E.; Vorotnikov, A.P.; Pariyskii, G.B.; Zaikov, G.E. Kinetic Peculiarities of Solid Phase Reactions, 1st ed.; John Wiley & Sons Ltd.: Chichester, UK, 1998. [Google Scholar]
- Stauch, T.; Dreuw, A. Advances in Quantum Mechanochemistry: Electronic Structure Methods and Force Analysis. Chem. Rev. 2016, 116, 14137–14180. [Google Scholar] [CrossRef]
- Ribas-Ariño, J.; Marx, D. Covalent Mechanochemistry: Theoretical Concepts and Computational Tools with Applications to Molecular Nanomechanics. Chem. Rev. 2012, 112, 5412–5487. [Google Scholar] [CrossRef]
- Gilman, J.J. Mechanochemistry. Science 1996, 274, 65. [Google Scholar] [CrossRef]
- Grandbois, M.; Beyer, M.; Rief, M.; Clausen-Schaumann, H.; Gaub, H.E. How Strong Is a Covalent Bond? Science 1999, 283, 1727–1730. [Google Scholar] [CrossRef]
- Beyer, M.K. The Mechanical Strength of a Covalent Bond Calculated by Density Functional Theory. J. Chem. Phys. 2000, 112, 7307–7312. [Google Scholar] [CrossRef]
- Quapp, W.; Bofill, J.M.; Ribas-Ariño, J. Toward a Theory of Mechanochemistry: Simple Models from the Very Beginnings. Int. J. Quantum Chem. 2018, 118, e25775. [Google Scholar] [CrossRef]
- Stauch, T.; Dreuw, A. Quantum Chemical Strain Analysis For Mechanochemical Processes. Acc. Chem. Res. 2017, 50, 1041–1048. [Google Scholar] [CrossRef]
- Barbee, M.H.; Kouznetsova, T.; Barrett, S.L.; Gossweiler, G.R.; Lin, Y.; Rastogi, S.K.; Brittain, W.J.; Craig, S.L. Substituent Effects and Mechanism in a Mechanochemical Reaction. J. Am. Chem. Soc. 2018, 140, 12746–12750. [Google Scholar] [CrossRef]
- Kochhar, G.S.; Mosey, N.J. Differences in the Abilities to Mechanically Eliminate Activation Energies for Unimolecular and Bimolecular Reactions. Sci. Rep. 2016, 6, 23059. [Google Scholar] [CrossRef] [PubMed]
- Roessler, A.G.; Zimmerman, P.M. Examining the Ways to Bend and Break Reaction Pathways Using Mechanochemistry. J. Phys. Chem. C 2018, 122, 6996–7004. [Google Scholar] [CrossRef]
- Spikes, H. Stress-Augmented Thermal Activation: Tribology Feels the Force. Friction 2018, 6, 1–31. [Google Scholar] [CrossRef]
- Adams, H.L.; Garvey, M.T.; Ramasamy, U.S.; Ye, Z.; Martini, A.; Tysoe, W.T. Shear Induced Mechanochemistry: Pushing Molecules Around. J. Phys. Chem. C 2015, 119, 7115–7123. [Google Scholar] [CrossRef]
- Friščić, T.; Halasz, I.; Beldon, P.J.; Belenguer, A.M.; Adams, F.; Kimber, S.A.; Honkimaki, V.; Dinnebier, R.E. Real-Time and in Situ Monitoring of Mechanochemical Milling Reactions. Nat. Chem. 2013, 5, 66–73. [Google Scholar] [CrossRef]
- Halasz, I.; Kimber, S.A.J.; Beldon, P.J.; Belenguer, A.M.; Adams, F.; Honkimäki, V.; Nightingale, R.C.; Dinnebier, R.E.; Friščić, T. In Situ and Real-Time Monitoring of Mechanochemical Milling Reactions Using Synchrotron X-ray Diffraction. Nat. Protoc. 2013, 8, 1718–1729. [Google Scholar] [CrossRef] [PubMed]
- Užarević, K.; Halasz, I.; Friščić, T. Real-Time and in Situ Monitoring of Mechanochemical Reactions: A New Playground for All Chemists. J. Phys. Chem. Lett. 2015, 6, 4129–4140. [Google Scholar] [CrossRef] [PubMed]
- Gracin, D.; Štrukil, V.; Friščić, T.; Halasz, I.; Užarević, K. Laboratory Real-Time and in Situ Monitoring of Mechanochemical Milling Reactions by Raman Spectroscopy. Angew. Chem. Int. Ed. 2014, 53, 6193–6197. [Google Scholar] [CrossRef] [PubMed]
- Lukin, S.; Užarević, K.; Halasz, I. Raman Spectroscopy for Real-Time and in Situ Monitoring of Mechanochemical Milling Reactions. Nat. Protoc. 2021, 16, 3492–3521. [Google Scholar] [CrossRef]
- Lukin, S.; Stolar, T.; Tireli, M.; Blanco, M.V.; Babić, D.; Friščić, T.; Užarević, K.; Halasz, I. Tandem In Situ Monitoring for Quantitative Assessment of Mechanochemical Reactions Involving Structurally Unknown Phases. Chem. A Eur. J. 2017, 23, 13941–13949. [Google Scholar] [CrossRef] [PubMed]
- Martins, I.C.B.; Carta, M.; Haferkamp, S.; Feiler, T.; Delogu, F.; Colacino, E.; Emmerling, F. Mechanochemical N-Chlorination Reaction of Hydantoin: In Situ Real-Time Kinetic Study by Powder X-Ray Diffraction and Raman Spectroscopy. ACS Sustain. Chem. Eng. 2021, 9, 37. [Google Scholar] [CrossRef]
- Julien, P.A.; Friščić, T. Methods for Monitoring Milling Reactions and Mechanistic Studies of Mechanochemistry: A Primer. Cryst. Growth Des. 2022, 22, 5726–5754. [Google Scholar] [CrossRef]
- Weidenthaler, C. In Situ Analytical Methods for the Characterization of Mechanochemical Reactions. Crystals 2022, 12, 345. [Google Scholar] [CrossRef]
- Julien, P.A.; Užarević, K.; Katsenis, A.D.; Kimber, S.A.J.; Wang, T.; Farha, O.K.; Zhang, Y.; Casaban, J.; Germann, L.S.; Etter, M.; et al. In Situ Monitoring and Mechanism of the Mechanochemical Formation of a Microporous MOF-74 Framework. J. Am. Chem. Soc. 2016, 138, 2929–2932. [Google Scholar] [CrossRef] [PubMed]
- Halasz, I.; Puskaric, A.; Kimber, S.A.J.; Beldon, P.J.; Belenguer, A.M.; Adams, F.; Honkimaki, V.; Dinnebier, R.E.; Patel, B.; Jones, W.; et al. Real-Time In Situ Powder X-Ray Diffraction Monitoring of Mechanochemical Synthesis of Pharmaceutical Cocrystals. Angew. Chem. Int. Ed. 2013, 52, 11538–11541. [Google Scholar] [CrossRef]
- Germann, L.S.; Katsenis, A.D.; Huskić, I.; Julien, P.A.; Užarević, K.; Etter, M.; Farha, O.K.; Friščić, T.; Dinnebier, R.E. Real-Time in Situ Monitoring of Particle and Structure Evolution in the Mechanochemical Synthesis of UiO-66 Metal-Organic Frameworks. Cryst. Growth Des. 2020, 20, 49–54. [Google Scholar] [CrossRef]
- Tireli, M.; Juribašić Kulcsár, M.; Cindro, N.; Gracin, D.; Biliškov, N.; Borovina, M.; Ćurić, M.; Halasz, I.; Užarević, K. Mechanochemical Reactions Studied by in Situ Raman Spectroscopy: Base Catalysis in Liquid-Assisted Grinding. Chem. Commun. 2015, 51, 8058–8061. [Google Scholar] [CrossRef]
- Sović, I.; Lukin, S.; Meštrović, E.; Halasz, I.; Porcheddu, A.; Delogu, F.; Ricci, P.C.; Caron, F.; Perilli, T.; Dogan, A.; et al. Mechanochemical Preparation of Active Pharmaceutical Ingredients Monitored by in Situ Raman Spectroscopy. ACS Omega 2020, 5, 28663–28672. [Google Scholar] [CrossRef] [PubMed]
- Biliškov, N.; Borgschulte, A.; Užarević, K.; Halasz, I.; Lukin, S.; Milošević, S.; Milanović, I.; Novaković, J.G. In-Situ and Real-Time Monitoring of Mechanochemical Preparation of Li2Mg(NH2BH3)4 and Na2Mg(NH2BH3)4 and Their Thermal Dehydrogenation. Chem. A Eur. J. 2017, 23, 16274–16282. [Google Scholar] [CrossRef] [PubMed]
- Batzdorf, L.; Fischer, F.; Wilke, M.; Wenzel, K.J.; Emmerling, F. Direct in Situ Investigation of Milling Reactions Using Combined X-Ray Diffraction and Raman Spectroscopy. Angew. Chem. Int. Ed. 2015, 54, 1799–1802. [Google Scholar] [CrossRef]
- Kulla, H.; Michalchuk, A.A.L.; Emmerling, F. Manipulating the Dynamics of Mechanochemical Ternary Cocrystal Formation. Chem. Commun. 2019, 55, 9793–9796. [Google Scholar] [CrossRef] [PubMed]
- Kulla, H.; Greiser, S.; Benemann, S.; Rademann, K.; Emmerling, F. Knowing When to Stop—Trapping Metastable Polymorphs in Mechanochemical Reactions. Cryst. Growth Des. 2017, 17, 1190–1196. [Google Scholar] [CrossRef]
- Dewolfe, R.H. Kinetics in the Study of Organic Reaction Mechanisms. J. Chem. Educ. 1963, 40, 95–98. [Google Scholar] [CrossRef]
Disclaimer/Publisher’s Note: The statements, opinions and data contained in all publications are solely those of the individual author(s) and contributor(s) and not of MDPI and/or the editor(s). MDPI and/or the editor(s) disclaim responsibility for any injury to people or property resulting from any ideas, methods, instructions or products referred to in the content. |
© 2023 by the author. Licensee MDPI, Basel, Switzerland. This article is an open access article distributed under the terms and conditions of the Creative Commons Attribution (CC BY) license (https://creativecommons.org/licenses/by/4.0/).










