Non-Fermi Liquid Behavior in the Three-Dimensional Hubbard Model
Abstract
1. Introduction
2. Model and Methods
2.1. Model
2.2. Dynamical Cluster Approximation Cluster
2.3. Continuous Time Quantum Monte Carlo and Simulation Parameters
2.4. Locating the Fermi Surface
2.5. Quasi-Particle Weight
2.6. Fitting of the Quasi-Particle Weight
3. Results
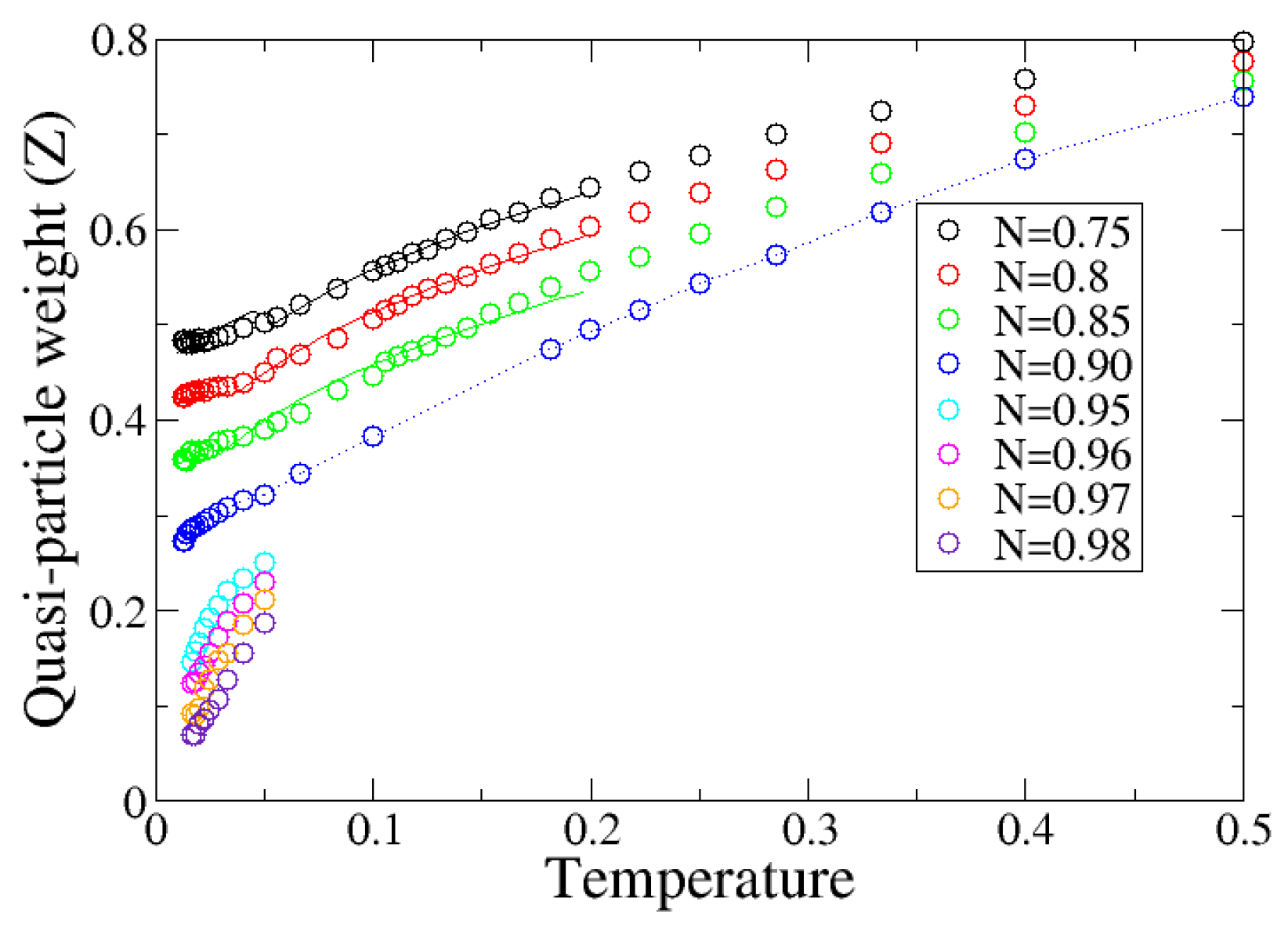
3.1. Quasi-Particle Weight
3.2. Spectral Functions
4. Conclusions
Author Contributions
Funding
Data Availability Statement
Acknowledgments
Conflicts of Interest
Appendix A
Appendix A.1. Dynamical Cluster Approximation
Appendix A.2. Minus Sign of the Quantum Monte Carlo Impurity Solver
References
- Landau, L. The Theory of a Fermi Liquid. Sov. Phys. JETP 1956, 3, 920. [Google Scholar]
- Landau, L. Oscillations in a Fermi liquid. Sov. Phys. JETP 1957, 5, 101–108. [Google Scholar]
- Landau, L. On the Theory of the Fermi Liquid. Sov. Phys. JETP 1959, 8, 70. [Google Scholar]
- Voit, J. One-dimensional Fermi liquids. Rep. Prog. Phys. 1995, 58, 977–1116. [Google Scholar] [CrossRef]
- Shankar, R. Renormalization-group approach to interacting fermions. Rev. Mod. Phys. 1994, 66, 129. [Google Scholar] [CrossRef]
- Abrikosov, A.; Gorkov, L.; Dzyaloshinski, I. Methods of Quantum Field Theory in Statistical Physics; Prentice Hall: Hoboken, NJ, USA, 1963. [Google Scholar]
- Hertz, J.A. Quantum critical phenomena. Phys. Rev. B 1976, 14, 1165–1184. [Google Scholar] [CrossRef]
- Moriya, T.; Kawabata, A. Effect of Spin Fluctuations on Itinerant Electron Ferromagnetism. J. Phys. Soc. Jpn 1973, 34, 639–651. [Google Scholar] [CrossRef]
- Millis, A.J. Effect of a nonzero temperature on quantum critical points in itinerant fermion systems. Phys. Rev. B 1993, 48, 7183–7196. [Google Scholar] [CrossRef]
- Moriya, T.; Kawabata, A. Effect of Spin Fluctuations on Itinerant Electron Ferromagnetism. II. J. Phys. Soc. Jpn 1973, 35, 669–676. [Google Scholar] [CrossRef]
- Lederer, S.; Schattner, Y.; Berg, E.; Kivelson, S.A. Superconductivity and non-Fermi liquid behavior near a nematic quantum critical point. Proc. Natl. Acad. Sci. USA 2017, 114, 4905–4910. [Google Scholar] [CrossRef]
- Steppke, A.; Küchler, R.; Lausberg, S.; Lengyel, E.; Steinke, L.; Borth, R.; Lühmann, T.; Krellner, C.; Nicklas, M.; Geibel, C.; et al. Ferromagnetic Quantum Critical Point in the Heavy-Fermion Metal YbNi4(P1−xAsx)2. Science 2013, 339, 933–936. [Google Scholar] [CrossRef]
- Paschen, S.; Lühmann, T.; Wirth, S.; Gegenwart, P.; Trovarelli, O.; Geibel, C.; Steglich, F.; Coleman, P.; Si, Q. Hall-effect evolution across a heavy-fermion quantum critical point. Nature 2004, 432, 881–885. [Google Scholar] [CrossRef]
- Kastr, G. A Fermi liquid model for the overdoped and optimally doped cuprate superconductors: Scattering rate, susceptibility, spin resonance peak and superconducting transition. Phys. C Supercond. 2000, 340, 119–132. [Google Scholar] [CrossRef]
- Kastrinakis, G. Quasiparticle scattering rate in overdoped superconducting cuprates. Phys. Rev. B 2005, 71, 014520. [Google Scholar] [CrossRef]
- Dzyaloshinskii, I. Extended Van-Hove singularity and related non-Fermi liquids. J. De Phys. I 1996, 6, 119–135. [Google Scholar] [CrossRef]
- González, J.; Stauber, T. Marginal Fermi Liquid in Twisted Bilayer Graphene. Phys. Rev. Lett. 2020, 124, 186801. [Google Scholar] [CrossRef] [PubMed]
- Slakey, F.; Klein, M.V.; Rice, J.P.; Ginsberg, D.M. Raman investigation of the YBa2Cu3O7 imaginary response function. Phys. Rev. B 1991, 43, 3764–3767. [Google Scholar] [CrossRef]
- Mitrano, M.; Husain, A.; Vig, S.; Kogar, A.; Rak, M.; Rubeck, S.; Schmalian, J.; Uchoa, B.; Schneeloch, J.; Zhong, R.; et al. Anomalous density fluctuations in a strange metal. Proc. Natl. Acad. Sci. USA 2018, 115, 5392–5396. [Google Scholar] [CrossRef]
- Bednorz, J.G.; Müller, K.A. Possible high Tc superconductivity in the Ba-La-Cu-O system. Z. Phys. B 1986, 64, 189–193. [Google Scholar] [CrossRef]
- Schlesinger, Z.; Collins, R.T.; Holtzberg, F.; Feild, C.; Blanton, S.H.; Welp, U.; Crabtree, G.W.; Fang, Y.; Liu, J.Z. Superconducting energy gap and normal-state conductivity of a single-domain YBa2Cu3O7 crystal. Phys. Rev. Lett. 1990, 65, 801–804. [Google Scholar] [CrossRef]
- Varma, C.M. Pseudogap Phase and the Quantum-Critical Point in Copper-Oxide Metals. Phys. Rev. Lett. 1999, 83, 3538–3541. [Google Scholar] [CrossRef]
- Varma, C.M.; Littlewood, P.B.; Schmitt-Rink, S.; Abrahams, E.; Ruckenstein, A.E. Phenomenology of the normal state of Cu-O high-temperature superconductors. Phys. Rev. Lett. 1989, 63, 1996–1999. [Google Scholar] [CrossRef] [PubMed]
- Kakehashi, Y.; Fulde, P. Marginal Fermi Liquid Theory in the Hubbard Model. Phys. Rev. Lett. 2005, 94, 156401. [Google Scholar] [CrossRef] [PubMed]
- Kakehashi, Y.; Fulde, P. Marginal Fermi liquid and kink structure of quasiparticles in cuprates. J. Magn. Magn. Mater. 2007, 310, 489–491. [Google Scholar] [CrossRef]
- Sire, C.; Varma, C.M.; Ruckenstein, A.E.; Giamarchi, T. Theory of the marginal-Fermi-liquid spectrum and pairing in a local copper oxide model. Phys. Rev. Lett. 1994, 72, 2478–2481. [Google Scholar] [CrossRef]
- Ruckenstein, A.; Varma, C. A theory of marginal fermi-liquids. Phys. C Supercond. 1991, 185–189, 134–140. [Google Scholar] [CrossRef]
- Littlewood, P.B.; Varma, C.M. Phenomenology of the normal and superconducting states of a marginal Fermi liquid (invited). J. Appl. Phys. 1991, 69, 4979–4984. [Google Scholar] [CrossRef]
- Saarloos, C.V.Z.N.W.V. Singular or non-Fermi liquids. Phys. Rep. 2002, 361, 267–417. [Google Scholar] [CrossRef]
- Vidhyadhiraja, N.S.; Macridin, A.; Şen, C.; Jarrell, M.; Ma, M. Quantum Critical Point at Finite Doping in the 2D Hubbard Model: A Dynamical Cluster Quantum Monte Carlo Study. Phys. Rev. Lett. 2009, 102, 206407. [Google Scholar] [CrossRef]
- Zhang, F.C.; Rice, T.M. Effective Hamiltonian for the superconducting Cu oxides. Phys. Rev. B 1988, 37, 3759–3761. [Google Scholar] [CrossRef]
- Fuchs, S.; Gull, E.; Pollet, L.; Burovski, E.; Kozik, E.; Pruschke, T.; Troyer, M. Thermodynamics of the 3D Hubbard Model on Approaching the Néel Transition. Phys. Rev. Lett. 2011, 106, 030401. [Google Scholar] [CrossRef] [PubMed]
- Kent, P.R.C.; Jarrell, M.; Maier, T.A.; Pruschke, T. Efficient calculation of the antiferromagnetic phase diagram of the three-dimensional Hubbard model. Phys. Rev. B 2005, 72, 060411. [Google Scholar] [CrossRef]
- Karchev, N. Quantum critical behavior in three-dimensional one-band Hubbard model at half-filling. Ann. Phys. 2013, 333, 206–220. [Google Scholar] [CrossRef]
- Staudt, R.; Dzierzawa, M.; Muramatsu, A. Phase diagram of the three-dimensional Hubbard model at half filling. Eur. Phys. J. B 2000, 17, 411–415. [Google Scholar] [CrossRef]
- Schäfer, T.; Toschi, A.; Tomczak, J.M. Separability of dynamical and nonlocal correlations in three dimensions. Phys. Rev. B 2015, 91, 121107. [Google Scholar] [CrossRef]
- Schäfer, T.; Katanin, A.A.; Held, K.; Toschi, A. Interplay of Correlations and Kohn Anomalies in Three Dimensions: Quantum Criticality with a Twist. Phys. Rev. Lett. 2017, 119, 046402. [Google Scholar] [CrossRef]
- Hettler, M.H.; Mukherjee, M.; Jarrell, M.; Krishnamurthy, H.R. Dynamical cluster approximation: Nonlocal dynamics of correlated electron systems. Phys. Rev. B 2000, 61, 12739–12756. [Google Scholar] [CrossRef]
- Maier, T.; Jarrell, M.; Pruschke, T.; Hettler, M.H. Quantum cluster theories. Rev. Mod. Phys. 2005, 77, 1027–1080. [Google Scholar] [CrossRef]
- Betts, D.D.; Schulenburg, J.; Stewart, G.E.; Richter, J.; Flynn, J.S. Exact diagonalization of the S= 1/2 Heisenberg antiferromagnet on finite BCC lattices to estimate properties on the infinite lattice. J. Phys. A 1998, 31, 7685–7698. [Google Scholar] [CrossRef]
- Gull, E.; Millis, A.J.; Lichtenstein, A.I.; Rubtsov, A.N.; Troyer, M.; Werner, P. Continuous-time Monte Carlo methods for quantum impurity models. Rev. Mod. Phys. 2011, 83, 349–404. [Google Scholar] [CrossRef]
- Rubtsov, A.N.; Savkin, V.V.; Lichtenstein, A.I. Continuous-time quantum Monte Carlo method for fermions. Phys. Rev. B 2005, 72, 035122. [Google Scholar] [CrossRef]
- Assaad, F.F. 7 Continuous-time QMC Solvers for Electronic Systems in Fermionic and Bosonic Baths. In DMFT at 25: Infinite Dimensions; Verlag des Forschungszentrum Jülich: Jülich, Germany, 2014; p. 51. [Google Scholar]
- Mikelsons, K.; Macridin, A.; Jarrell, M. Relationship between Hirsch-Fye and weak-coupling diagrammatic quantum Monte Carlo methods. Phys. Rev. E 2009, 79, 057701. [Google Scholar] [CrossRef] [PubMed]
- Shepard, D. A Two-Dimensional Interpolation Function for Irregularly-Spaced Data. In Proceedings of the 23rd ACM National Conference, New York, NY, USA, 27–29 August 1968; Association for Computing Machinery: New York, NY, USA, 1968; pp. 517–524. [Google Scholar] [CrossRef]
- Arsenault, L.F.; Sémon, P.; Tremblay, A.M.S. Benchmark of a modified iterated perturbation theory approach on the FCC lattice at strong coupling. Phys. Rev. B 2012, 86, 085133. [Google Scholar] [CrossRef]
- Serene, D.H.J. Self consistent numerical calculations for nested Fermi liquids. J. Phys. Chem. Solids 1991, 52, 1385–1390. [Google Scholar] [CrossRef]
- Gubernatis, J.E.; Jarrell, M.; Silver, R.N.; Sivia, D.S. Quantum Monte Carlo simulations and maximum entropy: Dynamics from imaginary-time data. Phys. Rev. B 1991, 44, 6011–6029. [Google Scholar] [CrossRef]
- Jarrell, M.; Gubernatis, J.E. Bayesian inference and the analytic continuation of imaginary-time quantum Monte Carlo data. Phys. Rep. 1996, 269, 133–195. [Google Scholar] [CrossRef]
- Sachdev, S.; Ye, J. Gapless spin-fluid ground state in a random quantum Heisenberg magnet. Phys. Rev. Lett. 1993, 70, 3339. [Google Scholar] [CrossRef] [PubMed]
- Kitaev, A. A Simple Model of Quantum Holography (Part 2), Talk at KITP; Caltech: Pasadena, CA, USA, 2015. [Google Scholar]
- Galanakis, D.; Khatami, E.; Mikelsons, K.; Macridin, A.; Moreno, J.; Browne, D.A.; Jarrell, M. Quantum criticality and incipient phase separation in the thermodynamic properties of the Hubbard model. Philos. Trans. R. Soc. A 2011, 369, 1670–1686. [Google Scholar] [CrossRef]
- Mikelsons, K.; Khatami, E.; Galanakis, D.; Macridin, A.; Moreno, J.; Jarrell, M. Thermodynamics of the quantum critical point at finite doping in the two-dimensional Hubbard model studied via the dynamical cluster approximation. Phys. Rev. B 2009, 80, 140505. [Google Scholar] [CrossRef]
- Sénéchal, D. An introduction to quantum cluster methods. arXiv 2010, arXiv:0806.2690. [Google Scholar]
- Fotso, H.F.; Tam, K.M.; Moreno, J. Beyond quantum cluster theories: Multiscale approaches for strongly correlated systems. Quantum Sci. Technol. 2022, 7, 033001. [Google Scholar] [CrossRef]






Disclaimer/Publisher’s Note: The statements, opinions and data contained in all publications are solely those of the individual author(s) and contributor(s) and not of MDPI and/or the editor(s). MDPI and/or the editor(s) disclaim responsibility for any injury to people or property resulting from any ideas, methods, instructions or products referred to in the content. |
© 2023 by the authors. Licensee MDPI, Basel, Switzerland. This article is an open access article distributed under the terms and conditions of the Creative Commons Attribution (CC BY) license (https://creativecommons.org/licenses/by/4.0/).
Share and Cite
Kellar, S.; Tam, K.-M.; Moreno, J. Non-Fermi Liquid Behavior in the Three-Dimensional Hubbard Model. Crystals 2023, 13, 106. https://doi.org/10.3390/cryst13010106
Kellar S, Tam K-M, Moreno J. Non-Fermi Liquid Behavior in the Three-Dimensional Hubbard Model. Crystals. 2023; 13(1):106. https://doi.org/10.3390/cryst13010106
Chicago/Turabian StyleKellar, Samuel, Ka-Ming Tam, and Juana Moreno. 2023. "Non-Fermi Liquid Behavior in the Three-Dimensional Hubbard Model" Crystals 13, no. 1: 106. https://doi.org/10.3390/cryst13010106
APA StyleKellar, S., Tam, K.-M., & Moreno, J. (2023). Non-Fermi Liquid Behavior in the Three-Dimensional Hubbard Model. Crystals, 13(1), 106. https://doi.org/10.3390/cryst13010106
