A Tunable Zig-Zag Reflective Elastic Metasurface
Abstract
:1. Introduction
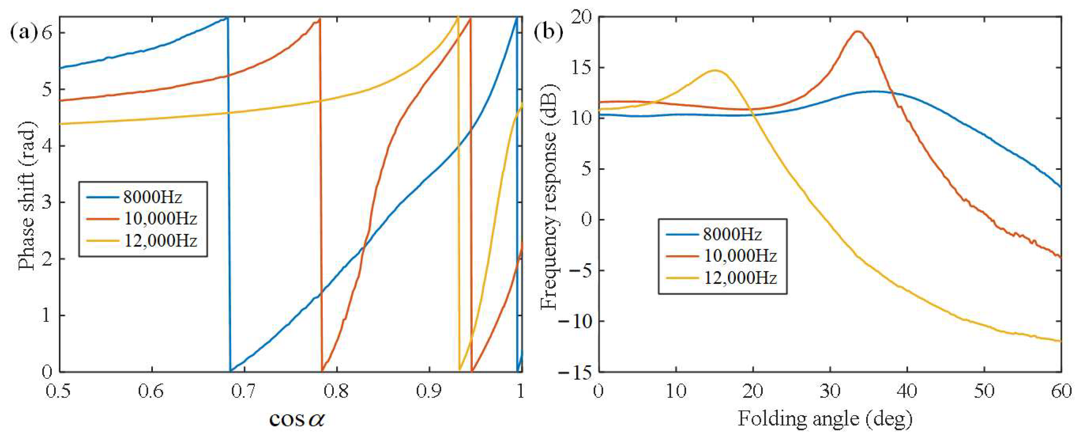
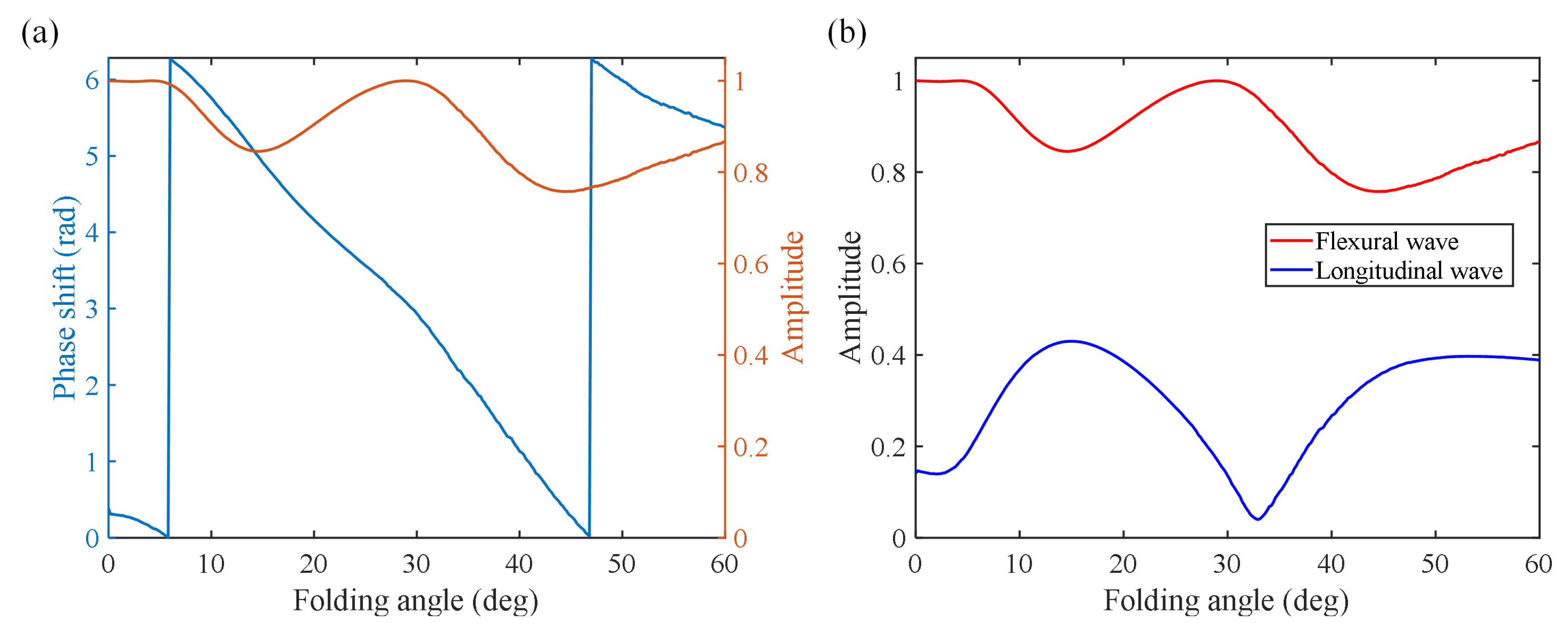
2. Reflection Characteristics of the Subunit of the Tunable Zig-Zag Reflective Elastic Metasurface
3. Flexural Wave Manipulation Utilizing the Tunable Zig-Zag Reflective Elastic Metasurface
3.1. Steering-Reflected Flexural Waves
3.2. Focusing Reflected Flexural Waves
4. Conclusions
Author Contributions
Funding
Institutional Review Board Statement
Informed Consent Statement
Data Availability Statement
Conflicts of Interest
References
- Zhu, Y.; Fan, X.; Liang, B.; Cheng, J.; Jing, Y. Ultrathin acoustic metasurface-based Schroeder diffuser. Phys. Rev. X 2017, 7, 021034. [Google Scholar] [CrossRef]
- Zhao, T.; Yang, Z.; Tian, W.; Cao, L.; Xu, Y. Deep-subwavelength elastic metasurface with force-moment resonators for abnormally reflecting flexural waves. Int. J. Mech. Sci. 2022, 221, 107193. [Google Scholar] [CrossRef]
- Su, G.; Zhang, Y.; Liu, Y.; Wang, T. Steering flexural waves by amplitude-shift elastic metasurfaces. J. Appl. Mech. 2021, 88, 051011. [Google Scholar] [CrossRef]
- Zheng, G.; Mühlenbernd, H.; Kenney, M.; Li, G.; Zentgraf, T.; Zhang, S. Metasurface holograms reaching 80% efficiency. Nat. Nanotechnol. 2015, 10, 308–312. [Google Scholar] [CrossRef]
- Chen, A.-L.; Wang, Y.-S.; Wang, Y.-F.; Zhou, H.-T.; Yuan, S.-M. Design of Acoustic/Elastic Phase Gradient Metasurfaces: Principles, Functional Elements, Tunability, and Coding. Appl. Mech. Rev. 2022, 74, 020801. [Google Scholar] [CrossRef]
- Huang, L.; Zhang, S.; Zentgraf, T. Metasurface holography: From fundamentals to applications. Nanophotonics 2018, 7, 1169–1190. [Google Scholar] [CrossRef]
- Deng, Z.-L.; Li, G. Metasurface optical holography. Mater. Today Phys. 2017, 3, 16–32. [Google Scholar] [CrossRef]
- Tian, Y.; Wei, Q.; Cheng, Y.; Liu, X. Acoustic holography based on composite metasurface with decoupled modulation of phase and amplitude. Appl. Phys. Lett. 2017, 110, 191901. [Google Scholar] [CrossRef]
- Yu, N.; Genevet, P.; Kats, M.A.; Aieta, F.; Tetienne, J.-P.; Capasso, F.; Gaburro, Z. Light propagation with phase discontinuities: Generalized laws of reflection and refraction. Science 2011, 334, 333–337. [Google Scholar] [CrossRef] [Green Version]
- Cao, L.; Xu, Y.; Assouar, B.; Yang, Z. Asymmetric flexural wave transmission based on dual-layer elastic gradient metasurfaces. Appl. Phys. Lett. 2018, 113, 183506. [Google Scholar] [CrossRef]
- Cao, L.; Yang, Z.; Xu, Y.; Fan, S.-W.; Zhu, Y.; Chen, Z.; Li, Y.; Assouar, B. Flexural wave absorption by lossy gradient elastic metasurface. J. Mech. Phys. Solids 2020, 143, 104052. [Google Scholar] [CrossRef]
- Zhu, H.; Semperlotti, F. Anomalous refraction of acoustic guided waves in solids with geometrically tapered metasurfaces. Phys. Rev. Lett. 2016, 117, 034302. [Google Scholar] [CrossRef] [PubMed] [Green Version]
- Cao, L.; Yang, Z.; Xu, Y.; Assouar, B. Deflecting flexural wave with high transmission by using pillared elastic metasurface. Smart. Mater. Struct. 2018, 27, 075051. [Google Scholar] [CrossRef]
- Jiang, Y.; Liu, Y.; Kou, M.; Li, H.; Wu, X.; Zeng, X.; Bi, X.; Zhang, H.; Hu, N. Multi-parameter independent manipulation for flexural wave by notched metasurface. Int. J. Mech. Sci. 2022, 214, 106928. [Google Scholar] [CrossRef]
- Kim, M.S.; Lee, W.R.; Kim, Y.Y.; Oh, J.H. Transmodal elastic metasurface for broad angle total mode conversion. Appl. Phys. Lett. 2018, 112, 241905. [Google Scholar] [CrossRef]
- Lee, S.W.; Seung, H.M.; Choi, W.; Kim, M.; Oh, J.H. Broad-angle refractive transmodal elastic metasurface. Appl. Phys. Lett. 2020, 117, 213502. [Google Scholar] [CrossRef]
- Zheng, M.; Park, C.I.; Liu, X.; Zhu, R.; Hu, G.; Kim, Y.Y. Non-resonant metasurface for broadband elastic wave mode splitting. Appl. Phys. Lett. 2020, 116, 171903. [Google Scholar] [CrossRef]
- Chen, Z.; Shao, S.; Negahban, M.; Li, Z. Tunable metasurface for acoustic wave redirection, focusing and source illusion. J. Phys. D Appl. Phys. 2019, 52, 395503. [Google Scholar] [CrossRef]
- Tian, Z.; Shen, C.; Li, J.; Reit, E.; Gu, Y.; Fu, H.; Cummer, S.A.; Huang, T.J. Programmable acoustic metasurfaces. Adv. Funct. Mater. 2019, 29, 1808489. [Google Scholar] [CrossRef]
- Yuan, S.-M.; Chen, A.-L.; Wang, Y.-S. Switchable multifunctional fish-bone elastic metasurface for transmitted plate wave modulation. J. Sound Vib. 2020, 470, 115168. [Google Scholar] [CrossRef]
- Fan, S.-W.; Zhao, S.-D.; Chen, A.-L.; Wang, Y.-F.; Assouar, B.; Wang, Y.-S. Tunable broadband reflective acoustic metasurface. Phys. Rev. Appl. 2019, 11, 044038. [Google Scholar] [CrossRef]
- Li, Y.; Shen, C.; Xie, Y.; Li, J.; Wang, W.; Cummer, S.A.; Jing, Y. Tunable asymmetric transmission via lossy acoustic metasurfaces. Phys. Rev. Lett. 2017, 119, 035501. [Google Scholar] [CrossRef] [PubMed] [Green Version]
- Popa, B.-I.; Shinde, D.; Konneker, A.; Cummer, S.A. Active acoustic metamaterials reconfigurable in real time. Phys. Rev. B 2015, 91, 220303. [Google Scholar] [CrossRef] [Green Version]
- Li, S.; Xu, J.; Yao, Y.; Tang, J. Tunable reflected acoustic wave front modulated with piezoelectric metasurfaces. J. Phys. D: Appl. Phys. 2020, 54, 095102. [Google Scholar] [CrossRef]
- Li, S.; Xu, J.; Tang, J. Tunable modulation of refracted lamb wave front facilitated by adaptive elastic metasurfaces. Appl. Phys. Lett. 2018, 112, 021903. [Google Scholar] [CrossRef]
- Yaw, Z.; Zhou, W.; Lim, C. Anomalous wave control by an adaptive elastic metasurface shunted with negative capacitance circuit. J. Sound Vib. 2022, 525, 116782. [Google Scholar] [CrossRef]
- Yaw, Z.; Zhou, W.; Chen, Z.; Lim, C. Stiffness tuning of a functional-switchable active coding elastic metasurface. Int. J. Mech. Sci. 2021, 207, 106654. [Google Scholar] [CrossRef]
- Yuan, S.-M.; Chen, A.-L.; Cao, L.; Zhang, H.-W.; Fan, S.-W.; Assouar, B.; Wang, Y.-S. Tunable multifunctional fish-bone elastic metasurface for the wavefront manipulation of the transmitted in-plane waves. J. Appl. Phys. 2020, 128, 224502. [Google Scholar] [CrossRef]
- Li, B.; Hu, Y.; Chen, J.; Su, G.; Liu, Y.; Zhao, M.; Li, Z. Efficient asymmetric transmission of elastic waves in thin plates with lossless metasurfaces. Phys. Rev. Appl. 2020, 14, 054029. [Google Scholar] [CrossRef]
- Hu, Y.; Zhang, Y.; Su, G.; Zhao, M.; Li, B.; Liu, Y.; Li, Z. Realization of ultrathin waveguides by elastic metagratings. Commun. Phys. 2022, 5, 62. [Google Scholar] [CrossRef]
- Liu, Y.; Liang, Z.; Liu, F.; Diba, O.; Lamb, A.; Li, J. Source illusion devices for flexural lamb waves using elastic metasurfaces. Phys. Rev. Lett. 2017, 119, 034301. [Google Scholar] [CrossRef] [PubMed]
- Nanda, A.; Karami, M.A. Tunable bandgaps in a deployable metamaterial. J. Sound Vib. 2018, 424, 120–136. [Google Scholar] [CrossRef]
- Xu, Z.-L.; Xu, S.-F.; Chuang, K.-C. Coupled flexural-longitudinal waves in an origami metamaterial with uncoupled creases. Phys. Lett. A 2021, 396, 127232. [Google Scholar] [CrossRef]









Publisher’s Note: MDPI stays neutral with regard to jurisdictional claims in published maps and institutional affiliations. |
© 2022 by the authors. Licensee MDPI, Basel, Switzerland. This article is an open access article distributed under the terms and conditions of the Creative Commons Attribution (CC BY) license (https://creativecommons.org/licenses/by/4.0/).
Share and Cite
Xu, Z.-L.; Yu, S.-B.; Liu, J.; Chuang, K.-C. A Tunable Zig-Zag Reflective Elastic Metasurface. Crystals 2022, 12, 1170. https://doi.org/10.3390/cryst12081170
Xu Z-L, Yu S-B, Liu J, Chuang K-C. A Tunable Zig-Zag Reflective Elastic Metasurface. Crystals. 2022; 12(8):1170. https://doi.org/10.3390/cryst12081170
Chicago/Turabian StyleXu, Zhu-Long, Shi-Bo Yu, Junjie Liu, and Kuo-Chih Chuang. 2022. "A Tunable Zig-Zag Reflective Elastic Metasurface" Crystals 12, no. 8: 1170. https://doi.org/10.3390/cryst12081170
APA StyleXu, Z.-L., Yu, S.-B., Liu, J., & Chuang, K.-C. (2022). A Tunable Zig-Zag Reflective Elastic Metasurface. Crystals, 12(8), 1170. https://doi.org/10.3390/cryst12081170
