Incorporation of Rhodamine into a Host Polymer via In-Situ Generated Isocyanato Group and Application for the Detection of Cu2+ Ion
Abstract
:1. Introduction
2. Materials and Methods
2.1. Materials
2.2. Characterization
2.3. Synthesis of Rhodamine B Ethanol Ester (RB-OH)
2.4. Synthesis of the Rhodamine-Based Polymer P(MMA-co-RB)
2.5. Selectivity Measurements of Metal Ion
2.6. Preparation of Sensory Test Strip and Metal Ion Sensing Test
3. Result and Discussion
3.1. Synthesis of RB-OH and P(MMA-co-RB)
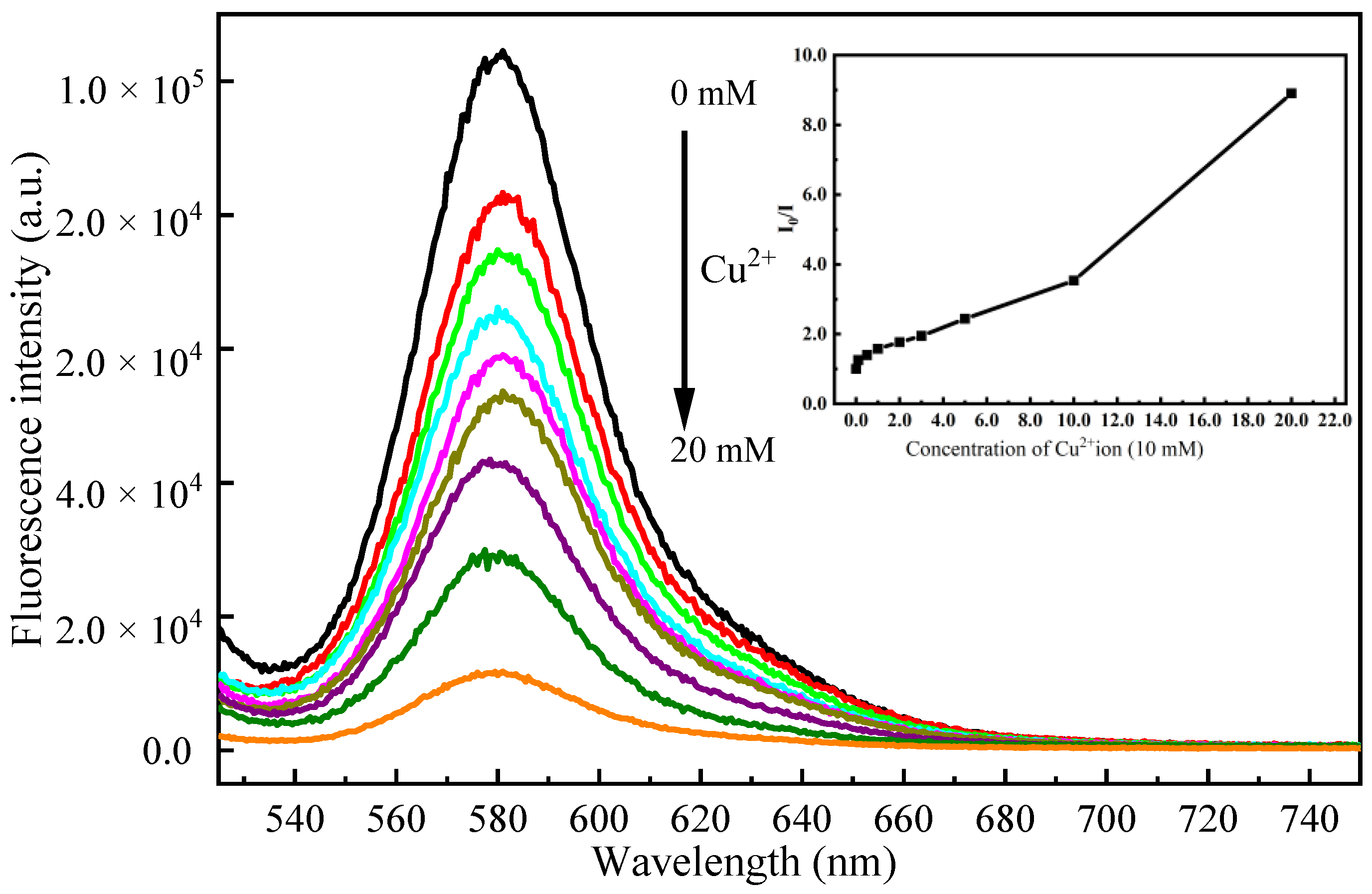
3.2. Fluorescence Sensing of Different Metal Ions by P(MMA-co-RB) in Solution
3.3. Fluorescence Sensing of Different Metal Ions by P(MMA-co-RB) in Solid State
4. Conclusions
Supplementary Materials
Author Contributions
Funding
Institutional Review Board Statement
Informed Consent Statement
Data Availability Statement
Conflicts of Interest
References
- Udhayakumari, D.; Naha, S.; Velmathi, S. Colorimetric and fluorescent chemosensors for Cu2+. A comprehensive review from the years 2013–2015. Anal. Methods 2017, 9, 552–578. [Google Scholar] [CrossRef]
- Gaggelli, E.; Kozlowski, H.; Valensin, D.; Valensin, G. Copper homeostasis and neurodegenerative disorders (Alzheimer’s, Prion, and Parkinson’s diseases and amyotrophic lateral Sclerosis). Chem. Rev. 2006, 106, 1995–2044. [Google Scholar] [CrossRef] [PubMed]
- Cotruvo, J.A., Jr.; Aron, A.T.; Ramos-Torres, K.M.; Chang, C.J. Synthetic fluorescent probes for studying copper in biological systems. Chem. Soc. Rev. 2015, 13, 4400–4414. [Google Scholar] [CrossRef] [PubMed] [Green Version]
- Turski, M.L.; Thiele, D.J. New roles for copper metabolism in cell proliferation, signaling, and disease. J. Bio. Chem. 2009, 284, 717–721. [Google Scholar] [CrossRef] [Green Version]
- Jiang, R.; Liu, N.; Li, F.; Fu, W.; Zhou, Y.; Zhang, Y. Novel PSMA-coated On-Off-On fluorescent chemosensor based on organic dots with AIEgens for detection of copper (II), iron (III) and cysteine. Polymers 2018, 10, 786. [Google Scholar] [CrossRef] [Green Version]
- Chang, H.; Zhao, X.; Wu, W.; Jia, L.; Wang, Y. A highly sensitive on-off fluorescent chemosensor for Cu2+ based on coumarin. J. Lum. 2017, 182, 268–273. [Google Scholar] [CrossRef]
- Tang, L.; Wang, N.; Zhang, Q.; Guo, J.; Nandhakumar, R. A new benzimidazole-based quinazoline derivative for highly selective sequential recognition of Cu2+ and CN−. Tetrahedron Lett. 2013, 54, 536–540. [Google Scholar] [CrossRef]
- Tang, L.; Zhou, P.; Zhang, Q.; Huang, Z.; Zhao, J.; Cai, M. A simple quinoline derivatized thiosemicarbazone as a colorimetic and fluorescent sensor for relay recognition of Cu2+ and sulfide in aqueous solution. Inorg. Chem. Commun. 2013, 36, 100–104. [Google Scholar] [CrossRef]
- Liu, Z.; Zhang, C.; Wang, X.; He, W.; Guo, Z. Design and synthesis of a ratiometric fluorescent chemosensor for Cu(II) with a fluorophore hybridization approach. Org. Lett. 2012, 14, 4378–4381. [Google Scholar] [CrossRef]
- Liu, S.; Wang, Y.; Han, J. Fluorescent chemosensors for copper(II) ion: Structure, mechanism and application. J. Photochem. Photobio. C 2017, 32, 78–103. [Google Scholar] [CrossRef]
- Yu, X.; Xu, J.; Yang, X.; Liu, W.; Qin, W. Synthesis and photochemical properties of BODIPY-functionalized silica nanoparticles for imaging Cu2+ in living cells. RSC Adv. 2014, 4, 23571–23579. [Google Scholar] [CrossRef]
- Liu, Y.; Wang, Z.; Qin, W.; Hu, Q.; Tang, B.Z. Fluorescent detection of Cu(II) by chitosan-based AIE bioconjugate. Chin. J. Polym. Sci. 2017, 35, 365–371. [Google Scholar] [CrossRef]
- Cao, X.; Pang, C.; Xiao, Y.; Xiao, W.; Luo, S.; He, J.; Wang, Z. Preparation of large conjugated polybenzimidazole fluorescent materials and their application in metal ion detection. Polymers 2021, 13, 3091. [Google Scholar] [CrossRef] [PubMed]
- Beija, M.; Afonso, C.A.M.; Martinho, J.M.G. Synthesis and applications of Rhodamine derivatives as fluorescent probes. Chem. Soc. Rev. 2009, 38, 2410. [Google Scholar] [CrossRef] [PubMed] [Green Version]
- Forbat, E.; Al Niaimi, F. Nonvascular uses of pulsed dye laser in clinical dermatology. J. Cosme. Derm. 2019, 18, 1186–1201. [Google Scholar] [CrossRef]
- Shen, S.; Chen, X.; Zhang, X.; Miao, J.; Zhao, B. A rhodamine B-based lysosomal pH probe. J. Mate. Chem. B 2015, 3, 919–925. [Google Scholar] [CrossRef]
- Shen, S.; Huang, X.; Jiang, H.; Lin, X.; Cao, X. A rhodamine B-based probe for the detection of HOCl in lysosomes. Anal. Chim. Acta 2019, 1046, 185–191. [Google Scholar] [CrossRef]
- Zhang, J.; Zhang, L.; Wei, Y.; Chao, J.; Shuang, S.; Cai, Z.; Dong, C. A selectively rhodamine-based colorimetric probe for detecting copper(II) ion. Spectrochim. Acta A 2014, 132, 191–197. [Google Scholar] [CrossRef]
- Xiang, Y.; Tong, A.; Jin, P.; Ju, Y. New fluorescent rhodamine hydrazone chemosensor for Cu(II) with high selectivity and sensitivity. Org. Lett. 2006, 8, 2863–2866. [Google Scholar] [CrossRef]
- Asane, J.; Noginov, M. Concentration dependence of two-photon absorption in PMMA polymeric films doped with rhodamine laser dyes. J. Opt. Soc. Am. B 2020, 37, 3108–3115. [Google Scholar] [CrossRef]
- Chen, Y.; Chiou, C.; Chen, W.; Jhou, Y.; Lee, Y.; Cheng, C. Rhodamine-ethylenediol, A novel vital fluorescent probe for labelling alkaline phosphatase-rich organelles. J. Chin. Chem. Soc.-Taip. 2010, 57, 1257–1261. [Google Scholar] [CrossRef]
- Huang, Q.; Zhang, Q.; Wang, E.; Zhou, Y.; Qiao, H.; Pang, L.; Yu, F. A new "off–on" fluorescent probe for Al3+ in aqueous solution based on rhodamine B and its application to bioimaging. Spectrochim. Acta A 2016, 152, 70–76. [Google Scholar] [CrossRef] [PubMed]
- Lee, M.H.; Wu, J.S.; Lee, J.W.; Jung, J.H.; Kim, J.S. Highly sensitive and selective chemosensor for Hg2+ based on the rhodamine fluorophore. Org. Lett. 2007, 9, 2501–2504. [Google Scholar] [CrossRef] [PubMed]
- Chang, L.; Gao, Q.; Liu, S.; Hu, C.; Zhou, W.; Zheng, M. Selective and differential detection of Hg2+ and Cu2+ with use of a single rhodamine hydrazone-type probe in the absence and presence of UV irradiation. Dye. Pigment. 2018, 153, 117–124. [Google Scholar] [CrossRef]
- Dong, Z.; Tian, X.; Chen, Y.; Hou, J.; Guo, Y.; Sun, J.; Ma, J. A highly selective fluorescent chemosensor for Hg2+ based on rhodamine B and its application as a molecular logic gate. Dye. Pigment. 2013, 97, 324–329. [Google Scholar] [CrossRef]
- Wang, B.; Liu, X.; Hu, Y.; Su, Z. Synthesis and photophysical behavior of a water-soluble coumarin-bearing polymer for proton and Ni2+ ion sensing. Polym. Int. 2009, 58, 703–709. [Google Scholar] [CrossRef]
- Saleem, M.; Abdullah, R.; Ali, A.; Park, B.J.; Choi, E.H.; Hong, I.S.; Lee, K.H. Facile synthesis, cytotoxicity and bioimaging of Fe3+ selective fluorescent chemosensor. Bioorgan. Med. Chem. 2014, 22, 2045–2051. [Google Scholar] [CrossRef]
- Wang, Y.; Chang, H.; Wu, W.; Mao, X.; Zhao, X.; Yang, Y.; Xu, Z.; Xu, Z.; Jia, L. A highly sensitive and selective colorimetric and off-on fluorescent chemosensor for Cu2+ based on rhodamine 6G hydrazide bearing thiosemicarbazide moiety. J. Photoch. Photobio. A 2017, 335, 10–16. [Google Scholar] [CrossRef]
- Xue, D.; Zheng, C.; Qu, S.; Liao, G.; Fan, C.; Liu, G.; Pu, S. A highly selective fluorescent chemosensor for Cu2+: Synthesis and properties of a rhodamine B-containing diarylethene. Luminescence 2017, 32, 652–660. [Google Scholar] [CrossRef]
- Zhang, X.; Sumiya, S.; Shiraishi, Y.; Hirai, T. Effects of alkyl chain length on Cu(II)-selective green fluorescence of rhodamine-diacetic acid conjugates. J. Photoch. Photobio. A 2009, 205, 215–220. [Google Scholar] [CrossRef]
- Guo, W.; Tang, T.; Lu, S.; Xu, D. Detection of Fe3+ using a novel hyperbranched polymeric spectral sensor. Anal. Methods 2019, 11, 4456–4463. [Google Scholar] [CrossRef]
- Liu, X.; Chen, A.; Wu, Y.; Kan, C.; Xu, J. Fabrication of fluorescent polymer latexes based on rhodamine B derivatives and their reusable films for Fe3+ detection. Dye. Pigment. 2020, 182, 108633. [Google Scholar] [CrossRef]
- Pipattanawarothai, A.; Trakulsujaritchok, T. Hybrid polymeric chemosensor bearing rhodamine derivative prepared by sol-gel technique for selective detection of Fe3+ ion. Dye. Pigment. 2020, 173, 107946. [Google Scholar] [CrossRef]
- Chen, X.; Zeng, W.; Yang, X.; Lu, X.; Qu, J.; Liu, R. Thiourea based conjugated polymer fluorescent chemosensor for Cu+ and its use for the detection of hydrogen peroxide and glucose. Chin. J. Polym. Sci. 2016, 34, 324–331. [Google Scholar] [CrossRef]
- Li, G.; Tao, F.; Liu, Q.; Wang, L.; Wei, Z.; Zhu, F.; Chen, W.; Sun, H.; Zhou, Y. A highly selective and reversible water-soluble polymer based-colorimetric chemosensor for rapid detection of Cu2+ in pure aqueous solution. New J. Chem. 2016, 40, 4513–4518. [Google Scholar] [CrossRef]
- Chang, L.; Gao, Q.; Liu, S.; Luo, D.; Han, B.; Xia, K.; Zhou, C. A single polymer chemosensor for differential determination of Hg2+ and Cu2+ in pure aqueous media without mutual interference. Mater. Today Commun. 2019, 19, 148–156. [Google Scholar] [CrossRef]
- Maiti, C.; Banerjee, R.; Maiti, S.; Dhara, D. Water-soluble polymeric chemosensor for detection of Cu2+ ions with high selectivity and sensitivity. Des. Monomers Polym. 2016, 19, 669–678. [Google Scholar] [CrossRef] [Green Version]
- Gao, S.; Li, Z.; Sun, Z.; Wen, J.; Li, F.; Du, X.; Liu, Y.; Tian, Y.; Niu, Z. Single-wavelength excited ratiometric fluorescence pH probe to image intracellular trafficking of tobacco mosaic virus. Chin. J. Polym. Sci. 2020, 38, 587–592. [Google Scholar] [CrossRef]
- Geng, T.; Wu, D.; Huang, W. Dual turn-on fluorescent chemosensor for Cu2+ and Hg2+ in aqueous medium based on a water-soluble polyacrylamide containing rhodamine. J. Polym. Res. 2015, 22, 40. [Google Scholar] [CrossRef]
- Banerjee, R.; Pal, D.S.; Dhara, D. Synthesis of a new rhodamine-containing block copolymer for highly selective and sensitive detection of Cu2+ and CN− ions in aqueous media. Polym. Int. 2014, 63, 1974–1981. [Google Scholar] [CrossRef]
- Liu, C.; Ning, D.; Zhang, C.; Liu, Z.; Zhang, R.; Zhao, J.; Zhao, T.; Liu, B.; Zhang, Z. Dual-colored carbon dot ratiometric fluorescent test paper based on a specific spectral energy transfer for semiquantitative assay of copper Ions. ACS Appl. Mater. Interfaces 2017, 9, 18897–18903. [Google Scholar] [CrossRef] [PubMed]
- Guo, Z.; Niu, Q.; Li, T.; Wang, E. Highly chemoselective colorimetric/ fluorometric dual-channel sensor with fast response and good reversibility for the selective and sensitive detection of Cu2+. Tetrahedron 2019, 75, 3982–3992. [Google Scholar] [CrossRef]
- Sivakumar, R.; Lee, N.Y. Paper-based fluorescence chemosensors for metal ion detection in biological and environmental samples. BioChip. J. 2021, 15, 216–232. [Google Scholar] [CrossRef]
- Wu, M.; Suo, F.; Zhou, J.; Gong, Q.; Bai, L.; Chen, B.; Wu, Q.; Zhang, C.; Yu, H.; Huang, X.; et al. Paper-based fluorogenic device for detection of copper ions in a biological system. ACS Appl. Bio Mater. 2018, 1, 1523–1529. [Google Scholar] [CrossRef] [PubMed]
- Zhou, J.; Wu, Q.; Chen, X.; Qin, X.; Zhang, G.; Wu, M.; Fang, H.; Lu, Y.; Yu, H.; Li, L.; et al. Two-component ratiometric sensor for Cu2+ detection on paper-based device. Anal. Bioanal. Chem. 2019, 411, 6165–6172. [Google Scholar] [CrossRef] [PubMed]
- Zhu, S.; Li, H.; Zhang, X.; Chen, W.; Feng, L. Synthesis, copolymer composition, and rheological behavior of functionalized polystyrene with isocyanate and amine side groups. Des. Monomers Polym. 2015, 18, 232–241. [Google Scholar] [CrossRef] [Green Version]
- Thomas, M.; Alsarraf, J.; Araji, N.; Tranoy-Opalinski, I.; Renoux, B.; Papot, S. The Lossen rearrangement from free hydroxamic acids. Org. Biomol. Chem. 2019, 17, 5420–5427. [Google Scholar] [CrossRef]
- Zhang, S.; Ghosh, K.R.; Yao, Z.; Li, L.; Qin, A.; Qiao, W.; Wang, Z.Y. Formation of reactive isocyanate group-containing polymers via Lossen rearrangement. Mater. Today Commun. 2022, 30, 103169. [Google Scholar] [CrossRef]
- Liu, J.; Li, A.; Tang, J.; Wang, R.; Kong, N.; Davis, T.P. Thermoresponsive silver/polymer nanohybrids with switchable metal enhanced fluorescence. Chem. Commun. 2012, 48, 4680–4682. [Google Scholar] [CrossRef]
- Lee, J.; Yang, H.; Park, C.H.; Cho, H.; Yun, H.; Kim, B.J. Colorimetric thermometer from graphene oxide platform integrated with red, green, and blue emitting, responsive block copolymers. Chem. Mater. 2016, 28, 3446–3453. [Google Scholar] [CrossRef]
- Hong, Y.; Lamab, J.W.Y.; Tang, B.Z. Aggregation-induced emission. Chem. Soc. Rev. 2011, 40, 5361–5388. [Google Scholar] [CrossRef] [PubMed] [Green Version]
- Hong, Y.; Lam, J.W.Y.; Tang, B.Z. Aggregation-induced emission: Phenomenon, mechanism and applications. Chem. Commun. 2009, 4332–4353. [Google Scholar] [CrossRef] [PubMed]











Publisher’s Note: MDPI stays neutral with regard to jurisdictional claims in published maps and institutional affiliations. |
© 2022 by the authors. Licensee MDPI, Basel, Switzerland. This article is an open access article distributed under the terms and conditions of the Creative Commons Attribution (CC BY) license (https://creativecommons.org/licenses/by/4.0/).
Share and Cite
Zhang, S.; Yao, Z.; Qiao, W.; Wang, Z.Y. Incorporation of Rhodamine into a Host Polymer via In-Situ Generated Isocyanato Group and Application for the Detection of Cu2+ Ion. Crystals 2022, 12, 841. https://doi.org/10.3390/cryst12060841
Zhang S, Yao Z, Qiao W, Wang ZY. Incorporation of Rhodamine into a Host Polymer via In-Situ Generated Isocyanato Group and Application for the Detection of Cu2+ Ion. Crystals. 2022; 12(6):841. https://doi.org/10.3390/cryst12060841
Chicago/Turabian StyleZhang, Sai, Zhe Yao, Wenqiang Qiao, and Zhi Yuan Wang. 2022. "Incorporation of Rhodamine into a Host Polymer via In-Situ Generated Isocyanato Group and Application for the Detection of Cu2+ Ion" Crystals 12, no. 6: 841. https://doi.org/10.3390/cryst12060841
APA StyleZhang, S., Yao, Z., Qiao, W., & Wang, Z. Y. (2022). Incorporation of Rhodamine into a Host Polymer via In-Situ Generated Isocyanato Group and Application for the Detection of Cu2+ Ion. Crystals, 12(6), 841. https://doi.org/10.3390/cryst12060841
