Abstract
Pyrazole-phenylmethanimines (Shiff bases), Py–N=CH–Ph, form molecular crystals whose supramolecular and self-assembly properties can be tuned according to the substitution made on the aromatic and pyrazole rings. In pursuit of the first pyrazole-pyridinemethanimine member, Py–N=CH–Pyr, by following the well-known synthetic scheme for these Shiff bases, two hitherto unknown crystalline derivatives of dipyrazolo-1,5-diazocine and dipyrazolopyrimidine were obtained instead, this depending on the use or not of acetic acid as the catalyst. 1,5-diazocine crystallizes in a single P-1 triclinic packing system (Z = 2, Z′ = 1), while dipyrazolopyrimidine exhibits isostructural dimorphic behavior by adopting two (pale pink and yellow) alike P21/c monoclinic systems (both Z = 4, Z′ = 1) as a function of the solvent used. Crystal structures were resolved by means of X-ray diffraction technique and their intramolecular, intermolecular, and supramolecular assemblies analyzed with the assistance of decorated Hirshfeld surfaces and the topology study of electron density using the quantum-theory of atoms in molecules (QTAIM). Although both dipyrazolopyrimidine polymorphs are stabilized by the same type of noncovalent motifs, the pale pink crystal has a slightly more compact structure, with more efficient inter- and intramolecular interactions.
1. Introduction
R-phenylmethanimine derivatives (Shiff bases), with the general structure R–N=CH–Ph, are a versatile class of organic compounds that have evinced multiple applications, for instance, as targets or synthetic-intermediates of active biological ligands [1,2], precursors in organic synthesis [3,4], vanillin derivatives by green chemistry methods [5], oxidized products in the photocatalytic reduction of CO2 to CH3OH [6], organic modifying agents to prepare Schiff base-mesoporous silica nanoparticles [7], and other uses [8].
Functionalized pyrazolo-arylmethanimine derivatives 3 form crystalline supramolecular assemblies, stabilized by hydrogen bonds (HBs) and π–π stacking interactions, in which their self-assembly properties and packing geometry can be tuned as a function of the substitutions made in either phenyl or pyrazole rings [9]. Moreover, this type of Schiff base has revealed promising antimicrobial activity [9,10]. Pyrazolo-arylmethanimines 3 can be conveniently synthesized by reacting a substituted-benzaldehyde 1 with a functionalized 5-aminopyrazole derivative 2 in ethanol under mild conditions, as shown in Figure 1.
Figure 1.
Customary synthesis scheme followed for the preparation of substituted pyrazolo-arylmethanimine derivatives.
In recent years we have been focused on the preparation of novel crystalline pyrazolo-arylmethanimine Schiff bases 3 from hydroxybenzaldehydes (R1 = OH in 1) and 5-amino-3-tert-butyl pyrazole 4 in ethanol using acetic acid as the catalyst [11,12,13]. The molecules in these crystalline packings tend to preserve the co-planarity between the phenol ring and the central –(H)C=N– segment, this despite the position of the phenolic hydroxyl and the identity of the R2 group; whereas their supramolecular architectures were found to range from strong π···π (between phenol and pyrazole rings) and C–H···π stacking interactions with absence of HBs (this in the case of the ortho-hydroxyl derivative [11]), going through assemblies stabilized by both HBs (O-H···N and C-H···O) and C–H···π interactions, in the case of the para-hydroxyl derivative [12], up to strong O-H···N HB interactions only [13].
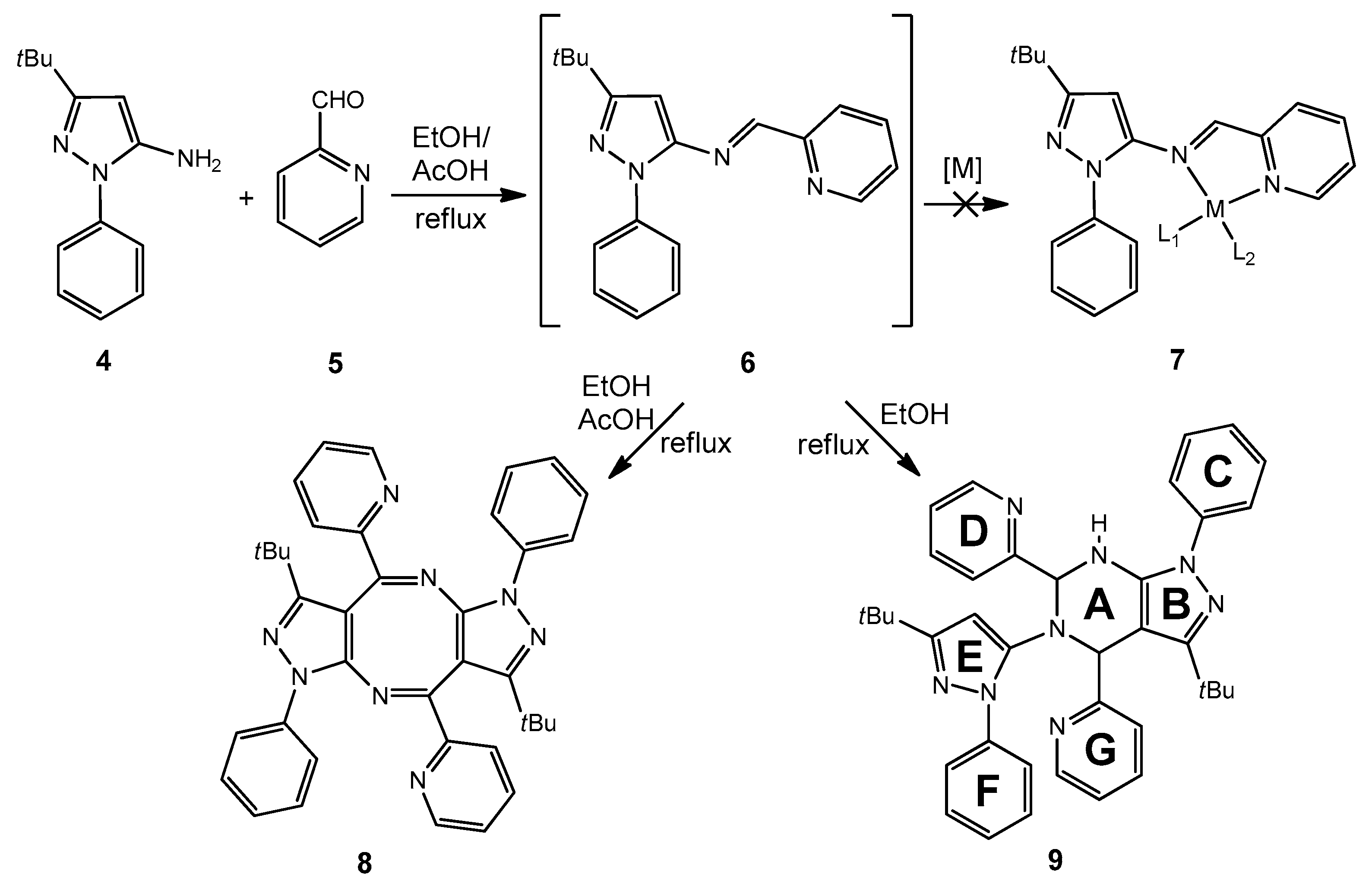
Continuing our current interest directed toward the structural analysis and synthetic utility of novel 5-aminopyrazole Schiff bases derivatives [10,11,12,13], we planned to synthesize the first pyrazolo-pyridinemethanimine derivative 6 as a possible bidentate ligand to be complexed with transition metal ions [14], this as a strategy to produce coordinated compounds 7 that can be evaluated in C–C activation catalytic reactions, as well as potential antifungal and anticancer agents. However, instead of the planned condensation reaction between 4 and 2-pyridinecarboxaldehyde 5 to produce 6, two different dimerization processes occurred that led to the formation of hitherto unknown derivative solids of 1,5-diazocine 8 and pyrimidine 9, this depending on the addition or absence of acetic acid, respectively, as the catalyst in the reaction medium (Figure 2).
Figure 2.
Synthetic scheme to produce novel 1,5-diazocine 8 or pyrimidine 9 derivatives by a dimerization process from 5-amino-3-tert-butylpyrazole 4 and 2-pyridinecarboxaldehide 5. Capital letter labeling (in bold) in derivative 9 is used for clearer ring sorting.
Single-crystal growth at room temperature of solid 8 led to the formation of a white crystalline structure (space group P-1), while crystal growth of solid 9 at room temperature led to the formation of two distinct crystalline polymorphs (dimorphic behavior), a pale pink 9a and yellow one 9b, this depending on the solvent used during crystallization. Interestingly, the two pyrimidine polymorphs (9a and 9b) were found to crystallize onto the same space group P21/c, both with Z = 4 and Z′ = 1 (Table 1), while preserving the same conformational behavior, but exhibiting subtle differences between their cell parameters and supramolecular constructs. Such dimorphic behavior belongs to the denoted isostructural polymorphism [15,16], which is a scarce scenario for the same organic molecular compound and to the best of our knowledge, no other cases are reported for pyrimidine derivatives. The crystalline structures 8, 9a, and 9b were solved using the X-ray diffraction technique, and the analysis of their intramolecular and supramolecular interactions was complemented with the assistance of topological calculations of electron density (ρ) and Hirshfeld surfaces. Additionally, physicochemical and spectroscopic characterization of 8, 9a, and 9b were performed by elemental analysis, GC/MS, FTIR, and (1D and 2D) 1H-, 13C-NMR.
Table 1.
Single crystal X-ray diffraction data and the refinement parameters for compounds 8, 9a, and 9b.
2. Materials and Methods
2.1. General Information and Physicochemical Characterization
All chemicals and solvents used (analytical grade) were purchased from Sigma-Aldrich and used without further purification. Melting points were determined on a Büchi melting point apparatus. The mass spectra were obtained on a SHIMADZU-GCMS 2010-DI-2010 spectrometer equipped with a direct input probe operating at 70 eV. Microanalyses were performed on an Agilent CHNS elemental analyzer and the values were within ±0.4% of the theoretical values. Infrared spectra were measured on a Perkin Elmer FT 2000 series spectrophotometer using KBr disks. The NMR spectra were recorded on a Bruker Avance 400 spectrophotometer operating at 300 MHz for 1H and at 75 MHz for 13C, using CDCl3 as the solvent and tetramethyl silane (TMS) as the internal standard.
2.2. Synthesis and Molecular Identification
2.2.1. 3,8-di-tert-butyl-1,6-diphenyl-4,9-di(pyridin-2-yl)-1,6-dihydrodipyrazolo [3,4-b:3′,4′-f][1,5]diazocine (8)
Equimolar amounts of the pyrazole precursor 4 (1.350 g, 6.28 mmol) and 2-pyridinecarboxaldehyde 5 (0.679 g, 6.29 mmol) were dissolved in absolute ethanol (6 mL) and refluxed for 24 h in the presence of acetic acid (0.4 mL, 6.80 mmol) as the catalyst. Complete consumption of pyrazole 4 was verified by TLC. After the reaction finished, the formation of a viscous and slightly volatile brown substance was observed. The brown product was dried in a vacuum and dissolved in methanol. The addition of hexane to the methanol mixture led to the formation of a yellow precipitate, which was vacuum filtered and dried at room temperature. No further purification was required.
Yellow solid 8: 1.669 g (88% yield), m.p. 292.4–293.7 °C, elemental analysis: Exp. %C 75.68; %H 5.96; %N 18.48, cal: %C 75.47; %H 6.00; % N 18.53, for C19H18N4. MS (70 eV) m/z (%) 604 [M+] (100), [M+-15] (38.50), [M+-57] (9.68), [M+-43] (11.00), [M+-78] (3.66), [M+-77] (2.08), 512 (18), 484 (15), 78 (2.24), 77 (3.08), 57 (16.00). FT-IR (KBr, cm−1) ν(C-H) 3066/3051, νsym(C-H) 2955 (tBu), νasym(C-H) 2866 (tBu), ν(C=N) 1605, ν(C=C) 1538/1500. 1H-NMR (300 MHz, CDCl3, δ in ppm) 0.99 (s, 18H, tBu-H), 8.66 (bd, J = 3.2 Hz, 2H, Py-H, H-17), 8.09 (d, J = 8.10 Hz, 2H, Ph-H, H-14), 7.81 (d, 4H, J = 7.5 Hz, Ph-H, H-9), 7.76 (td, 2H, J = 7.5 Hz, J = 2.0 Hz, Py-H, H-15), 7.41 (t, 4H, J = 7.5 Hz, Ph-H, H-10), 7.35 (dd, 2H, J = 6.5 Hz, J = 1.0 Hz, Py-H, H-16), 7.25 (t, 2H, J = 7.5 Hz, Ph-H, H-11). 13C-NMR (75 MHz, CDCl3, δ in ppm) 30.19 (tBu-CH3, C-7), 33.45 (tBu-Cq, C-6), 105.0 (C-4), 122.1 (C-9), 123.7 (C-14), 125.3 (C-16), 126.1 (C-11), 128.6 (C-10), 136.3 (C-15), 139.4 (C-8), 148.9 (C-3), 149.2 (C-17), 156.9 (C-5), 157.6 (C-13), 170.6 (C=N, C-12). Electron impact fragmentation and FTIR spectra of sample 8 are shown in Figures S1 and S2 (in Supplementary Materials), respectively. 1H, 13C, and DEPT 1D-NMR spectra in CDCl3, as well as atomic numbering used for NMR chemical shift identification, of dipyrazolo-1,5-diazocine derivative 8 are shown in Figures S3–S6.
2.2.2. 3-(tert-Butyl)-5-(3-(tert-butyl)-1-phenyl-1H-pyrazol-5-yl)-1-phenyl-4,6-di(pyridin-2-yl)-4,5,6,7-tetrahydro-1H-pyrazolo[3,4-d]pyrimidine (9)
The reaction conditions to obtain the pyrimidine derivative 9 were the same as those used for the synthesis of compound 8, except for the addition of acetic acid as a catalyst. Once the reaction was complete, a light pink solid (solid 9a) was obtained, which was vacuum filtered and washed with a hexane-ethyl ether mixture. The filtrated was allowed to evaporate at room temperature; thus, leaving a yellow solid (solid 9b), which was purified in a typical column chromatographic separation using a 9:1 hexane dichloromethane ratio and then washed with methanol and ethyl ether.
Light pink solid 9a: 1.317 g (83% yield), m.p. 255.3–256.8 °C elemental analysis: exp. %C 74.92; %H 6.68; %N 18.39, cal. %C 74.97; %H 6.62; % N 18.41 for C19H20N4. MS (70 eV) m/z (%) 608 [M+] (27.4), 394 [M+-214] (100), 338 (22), 70 (14), 57 (13). FT-IR (KBr, cm−1) ν(N-H) 3275, ν(C-H) 3070/3055, νsym(C-H) 2958 (t-Bu), νasym(C-H) 2862 (tBu), ν(C=N) 1597, ν(C=C) 1504. 1H-NMR (300 MHz, CDCl3, δ in ppm) 1.16 (s, 9H, tBu-H), 1.19 (s, 9H, tBu-H), 5.33 (s, 1H), 5.56 (s, 1H), 5.68 (s, 1H), 6.24 (t, 1H, J = 7.8 Hz, Py-H), 6.89 (t, 2H, J = 6.4 Hz), 7.12–7.14 (m, 3H), 7.26–7.35 (m, 4H), 7.46–7.53 (m, 4H), 7.71 (td, 1H, J = 7.5 Hz, J = 1.2 Hz, Py-H), 7.89 (d, 2H, J = 7.0 Hz), 8.15 (t, 1H, J = 5.1 Hz, Py-H), 8.80 (d, 1H, J = 6.9 Hz, Py-H). 13C-NMR (75 MHz, CDCl3, δ in ppm) 33.57 (tBu-Cq), 32.24 (tBu-Cq), 31.0 (Cq, tBu), 30.32 (tert-butyl methyl carbon), 29.87 (tert-butyl methyl carbon), 66.5, 66.9, 97.0, 99.7 (Cq), 121.9, 122.7 (Py-C), 122.9 (Py-C), 123.9 (Py-C) 124.2 (Py-C), 125.1, 125.8 (Py-C), 126.0 (Py-C), 127.9, 129.5, 135.4, 136.3, 139.5 (Py-C), 139.7 (Py-C), 143.7 (Cq), 144.6 (Cq), 147.6 (Cq), 149.8 (Cq), 152.8 (Cq), 158.3 (Cq), 161.2 (Cq), 161.5 (Cq).
Yellow solid 9b: 1.317 g (83% yield), m.p. 255.1-256.3 °C, elemental analysis: exp. %C 75.03; %H 6.67; %N 18.44, cal. %C 74.97; %H 6.62; % N 18.41 for C19H20N4. MS (70 eV) m/z (%) 608 [M+] (26.0), 394 [M+-214] (100), 338 (22), 70 (14), 57 (13). FT-IR (cm−1) ν(N-H) 3273, ν(C-H) 3070/3063, νsym(C-H) 2958 (tBu), νasym(C-H) 2864 (tBu), ν(C=N) 1595, ν(C=C) 1499. 1H-NMR (300 MHz, CDCl3, δ in ppm) 1.15 (s, 9H, tBu-H), 1.17 (s, 9H, tBu-H), 5.33 (s, 1H), 5.56 (s, 1H), 5.68 (s, 1H), 6.24 (t, 1H, J = 7.8 Hz, Py-H), 6.89 (t, 2H, J = 6.4 Hz), 7.12–7.14 (m, 3H), 7.26–7.35 (m, 4H), 7.46–7.53 (m, 4H), 7.71 (td, 1H, J = 7.5 Hz, J = 1.2 Hz, Py-H), 7.89 (d, 2H, J = 7.0 Hz), 8.15 (t, 1H, J = 5.1 Hz, Py-H), 8.80 (d, 1H, J = 6.9 Hz, Py-H). 13C-NMR (75 MHz, CDCl3, δ in ppm) 29.9 (t-Bu), 30.3 (t-Bu), 31.0 (Cq, t-Bu), 32.2 (Cq, t-Bu), 66.5, 66.9, 97.0, 99.7 (Cq), 121.9, 122.7 (Py-C), 122.9 (Py-C), 123.9 (Py-C) 124.2 (Py-C), 125.1, 125.8 (Py-C), 126.0 (Py-C), 127.9, 129.5, 135.4, 136.3, 139.5 (Py-C), 139.7 (Py-C), 143.7 (Cq), 144.6 (Cq), 147.6 (Cq), 149.8 (Cq), 152.8 (Cq), 158.3 (Cq), 161.2 (Cq), 161.5 (Cq).
Electron impact fragmentation, FTIR, and 1H and 13C 1D-NMR spectra of pyrazolopyrimidine polymorphs are shown in comparative fashion in Figures S7–S9 in Supplementary Materials.
2.3. X-ray Crystal Structure Determination
Single-crystals suitable for X-ray diffraction analysis of solid compounds 8 (yellow), 9a (light pink), and 9b (yellow) were grown at room temperature (298 K) by liquid diffusion using a pentane/dichloromethane (precipitant/solvent) system.
Crystallographic data for 8, 9a, and 9b solids were collected at room temperature on a Bruker Apex-II CCD diffractometer using monochromatic graphite MoKα (0.71073Å) radiation. The determination of their cell and the final cell parameters were obtained on all the reflections using the Bruker SAINT software included in the APEX-2 software package [17]. The integration and scaling of the data were carried out using the Bruker SAINT software [18]. The crystalline structures were solved by direct methods using the Olex2 program [19] and the models obtained were refined by the full-matrix least squares on F2 (SHELXTL–97) [20]. All the hydrogen atoms were placed in calculated positions and refined with fixed individual displacement parameters [Uiso (H) = 1.2 Ueq or 1.5 Ueq] according to the riding model (C–H bond lengths of 0.93 and 0.96 Å, for methyl and aromatic hydrogen, respectively). Molecular representations were generated by Diamond [21] and MERCURY 3.9 [22] programs. Crystallographic data were deposited at the Cambridge Crystallographic Data Center according to the CCDC reference codes 776,294 (crystal 8), 776,293 (crystal 9a), and 776,295 (crystal 9b).
2.4. Computational Studies
The study of the topology of the electron density (ρ) in the isolated molecules extracted from the unit cells of 8, 9a, and 9b crystals was carried out in the AIM2000 program [23] using wavefunctions calculated in the Gaussian09 program [24] at the theoretical level B3LYP/6-311++g(2df.2pd). This electron topological analysis was performed by applying the Quantum Theory of Atoms in Molecules and Crystals (QTAIM-C) developed by Richard Bader and his coworkers [25]. The calculation of critical points (CPs) on the electron density surface of these molecular systems was performed using Newton’s method with a maximum number of 120 iterations and a step-size factor of 0.5. The corresponding molecular graphs were obtained from the calculation of uphill paths from (3, −1) CPs, downhill paths from (3, +1) CPs, and paths connecting (3, −1) and (3, +1) CPs. For each crystalline molecular system, the completeness of the characteristic set of CPs was verified by means of the Poincaré–Hopf relationship (nNCP − nBCP + nRCP − nCCP = 1).
Weak intermolecular interactions between molecules in each crystal structure were studied by using Hirshfeld surface (HS) analysis [26] and the associated two-dimensional fingerprint plots [27] generated using CrystalExplorer21.5 [28]. The three-dimensional dnorm surface of the crystal structures 8, 9a, and 9b were generated using a standard surface resolution with a fixed color scale of 0.50–1.70 au (for 8) or 0.08–1.54 au (for both 9a and 9b).
3. Results and Discussion
3.1. 1,5-diazocine Derivative 8
3.1.1. Single-Crystal X-ray Diffraction
The crystallographic parameters of solid the sample 8 are summarized in Table 1. As shown in Figure 3a, its two molecular units (Z = 2, Z′= 1) are arranged opposite each other around the cell inversion center, forming a cyclic symmetric dimer because of two mutual intermolecular HB connections (d = 2.785 Å) between the pyridine nitrogen and the geminal hydrogen of the analogous pyridine ring of the other unit. In turn, each molecular unit is three-dimensionally arranged favoring multiple intramolecular H∙∙∙∙N distances (in the range of 2.377–2.665 Å) and with the 8-membered cycle of the 1,5-diazocine core adopting a bathtub conformational orientation (Figure 3b). Unlike the symmetrical conformational behavior in solution, deduced from NMR spectroscopy (see Section 2.2.2), the 1,5-diazocinic molecule 8 in the crystal packing presents variations between geometric parameters of the same functional groups located in opposite positions, which lead to the loss of its axis of symmetry of order 2 (C2). This perturbation of the molecular symmetry suggests a differential direction of forces in the crystal of compound 8.
Figure 3.
Crystalline structure of 1,5-diazocine derivative 8. (a) Unit cell containing a symmetric cyclic dimer formed between the two molecular units (Z = 2, Z′ = 1). (b) ORTEP 3D-representation of one molecular unit with the atom numbering. Inter- and intra-molecular HB contacts are presented in dashed red lines with distances (Å) in red. Displacement ellipsoids are drawn at 50% probability level. (c) Molecular graph for molecular unit showing bond paths (pink lines), BCPs (red dots), RCPs (yellow dots), and CCPs (green dots).
As shown in Figure 4, the two identical molecular units in crystal 8 pack alternatively and with opposite symmetry along the a direction. The nitrogen atom of one of the pyridine rings has two N∙∙∙H hydrogen bonds, one intramolecular and the other intermolecular, both with the same distance (2.724 Å). The intermolecular N∙∙∙H bond connects to the hydrogen of the carbon in position 3 of the other pyridine ring of the second unit; while the intramolecular N∙∙∙H bond is made with a hydrogen of the tBu group, forming an angle of 96° with respect to the plane of the pyridine ring. The nitrogen atom of the second pyridine ring has an intramolecular HB (2.665 Å) with a hydrogen of the other tBu group, forming an angle of 89.4° with respect to the pyridine ring. Also shown in Figure 4 is the short (2.377 Å) intramolecular N∙∙∙H hydrogen bond between a pyrimidine ring nitrogen and an ortho hydrogen on one of the phenyl rings. In addition to the N∙∙∙H HBs described above, the packing of crystal 8 features an intermolecular H∙∙∙H interaction (2.241 Å) between the tBu groups and an intermolecular π-stacking C∙∙∙H interaction (2.812 Å) between the ortho hydrogen of the phenyl ring and the carbon at the 3-position of the pyridine ring; the latter with an angle of 111.9° with respect to the plane of the pyridine ring.
Figure 4.
Crystal packing (2.5 × 2.5 × 2.5 supercell) of 1,5-diazocine 8 seen along the bc face and highlighting featured N∙∙∙H HBs. Molecular units (Z = 2, Z′ = 1) are colored based on different symmetry operations. Intramolecular HBs are shown in cyan, while intermolecular HBs are shown in red. Distances in Angstroms (Å) and angles in grades (°).
3.1.2. Topological Study on Electron Density (ρ)
Theoretical verification and deeper understanding of the intramolecular contacts established in the crystalline molecule of solid 8 comes from the study of the topology of its quantum mechanical (B3LYP/6-311++g(2df.2pd)) electron density by using QTAIM-C [25]. The recovery of all kinds of critical points (CPs) in the rho gradient field of crystal unit 8 led to the identification of 82 NCPs (3, −3), 95 BCPs (3, −1), 15 RCPs (3, +1), and 1 CCPs (3, +3), which allows the Pointcaré–Hopf relationship to be fulfilled (n NCPs − n BCPs + n RCPs − n CCPs = 1); thus demonstrating the completeness of this characteristic set. The corresponding molecular graph showing the CPs along with the calculated bond paths is presented in Figure 3c. As seen when comparing Figure 3b,c, no BCP is recovered between the nonfunctionalized pyrazole nitrogen atoms and the nearest phenyl ortho hydrogens, or between the pyrimidine nitrogen N16 and the hydrogen of the pyridine ring attached to C23, thereby neglecting these intramolecular N∙∙∙H interactions. In contrast, an unexpected H∙∙∙C closed-shell BCP (ρb = 1.09 × 10−3 au, ε = 6.52 × 10−1 au, au) is detected, associated with a long-range interaction (bond path = 3.708 Å) between the aromatic carbon C6 and a hydrogen of the tBu group attached to the furthest pyrazole ring (i.e., C(6) ∙∙∙H-C(37)). The presence of this long-range H∙∙∙C π-stacking contact breaks the symmetry of this molecule; thus preventing the possibility of a proper axis of order 2 (C2). QTAIM analysis supports the formation of intramolecular π-stacking interactions between pyrimidine carbons C17 or C40 and hydrogens of the nearest tBu groups, as well as the N∙∙∙H HBs between pyrimidine nitrogen atoms (N16 and N39) and hydrogens in ortho position of the nearest corresponding phenyl, and between each pyridine nitrogen (N19 and N42) and a hydrogen of the nearest tBu group. For intramolecular π-stacking C∙∙∙H-CH2 interactions, both those involving the pyrimidine ring carbons and the long-range one, a very close distance is observed between the respective BCP and the associated RCP, which reveals a low stability of these interactions. A list of the main topological properties of the closed-shell intramolecular BCPs detected in the rho gradient field of the crystal molecule 8 is presented in Table 2. Particularly for the interactions C(17)∙∙∙H’-C(37) and N(42)∙∙∙H-C(15), a significantly higher value is observed in their ellipticities (ε) compared to those of the analogous interactions (i.e., C(40) ∙∙∙H-C(14) and N(42)∙∙∙H-C(15), respectively), denoting a higher π character degree in the former compared to the latter.
Table 2.
Topological parameters 1 for closed-shell intramolecular BCPs in crystalline molecular unit 8. Line separations are included for a better comparison between interactions of the same sort.
3.1.3. Hirshfeld Surface Analysis
The Hirshfeld surface (HS) of a molecule of compound 8 in crystal packing, mapped by normalized intermolecular contact distance (dnorm), is presented in Figure 5a. Color notations as red, blue, and white are used in dnorm Hirshfeld surfaces to indicate intermolecular interactions between vicinal molecules in the crystal, where red zones indicate contacts shorter than van der Waals radii, white zones indicate intermolecular distances equivalent to van der Waals contacts, and blue regions define contacts longer than van der Waals radii [28]. The darkest red spots (dnorm < vdW contact) in Figure 5a show the zones of the strongest HB interactions occurring through HS, in this case corresponding to: (i) one reciprocal intermolecular H···H interaction (d = 1.984 Å) between tBu hydrogens, (ii) an H···H interaction (d = 2.052 Å, described above) between other hydrogens belonging to the same tBu groups involved in the previous H···H interaction (i.e., interaction i), and (iii) reciprocal π-stacking C···H interactions (d = 2.699 Å) between the ortho hydrogen on the phenyl ring of one unit and the carbon meta to nitrogen on the pyridine of the second unit. No red mark is observed in this HS, but white, for the reciprocal HB (d = 2.785 Å) that binds the symmetric dimer centered on the unit cell, as presented in Figure 3a, neither are red marks found in the HS for any N···H interactions shown in Figure 4. Next to the dnorm HS included in Figure 5, HS mapped over curvedness (C) and over shape-index (S) are presented in Figure 5b,c, respectively. The blue color in Figure 5b indicates the areas of sharp curvature (high curvedness), which are the zones that tend to divide the HS surface into contact patches with each neighboring molecule. While in Figure 5c blue is associated with bump zones (S > 1) and red zones with hollows (S < 1) in HS.
Figure 5.
Hirshfeld surface (HS) of a crystal 8 molecule mapped over (a) the normalized contact distance (dnorm) scaled over the range 0.5–1.7, (b) curvedness (C) scaled over the range −4.0–0.4, and (c) shape index (S) scaled over the range −1.0–1.0.
The 2D-fingerprint plots depicting the distribution and frequency of all intermolecular interactions occurring across the molecular HS in crystal 8 are presented in Figure 6. In these FP plots, H···H interactions prevail throughout the HS area, contributing with a relative frequency of 65%. The greatest contribution to the H···H contacts (in Å) is obtained for the pairs of distances (de, di) contained within the quadrant (1.2, 1.2), (2.2, 2.0), (2.1, 1.4), (1.3, 1.8), see the diamond in yellow, with a more pronounced concentration along the diagonal (1.2, 1.2) to (2.2, 2.0). The shorter symmetric H···H distances in this quadrant, i.e., (1.2, 1.2), correspond to interactions between aromatic hydrogens, while the longer nonsymmetric distances (2.2, 2.0) are related to interactions between tBu hydrogens. The small peak centered at de = di ≅ 1.0 Å corresponds to an H···H interaction type (d = 2.052 Å) between tBu groups (interaction ii marked as red dots in HS), while the two small peaks at de ≅ 1.2 and di = 0.8 Å or de ≅ 0.8 and di = 1.2 Å correspond to the reciprocal H···H interactions (interaction i) marked as red dots on the HS (Figure 5a). C···H contacts are the second contributing intermolecular interactions with about 20% of the total HS area and distributed as 11.6% and 8.5% for interactions starting at hydrogen atoms outside and inside the HS, respectively. Most of the C···H area is concentrated over sandwiched pyrimidine rings because of reciprocal C···H π stacking interactions. The short spikes located at de or di ≅ 1.6 Å in the decomposed FP plots for C···H interactions correspond to the π-stacking interactions between the phenyl and pyridine rings marked as red dots in HS (Figure 5a). N···H interactions account for about 13% of the total HS area, with decomposed contributions of 7.0% and 6.2% for acceptor (de < di) and donor (de > di) hydrogen bonds, respectively. In these decomposed FP plots, the short peaks at de or di ≅ 1.5 Å are associated with the reciprocal N···H interactions shown in Figure 3a. The C···C contacts account for 1.3% of the total interactions that occur through HS and are mainly associated with reciprocal π-stacking interactions between the carbon atoms of the phenyl ring and the pyridine ring. The tiniest contribution to intermolecular interactions comes from the C···N/N···C contacts, which provide only 0.6% of the area of the HS.
Figure 6.
The 2D-fingerprint plots for all and outlined in H···H, C···H, H···C, N···H, H···N, C···C, C···N, and N···C intermolecular contacts through molecular HS in crystal 8. In these A···B contacts, atom A is inside HS, while atom B is outside HS.
3.2. Pyrimidine Derivative 9
3.2.1. Single-Crystal X-ray Diffraction
As shown in Figure 5, both polymorphs (9a and 9b) crystallized in a monoclinic system (space group P21/c) with four molecular units per cell (Z = 4), with slight differences between their geometric cell parameters (Table 1). From these parameters, a cell similarity index (Π) of 0.0016 and a mean elongation descriptor () of 0.0014 were calculated between 9a and 9b crystals via Equations (1) and (2), as suggested by Kalman et al. [29,30]. The closer the value of Π and is to zero each, the more similarity there will be between the matched crystal cells.
where a, b, c and a′, b′, c′ are the orthogonalized lattice parameters of the related crystals and satisfy the condition (a + b + c) > (a′ + b′ + c′).
where V and V′ are the volumes of the respective unit cells.
Comparison of atomic positions between crystals 9a and 9b using CrystalCMP software [31] allowed the estimation of a root mean square deviation (RMSD) of similarity of only 0.024, as depicted by the crystalline overlay plot included in Figure 7.
Figure 7.
Crystal packing in polymorphs 9a and 9b along with the corresponding plot overlay (9a in red and 9b in yellow). Photographs of crystal samples used for X-ray diffractions measurements are included as inserts in this figure.
In 9a crystal (Figure 7, left), two molecular units are packed antiparallel at the center of the unit cell with two phenyl rings facing each other in a slip fashion (distances: C∙∙∙C = 3.565, and C∙∙∙H = 3.172 and 3.262 Å). Furthermore, two identical intermolecular N∙∙∙H distances of 3.071 Å are found between the nitrogen of a pyridine ring of one unit and the hydrogen in the para position of the slipped phenyl ring of the second molecular unit, which can be correlated with a weak-to-moderated HB mutual interaction. The other two molecular units in 9a are located diametrically opposite each other at two cell vertices. Each of them presents two relatively long intermolecular N∙∙∙H distances (3.752 and 3.839 Å) with one of the two molecules located in the center of the cell, these distances occur between the nitrogen in position 2 of a pyrazole ring and a hydrogen of the tBu group of the second molecular unit.
For the case of crystal 9b (Figure 7 middle), the two molecular units in the middle of the cell are located opposite each other forming a centered symmetrical dimer packing. These molecules present two identical N∙∙∙H distances (3.212 Å) between the nitrogen of a pyridine ring and a hydrogen of the tBu group of the second unit. The other two molecules, located at diametrically opposite vertices, interact with one of the central cell molecules each through a relatively short HB (2.677 Å), formed between a hydrogen of a pyridine ring of the vertex unit with the nitrogen in position 2 of a pyrazole ring of a central dimer molecule.
As shown in Figure 8, the individual molecular units in crystals 9a and 9b exhibit a similar three-dimensional conformation, with slight differences between their geometric parameters. In these structures, the central fused pyrazolo-[3,4-d]-pyrimidine ring (A-B in Figure 2) adopts a distorted-semiplanar configuration, where the functionalized nitrogen (labeled as N5 and N8, respectively) of the pyrimidine (A ring) lies out of plane. Coplanarity with the fused A-B central ring expands to the C phenyl ring; thus favoring the formation of two intramolecular H∙∙∙N HBs: one (2.453 Å for 9a and 2.461 Å for 9b) between an ortho hydrogen and the nitrogen (linked to hydrogen) of the pyrimidine (A ring), and the second (2.386 Å for 9a and 2.402 Å for 9b) between the other ortho hydrogen and the unfunctionalized nitrogen of the pyrazole ring (B). The amine hydrogen on the pyrimidine forms a short H∙∙∙N HB (2.277 Å for 9a and 2.332 Å for 9b) with the nitrogen of one the pyridine ring D, while the unfunctionalized nitrogen on the fused pyrazole (B) forms a longer H∙∙∙N HB (2.554 Å for 9a and 2.566 Å for 9b) with one methyl hydrogen of the tBu group linked to the B ring. The nonplanar nitrogen (N5 or N8) in the pyrimidine exhibits an H∙∙∙N interaction (2.524 Å in 9a and 2.535 Å in 9b) with one of the ortho hydrogens of the phenyl ring F, while the same ortho hydrogen exhibits a longer H∙∙∙N distance (2.724 Å in 9a and 2.730 Å in 9b) with the nitrogen of the second pyridine (G ring). Finally, the unfused pyrazole (E ring) presents an H∙∙∙N HB (2.520 Å in 9a and 2.522 Å in 9b) through its unfunctionalized nitrogen with an ortho hydrogen of its linked phenyl ring (F).
Figure 8.
Comparison between molecular units extracted from crystals 9a and 9b. (Left) The 3D-ORTEP rendering of the molecular units showing intramolecular HB contacts as red dashed lines with distances in Å. Displacement ellipsoids are drawn with a probability level of 50%. (Right) Molecular graph for molecular units showing bond paths (pink lines), BCPs (red dots), RCPs (yellow dots), and CCPs (green dots).
Analysis of intermolecular interactions in polymorphs 9a and 9b revealed a quasi-identical supramolecular architecture between these two crystal packings. As shown in Figure 9, both crystals are characterized by the presence of the same five distinctive close intermolecular interactions, distributed in a N∙∙∙H, two H3C∙∙∙H, and one bidirectional π stacking C∙∙∙H HB. N∙∙∙H HB occurred between the unfunctionalized nitrogen in pyrazole E and the hydrogen atom in position 3 of the pyridine ring D, with distances of 2.671 and 2.677 Å for polymorphs 9a and 9b, respectively. One of the H3C∙∙∙H interactions is between the ortho hydrogen in phenyl ring F and one methyl carbon of the tBu group linked to pyrazole ring B, with distances of 2.820 (9a) and 2.834 Å (9b). The second H3C∙∙∙H HB is observed between the hydrogen in position 2 on the pyridine ring G and one methyl carbon of the tBu group linked to pyrazole E, with distances of 2.877 (9a) and 2.891 Å (9b). The bidirectional π stacking C∙∙∙H HB comprises the hydrogen in position 5 in pyridine ring D and two geminal carbons in phenyl ring C. In crystal 9a, this bidirectional HB presents distances of 2.834 and 2.888 Å, with angles of 95.8° and 93.9° with respect to the plane of the phenyl ring, respectively. While in crystal 9b, distances and angles of this bidirectional π stacking contact are 2.837 (95.7°) and 2.892 Å (93.6°). As can be seen when comparing similar noncovalent distances, both intramolecular (Figure 8) and intermolecular (Figure 9), between these two polymorphs, crystal 9a without exception presents shorter distances; thus denoting a slightly more efficient crystal packing than that of crystal 9b. Such distance shortening is therefore reflected in the lower unit cell volume and higher crystal density of polymorph 9a (Table 1).
Figure 9.
Crystal packing (2.0 × 2.0 × 2.0 supercell) comparison between the two isostructural polymorphs 9a and 9b seen along the bc face and highlighting featured close intermolecular contacts. Molecular units (Z = 4, Z′ = 1) are colored based on different symmetry operations. Distances in Angstroms (Å) and angles in grades (°).
3.2.2. Topological Study on Electron Density (ρ)
The application of QTAIM-C to the gradient field of the electronic density of the crystalline molecules 9a and 9b leads to the detection of an equal number of critical points, distributed as 86 NCPs, 98 BCPs, 14 RCPs, and 1CCP. Such a characteristic set satisfies the Poincaré–Hopf relationship (n NCP − n BCP + n RCP − n CCP = 1), which confirms the completeness of critical points in each of these molecular systems. Molecular graphs for crystalline molecules 9a and 9b are presented in Figure 8 (right side). Six closed-shell intramolecular BCs were detected in molecules 9a and 9b each, whose main topological parameters are listed in comparative fashion in Table 3. These intramolecular BCPs are associated with three N∙∙∙H bond paths between heterocyclic nitrogen atoms and phenyl hydrogens in ortho position, one C∙∙∙C bond path between pyridine D carbon and phenyl F carbon, one C∙∙∙H bond path between pyridine G carbon and a tBu hydrogen, and a H∙∙∙H bond path between pyrimidine A hydrogen and a tBu hydrogen. As noticed in Table 3, longer bond paths, along with lesser charge densities, are observed for intramolecular interactions involving tBu hydrogens in crystal molecule 9a compared to 9b. As higher ellipticity (ε) values are observed in the BCPs for these tBu interactions in crystal molecule 9b, its slightly higher bond strength could be related to a higher π character than that present in analogous 9a molecules interactions.
Table 3.
Topological parameters 1 (in au) for closed-shell intramolecular BCPs in crystalline molecular units 9a and 9b. Ring sorting is presented in parentheses and using bold capital letters as described in Figure 2.
3.2.3. Hirshfeld Surface Analysis
Hirshfeld surfaces for crystal polymorphs 9a and 9b, mapped onto dnorm, curvedness (C), and shape index (S), are presented in comparative fashion in Figure 10. Both HSs exhibit very similar three-dimensional shapes, with slight differences in volume (834.0 A3 for 9a and 837.4 A3 for 9b) and area (613.8 A2 for 9a and 614.7 A2 for 9b); thus revealing a high sharing in type and number of intermolecular interactions occurring among the molecules in each of these crystals.
Figure 10.
Hirshfeld surfaces (HS) of crystalline molecules 9a (top row) and 9b (bottom row) mapped over (a) the normalized contact distance (dnorm) scaled over the range −0.08–1.54, (b) curvedness (C) scaled over the range −4.0–0.4, and (c) shape index (S) scaled over the range −1.0–1.0.
The darkest red spots in the HS of either of the molecules 9a and 9b within the respective crystal are associated with four different types of HB interactions: (i) a reciprocal N···H interaction (2.521 Å for 9a and 2.528 Å for 9b) between the unfunctionalized nitrogen on the pyrazole E ring and the hydrogen meta to nitrogen on the pyridine D ring, (ii) a reciprocal π-stacking C···H interaction (2.750 Å for 9a and 2.753 Å) between an ortho carbon on the phenyl F ring and an hydrogen of the tBu group linked to the pyrazole B ring, (iii) a bidirectional π-stacking C···H interaction between an hydrogen (meta to nitrogen) on pyridine D ring and two geminal carbon atoms on phenyl C ring (2.738 and 2.747 Å for 9a, 2.742 and 2.752 Å for 9b), and (iv) a H···C interaction between an ortho hydrogen on the phenyl F ring and a methyl hydrogen from the tBu group attached to the pyrazole B ring (for the case of 9a) or to the pyrazole E ring (for the case of 9b), with distances of 2.697 and 2.709 Å, respectively.
Comparison between the 2D-fingerprint plots derived from HSs of polymorphs 9a and 9b (Figure 11) clearly highlights the close—almost identical—distribution of intermolecular interactions shared by these crystal structures. In both crystals, H···H interactions prevail with a coverage of 71.0% (9a) and 71.1% (9b) of the respective HS area. In these FP plots, the small peak centered at de = di ≅ 1.1 Å is related to the H···H interaction between an ortho hydrogen in phenyl ring C and a hydrogen atom of the tBu group linked to pyrazole ring B. C(in)···H(out) interactions are the second intermolecular contribution on HS, with only one decimal percentage higher for 9a (10.9%) than for 9b (10.8%). The interactions H(in)···C(out), N(in)···H(out), and H(in)···N(out) give the same distribution rate in both HSs in a percentage order descending of 8.9, 4.5, and 4.2%, respectively. The narrow spike at de or di ≅ 1.1 Å in decomposed N···H FP plots coincides with the interaction marked as a red spot in HS and denoted as (i). Whereas the rounded edges centered on de or di ≅ 1.7 Å in decomposed C···H FP plots correspond to the bidirectional π-stacking C···H interaction marked as red spots in HS and denoted as (iii). In the case of the C···C and N···C/C···H interactions, each of them provides only 0.2% of the interatomic contacts across the HS in 9a or 9b.
Figure 11.
The 2D-fingerprint plots for all and outlined in H···H, C···H, H···C, N···H, and H···N intermolecular contacts through HSs in crystalline molecules 9a and 9b. In A···B contacts, atom A is inside HS, while atom B is outside HS.
Empty pores and channels within crystalline structures of polymorphs 9a and 9b were also explored by calculating the void surfaces of the unit cells using an isovalue of 0.002 eau−3, as presented in Figure 12. On these surfaces, the boundaries of the empty region are defined by assuming capping faces meeting the walls of the unit cell. The volumes of the voids calculated for crystals 9a and 9b were 466.06 and 469.78 Å3, with areas (without including capping faces) of 1383.20 and 1393.35 Å2, respectively. The slightly lower (0.8% smaller) porosity of the crystal 9a correlates well with the small increase in its calculated density (ρ = 1.198 Mg/m3) compared with that of crystal 9b (ρ = 1.198 Mg/m3). The volumes of the voids in crystals 9a and 9b occupy 13.8% and 13.9% of the unit cell volume, demonstrating tight packing of the molecules in these crystals at room temperature. Very similar values of void volume (13.6%) were calculated in the molecular crystals of salicylamide under normal conditions, which could be decreased by as much as 2.0% by increasing the pressure up to 5 GPa [32]. From the void and unit cell volumes of systems 9a and 9b (Table 1), volumes of 727.3 and 729.8 Å3 are calculated for each of their molecules, respectively, which agrees with the longest intramolecular distances determined for the 9b molecule (Section 3.2.1).
Figure 12.
Void surfaces (isovalue 0.002 eau−3) within the unit cells of crystalline polymorphs 9a (a) and 9b (b).
3.2.4. Model Energies and Energy Frameworks
The energies of the interactions between the molecules in crystals 9a and 9b were explored using the calibrated energy model CE-B3LYP as implemented in CrystalExplorer [28,33], for which an aggregate of eight molecules located at 3.8 Å around a central molecule was generated in each case. The interaction energy of each pair formed by the central molecule (A) and a cluster molecule (B) is decomposed in terms of electrostatic (Eele), polarization (Epol), dispersion (Edis), and exchange–repulsion (Erep) components, as established in Equation (3).
where kele, kpol, kdis, and krep are scale factors optimized using B3LYP/6-31G(d,p) monomer wavefunctions (model CE-B3LYP) [28,33].
The molecular clusters used for calculating intermolecular interactions in crystals 9a and 9b are presented in Figure 13, while the values of total energy and energy contributions Eele, Epol, Edis, and Erep, for each unique interaction between the central molecule (in yellow mesh) and a molecule of the cluster (in different color) are presented in Table 4. According to what was discussed in previous sections, these molecular clusters share the same type and number of intermolecular interactions, with some variations in their energy magnitudes. A strong interaction of 111.8 (9a) and 110.8 (9b) kJ/mol occurs between the central molecule and the −x, −y, −z symmetry-related molecule colored red and blue, respectively. It is between this pair of molecules that mutual bidirectional π-stacking C∙∙∙H HB occurs between the hydrogen at position 5 on the pyridine ring D and two geminal carbons on the phenyl ring C (Section 3.2.1). The second largest magnitude interaction, of 39.5 kJ/mol for 9a and 39.4 kJ/mol for 9b, occurs with another symmetrically related −x, −y, −z molecule, colored orange and red, respectively. This pair is characterized by the presence of a significant number of H∙∙∙H interactions both between the aromatic rings and between the tBu group and the phenyl ring. In all cases, the interaction energy calculated for each unique symmetry-related AB pair was higher for cluster 9a (Table 4).
Figure 13.
Clusters used for calculating interatomic energies between a unique pair of molecules in crystals 9a and 9b with the CE-B3LYP model. The central molecule is highlighted in a yellow mesh and unique symmetry-related molecules are presented in different colors.
Table 4.
Interaction energies (in kJ/mol) for pairs of molecules (AB) in crystals 9a and 9b calculated with the CE-B3LYP model. Each color represents a particular interaction between the central molecule and a different symmetry-related molecule.
Using the same CE-B3LYP model, a lattice energy stability value () of 1.2 kJ/mol was estimated for molecular crystal 9a compared to crystal 9b, by subtracting the direct sums of the interaction energies of AB pairs [34], as indicated in Equation (4).
where Elat converged to a value better than 1 kJ/mol in each case using a summation limit based on the molecular centroid spacing (RAB) of 25 Å.
As shown in Figure 14, a comparison between the energy frameworks for the intermolecular interactions of crystals 9a and 9b reveals a cohesive framework of dispersion interactions that overhangs the electrostatic framework. The greatest cohesion by cooperative dispersion effects in these crystals is indicated by the wide green cylinder through the pyrimidine rings between pairs of symmetrically related −x, −y, −z molecules. These pairs are also the ones that provide the greatest stability due to the electrostatic interactions (red tubes) in both crystals. A differential distribution of dispersion energies is found between both systems. On the one hand, crystal 9a presents strong cohesion through the molecules −x, −y, −z (orange) and x, y, z (light blue) related to symmetry, while in crystal 9b, this additional contribution is best between the pairs −x, y + 1/2, −z + 1/2//x, −y + 1/2, z+1/2 (orange//green) and x, −y + 1/2, z + 1/2//−x, y + 1/2, −z + 1/2 (light blue//fuchsia). This behavior occurs exactly in the opposite direction between crystals 9a and 9b for the second component of cohesion due to electrostatic effects.
Figure 14.
Energy framework diagrams for Eelec, Edis, ETotal for cluster of molecules in crystalline packing of 9a and 9b polymorphs. H atoms have been omitted for clarity and all diagrams used the same cylinder scale of 150 for energies.
4. Conclusions
Two new crystalline derivatives of dipyrazolo-1,5-diazocine and dipyrazolopyrimidine, systems 8 and 9, respectively, were unexpectedly obtained as products in the reaction of 5-aminopyrazole (4) and 2-pyridinecarboxaldehyde (5) in ethanol. The original target pyrazole-pyridinemethanamine Schiff base (6) is supposed to form in situ during this reaction and evolve to compounds 8 and 9 through two different dimerization processes depending on the addition or not, respectively, of acetic acid as the catalyst. Crystallization of solids 8 and 9 at room temperature using the liquid diffusion technique led to the formation of a single morphological form of 8 and two isostructural polymorphs for 9, denoted as 9a (pale pink crystal) and 9b (yellow crystal). These latter polymorphs are obtained depending on the solvent treatment used during crystallization. X-ray diffraction studies confirmed without ambiguity the structures for the three molecular crystals, and theoretical/computational studies using Hirshfeld Surfaces (HSs) and topological analysis of the electron density by using the QTAIM enable us to scrutinize the nature and role of the noncovalent interactions in these systems.
In crystal 8, two molecules pack per cell in a P-1 space group system, while short intermolecular H···H interactions (1.984/2.052 Å) between tert-butyl groups together with reciprocal π-stacking C···H interactions (2.699 Å) between the ortho hydrogen on the phenyl ring and one carbon on the pyridine ring govern its supramolecular constructs. The 2D fingerprint plots reveal an area distribution of approximately 65, 20, and 13% across HS for the intermolecular interactions H···H, C···H, and N···H, respectively. Meanwhile, the application of QTAIM to a molecule extracted from crystal 8 allowed the identification of distinct pairs of C···H, N(Pyr)···H, and N(Py)···H intramolecular bond paths and the recovery of an unexpected long-range (3.708 Å) intramolecular π-stacking C···H contact between a tert-butyl hydrogen and the opposite-located phenyl ring.
Both polymorphs of crystal 9 adopt the same P21/c packing system with four molecules per unit cell, with slight differences in their cell parameters. The same intermolecular and intramolecular interactions characterized both systems, where crystal 9a exhibits the shortest contacts leading to a slightly more efficient packing arrangement. The strongest supramolecular interactions in crystals 9a and 9b come from the formation of N···H (Py···Pyr), π-stacking C···H (Ph···t-Bu), π-stacking C···H (Ph···Pyr), and H···C (Ph···t-Bu) contacts. The HS analysis allowed the classification of the main intermolecular contributions at approximately 71, 20, and 9% for the H···H, C···H, and N···H contacts, respectively. Quantitative analysis of intermolecular interactions by the CE-B3LYP method revealed a slightly higher supramolecular stability for crystalline assembly 9a. Both polymorphic structures are mainly stabilized by dispersion interactions, rather than electrostatic hydrogen bond-type interactions.
Supplementary Materials
The following supporting information can be downloaded at: https://www.mdpi.com/article/10.3390/cryst12050714/s1, Figure S1: Electron-impact mass fragmentation spectrum of Dipyrazolo-1,5-diazocine derivative (8); Figure S2: FTIR spectrum of the dipyrazolo-1,5-diazocine derivative (8) measured using the KBr disk technique; Figure S3: 1H 1D-NMR spectrum of dipyrazolo-1,5-diazocine derivative (8) in deuterated chloroform; Figure S4: 13C 1D-NMR spectrum of dipyrazolo-1,5-diazocine derivative (8) in deuterated chloroform; Figure S5: DEPT NMR spectrum of dipyrazolo-1,5-diazocine derivative (8) in deuterated chloroform; Figure S6: The 2D-molecular representation of dipyrazolo-1,5-diazocine derivative (8) showing atomic numbering used for NMR assignments; Figure S7: Electron-impact mass fragmentation impact of dipyrazolopyrimidine derivative (9); Figure S8: FTIR spectrum of dipyrazolopyrimidine derivative (9) measured using the KBr disk technique; Figure S9: 1H (top) and 13C (bottom) 1D-NMR spectra of dipyrazolopyrimidine derivative (9) in deuterated chloroform.
Author Contributions
Conceptualization, F.C.-C., R.A. and J.A.G.C.; methodology, F.C.-C. and J.A.G.C.; software, J.A.G.C.; validation, F.C.-C.; formal analysis, F.C.-C. and J.A.G.C.; investigation, F.C.-C. and J.A.G.C.; resources, F.C.-C., R.A. and J.A.G.C.; data curation, F.C.-C. and J.A.G.C.; writing—original draft preparation, F.C.-C., R.A. and J.A.G.C.; writing—review and editing, F.C.-C. and J.A.G.C.; visualization, F.C.-C. and J.A.G.C.; supervision, F.C.-C.; project administration, F.C.-C.; funding acquisition, F.C.-C. and J.A.G.C. All authors have read and agreed to the published version of the manuscript.
Funding
This research was funded by the Universidad del Quindío through the project 1050.
Institutional Review Board Statement
Not applicable.
Informed Consent Statement
Not applicable.
Data Availability Statement
The data presented in this study are available on request from the corresponding author.
Acknowledgments
The authors are grateful to Universidad del Quindío, Universidad del Valle, and Instituto de Química de la Universidad Nacional Autónoma de México (UNAM) for financial support. The authors especially acknowledge Armando Cabrera Ortiz (RIP) from UNAM for his academic assistance and beautiful friendship. J.A.G.C. is especially grateful to the Universidad Pedagógica y Tecnológica de Colombia (UPTC) for the computational facilities provided through the Laboratorio de Química Teórica y Computacional.
Conflicts of Interest
The authors declare no conflict of interest. The funders had no role in the design of the study; in the collection, analyses, or interpretation of data; in the writing of the manuscript, or in the decision to publish the results.
References
- More, P.G.; Karale, N.N.; Lawand, A.S.; Narang, N.; Patil, R.H. Synthesis and anti-biofilm activity of thiazole Schiff bases. Med. Chem. Res. 2014, 23, 790–799. [Google Scholar] [CrossRef]
- Borthakur, S.K.; Borthakur, S.; Goswami, D.; Boruah, P.; Kalita, P.K. Synthesis and Antifungal Activities of Some New 5,7-Disubstituted[1,2,4]Triazolo[1,5-a]Pyrimidin-6-one Derivatives. J. Heterocycl. Chem. 2016, 53, 2079–2083. [Google Scholar] [CrossRef]
- Attaryan, H.S.; Rstakyan, V.I.; Hayotsyan, S.S.; Asratyan, G.V. Non-catalytic Alkylation of Benzylamine with 1,3,5-Trimethyl-1H-pyrazol-4-ylmethanol. Russ. J. Gen. Chem. 2013, 83, 1178–1179. [Google Scholar] [CrossRef]
- Novikov, M.S.; Khlebnikov, A.F.; Sidorina, E.S.; Masalev, A.E.; Kopf, J.; Kostikov, R.R. 1,3-Dipolar Cycloaddition of Azomethine Ylides Generated from Schiff Bases and Difluorocarbene to Symmetric Olefins. Russ. J. Org. Chem. 2002, 38, 672–682. [Google Scholar] [CrossRef]
- Chigurupati, S.; Muralidharan, S.; Cin, L.S.; Raser, W.Y.; Santhi, K.; Kesavanarayanan, K.S. Studying Newly Synthesized and Developed 4-Hydroxy-3-Methoxybenzaldehyde Schiff Bases by Uv Spectrophotometry and High Performance Liquid Chromatography. Pharm. Chem. J. 2017, 50, 851–856. [Google Scholar] [CrossRef]
- Yang, T.; Yu, Q.; Wang, H. Photocatalytic Reduction of CO2 to CH3OH Coupling with the Oxidation of Amine to Imine. Catal. Lett. 2018, 148, 2382–2390. [Google Scholar] [CrossRef]
- Chen, H.; Li, J.; Shen, Z.; Zhou, H.; Hao, L.; Xu, H.; Zhou, X. One-step synthesis of methyl eugenol/Schiff base mesoporous silica nanoparticles sustained-release performance with high lure efficiency. J. Solgel Sci. Technol. 2019, 92, 723–735. [Google Scholar] [CrossRef]
- Negm, N.A.; Kandile, N.G.; Mohamad, M.A. Characterization and Surface Activity of New Eco-friendly Schiff Bases Vanillin Derived Cationic Surfactants. J. Surfact. Deterg. 2011, 14, 325–331. [Google Scholar] [CrossRef]
- Feng, C.; Guo, J.-J.; Sun, L.-N.; Zhao, H. Pyrazole Schiff bases cross-linked supramolecules: Structural elucidation and antibacterial activity. J. Iran. Chem. Soc. 2018, 15, 2871–2876. [Google Scholar] [CrossRef]
- Fernandez, D.; Restrepo-Acevedo, A.; Rocha-Roa, C.; Le Lagadec, R.; Abonia, R.; Zacchino, S.A.; Gómez Castaño, J.A.; Cuenú-Cabezas, F. Synthesis, Structural Characterization, and In Vitro and In Silico Antifungal Evaluation of Azo-Azomethine Pyrazoles (PhN2(PhOH)CHN(C3N2(CH3)3)PhR, R = H or NO2). Molecules 2021, 26, 7435. [Google Scholar] [CrossRef]
- Moreno-Fuquen, R.; Cuenú, F.; Torres, J.E.; De la Vega, G.; Galarza, E.; Abonia, R.; Kennedy, A.R. Presence of π...π and C-H...π interactions in the new Schiff base 2-{(E)-[(3-tert-butyl-1-phenyl-1H-pyrazol-5-yl)imino]methyl}phenol: Experimental and DFT computational studies. J. Mol. Struct. 2017, 1150, 366–373. [Google Scholar] [CrossRef]
- Cuenú, F.; Londoño-Salazar, J.; Torres, J.E.; Abonia, R.; D’Vries, R.F. Synthesis, Structural Characterization and Theoretical Studies of a new Schiff Base 4-(((3-(tert-Butyl)-(1-phenyl)pyrazol-5-yl)imino)methyl)phenol. J. Mol. Struct. 2018, 1152, 163–176. [Google Scholar] [CrossRef]
- Cuenú, F.; Restrepo-Acevedo, A.; Murillo, M.I.; Torres, J.E.; Moreno-Fuquen, R.; Abonia, R.; Kennedy, A.R.; Tenorio, J.C.; Lehmann, C.W. Synthesis, structural characterization, and theoretical studies of new pyrazole (E)-2-{[(5-(tert-butyl)-1H-pyrazol-3-yl)imino]methyl}phenol and (E)-2-{[(1-(4-bromophenyl)-3-(tert-butyl)-1H-pyrazol-5-yl]imino]methyl}phenol. J. Mol. Struct. 2019, 1184, 59–71. [Google Scholar] [CrossRef]
- Molano, M.F.; Lorett, V.P.; Erben, M.F.; Nossa, D.L.; Loaiza, A.E.; Echeverria, G.A.; Piro, O.E.; Tobon, Y.A.; Tayeb, K.B.; Gómez Castaño, J.A. Crystal structure, spectroscopic characterization and Hirshfeld surface analysis of aquadichlorido{N-[(pyridin-2-yl)methylidene]aniline}copper(II)monohydrate. Acta Cryst. 2020, E76, 148–154. [Google Scholar] [CrossRef]
- Kumar Jha, K.; Dutta, S.; Kumar, V.; Munshi, P. Isostructural Polymorphs: Qualitative Insights from Energy Frameworks. CrystEngComm 2016, 18, 8497–8505. [Google Scholar] [CrossRef]
- Dey, D.; Thomas, S.P.; Spackman, M.A.; Chopra, D. ‘Quasi-isostructural polymorphism’ in molecular crystals: Inputs from interaction hierarchy and energy frameworks. Chem. Commun. 2016, 52, 2141–2144. [Google Scholar] [CrossRef] [PubMed]
- APEX2; Bruker AXS Inc.: Madison, WI, USA, 2012.
- SAINT; Bruker AXS Inc.: Madison, WI, USA, 2012.
- Dolomanov, O.V.; Bourhis, L.J.; Gildea, R.J.; Howard, J.A.K.; Puschmann, H. OLEX2: A complete structure solution, refinement and analysis program. J. Appl. Crystallogr. 2009, 42, 339–341. [Google Scholar] [CrossRef]
- Sheldrick, G.M. A short history of SHELX. Acta Crystallogr. Sect. A 2008, 64, 112–122. [Google Scholar] [CrossRef]
- Brandenburg, K.; Putz, H. In diamond, impact, C. In Crystal Impact; Kreuzherrenstr: Bonn, Germany, 2006; Volume 102, p. 53227. [Google Scholar]
- Macrae, C.F.; Bruno, I.J.; Chisholm, J.A.; Edgington, P.R.; McCabe, P.; Pidcock, E.; Rodriguez-Monge, L.; Taylor, R.; Van De Streek, J.; Wood, P.A. Mercury CSD 2.0 e new features for the visualization and investigation of crystal structures. J. Appl. Crystallogr. 2008, 41, 466–470. [Google Scholar] [CrossRef]
- Biegler-König, F.; Schönbohm, J. Update of the AIM2000-Program for atoms in molecules. J. Comput. Chem. 2002, 23, 1489–1494. [Google Scholar] [CrossRef]
- Frisch, M.; Trucks, G.; Schlegel, H.; Scuseria, G.; Robb, M.; Cheeseman, J.; Scalmani, G.; Barone, V.; Mennucci, B.; Petersson, G.A.; et al. Gaussian 09; Revision D.01; Gaussian, Inc.: Wallingford, CT, USA, 2013. [Google Scholar]
- Bader, R.F. Atom in Molecules: A Quantum Theory; Oxford University Press: Oxford, UK, 1990. [Google Scholar]
- Spackman, M.A.; Jayatilaka, D. Hirshfeld surface analysis. CrystEngComm 2009, 11, 19–32. [Google Scholar] [CrossRef]
- McKinnon, J.J.; Jayatilaka, D.; Spackman, M.A. Towards quantitative analysis of intermolecular interactions with Hirshfeld surfaces. Chem. Commun. 2007, 3814–3816. [Google Scholar] [CrossRef]
- Spackman, P.R.; Turner, M.J.; McKinnon, J.J.; Wolff, S.K.; Grimwood, D.J.; Jayatilaka, D.; Spackman, M.A. CrystalExplorer: A program for Hirshfeld surface analysis, visualization and quantitative analysis of molecular crystals. J. Appl. Cryst. 2021, 54, 3. [Google Scholar] [CrossRef] [PubMed]
- Kalman, A.; Parkanyi, L.; Argay, G. Classification of the Isostructurality of Organic Molecules in the Crystalline State. Acta Cryst. 1993, B49, 1039–1049. [Google Scholar] [CrossRef]
- László, F.; Kalman, A. Volumetric measure of isostructurality. Acta Cryst. 1999, B55, 1099–1108. [Google Scholar] [CrossRef]
- Rohlicek, J.; Skorepova, E.; Babor, M.; Cejka, J. CrystalCMP: An easy-to-use tool for fast comparison of molecular packing. J. Appl. Cryst. 2016, 49, 2172–2183. [Google Scholar] [CrossRef]
- Turner, M.J.; McKinnon, J.J.; Jayatilaka, D.; Spackman, M.A. Visualization and characterization of voids in crystalline materials. CrystEngComm 2011, 13, 1804–1813. [Google Scholar] [CrossRef]
- Mackenzie, C.F.; Spackman, P.R.; Jayatilaka, D.; Spackman, M.A. CrystalExplorer model energies and energy frameworks: Extension to metal coordination compounds, organic salts, solvates and open-shell systems. IUCrJ 2017, 4, 575–587. [Google Scholar] [CrossRef]
- Sajesh, T.; Spackman, M.A. The Polymorphs of ROY: A Computational Study of Lattice Energies and Conformational Energy Differences. Aust. J. Chem. 2018, 71, 279–284. [Google Scholar] [CrossRef]
Publisher’s Note: MDPI stays neutral with regard to jurisdictional claims in published maps and institutional affiliations. |
© 2022 by the authors. Licensee MDPI, Basel, Switzerland. This article is an open access article distributed under the terms and conditions of the Creative Commons Attribution (CC BY) license (https://creativecommons.org/licenses/by/4.0/).













