Characteristics of Channel-Water in Blue-Green Beryl and Its Influence on Colour
Abstract
:1. Introduction
2. Materials and Methods
2.1. Materials
2.2. Colour Collection
2.3. Structure and Composition Testing
3. Results
3.1. Colour Parameters
3.2. Characteristics of IR Spectroscopy

3.3. Total Iron and Fe2+ Content
3.4. Characteristics of XRD
4. Discussion
4.1. The Relative Content of Water in the Channel Deduced by IR
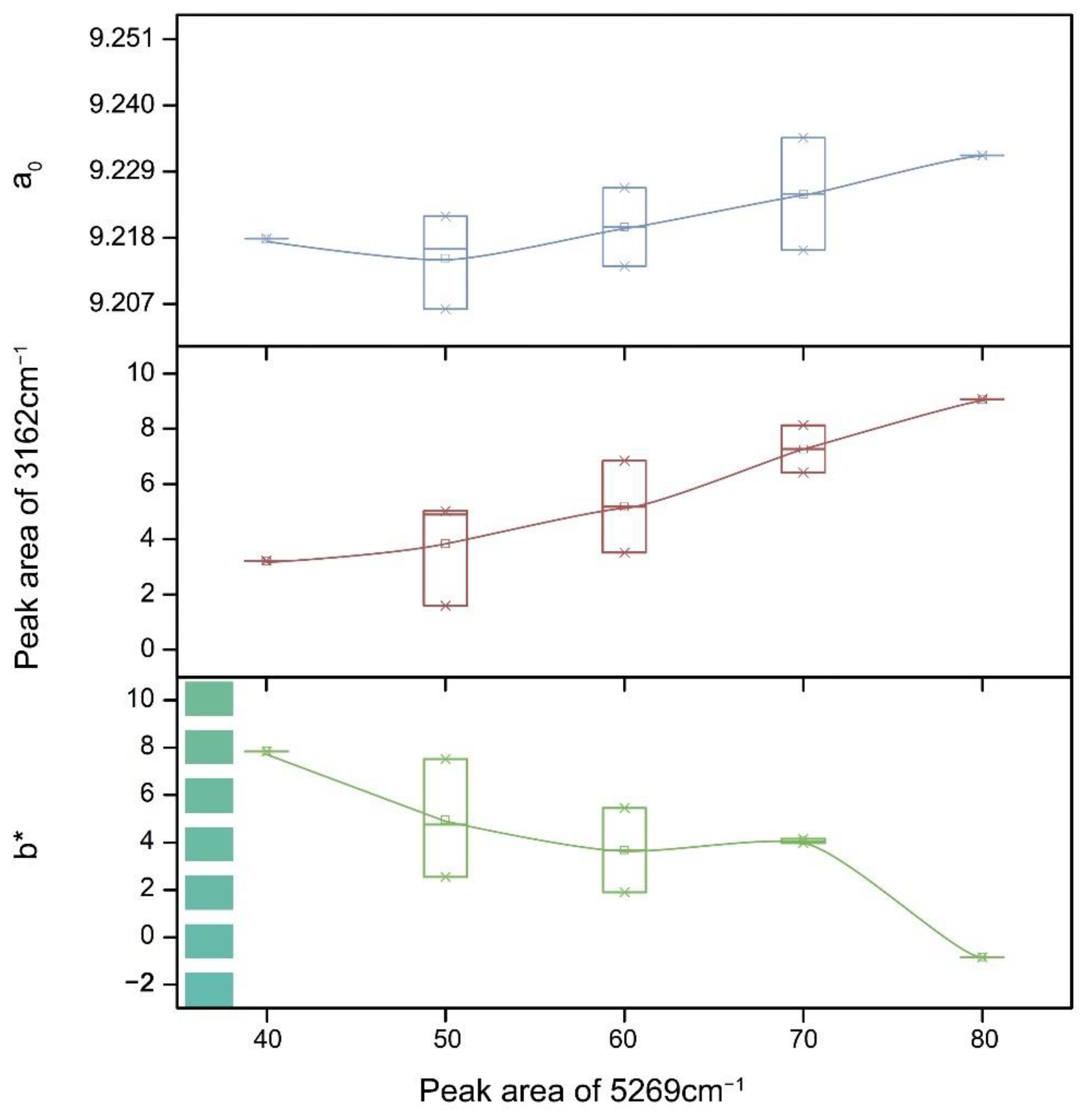
4.2. Relationship between Type II Water Content and Colour
4.3. Characteristics of Channel-Water in the Form of Hydration Ions and Its Influence on Colour
5. Conclusions
Supplementary Materials
Author Contributions
Funding
Institutional Review Board Statement
Informed Consent Statement
Data Availability Statement
Acknowledgments
Conflicts of Interest
References
- Yang, S. Aquamarine Optimization Process and Mechanism. Master’s Thesis, Tong Ji University, Shanghai, China, 2014. [Google Scholar]
- Qi, L.; Ye, S.; Xiang, C. Vibration Spectrum and Irradiation Splitting of Mixture in Beryl Channels. Geol. Sci. Technol. Inf. 2001, 20, 59–64. [Google Scholar]
- Qi, L.; Zhao, B.; Zhou, Z. Constitution Water Irradiation Cracking and F-NIR Spectra Analysis of Yellow Beryl from Xinjiang. Acta Mineral. Sin. 2012, 10, 103–105. [Google Scholar]
- Goldman, D.S.; Rossman, G.R.; Parkin, K.M. Channel Constituents in Beryl. Phys. Chem. Miner. 1978, 31, 225–235. [Google Scholar] [CrossRef]
- Loeffer, B.M.; Burns, R.G. Shedding Light Other Colour of Gems and Minerals. Am. Sci. 1976, 64, 636–647. [Google Scholar]
- Hu, D. Colouration Mechanism and Positions of Impurities in Yellow Beryl from Wulateqianqi, Inner Mongolia. Master’s Thesis, China University of Geosciences, Beijing, China, 2010. [Google Scholar]
- Zhong, Q.; Liao, Z.; Zhou, Z. Gemmological Characteristic of Hydrothermal Synthetic Paraiba-Colour Beryl. J. Gems Gemmol. 2016, 18, 1–7. [Google Scholar]
- Wang, H.; Guan, Q.; Liu, Y.; Guo, Y. Effects of Transition Metal Ions on the Colour of Blue-Green Beryl. Minerals 2022, 12, 86. [Google Scholar] [CrossRef]
- Qiao, X.; Zhou, Z.; Nong, P. Study on the Infrared Spectral Characteristics of H2O Ⅰ-type Emerald and the Controlling Factors. Rock Miner. Anal. 2019, 38, 169–178. [Google Scholar]
- Zou, T. Colouration Mechanism and Controlling Factor of Aquamarine from China. Miner. Depos. 1996, 10, 55–61. [Google Scholar]
- Aurisicchio, C.; Grubessi, O.; Zecchini, P. Infrared spectroscopy and crystal chemistry of the beryl group. Can. Mineral. 1994, 32, 55–68. [Google Scholar]
- Charoy, B.; De Donato, P.; Barres, O.; Pinto-Coelho, C. Channel Occupancy in an Alkali-Poor Beryl from Serra Branca (Goias, Brazil): Spectroscopic Characterization. Am. Mineral. 1996, 81, 395–403. [Google Scholar] [CrossRef]
- Zhang, H.; Liu, C.; Ma, Y. Advances in Mineralogy and Hydrogen Isotope of H2O in Channel of Pegmatitic Beryl. Acta Mineral. Sin. 1999, 19, 370–378. [Google Scholar]
- Wood, D.L.; Nassau, K. The Characterization of Beryl and Emerald by Visible and Infrared Absorption Spectroscopy. Am. Mineral. 1968, 53, 777–800. [Google Scholar]
- Fridrichová, J.; Bacík, P.; Bizovská, V.; Libowitzky, E.; Škoda, R.; Uher, P.; Ozdín, D.; Števko, M. Spectroscopic and bond-topological investigation of interstitial volatiles in beryl from Slovakia. Phys. Chem. Miner. 2016, 43, 419–437. [Google Scholar] [CrossRef]
- Qi, L.; Xia, Y.; Yuan, X. Channel-Water Molecular Pattern and 1H, 23Na NMR Spectra Representation in Synthetic Red Beryl. Gems Gemmol. 2002, 4, 8–14. [Google Scholar]
- Jiang, Y.; Guo, Y.; Zhou, Y.; Li, X.; Liu, S. The Effects of Munsell Neutral Grey Backgrounds on the Colour of Chrysoprase and the Application of AP Clustering to Chrysoprase Colour Grading. Minerals 2021, 11, 1092. [Google Scholar] [CrossRef]
- Tang, J.; Guo, Y.; Xu, C. Colour effect of light sources on peridot based on CIE1976L*a*b*colour system and round RGB diagram system. Colour Res. Appl. 2019, 44, 932–940. [Google Scholar] [CrossRef]
- Mashkovtsev, R.I.; Thoms, V.G.; Fursenko, D.A.; Zhukova, E.S.; Uskov, V.V.; Gorshunov, B.P. FTIR Spectroscopy of D2O and HDO molecules in the C-Axis Channels of Synthetic Beryl. Am. Mineral. 2016, 101, 175–180. [Google Scholar] [CrossRef]
- Della Ventura, G.; Radica, F.; Bellatreccia, F.; Freda, C.; Guidi, M.C. Speciation and Diffusion Profiles of H2O in Water-Poor Beryl: Comparison with Cordierite. Phys. Chem. Miner. 2015, 42, 735–745. [Google Scholar] [CrossRef]
- Peng, M.; Wang, H. A Study on the Vibrational Spectra of Water in Tourmaline. Acta Mineral. Sin. 1995, 15, 372–377. [Google Scholar]
- Kolesov, B. Vibrational States of H2O in Beryl: Physical aspects. Phys. Chem. Min. 2008, 34, 727–731. [Google Scholar] [CrossRef]
- Kolesov, B.; Geiger, C.A. The Orientation and Vibrational States of H2O in Synthetic Alkali-Free Beryl. Phys. Chem. Min. 2000, 27, 557–564. [Google Scholar] [CrossRef]
- Le Breton, N. Infrared Investigation of CO2-Bearing Cordierites: Some Implications for the Study of Metapelitic Granulites. Contrib. Mineral. Petrol. 1989, 103, 387–396. [Google Scholar] [CrossRef]
- Li, X.; Zu, E. Near-Infrared Spectrum Analysis of Cyclosilicates Gem Minerals. Bull. Chin. Ceram. Soc. 2016, 35, 1318–1321. [Google Scholar]
- Guo, Y.; Wang, R.; Xu, S. A Study of the Structure of a Rare Tabular Crystal of Beryl. Geol. Rev. 2000, 46, 312–317. [Google Scholar]
- Weng, S.; Xu, Y. Fourier Transform Infrared Spectroscopy Analysis; Chemical Industry Press: Beijing, China, 2016; pp. 30–32. [Google Scholar]
- Qi, L.; Xiang, C.; Liu, G.; Pei, J.; Luo, Y. ESR Behaviour of Paramagnetic Mixture in Irradiated Beryl. Geol. Sci. Technol. Inf. 2001, 20, 59–64. [Google Scholar]










| Wavenumber (cm−1) | Assignment | Reference |
|---|---|---|
| 2291 | CO2 | [24] |
| 2358 | CO2 | [11,13,15] |
| 3111 | M–OH | [14] |
| 3162 | Na–H | [14] |
| 3234 | [Fe2(OH)4]2+ | [1,14] |
| 3558 | ν1I | [13] |
| 3590 | ν1IIs | [15,19,20] |
| 3605 | ν1IId | [15,19,20] |
| 3661 | ν3IId | [13,15,19,20] |
| 3694 | ν3I | [13] |
| 5105 | Need to be discussed | |
| 5269 | ν2II + ν3II | [14,25] |
| 7098 | Need to be discussed | |
| 7142 | Need to be discussed |
| No. | Al3+ | Total Fe Ions | Fe2+ | a0 | c0 | No. | Al3+ | Total Fe Ions | Fe2+ | a0 | c0 |
|---|---|---|---|---|---|---|---|---|---|---|---|
| 1-3 | 17.04 | 1.81 | 0.60 | 9.21 | 9.20 | 2-10 | 15.24 | 3.32 | 9.22 | 9.19 | |
| 1-4 | 17.17 | 3.02 | 9.22 | 9.20 | 3-1 | 17.35 | 3.05 | 9.22 | 9.21 | ||
| 1-6 | 17.95 | 2.15 | 0.42 | 9.22 | 9.20 | 3-2 | 16.16 | 2.77 | 0.48 | 9.21 | 9.19 |
| 2-1 | 16.54 | 3.41 | 9.23 | 9.20 | 3-3 | 16.57 | 3.41 | 0.71 | 9.23 | 9.21 | |
| 2-2 | 16.87 | 3.22 | 9.23 | 9.20 | 3-4 | 14.18 | 2.14 | 9.22 | 9.21 | ||
| 2-3 | 14.40 | 3.67 | 9.23 | 9.20 | 3-5 | 16.35 | 3.40 | 0.86 | 9.22 | 9.21 | |
| 2-4 | 15.82 | 3.44 | 0.92 | 9.22 | 9.18 | 3-6 | 15.37 | 3.53 | 0.96 | 9.23 | 9.20 |
| 2-5 | 15.58 | 3.12 | 9.23 | 9.20 | 3-7 | 16.66 | 2.71 | 9.22 | 9.21 | ||
| 2-6 | 15.04 | 4.00 | 9.22 | 9.19 | 3-8 | 16.36 | 2.25 | 0.57 | 9.22 | 9.20 | |
| 2-7 | 15.48 | 3.08 | 9.21 | 9.19 | 3-9 | 16.66 | 2.75 | 9.22 | 9.19 | ||
| 2-8 | 15.46 | 3.36 | 9.23 | 9.20 | 3-10 | 15.93 | 3.58 | 0.79 | 9.23 | 9.21 | |
| 2-9 | 15.86 | 3.16 | 9.23 | 9.20 |
Publisher’s Note: MDPI stays neutral with regard to jurisdictional claims in published maps and institutional affiliations. |
© 2022 by the authors. Licensee MDPI, Basel, Switzerland. This article is an open access article distributed under the terms and conditions of the Creative Commons Attribution (CC BY) license (https://creativecommons.org/licenses/by/4.0/).
Share and Cite
Wang, H.; Shu, T.; Chen, J.; Guo, Y. Characteristics of Channel-Water in Blue-Green Beryl and Its Influence on Colour. Crystals 2022, 12, 435. https://doi.org/10.3390/cryst12030435
Wang H, Shu T, Chen J, Guo Y. Characteristics of Channel-Water in Blue-Green Beryl and Its Influence on Colour. Crystals. 2022; 12(3):435. https://doi.org/10.3390/cryst12030435
Chicago/Turabian StyleWang, Hui, Tong Shu, Jingyi Chen, and Ying Guo. 2022. "Characteristics of Channel-Water in Blue-Green Beryl and Its Influence on Colour" Crystals 12, no. 3: 435. https://doi.org/10.3390/cryst12030435
APA StyleWang, H., Shu, T., Chen, J., & Guo, Y. (2022). Characteristics of Channel-Water in Blue-Green Beryl and Its Influence on Colour. Crystals, 12(3), 435. https://doi.org/10.3390/cryst12030435

