Growth and Thermal Conductivity Study of CuCr2Se4-CuCrSe2 Hetero-Composite Crystals
Abstract
:1. Introduction
2. Experimental
2.1. Material Synthesis
2.2. Material Characterization
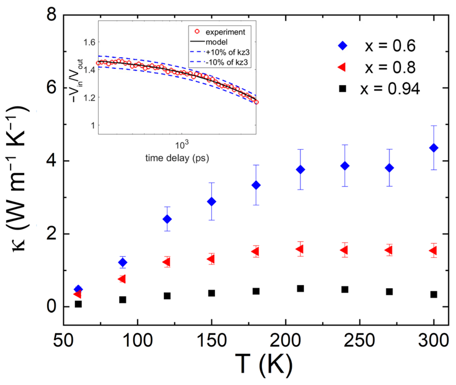
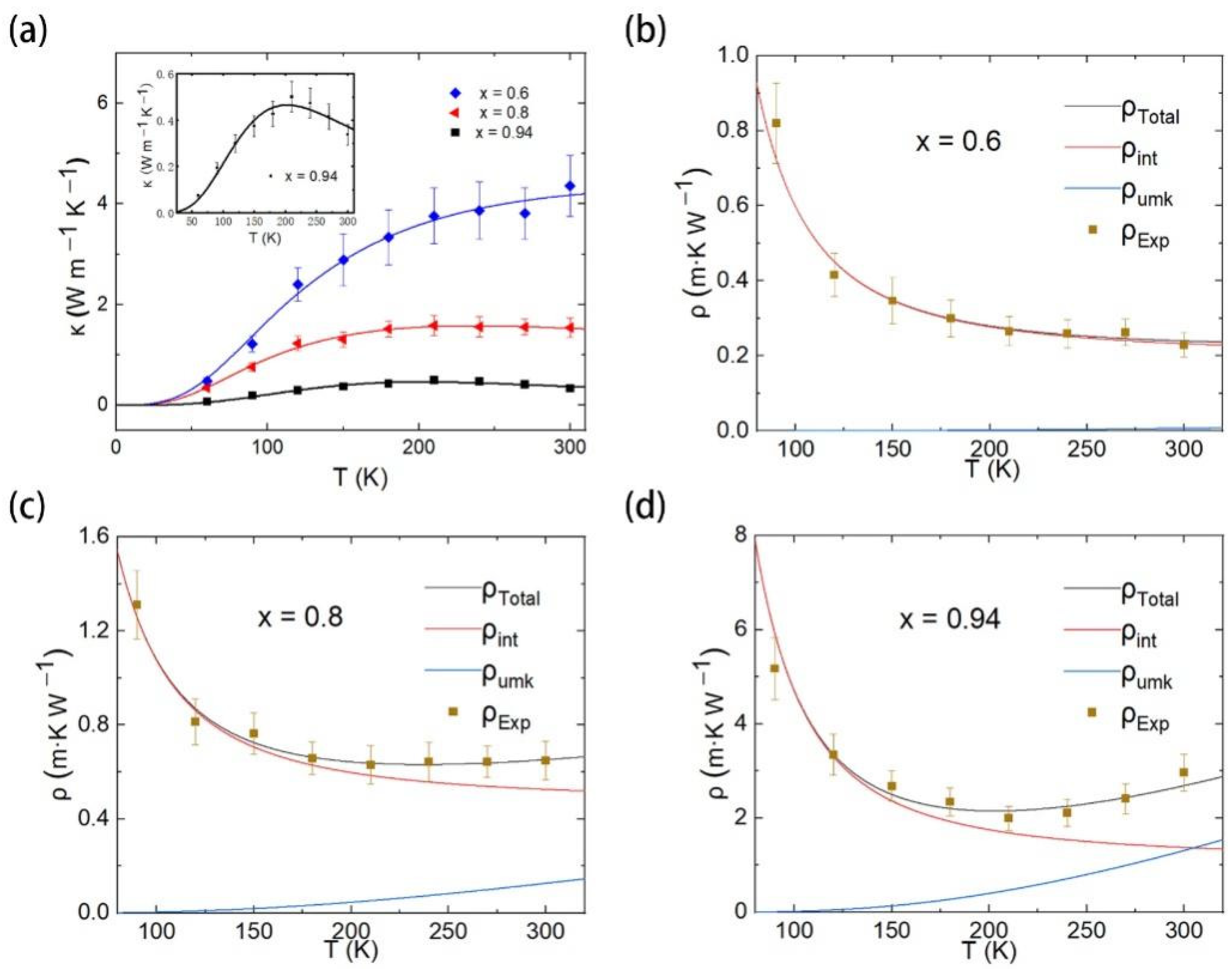
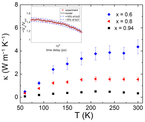
3. Results and Discussion
4. Conclusions
Supplementary Materials
Author Contributions
Funding
Institutional Review Board Statement
Informed Consent Statement
Data Availability Statement
Conflicts of Interest
References
- Singh, K.; Maignan, A.; Martin, C.; Simon, C. AgCrS2: A Spin Driven Ferroelectric. Chem. Mater. 2009, 21, 5007–5009. [Google Scholar] [CrossRef]
- Yang, H.; Huang, Z.; Jia, T.; Zhang, X.; Zeng, Z. Magnetic ordering and exchange striction stabilized geometric ferroelectricity in multiferroic AgCrS2. J. Physics Condens. Matter 2016, 28, 236002. [Google Scholar] [CrossRef]
- Damay, F.; Petit, S.; Braendlein, M.; Rols, S.; Ollivier, J.; Martin, C.; Maignan, A. Spin dynamics in the unconventional multiferroic AgCrS2. Phys. Rev. B 2013, 87, 134413. [Google Scholar] [CrossRef]
- Damay, F.; Martin, C.; Hardy, V.; André, G.; Petit, S.; Maignan, A. Magnetoelastic coupling and unconventional magnetic ordering in the multiferroic triangular lattice AgCrS2. Phys. Rev. B 2011, 83, 184413. [Google Scholar] [CrossRef] [Green Version]
- Apostolova, I.N.; Apostolov, A.T.; Wesselinowa, J.M. Differences in the multiferroic properties of AgCrS2 and AgCrO2. Solid State Commun. 2021, 323, 114119. [Google Scholar] [CrossRef]
- Kanematsu, T.; Okamoto, Y.; Takenaka, K. Large magnetic-field-induced strain at the magnetic order transition in triangular antiferromagnet AgCrS2. Appl. Phys. Lett. 2021, 118, 142404. [Google Scholar] [CrossRef]
- Yan, Y.; Guo, L.; Zhang, Z.; Lu, X.; Peng, K.; Yao, W.; Dai, J.; Wang, G.; Zhou, X. Sintering temperature dependence of thermoelectric performance in CuCrSe2 prepared via mechanical alloying. Scr. Mater. 2017, 127, 127–131. [Google Scholar] [CrossRef]
- Bhattacharya, S.; Basu, R.; Bhatt, R.; Pitale, S.; Singh, A.; Aswal, D.K.; Gupta, S.K.; Navaneethan, M.; Hayakawa, Y. CuCrSe2: A high performance phonon glass and electron crystal thermoelectric material. J. Mater. Chem. A 2013, 1, 11289–11294. [Google Scholar] [CrossRef]
- Tewari, G.C.; Tripathi, T.; Yamauchi, H.; Karppinen, M. Thermoelectric properties of layered antiferromagnetic CuCrSe2. Mater. Chem. Phys. 2014, 145, 156–161. [Google Scholar] [CrossRef]
- Niedziela, J.L.; Bansal, D.; May, A.F.; Ding, J.; Lanigan-Atkins, T.; Ehlers, G.; Abernathy, D.L.; Said, A.; Delaire, O. Selective breakdown of phonon quasiparticles across superionic transition in CuCrSe2. Nat. Phys. 2019, 15, 73–78. [Google Scholar] [CrossRef]
- Li, B.; Wang, H.; Kawakita, Y.; Zhang, Q.; Feygenson, M.; Yu, H.L.; Wu, D.; Ohara, K.; Kikuchi, T.; Shibata, K.; et al. Liquid-like thermal conduction in intercalated layered crystalline solids. Nat. Mater. 2018, 17, 226–230. [Google Scholar] [CrossRef] [PubMed] [Green Version]
- Ding, J.; Niedziela, J.L.; Bansal, D.; Wang, J.; He, X.; May, A.F.; Ehlers, G.; Abernathy, D.L.; Said, A.; Alatas, A.; et al. Anharmonic lattice dynamics and superionic transition in AgCrSe2. Proc. Natl. Acad. Sci. USA 2020, 117, 3930–3937. [Google Scholar] [CrossRef] [PubMed]
- Gagor, A.; Gnida, D.; Pietraszko, A. Order–disorder phenomena in layered CuCrSe2 crystals. Mater. Chem. Phys. 2014, 146, 283–288. [Google Scholar] [CrossRef]
- Cheng, Y.; Yang, J.; Jiang, Q.; Fu, L.; Xiao, Y.; Luo, Y.; Zhang, D.; Zhang, M. CuCrSe2 Ternary Chromium Chalcogenide: Facile Fabrication, Doping and Thermoelectric Properties. J. Am. Ceram. Soc. 2015, 98, 3975–3980. [Google Scholar] [CrossRef]
- Abramova, G.; Pankrats, A.; Petrakovskii, G.; Rasch, J.C.E.; Boehm, M.; Vorotynov, A.; Tugarinov, V.; Szumszak, R.; Bovina, A.; Vasilev, V. Electron spin resonance in CuCrSe2 chromecopper disulphides synthesized by different methods. J. Appl. Phys. 2010, 107, 093914. [Google Scholar] [CrossRef]
- Han, H.; Zhang, L.; Tong, W.; Qu, Z.; Zhang, C.; Pi, L.; Zhang, Y. The in-plane ferromagnetic ordering in half-metallic CuCr2Se4-xBrx (x = 0.25) single crystal. J. Alloys Compd. 2016, 685, 304–308. [Google Scholar] [CrossRef]
- Yogi, A.; Bera, A.K.; Maurya, A.; Kulkarni, R.; Yusuf, S.M.; Hoser, A.; Tsirlin, A.A.; Thamizhavel, A. Stripe order on the spin-1 stacked honeycomb lattice in Ba2Ni(PO4)2. Phys. Rev. B 2017, 95, 024401. [Google Scholar] [CrossRef]
- Yano, R.; Sasagawa, T. Crystal Growth and Intrinsic Properties of ACrX2 (A = Cu, Ag; X = S, Se) without a Secondary Phase. Cryst. Growth Des. 2016, 16, 5618–5623. [Google Scholar] [CrossRef]
- Cao, L.; Pan, J.; Zhang, H.; Zhang, Y.; Wu, Y.; Lv, Y.-Y.; Yan, X.-J.; Zhou, J.; Chen, Y.B.; Yao, S.-H.; et al. One-Order Decreased Lattice Thermal Conductivity of SnSe Crystals by the Introduction of Nanometer SnSe2 Secondary Phase. J. Phys. Chem. C 2019, 123, 27666–27671. [Google Scholar] [CrossRef]
- Liu, D.; Dreβler, C.; Seyring, M.; Teichert, S.; Rettenmayr, M. Reduced thermal conductivity of Bi-In-Te thermoelectric alloys in a eutectic lamellar structure. J. Alloy. Compd. 2018, 748, 730–736. [Google Scholar] [CrossRef]
- Kang, K.; Koh, Y.K.; Chiritescu, C.; Zheng, X.; Cahill, D.G. Two-tint pump-probe measurements using a femtosecond laser oscillator and sharp-edged optical filters. Rev. Sci. Instrum. 2008, 79, 114901. [Google Scholar] [CrossRef] [PubMed]
- Cahill, D.G. Analysis of heat flow in layered structures for time-domain thermoreflectance. Rev. Sci. Instrum. 2004, 75, 5119–5122. [Google Scholar] [CrossRef]
- Yan, X.-J.; Lv, Y.-Y.; Li, L.; Li, X.; Yao, S.-H.; Chen, Y.-B.; Liu, X.-P.; Lu, H.; Lu, M.-H.; Chen, Y.-F. Investigation on the phase-transition-induced hysteresis in the thermal transport along the c-axis of MoTe2. NPJ Quantum Mater. 2017, 2, 31. [Google Scholar] [CrossRef]
- Callaway, J. Model for Lattice Thermal Conductivity at Low Temperatures. Phys. Rev. (Series I) 1959, 113, 1046–1051. [Google Scholar] [CrossRef]
- Callaway, J.; von Baeyer, H.C. Effect of point imperfections on lattice thermal conductivity. Phys. Rev. 1960, 120, 1149. [Google Scholar] [CrossRef]
- Di, C.; Yu, Y.-S.; Luo, Y.-C.; Lin, D.-J.; Yan, X.-J.; Lu, M.-H.; Zhou, J.; Yao, S.-H.; Chen, Y.B. Ultralow Lattice Thermal Conductivity of A0.5RhO2 (A = K, Rb, Cs) Induced by Interfacial Scattering and Resonant Scattering. J. Phys. Chem. C 2021, 125, 11648–11655. [Google Scholar] [CrossRef]
- Yang, J.; Morelli, D.T.; Meisner, G.P.; Chen, W.; Dyck, J.S.; Uher, C. Effect of Sn substituting for Sb on the low-temperature transport properties of ytterbium-filled skutterudites. Phys. Rev. B 2003, 67, 165207. [Google Scholar] [CrossRef]






| L (nm) | B (s/K) | θD (K) | |
|---|---|---|---|
| (CuCr2Se4)0.4(CuCrSe2)0.6 | 0.58 | 1.12 × 10−18 | 529 |
| (CuCr2Se4)0.2(CuCrSe2)0.8 | 0.42 | 1.33 × 10−17 | 444 |
| (CuCr2Se4)0.06(CuCrSe2)0.94 | 0.36 | 3.75 × 10−16 | 430 |
Publisher’s Note: MDPI stays neutral with regard to jurisdictional claims in published maps and institutional affiliations. |
© 2022 by the authors. Licensee MDPI, Basel, Switzerland. This article is an open access article distributed under the terms and conditions of the Creative Commons Attribution (CC BY) license (https://creativecommons.org/licenses/by/4.0/).
Share and Cite
Lu, H.; Yin, C.; Zhan, R.; Zhang, Y.; Lv, Y.; Lu, M.; Zhou, J.; Yao, S.; Chen, Y. Growth and Thermal Conductivity Study of CuCr2Se4-CuCrSe2 Hetero-Composite Crystals. Crystals 2022, 12, 433. https://doi.org/10.3390/cryst12030433
Lu H, Yin C, Zhan R, Zhang Y, Lv Y, Lu M, Zhou J, Yao S, Chen Y. Growth and Thermal Conductivity Study of CuCr2Se4-CuCrSe2 Hetero-Composite Crystals. Crystals. 2022; 12(3):433. https://doi.org/10.3390/cryst12030433
Chicago/Turabian StyleLu, Haomin, Chenghao Yin, Ruonan Zhan, Yanyan Zhang, Yangyang Lv, Minghui Lu, Jian Zhou, Shuhua Yao, and Yanbin Chen. 2022. "Growth and Thermal Conductivity Study of CuCr2Se4-CuCrSe2 Hetero-Composite Crystals" Crystals 12, no. 3: 433. https://doi.org/10.3390/cryst12030433
APA StyleLu, H., Yin, C., Zhan, R., Zhang, Y., Lv, Y., Lu, M., Zhou, J., Yao, S., & Chen, Y. (2022). Growth and Thermal Conductivity Study of CuCr2Se4-CuCrSe2 Hetero-Composite Crystals. Crystals, 12(3), 433. https://doi.org/10.3390/cryst12030433
