Interpretable Machine Learning Models for Punching Shear Strength Estimation of FRP Reinforced Concrete Slabs
Abstract
1. Introduction
2. Experimental Database of FRP Reinforced Concrete Slab
3. Machine Learning Algorithms
3.1. Artificial Neural Network
3.2. Support Vector Machine
3.3. Decision Tree
3.4. Adaptive Boosting
3.5. Predicted Results
3.6. Comparison with Traditional Empirical Models
4. Model Interpretations
4.1. Shapley Additive Explanation
4.2. Global Interpretations
4.3. Individual Interpretations
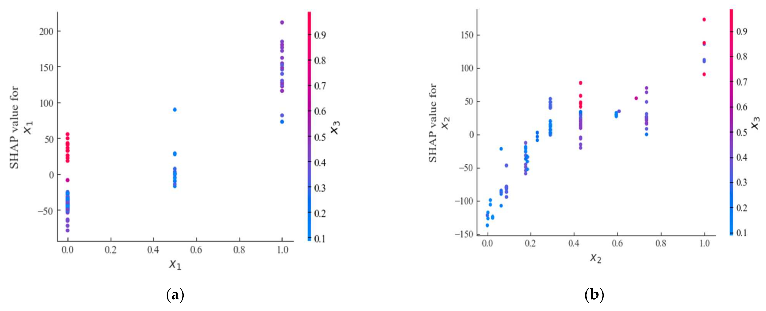
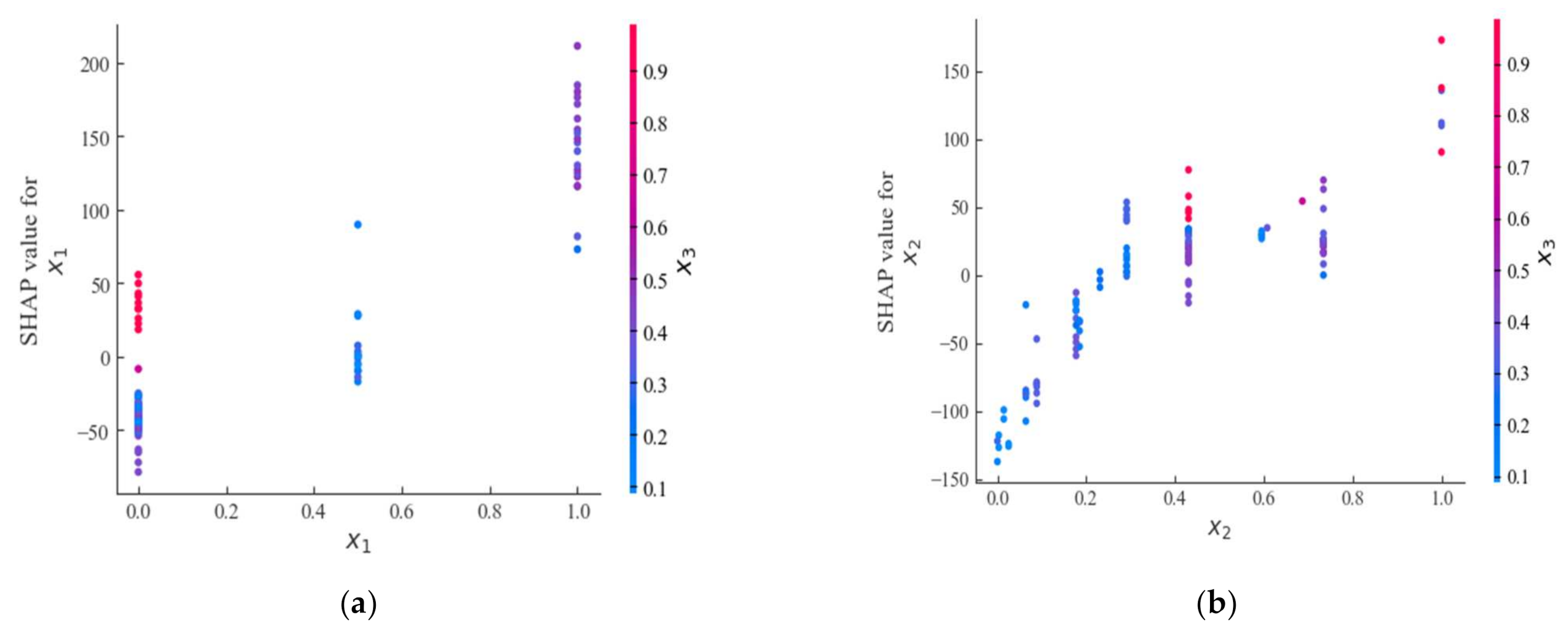
4.4. Feature Dependency
5. Conclusions
Author Contributions
Funding
Institutional Review Board Statement
Informed Consent Statement
Data Availability Statement
Acknowledgments
Conflicts of Interest
Appendix A. Test Data of FRP Reinforced Concrete Slabs
| Reference | Specimen | x1 | x2 | x3 | x4 | x5 | x6 | y |
|---|---|---|---|---|---|---|---|---|
| Ahmad et al. [31] (1994) | SN1 | 1 | 56.25 | 61.00 | 42.40 | 113.00 | 0.95 | 93.00 |
| SN2 | 1 | 56.25 | 61.00 | 39.60 | 113.00 | 0.95 | 78.00 | |
| SN3 | 1 | 100.00 | 61.00 | 36.00 | 113.00 | 0.95 | 96.00 | |
| SN4 | 1 | 100.00 | 61.00 | 36.60 | 113.00 | 0.95 | 99.00 | |
| Banthia et al. [32] (1995) | Ⅰ | 2 | 78.54 | 55.00 | 41.00 | 100.00 | 0.31 | 65.00 |
| Ⅱ | 2 | 78.54 | 55.00 | 52.90 | 100.00 | 0.31 | 61.00 | |
| Matthys et al. [6] (2000) | C1 | 2 | 176.72 | 96.00 | 36.70 | 91.80 | 0.27 | 181.00 |
| C1′ | 2 | 415.48 | 96.00 | 37.30 | 91.80 | 0.27 | 189.00 | |
| C2 | 2 | 176.72 | 95.00 | 35.70 | 95.00 | 1.05 | 255.00 | |
| C2′ | 2 | 415.48 | 95.00 | 36.30 | 95.00 | 1.05 | 273.00 | |
| C3 | 2 | 176.72 | 126.00 | 33.80 | 92.00 | 0.52 | 347.00 | |
| C3′ | 2 | 415.48 | 126.00 | 34.30 | 92.00 | 0.52 | 343.00 | |
| CS | 2 | 176.72 | 95.00 | 32.60 | 147.00 | 0.19 | 142.00 | |
| CS’ | 2 | 415.48 | 95.00 | 33.20 | 147.00 | 0.19 | 150.00 | |
| H1 | 2 | 176.72 | 95.00 | 118.00 | 37.30 | 0.62 | 207.00 | |
| H2 | 2 | 176.72 | 89.00 | 35.80 | 40.70 | 3.76 | 231.00 | |
| H2′ | 2 | 50.27 | 89.00 | 35.90 | 40.70 | 3.76 | 171.00 | |
| H3 | 2 | 176.72 | 122.00 | 32.10 | 44.80 | 1.22 | 237.00 | |
| H3′ | 2 | 50.27 | 122.00 | 32.10 | 44.80 | 1.22 | 217.00 | |
| Khanna et al. [33] (2000) | 1 | 3 | 1250.00 | 138.00 | 35.00 | 42.00 | 2.40 | 756.00 |
| El-Ghandour et al. [34] (2003) | SG1 | 1 | 400.00 | 142.00 | 32.00 | 45.00 | 0.18 | 170.00 |
| SC1 | 1 | 400.00 | 142.00 | 32.80 | 110.00 | 0.15 | 229.00 | |
| SG2 | 1 | 400.00 | 142.00 | 46.40 | 45.00 | 0.38 | 271.00 | |
| SG3 | 1 | 400.00 | 142.00 | 30.40 | 45.00 | 0.38 | 237.00 | |
| SC2 | 1 | 400.00 | 142.00 | 29.60 | 110.00 | 0.35 | 317.00 | |
| Ospina et al. [7] (2003) | GFR-1 | 1 | 625.00 | 120.00 | 29.50 | 34.00 | 0.73 | 217.00 |
| GFR-2 | 1 | 625.00 | 120.00 | 28.90 | 34.00 | 1.46 | 260.00 | |
| NEF-1 | 1 | 625.00 | 120.00 | 37.50 | 28.40 | 0.87 | 206.00 | |
| Hussein et al. [35] (2004) | G-S1 | 1 | 625.00 | 100.00 | 40.00 | 42.00 | 1.18 | 249.00 |
| G-S3 | 1 | 625.00 | 100.00 | 29.00 | 42.00 | 1.67 | 240.00 | |
| G-S4 | 1 | 625.00 | 100.00 | 26.00 | 42.00 | 0.95 | 210.00 | |
| El-Gamal et al. [36] (2005) | G-S1 | 3 | 1500.00 | 163.00 | 49.60 | 44.60 | 1.00 | 740.00 |
| G-S2 | 3 | 1500.00 | 159.00 | 44.30 | 38.50 | 1.99 | 712.00 | |
| G-S3 | 3 | 1500.00 | 159.00 | 49.20 | 46.50 | 1.21 | 732.00 | |
| C-S1 | 3 | 1500.00 | 156.00 | 49.60 | 122.50 | 0.35 | 674.00 | |
| C-S2 | 3 | 1500.00 | 165.00 | 44.30 | 122.50 | 0.69 | 799.00 | |
| Zhang et al. [37] (2005) | GS2 | 1 | 625.00 | 100.00 | 35.00 | 42.00 | 1.05 | 218.00 |
| GSHS | 1 | 625.00 | 100.00 | 71.00 | 42.00 | 1.18 | 275.00 | |
| Zaghloul [38] (2007) | ZJF5 | 1 | 625.00 | 75.00 | 44.80 | 100.00 | 1.33 | 234.00 |
| Ramzy et al. [12] (2008) | F1 | 1 | 400.00 | 82.00 | 37.40 | 46.00 | 1.10 | 165.00 |
| F2 | 1 | 400.00 | 112.00 | 33.00 | 46.00 | 0.81 | 170.00 | |
| F3 | 1 | 400.00 | 82.00 | 38.20 | 46.00 | 1.29 | 210.00 | |
| F4 | 1 | 400.00 | 82.00 | 39.70 | 46.00 | 1.54 | 230.00 | |
| Lee et al. [8] (2009) | GFU1 | 1 | 506.25 | 110.00 | 36.30 | 48.20 | 1.18 | 222.00 |
| GFB2 | 1 | 506.25 | 110.00 | 36.30 | 48.20 | 2.15 | 246.00 | |
| GFB3 | 1 | 506.25 | 110.00 | 36.30 | 48.20 | 3.00 | 248.00 | |
| Xiao [39] (2010) | A | 1 | 225.00 | 130.00 | 22.16 | 45.60 | 0.42 | 176.40 |
| B-2 | 1 | 225.00 | 130.00 | 32.48 | 45.60 | 0.42 | 209.40 | |
| B-3 | 1 | 225.00 | 130.00 | 32.40 | 45.60 | 0.55 | 245.30 | |
| B-4 | 1 | 225.00 | 130.00 | 32.80 | 45.60 | 0.29 | 166.60 | |
| B-6 | 1 | 225.00 | 130.00 | 33.20 | 45.60 | 0.42 | 217.20 | |
| B-7 | 1 | 225.00 | 130.00 | 28.32 | 45.60 | 0.42 | 221.50 | |
| C | 1 | 225.00 | 130.00 | 46.05 | 45.60 | 0.42 | 252.50 | |
| Bouguerra et al. [9] (2011) | G-200-N | 3 | 1500.00 | 155.00 | 49.10 | 43.00 | 1.20 | 732.00 |
| G-175-N | 3 | 1500.00 | 135.00 | 35.20 | 43.00 | 1.20 | 484.00 | |
| G-150-N | 3 | 1500.00 | 110.00 | 35.20 | 43.00 | 1.20 | 362.00 | |
| G-175-H | 3 | 1500.00 | 135.00 | 64.80 | 43.00 | 1.20 | 704.00 | |
| G-175-N-0.7 | 3 | 1500.00 | 135.00 | 53.10 | 43.00 | 0.70 | 549.00 | |
| G-175-N-0.35 | 3 | 1500.00 | 137.00 | 53.10 | 43.00 | 0.35 | 506.00 | |
| C-175-N | 3 | 1500.00 | 140.00 | 40.30 | 122.00 | 0.40 | 530.00 | |
| Hassan et al. [40] (2013) | G(0.7)30/20 | 1 | 900.00 | 134.00 | 34.30 | 48.20 | 0.71 | 329.00 |
| G(1.6)30/20 | 1 | 900.00 | 131.50 | 38.60 | 48.10 | 1.56 | 431.00 | |
| G(0.7)45/20 | 1 | 2025.00 | 134.00 | 45.40 | 48.20 | 0.71 | 400.00 | |
| G(1.6)45/20 | 1 | 2025.00 | 131.50 | 32.40 | 48.10 | 1.56 | 504.00 | |
| G(0.3)30/35 | 1 | 900.00 | 284.00 | 34.30 | 48.20 | 0.34 | 825.00 | |
| G(0.7)30/35 | 1 | 900.00 | 284.00 | 39.40 | 48.10 | 0.73 | 1071.00 | |
| G(0.3)45/35 | 1 | 2025.00 | 284.00 | 48.60 | 48.20 | 0.34 | 911.00 | |
| G(0.7)45/35 | 1 | 2025.00 | 281.50 | 29.60 | 48.10 | 0.73 | 1248.00 | |
| G(1.6)30/20-H | 1 | 900.00 | 131.00 | 75.80 | 57.40 | 1.56 | 547.00 | |
| G(1.2)30/20 | 1 | 900.00 | 131.00 | 37.50 | 64.90 | 1.21 | 438.00 | |
| G(1.6)30/35 | 1 | 900.00 | 275.00 | 38.20 | 56.70 | 1.61 | 1492.00 | |
| G(1.6)30/35-H | 1 | 900.00 | 275.00 | 75.80 | 56.70 | 1.61 | 1600.00 | |
| G(0.7)30/20-B | 1 | 900.00 | 131.00 | 38.60 | 48.20 | 0.73 | 386.00 | |
| G(1.6)45/20-B | 1 | 2025.00 | 131.00 | 39.40 | 48.10 | 1.56 | 511.00 | |
| G(0.3)30/35-B | 1 | 900.00 | 284.00 | 39.40 | 48.20 | 0.34 | 781.00 | |
| G(1.6)30/20-B | 1 | 900.00 | 131.00 | 32.40 | 48.10 | 1.56 | 451.00 | |
| G(0.3)45/35-B | 1 | 2025.00 | 284.00 | 32.40 | 48.20 | 0.34 | 1020.00 | |
| G(0.7)30/35-B-1 | 1 | 900.00 | 281.00 | 29.60 | 48.10 | 0.73 | 1027.00 | |
| G(0.7)30/35-B-2 | 1 | 900.00 | 281.00 | 46.70 | 48.10 | 0.73 | 1195.00 | |
| G(0.7)37.5/27.5-B-2 | 1 | 1406.25 | 209.00 | 32.30 | 48.20 | 0.72 | 830.00 | |
| Nguyen-Minh et al. [10] (2013) | GSL-0.4 | 1 | 400.00 | 129.00 | 39.00 | 48.00 | 0.48 | 180.00 |
| GSL-0.6 | 1 | 400.00 | 129.00 | 39.00 | 48.00 | 0.68 | 212.00 | |
| GSL-0.8 | 1 | 400.00 | 129.00 | 39.00 | 48.00 | 0.92 | 244.00 | |
| Elgabbas et al. [41] (2016) | S2-B | 3 | 1500.00 | 167.00 | 48.81 | 64.80 | 0.70 | 548.30 |
| S3-B | 3 | 1500.00 | 169.00 | 42.20 | 69.30 | 0.69 | 664.60 | |
| S4-B | 3 | 1500.00 | 167.00 | 42.20 | 64.80 | 0.70 | 565.90 | |
| S5-B | 3 | 1500.00 | 167.00 | 47.90 | 64.80 | 0.99 | 716.40 | |
| S6-B | 3 | 1500.00 | 167.00 | 47.90 | 64.80 | 0.42 | 575.80 | |
| S7-B | 3 | 1500.00 | 167.00 | 47.90 | 64.80 | 0.42 | 436.40 | |
| Gouda et al. [42,43] (2016) | GN-0.65 | 1 | 900.00 | 160.00 | 42.00 | 68.00 | 0.65 | 363.00 |
| GN-0.98 | 1 | 900.00 | 160.00 | 38.00 | 68.00 | 0.98 | 378.00 | |
| GN-1.30 | 1 | 900.00 | 160.00 | 39.00 | 68.00 | 1.13 | 425.00 | |
| GH-0.65 | 1 | 900.00 | 160.00 | 70.00 | 68.00 | 0.65 | 380.00 | |
| G-00-XX | 1 | 900.00 | 160.00 | 38.00 | 68.00 | 0.65 | 421.00 | |
| G-30-XX | 1 | 900.00 | 160.00 | 42.00 | 68.00 | 0.65 | 296.00 | |
| R-15-XX | 1 | 900.00 | 160.00 | 40.00 | 63.10 | 0.65 | 320.00 | |
| Hussein et al. [44] (2018) | H-1.0-XX | 1 | 900.00 | 160.00 | 80.00 | 65.00 | 0.98 | 461.00 |
| H-1.5-XX | 1 | 900.00 | 160.00 | 84.00 | 65.00 | 1.46 | 541.00 | |
| H-2.0-XX | 1 | 900.00 | 160.00 | 87.00 | 65.00 | 1.93 | 604.00 | |
| Eladawy et al. [45] (2019) | G1(1.06) | 1 | 900.00 | 151.00 | 52.00 | 62.60 | 1.06 | 140.00 |
| G2(1.51) | 1 | 900.00 | 151.00 | 46.00 | 62.60 | 1.51 | 140.00 | |
| G3(1.06)-SL | 1 | 900.00 | 151.00 | 46.00 | 62.60 | 1.06 | 180.00 | |
| Gu [46] (2020) | A30-1 | 1 | 900.00 | 88.00 | 27.40 | 51.10 | 1.28 | 191.00 |
| A30-2 | 1 | 900.00 | 108.00 | 27.30 | 51.10 | 1.05 | 289.00 | |
| A30-3 | 1 | 900.00 | 138.00 | 26.20 | 51.10 | 0.82 | 413.00 | |
| A30-4 | 1 | 1225.00 | 86.00 | 26.80 | 51.10 | 1.31 | 209.00 | |
| A40-1 | 1 | 1225.00 | 88.00 | 28.20 | 51.10 | 1.28 | 232.00 | |
| A40-2 | 1 | 1225.00 | 88.00 | 26.40 | 54.10 | 0.89 | 221.00 | |
| A40-3 | 1 | 900.00 | 88.00 | 28.60 | 51.10 | 1.28 | 236.00 | |
| A50-1 | 1 | 900.00 | 88.00 | 29.20 | 51.10 | 1.28 | 253.00 | |
| A50-2 | 1 | 900.00 | 90.00 | 32.20 | 54.10 | 0.87 | 237.00 | |
| A50-3 | 1 | 1225.00 | 88.00 | 26.70 | 51.10 | 1.28 | 280.00 | |
| Zhou [47] (2020) | S40-1 | 1 | 900.00 | 88.00 | 32.30 | 51.10 | 0.98 | 187.00 |
| S50-1 | 1 | 900.00 | 86.00 | 43.20 | 54.40 | 0.70 | 134.00 | |
| Eladawy et al. [48] (2020) | G4(1.06)-H | 1 | 900.00 | 151.00 | 92.00 | 62.60 | 1.06 | 140.00 |
| Mohammed et al. [49] (2021) | 0F-60S | 1 | 625.00 | 125.00 | 38.20 | 50.60 | 2.81 | 463.00 |
| 0F-80F | 1 | 625.00 | 125.00 | 38.20 | 50.60 | 2.11 | 486.00 | |
| 0F-110S | 1 | 625.00 | 125.00 | 38.20 | 50.60 | 1.53 | 436.00 | |
| 1.25F-60S | 1 | 625.00 | 125.00 | 39.80 | 50.60 | 2.81 | 455.00 | |
| 1.25F-80S | 1 | 625.00 | 125.00 | 39.80 | 50.60 | 2.11 | 506.00 | |
| 1.25F-110S | 1 | 625.00 | 125.00 | 39.80 | 50.60 | 1.53 | 498.00 |
References
- Hawkins, N.M.; Criswell, M.E.; Roll, F. Shear Strength of Slabs without Shear Reinforcement. ACI. Struct. J. 1974, 42, 677–720. [Google Scholar]
- Muttoni, A. Punching shear strength of reinforced concrete slabs without transverse reinforcement. ACI. Struct. J. 2008, 105, 440–450. [Google Scholar]
- Shu, J.; Belletti, B.; Muttoni, A.; Scolari, M.; PLoS, M. Internal force distribution in RC slabs subjected to punching shear. Eng. Struct. 2017, 153, 766–781. [Google Scholar] [CrossRef]
- Truong, G.T.; Choi, K.K.; Kim, C.S. Punching shear strength of interior concrete slab-column connections reinforced with FRP flexural and shear reinforcement. J. Build. Eng. 2022, 46, 103692. [Google Scholar] [CrossRef]
- Zhang, D.; Jin, W.; Gao, J. Investigation and detection on corrosion of concrete structure in marine environment. Proc. Spie 2009, 15, 317–324. [Google Scholar]
- Matthys, S.; Taerwe, L. Concrete Slabs Reinforced with FRP Grids. II: Punching Resistance. J. Compos. Constr. 2000, 4, 154–161. [Google Scholar] [CrossRef]
- Ospina, C.E.; Alexander, S.D.B.; Cheng, J.J.R. Punching of Two-Way Concrete Slabs with Fiber-Reinforced Polymer Reinforcing Bars or Grids. ACI. Struct. J. 2003, 100, 589–598. [Google Scholar]
- Lee, J.H.; Yoon, Y.S.; Cook, W.D.; Mitchell, D. Improving Punching Shear Behavior of Glass Fiber-Reinforced Polymer Reinforced Slabs. ACI. Struct. J. 2009, 106, 427–434. [Google Scholar]
- Bouguerra, K.; Ahmed, E.A.; El-Gamal, S.; Benmokrane, B. Testing of full-scale concrete bridge deck slabs reinforced with fiber-reinforced polymer (FRP) bars. Constr. Build. Mater. 2011, 25, 3956–3965. [Google Scholar] [CrossRef]
- Nguyen-Minh, L.; Rovnak, M. Punching Shear Resistance of Interior GFRP Reinforced Slab-Column Connections. J. Compos. Constr. 2013, 17, 2–13. [Google Scholar] [CrossRef]
- El-Gamal, S.E. Finite Element Analysis of Concrete Bridge Decks Reinforced with Fiber Reinforced Polymer Bars. J. Eng. Res-Kuwait. 2014, 11, 50. [Google Scholar]
- Mahmoud, Z.; Salma, T. Punching behavior and strength of slab-column connection reinforced with glass fiber rebars. In Proceedings of the 7th International Conference on FRP Composites in Civil Engineering, Vancouver, BC, Canada, 20–22 August 2014. [Google Scholar]
- Vu, D.T.; Hoang, N.D. Punching shear capacity estimation of FRP-reinforced concrete slabs using a hybrid machine learning approach. Struct. Infrastruct. Eng. 2015, 12, 1153–1161. [Google Scholar] [CrossRef]
- MOHURD (Ministry of Housing and Urban-Rural Development of the People’s Republic of China). GB 50010—2010 Code for Design of Concrete Structures; China Building Industry Press: Beijing, China, 2015; pp. 232–236. [Google Scholar]
- ACI (American Concrete Institute). Building Code Requirements for Structure Concrete (ACI 318-14) and Commentary; American Concrete Institute: Farmington Hills, MI, USA, 2014; Volume 69, p. 5. [Google Scholar]
- El-Ghandour, A.W.; Pilakoutas, K.; Waldron, P. New approach for punching shear capacity prediction of fiber reinforced polymer reinforced concrete flat slabs. ACI. Struct. J. 1999, 188, 135–144. [Google Scholar]
- El-Ghandour, A.W.; Pilakoutas, K.; Waldron, P. Punching shear behavior and design of FRP RC flat slabs. In Proceedings of the International Workshop on Punching Shear Capacity of RC Slabs, Stockholm, Sweden, 1 January 2000. [Google Scholar]
- Ju, M.; Ju, J.; Sim, J. A new formula of punching shear strength for fiber reinforced polymer (FRP) or steel reinforced two-way concrete slabs. Compos. Struct. 2021, 259, 113471. [Google Scholar] [CrossRef]
- Geetha, N.K.; Bridjesh, P. Overview of machine learning and its adaptability in mechanical engineering. Mater. Today 2020, 4. [Google Scholar] [CrossRef]
- Mangalathu, S.; Karthikeyan, K.; Feng, D.C.; Jeon, J.S. Machine-learning interpretability techniques for seismic performance assessment of infrastructure systems. Eng. Struct. 2022, 250, 112883. [Google Scholar] [CrossRef]
- Chen, S.Z.; Feng, D.C.; Han, W.S.; Wu, G. Development of data-driven prediction model for CFRP-steel bond strength by implementing ensemble learning algorithms. Constr. Build. Mater. 2021, 303, 124470. [Google Scholar] [CrossRef]
- Feng, D.C.; Wang, W.J.; Mangalathu, S.; Hu, G.; Wu, T. Implementing ensemble learning methods to predict the shear strength of RC deep beams with/without web reinforcements. Eng. Struct. 2021, 235, 111979. [Google Scholar] [CrossRef]
- Fu, B.; Chen, S.Z.; Liu, X.R.; Feng, D.C. A probabilistic bond strength model for corroded reinforced concrete based on weighted averaging of non-fine-tuned machine learning models. Constr. Build. Mater. 2022, 318, 125767. [Google Scholar] [CrossRef]
- Nasiri, S.; Khosravani, M.R. Machine learning in predicting mechanical behavior of additively manufactured parts. J. Mater. Res. Technol. 2021, 14, 1137–1153. [Google Scholar] [CrossRef]
- Hoang, N.D. Estimating punching shear capacity of steel fibre reinforced concrete slabs using sequential piecewise multiple linear regression and artificial neural network. Measurement 2019, 137, 58–70. [Google Scholar] [CrossRef]
- Nguyen, H.D.; Truong, G.T.; Shin, M. Development of extreme gradient boosting model for prediction of punching shear resistance of r/c interior slabs. Eng. Struct. 2021, 235, 112067. [Google Scholar] [CrossRef]
- Mangalathu, S.; Shin, H.; Choi, E.; Jeon, J.S. Explainable machine learning models for punching shear strength estimation of flat slabs without transverse reinforcement. J. Build. Eng. 2021, 39, 102300. [Google Scholar] [CrossRef]
- Rahman, A.; Deshpande, P.; Radue, M.S.; Odegard, G.M.; Gowtham, S.; Ghosh, S.; Spear, A.D. A machine learning framework for predicting the shear strength of carbon nanotube-polymer interfaces based on molecular dynamics simulation data. Compos. Sci. Technol. 2021, 207, 108627. [Google Scholar] [CrossRef]
- Ilawe, N.V.; Zimmerman, J.A.; Wong, B.M. Breaking Badly: DFT-D2 Gives Sizeable Errors for Tensile Strengths in Palladium-Hydride Solids. J. Chem. Theory Comput. 2015, 11, 5426–5435. [Google Scholar] [CrossRef]
- Lundberg, S.M.; Lee, S.I. A Unified Approach to Interpreting Model Predictions. In Proceedings of the 31st Conference on Neural Information Processing Systems (NIPS 2017), Long Beach, CA, USA, 25 November 2017. [Google Scholar]
- Ahmad, S.H.; Zia, P.; Yu, T.J.; Xie, Y. Punching shear tests of slabs reinforced with 3 dimensional carbon fiber fabric. Concr. Int. 1994, 16, 36–41. [Google Scholar]
- Banthia, N.; Al-Asaly, M.; Ma, S. Behavior of Concrete Slabs Reinforced with Fiber-Reinforced Plastic Grid. J. Mater. Civil. Eng. 1995, 7, 252–257. [Google Scholar] [CrossRef]
- Khanna, O.S.; Mufti, A.A.; Bakht, B. Experimental investigation of the role of reinforcement in the strength of concrete deck slabs. Can. J. Civil. Eng. 2000, 27, 475–480. [Google Scholar] [CrossRef]
- El-Ghandour, A.W.; Pilakoutas, K.; Waldron, P. Punching Shear Behavior of Fiber Reinforced Polymers Reinforced Concrete Flat Slabs: Experimental Study. J. Compos. Constr. 2003, 7, 258–265. [Google Scholar] [CrossRef]
- Hussein, A.; Rashid, I. Two-way concrete slabs reinforced with GFRP bars. In Proceeding of the 4th International Conference on Advanced Composite Materials in Bridges and Structures, Calgary, AB, Canada, 10–12 July 2004. [Google Scholar]
- El-Gamal, S.; El-Salakawy, E.; Benmokrane, B. Behavior of Concrete Bridge Deck Slabs Reinforced with Fiber-Reinforced Polymer Bars Under Concentrated Loads. ACI Struct. J. 2005, 102, 727–735. [Google Scholar]
- Zhang, Q.; Marzouk, H.; Hussein, A. A preliminary study of high-strength concrete two-way slabs reinforced with GFRP bars. In Proceedings of the 33rd CSCE Annual Conference: General Conference and International History Symposium, Toronto, ON, Canada, 1 June 2005. [Google Scholar]
- Zaghloul, A. Punching Shear Strength of Interior and Edge Column-Slab Connections in CFRP Reinforced Flat Plate Structures Transferring Shear and Moment. Ph.D. Thesis, Carleton University, Ottawa, ON, Canada, 2007. [Google Scholar]
- Xiao, Z. Expremental Study on Two-Way Concrete Slab Subjected to Punching Shear. Master’s Thesis, Zhengzhou University, Zhengzhou, China, 2010. [Google Scholar]
- Hassan, M.A.W. Punching Shear Behaviour of Concrete Two-Way Slabs Reinforced with Glass Fiber-Reinforced Polymer (GFRP) Bars. Ph.D. Thesis, Université de Sherbrooke, Sherbrooke, QC, Canada, 2013. [Google Scholar]
- Elgabbas, F.; Ahmed, E.A.; Benmokrane, B. Experimental Testing of Concrete Bridge-Deck Slabs Reinforced with Basalt-FRP Reinforcing Bars under Concentrated Loads. J. Bridge. Eng. 2016, 21, 04016029. [Google Scholar] [CrossRef]
- Gouda, A.; El-Salakawy, E. Behavior of GFRP-RC Interior Slab-Column Connections with Shear Studs and High-Moment Transfer. J. Compos. Constr. 2016, 20, 04016005. [Google Scholar] [CrossRef]
- Gouda, A.; El-Salakawy, E. Punching Shear Strength of GFRP-RC Interior Slab–Column Connections Subjected to Moment Transfer. J. Compos. Constr. 2016, 20, 04015037. [Google Scholar] [CrossRef]
- Hussein, A.H.; El-Salakawy, E.F. Punching Shear Behavior of Glass Fiber-Reinforced Polymer–Reinforced Concrete Slab-Column Interior Connections. ACI Struct. J. 2018, 115, 1075–1088. [Google Scholar] [CrossRef]
- Eladawy, B.M.; Hassan, M.; Benmokrane, B. Experimental Study of Interior Glass Fiber-Reinforced Polymer-Reinforced Concrete Slab-Column Connections under Lateral Cyclic Load. ACI Struct. J. 2019, 116, 165–180. [Google Scholar] [CrossRef]
- Gu, S. Study on The Punching Shear Behavior of FRP Reinforced Concrete Slabs Subjected to Concentric Loading. Master’s Thesis, Zhejiang University of Technology, Zhejiang, China, 2020. [Google Scholar]
- Zhou, X. Expremental Study on the Punching Shear Behavior of Square GFRP Reinforced Concrete Slabs. Master’s Thesis, Zhejiang University of Technology, Zhejiang, China, 2020. [Google Scholar]
- Eladawy, M.; Hassan, M.; Benmokrane, B.; Ferrier, E. Lateral cyclic behavior of interior two-way concrete slab–column connections reinforced with GFRP bars. Eng. Struct. 2020, 209, 109978. [Google Scholar] [CrossRef]
- AlHamaydeh, M.; Anwar Orabi, M. Punching Shear Behavior of Synthetic Fiber–Reinforced Self-Consolidating Concrete Flat Slabs with GFRP Bars. J. Compos. Constr. 2021, 25, 04021029. [Google Scholar] [CrossRef]
- Kim, J.; Kim, D.K.; Feng, M.Q.; Yazdani, F. Application of Neural Networks for Estimation of Concrete Strength. J. Mater. Civil. Eng. 2004, 16, 257–264. [Google Scholar] [CrossRef]
- Yonaba, H.; Anctil, F.; Fortin, V. Comparing Sigmoid Transfer Functions for Neural Network Multistep Ahead Streamflow Forecasting. J. Hydrol. Eng. 2010, 15, 275–283. [Google Scholar] [CrossRef]
- Rumelhart, D.E.; Hinton, G.E.; Williams, R.J. Learning representations by back-propagating errors. Nature 1986, 323, 533–536. [Google Scholar] [CrossRef]
- Shen, H.; Wang, Z.; Gao, C.; Qin, J.; Yao, F.; Xu, W. Determining the number of BP neural network hidden layer units. J. Tianjin Univ. Technol. 2008, 24, 13–15. [Google Scholar]
- Cortes, C.; Vapnik, V. Support-Vector Networks. Mach. Learn. 1995, 20, 273–297. [Google Scholar] [CrossRef]
- Yu, Y.; Li, W.; Li, J.; Nguyen, T.N. A novel optimised self-learning method for compressive strength prediction of high performance concrete. Constr. Build. Mater. 2018, 184, 229–247. [Google Scholar] [CrossRef]
- Smola, A.J.; Schölkopf, B. A tutorial on support vector regression. Stat. Comput. 2004, 14, 199–222. [Google Scholar] [CrossRef]
- Lin, J.; Wang, G.; Xu, R. Particle Swarm Optimization–Based Finite-Element Analyses and Designs of Shear Connector Distributions for Partial-Interaction Composite Beams. J. Bridge. Eng. 2019, 24, 04019017. [Google Scholar] [CrossRef]
- Kennedy, J.; Eberhart, R. Particle swarm optimization. In Proceedings of the International Conference on Neural Networks, Perth, Australia, 27 November–1 December 1995. [Google Scholar]
- Huang, W.; Liu, H.; Zhang, Y.; Mi, R.; Tong, C.; Xiao, W.; Shuai, B. Railway dangerous goods transportation system risk identification: Comparisons among SVM, PSO-SVM, GA-SVM and GS-SVM. Appl. Soft. Comput. 2021, 109, 107541. [Google Scholar] [CrossRef]
- Jiang, W.; Xie, Y.; Li, W.; Wu, J.; Long, G. Prediction of the splitting tensile strength of the bonding interface by combining the support vector machine with the particle swarm optimization algorithm. Eng. Struct. 2021, 230, 111696. [Google Scholar] [CrossRef]
- Quinlan, J.R. Induction on decision tree. Mach. Learn. 1986, 1, 81–106. [Google Scholar] [CrossRef]
- Rutkowski, L.; Jaworski, M.; Pietruczuk, L.; Duda, P. The CART decision tree for mining data streams. Inform. Sci. 2014, 266, 1–15. [Google Scholar] [CrossRef]
- Almuallim, H. An efficient algorithm for optimal pruning of decision trees. Artif. Intell. 1996, 83, 347–362. [Google Scholar] [CrossRef]
- Qin, Z.; Lawry, J. ROC Analysis of a Linguistic Decision Tree Merging Algorithm. Comput. Intell. 2004, 33–42. [Google Scholar]
- Feng, D.; Cetiner, B.; Azadi Kakavand, M.; Taciroglu, E. Data-Driven Approach to Predict the Plastic Hinge Length of Reinforced Concrete Columns and Its Application. J. Struct. Eng. 2021, 147, 04020332. [Google Scholar] [CrossRef]
- Feng, D.; Liu, Z.; Wang, X.; Chen, Y.; Chang, J.; Wei, D.; Jiang, Z. Machine learning-based compressive strength prediction for concrete: An adaptive boosting approach. Constr. Build. Mater. 2020, 230, 117000. [Google Scholar] [CrossRef]
- Freund, Y.; Schapire, R.E. A Decision-Theoretic Generalization of On-Line Learning and an Application to Boosting. J. Comput. Syst. Sci. 1997, 55, 119–139. [Google Scholar] [CrossRef]
- Tiryaki, B. Predicting intact rock strength for mechanical excavation using multivariate statistics, artificial neural networks, and regression trees. Eng. Geol. 2008, 99, 51–60. [Google Scholar] [CrossRef]
- ACI (American Concrete Institute). Building Code Requirements for Structure Concrete (ACI 318-19) and Commentary; American Concrete Institute: Farmington Hills, MI, USA, 2019. [Google Scholar]
- BSI (British Standards Institution). Structure Use of Concrete BS 8110: Part 1: Code of Practice for Design and Construction: BS 8110: 1997; BSI: London, UK, 1997. [Google Scholar]
- Feng, D.; Wang, W.; Mangalathu, S.; Taciroglu, E. Interpretable XGBoost-SHAP Machine-Learning Model for Shear Strength Prediction of Squat RC Walls. J. Struct. Eng. 2021, 147, 04021173. [Google Scholar] [CrossRef]
- Deifalla, A. Punching shear strength and deformation for FRP-reinforced concrete slabs without shear reinforcements. Case Stud. Constr. Mat. 2022, 16, e00925. [Google Scholar] [CrossRef]














| Parameter | Unit | Minimum | Maximum | Std. Dev | Mean | Type |
|---|---|---|---|---|---|---|
| x1: Types of column section | - | 1.00 | 3.00 | 0.75 | 1.44 | Input |
| x2: cross-section area of column | cm2 | 50.27 | 2025.00 | 515.94 | 817.72 | Input |
| x3: slab’s effective depth | mm | 55.00 | 284.00 | 52.71 | 136.38 | Input |
| x4: compressive strength of concrete | Mpa | 22.16 | 118.00 | 14.53 | 41.17 | Input |
| x5: Young’s modulus of FRP reinforcement | Gpa | 28.40 | 147.00 | 24.34 | 60.36 | Input |
| x6: reinforcement ratio | % | 0.15 | 3.76 | 0.67 | 1.03 | Input |
| y: punching shear strength | kN | 61.00 | 1600.00 | 288.87 | 402.34 | Output |
| Neuron Number of Hidden Layer | Validation Set | Ranking | ||||
|---|---|---|---|---|---|---|
| RMSE | MAE | R2 | RMSE | MAE | R2 | |
| 7 | 100.24 | 80.92 | 0.89 | 5 | 5 | 5 |
| 8 | 87.28 | 71.72 | 0.91 | 2 | 1 | 2 |
| 9 | 86.91 | 73.00 | 0.91 | 1 | 3 | 1 |
| 10 | 87.92 | 72.60 | 0.91 | 3 | 2 | 3 |
| 11 | 94.09 | 79.04 | 0.90 | 4 | 4 | 4 |
| 12 | 101.66 | 83.38 | 0.88 | 6 | 6 | 6 |
| 13 | 109.43 | 89.78 | 0.86 | 7 | 7 | 7 |
| Machine Learning Model | Training Set | Test Set | ||||
|---|---|---|---|---|---|---|
| RMSE | MAE | R2 | RMSE | MAE | R2 | |
| ANN | 102.68 | 60.09 | 0.88 | 44.80 | 38.59 | 0.97 |
| PSO-SVR | 54.85 | 27.92 | 0.96 | 33.46 | 26.27 | 0.99 |
| DT | 59.52 | 37.89 | 0.96 | 66.57 | 52.93 | 0.94 |
| AdaBoost | 27.29 | 20.70 | 0.99 | 38.40 | 32.28 | 0.98 |
| Number of Formula | Origin | Expression |
|---|---|---|
| Formula (1) | GB 50010-2010 (2015) [14] | |
| Formula (2) | ACI 318-19 [62] | |
| Formula (3) | BS 8110-97 [63] | |
| Formula (4) | El-Ghandour et al. (1999) [16] | |
| Formula (5) | El-Ghandour et al. (2000) [17] | |
| Formula (6) | Ospina et al. [7] |
| Indicator | Formula (1) | Formula (2) | Formula (3) | Formula (4) | Formula (5) | Formula (6) | ANN | PSO-SVR | DT | AdaBoost |
|---|---|---|---|---|---|---|---|---|---|---|
| RMSE | 150.41 | 151.71 | 176.15 | 155.01 | 178.09 | 174.47 | 94.08 | 51.32 | 60.99 | 29.83 |
| MAE | 98.48 | 97.10 | 127.06 | 113.41 | 121.75 | 117.97 | 55.82 | 27.59 | 40.87 | 23.00 |
| R2 | 0.73 | 0.72 | 0.63 | 0.71 | 0.62 | 0.63 | 0.89 | 0.97 | 0.96 | 0.99 |
Publisher’s Note: MDPI stays neutral with regard to jurisdictional claims in published maps and institutional affiliations. |
© 2022 by the authors. Licensee MDPI, Basel, Switzerland. This article is an open access article distributed under the terms and conditions of the Creative Commons Attribution (CC BY) license (https://creativecommons.org/licenses/by/4.0/).
Share and Cite
Shen, Y.; Sun, J.; Liang, S. Interpretable Machine Learning Models for Punching Shear Strength Estimation of FRP Reinforced Concrete Slabs. Crystals 2022, 12, 259. https://doi.org/10.3390/cryst12020259
Shen Y, Sun J, Liang S. Interpretable Machine Learning Models for Punching Shear Strength Estimation of FRP Reinforced Concrete Slabs. Crystals. 2022; 12(2):259. https://doi.org/10.3390/cryst12020259
Chicago/Turabian StyleShen, Yuanxie, Junhao Sun, and Shixue Liang. 2022. "Interpretable Machine Learning Models for Punching Shear Strength Estimation of FRP Reinforced Concrete Slabs" Crystals 12, no. 2: 259. https://doi.org/10.3390/cryst12020259
APA StyleShen, Y., Sun, J., & Liang, S. (2022). Interpretable Machine Learning Models for Punching Shear Strength Estimation of FRP Reinforced Concrete Slabs. Crystals, 12(2), 259. https://doi.org/10.3390/cryst12020259

