Abstract
Cobalt-doped potassium hexa-titanate (Cox:K2Ti6O13 (x = 0.05, 0.10, 0.15 mole%)) ceramics were synthesized by the solid-state reaction method. The XRD patterns confirmed single-phase development in a monoclinic symmetry of various samples, and they were used for different structural calculations of Cox:K2Ti6O13 ceramics. The dielectric constant, tanδ, electrical modulus, and ac conductivity of Co-doped K2Ti6O13 were studied in the temperature range of 100–500 °C. Anomalies were observed in graphs of the dielectric constant versus temperature, showing the transition phase in the studied samples. Dielectric peaks at transition temperature decreased with an increasing frequency, and the peaks shifted toward higher temperatures, illustrating the relaxation of the dielectric materials. The composition with x = 0.10 showed low dielectric loss and a higher dielectric constant and can be utilized for high-temperature dielectric material. Small doping of cobalt improved the ac conductivity of K2Ti6O13 ceramics due to the increase in the spin–phonon interaction and dominant electron hopping conduction; however, the conductivity diminished with substantial doping because of the contraction of the tunnel space and ambushing of conduction electrons. The uniqueness of this study is in the high dielectric optimization of lead-free ceramic Cox:K2Ti6O13 and the discovery of positive temperature coefficients of the resistivity of these ceramic samples.
1. Introduction
Titanates with the chemical expression M2O·nTiO2 (where ‘M’ denotes elements such as Li, Na, K, etc., and n = 2–8) have attracted researchers’ interest over the past decade because of their outstanding properties. Depending on the value of ‘n’, these titanates can have a laminated or tunnel crystal structure comprising octahedral TiO6, which shares edges with interposing cations. K2Ti2O5 and K2Ti4O9 structures are made up of layered foils of TiO5 or TiO6 octahedra connected to potassium atoms [1]. Especially, potassium titanates, such as K2Ti6O13, K2Ti2O5, and K2Ti4O9, are known for their high thermal durability, chemical resistivity, dispersibility, insubstantial metal ion evacuation, and ion exchangers, covering several applications [2]. The photocatalytic activity of long K2Ti6O13 whiskers synthesized via the traditional sol-gel process was examined for H2 evolution and CO2 photoreduction [3]. The photocatalytic efficiency of carbon quantum dot-modified K2Ti6O13 composite was examined via amoxicillin degradation under visible light irradiation. [4]. K2Ti6O13 is also used in metallic supports, such as copper, to improve wear and tear resistance [5]; plastics to improve mechanical and dielectric properties [6]; and car brake lining cushions as a replacement for carcinogenic asbestos [7]. K2Ti6O13 nanorods were produced and tested as a potassium-ion battery anode material for large-scale energy storage systems [8]. Zhang et al. researched the photocatalytic and antibacterial performance of Cu-doped K2Ti6O13 nanowires prepared using a combination of sol–gel and hydrothermal methods [9]. In general, alkali titanates are employed as metal ion absorbents, and their cation transfer safeguards the environment from the deadly radiation of exceedingly radioactive fluid squanders [10]. Nanomaterials of titanate also exhibited high performance in gas detection, photovoltaic cells, and cells of high-energy [11]. Water bodies have been effectively cleared of harmful industrial pollutants, including methyl orange and methyl blue, by TiS3 nanostructures. Using the chemical vapor transport method, J. Singh et al. discovered two-dimensional TiS3 nanoribbons with outstanding mobility properties, and their photocatalytic activities have been investigated for possible environmental applications [12].
Some alternative advantages of transition metal-doped K2Ti6O13 over Pb-based perovskite ceramics have been reported previously [13,14,15]. For instance, by doping divalent Cu2+ with K2Ti6O13 ceramics, generally, charge compensation progress may evolve oxygen vacancies (, which are assertive charge carriers in ceramics), changing the ligand symmetry around the dopant and ultimately enhancing the dielectric properties of ceramics [14]. Alternatively, in the perovskite lattice, it is believed that acceptor impurities can accelerate dielectric aging and lead to the formation of compensating positively charged , which can impact device performance [14]. PbO-based ceramics have excellent ferroelectric properties, but the volatile nature of deadly lead oxide during the synthesis process produces environmental pollution and induces inconsistency in composition. Because alkali titanates are Pb-free ceramics and have potential applications in industry, studies on alkali titanates have been encouraged. Various synthesis routes exist to prepare potassium hexa-titanate (K2Ti6O13), such as the solid-state reaction method, the sol–gel method, the hydrothermal method, etc. Such a variety of preparations could also change alkaline titanate materials by doping them with aliovalent transition metal ions. Vikram et al. described the structural analysis, microtubular particles by SEM micrographs, and ferroelectric–paraelectric-type phase transition of Cu-doped K2Ti6O13 ceramics [14]. Vikram et al. focused on EPR spectroscopy in another study on Mnx:K2Ti6O13 lead-free ceramics, recognizing Mn4+, Mn3+, and Mn2+ partial substitutions at Ti4+ lattice sites; they identified defective accomplice dipoles exhibited in low-field EPR signals at different Mn doping concentrations [16]. This study is aimed to find the positive temperature coefficient resistivity and temperature dependence dielectric of Cox:K2Ti6O13 ceramics for PTC thermistor application, which has not been previously reported according to our literature search. In this work, we report the structural properties and the temperature dependence of the dielectric constant and conductivity, along with an estimation of the ferroelectric phase transition temperature of Cox:K2Ti6O13 lead-free ceramics.
2. Experimental Procedures
A traditional mixed-ceramics process was utilized for the preparation of Cox:K2Ti6O13 ceramics (x = 0.05, 0.10, and 0.15 mole%) by a solid-state reaction method. Taking Co3O4 powder (purity 99.9%, Sigma Aldrich, St. Louis, MO, USA) and granulated K2CO3 and TiO2 powders (purity 99.9%, Sigma Aldrich, St. Louis, MO, USA) in stoichiometric amounts, these reactants were thoroughly ground with acetone in an agate mortar. Co ions replace Ti ions in Cox:K2Ti6O13 ceramics. The required weight of Cox:K2Ti6O13 (x = 0.05, 0.10, 0.15 mole%) can be calculated from the molecular weight calculations of K2Ti5.95Co0.05O13, K2Ti5.90Co0.10O13, and K2Ti5.85Co0.15O13, respectively. These powders were calcined at a high temperature of 1000 °C for 24 h in a muffle furnace and then naturally cooled in the furnace. Powders of various compositions were pressed at 15 MPa into circular disks with radiuses of 6.5 mm and thicknesses of 1.00 mm, and the disks were additionally sintered at 1000 °C for 60 min. Figure 1 shows schematic diagram for synthesis of cobalt-doped K2Ti6O13. XRD patterns of various samples were achieved at room temperature on an X-ray powder diffractometer (Rigaku; Model: SC-30; Cat. No. 5738 E-1, Tokyo, Japan) operating at 100 mA and 40 kV using Cu Ka radiation (k = 1.5418 A˚) with a scanning rate of 2 °/min. The dielectric estimations were completed on silver-pasted disk samples for the temperature range of 100 °C to 500 °C at three frequencies—100, 200, and 400 kHz—using the LCR HI-Tester (HIOKI 3532-50, Tokyo, Japan). Direct measurements of the parallel capacitance (Cp) and tangent loss were taken using an impedance analyzer. However, the relationship εr = Cp/(εo(a/t)), where t and an are the thickness and cross-sectional area of the pellet, respectively, was used to compute the dielectric constant.
Figure 1.
Schematic diagram of preparation of cobalt-doped K2Ti6O13.
3. Results and Discussions
Figure 2 demonstrates the XRD patterns of K2Ti6O13 and cobalt-doped K2Ti6O13 (x = 0.05, 0.10, and 0.15 mole%, respectively) ceramics at room temperature. The XRD patterns were analyzed to identify the phase and lattice parameters of the samples. The peak positions of all samples were similar, and there were no secondary phases visible in the patterns, indicating that the K2Ti6O13 matrix appeared in a single phase with Co-doping. The XRD pattern of different samples confirmed the monoclinic structure of Co:K2Ti6O13 ceramic.
Figure 2.
XRD pattern of cobalt-doped K2Ti6O13 and K2Ti6O13 ceramics.
The room-temperature lattice constants of K2Ti6O13 and Co: K2Ti6O13 ceramics were calculated by [15]:
where dhkl is interplanar distance; h, k, and l are the Bragg plane Miller indices; and β is angular orientation. Various structural parameters are listed in Table 1. The physical size of unit cells in a crystal lattice is referred to as the lattice constant. The lattice parameters of a doped material vary in comparison with the undoped material when a heteroatom with a lower or higher radius is doped in a lattice structure. The size variation of the unit cell is directly influenced by the size of the impure dopant. The variance is further enhanced by the doping percentage. Ti4+ has an ionic radius of 0.68 Å, while Co2+ has an ionic radius of 0.74 Å. In Co-doped K2Ti6O13, Ti with a reduced radius is replaced by Co with a slightly larger radius, resulting in an increase in the lattice constant. Table 1 shows the volume of unit cells for various samples. It was observed that increasing the doping percentage consistently increased the unit cell volume, as shown in Figure 3.
Table 1.
Various structural parameters of K2Ti6O13 and Cox:K2Ti6O13 ceramics (x = 0.0, 0.05, 0.1, and 0.15 mole%) at room temperature.
Figure 3.
Crystallite size (Dhkl) and crystallinity (%C) variations with Co-doping in Co:K2Ti6O13.
The most apparent peak at θ = (200) may be used to calculate the crystallite size (Dhkl) of the identified crystalline phase using an amended Scherrer formula (200) [17,18,19]:
Dhkl denotes the crystalline size, k denotes a dimension free-form factor with a value near unity (0.9), λ is the Cu Kα1 X-ray wavelength, β is the line broadening (FWHM), and θ is the Bragg angle. The grain size was measured along the (200) peak and found to increase with the amount of Co in the ceramics. Because of the difference in ionic radii between Co2+ and Ti4+ ions, it was also expected that Co: K2Ti6O13 would be formed with a large crystalline size due to more agglomeration.
The crystallinity (C) of any sample can be characterized as [20]:
where Acryst is the total area of all crystalline peaks in an X-ray diffraction pattern, and Atotal is the total area of the diffraction pattern. Figure 3 exhibits the crystallinity of Cox:K2Ti6O13 ceramics as a function of the cobalt substituent concentration. Table 1 shows that the Co-doped K2Ti6O13 ceramics were slightly more crystalline than K2Ti6O13, and the crystallinity increased with increasing Co content. The slight elevation in crystallinity was due to the addition of a heavier element, such as Co, in place of Ti.
Figure 4 depicts the variation of the dielectric constant of Cox:K2Ti6O13 ceramics with temperature at frequencies of 100, 200, and 400 kHz. It can be seen that the dielectric constant rose with temperature up to a certain critical temperature and then started decreasing with a further increase in temperature. The Curie transition (Tc, ferroelectric–paraelectric type transition) temperature of K2Ti6O13 ceramics is reported at 300 °C [16]. Dielectric peaks of Co0.05:K2Ti6O13 were observed at temperatures of 335 °C, 348 °C, and 349 °C for 100 kHz, 200 kHz, and 400 kHz, correspondingly (Figure 4a). The dielectric constant peak at Tc diminished, and the transition temperature moved to a higher value with a rising frequency, showing evidence of the relaxation behavior of the dielectric material [21]. For Co0.10:K2Ti6O13 ceramic, two ferroelectric–paraelectric peaks appeared at 283 °C (bigger peak, TC1) and 430 °C (smaller peak, TC2). Moreover, Co0.15:K2Ti6O13 showed a low permittivity transition peak at a comparatively higher temperature of 387 °C, with zero frequency dispersion up to 260 °C, which was almost in the vicinity of the tangent loss peak (Figure 4c). Changes in relaxation time and lattice disorder caused by dopant incorporation could be the cause of the peaks shifting to higher temperatures. It was observed that the dielectric constant of Cox:K2Ti6O13 ceramic increased with Co-doping for x = 0.05, 0.10, and then it diminished inevitably for x = 0.15 mole% compared with that of pure K2Ti6O13 [16]. Because Co2+ has greater atomic polarizability than titanium, the dielectric constant of Cox: K2Ti6O13 rose with increased Co-doping (where x = 0.05, 0.10). However, at a concentration of x = 0.15, the porosity of the sample increased, which raised the resistivity and made polarization incredibly difficult and may have lowered the dielectric constant. The dielectric peaks observed to broaden and become disordered in the lattice due to Co2+ ions may have been responsible for this broadening peak, prompting heterogeneity in the micro-composition. The incorporation of Co2+ ions into the lattice induced oxygen vacancies (), causing distortion of the surrounding volume and adjustment of the local fields. Additionally, a broadening of the peak happens due to non-uniform internal fields resulting from (Fe–) defect-associated dipoles [22]. The transition temperature and dielectric peak of Cox:K2Ti6O13 ceramics at frequencies of 100 kHz, 200 kHz, and 400 kHz are listed in Table 2.
Figure 4.
Dielectric constant of Cox:K2Ti6O13 ceramics as a function of temperature; (a) is for Co0.05:K2Ti6O13, (b) is for Co0.10:K2Ti6O13 and (c) is for Co0.15:K2Ti6O13.
Table 2.
Transition temperature and dielectric peak of Cox:K2Ti6O13 ceramics at frequencies of 100 kHz, 200 kHz, and 400 kHz.
Figure 5 shows the variation of the dielectric loss of Cox:K2Ti6O13 ceramics with temperature at frequencies of 100, 200, and 400 kHz. Dielectric loss was found to rise with temperature up to a certain temperature, and after that, it decreased with an increasing frequency for all doped compositions. Tangent loss peaks of Co0.05:K2Ti6O13 were observed at temperatures of 335 °C, 340 °C, and 347 °C for 100 kHz, 200 kHz, and 400 kHz, respectively. Herein, the tangent loss peak was moved to a higher temperature, and loss was reduced with increasing frequency, exhibiting ferroelectric relaxation that could be assigned to a reduction in the relaxation time with temperature [23]. For Co0.10:K2Ti6O13 ceramic, the single ferroelectric–paraelectric peak bifurcated itself into two peaks, which occurred at 283 °C and 430 °C, following a trend similar to that of dielectric permittivity (Figure 5b). However, a single transition peak was subsequently obtained at a temperature of 384 °C for Co0.15:K2Ti6O13 ceramic. The typical increment in tanδ with temperature might have been because of leakage current and an increase in the number of ions participating in polarization [24]. The high rate of tangent loss at lower frequencies and higher temperatures results from space charge polarization [25]. Compared with K2Ti6O13 [17], a nearly uniform dielectric loss pattern was obtained in doped Cox:K2Ti6O13. The peaks of tangent loss in various doped samples are credited to the homogeneity in the composition because of doping. However, the oxygen vacancies that keep the crystal structure stable also affect mobility in the oxygen sublattice (CoO6 and TiO6), acting as fast ion conductors [26]. The origin of the loss peaks is expected to be the relaxation of permanent dipoles and (Fe–) deformity associated with the dipoles [25]. The dielectric behavior of Cox:K2Ti6O13 ceramics near phase transition (Tc) can be explained by utilizing the perovskite material idea, while the phase transition can be ascribed to the instability of the temperature-dependent soft phonon mode (i.e., low-frequency mode), in which the frequency approaches 0 and the corresponding lattice displacements become unstable [23]. The soft mode concept may be used to explain the above properties using the real part of the dielectric constant and tangent loss, which are similar to the Debye equations [27]:
and in the range .
where (q) denotes relaxation time and (q) denotes the phonon frequency [28]. Although the over-damped soft phonon mode temperature and dielectric relaxation behavior ended up being practically indistinguishable, the permittivity of the ceramics exhibits an abrupt change at the transition temperature (TC) when the soft phonon mode damping and relaxation impact were insignificant. Moreover, term {1 + (q) (q)} in the denominator of the above expression alters the sharp transition to a rounded hump. The maximum loss and relaxation effect could be attributed to the condition (q) = 1/(q). The origin of phase transitions indicating dielectric irregularity originated from the unit cell structure, which is temperature-sensitive, and transformed into a progressively steady structure at a particular transition temperature. When the lattice is not able to relax against lattice stresses, assemblies of TiO6 are intensely contorted, and Ti4+ ions lie at its center of mass in an intact oxygen octahedron, developing permanent dipoles. Generally, these dipoles rearrange themselves toward the applied field, resulting in a substantial polarization influence and, consequently, spontaneous polarization in all compositions. It can be understood from Figure 5 that the variation of tangent loss with temperature shows an extremely large energy loss near transition (but below Tc). Intense molecular thermal vibrations above Tc destroy spontaneous polarization, bringing decay in permittivity. Thus, the ferroelectric–paraelectric-type phase transition was confirmed by the observed peak of the relative permittivity (εr) at Tc.

Figure 5.
Dielectric loss of Cox:K2Ti6O13 ceramics as a function of temperature; (a) is for Co0.05:K2Ti6O13, (b) is for Co0.10:K2Ti6O13 and (c) is for Co0.15:K2Ti6O13.
Figure 6 illustrates the variation of ac conductivity (σac) with temperature in the range of 100–500 °C for the frequencies of 100, 200, and 400 kHz. All samples have slightly unusual patterns of ac thermal behavior. On the basis of this behavior, the trend may be divided into four regions for analysis. The activation energy could be determined in different regions using Arrhenius equations [29]:
where 𝜎o denotes the pre-exponential factor, Ea denotes activation energy, k denotes the Boltzmann constant, and T denotes absolute temperature. Ea can be calculated by multiplying the Boltzmann constant (0.00008617 eV/K) by the slope of the line.
Figure 6.
Variation of ac conductivity of Cox:K2Ti6O13 ceramics with temperature; (a) is for Co0.05:K2Ti6O13, (b) is for Co0.10:K2Ti6O13 and (c) is for Co0.15:K2Ti6O13.
Region 1 (100–250 °C). The low activation energy region observed in Figure 6 depends on the frequency and temperature of all doped samples, while it slightly depends on temperature. σac has the behavior of the Jonscher power law (σac = Aωs, where s < 1) and is typically assigned to the hopping motion of electrons [29]. The variation trend of σac with temperature was similar for all samples, but slightly more temperature dependence was observed for the x = 0.10 sample. The small incline (slope) in this region showed low activation energy for electric transport.
Region 2 (250–350 °C). In this region of temperature, σac strongly depends on temperature and revealed an activation energy value higher than the temperature region below 250 °C, showing the appearance of interchangeable intratunnel ionic conduction. Multiple hops of the hopping electrons are responsible for the temperature dependency of ac conductivity [29] that varies linearly with an improvement in activation energy. Indeed, in this region, the highest activation energy was observed for Co0.10:K2Ti6O13 ceramics.
Region 3 (350–420 °C). Conductivity showed anomalous behavior in this temperature region, showing relaxation peaks at 415 °C (for x = 0.05), 384 °C (for x = 0.10), and 407 °C (for x = 0.15). These relaxation peaks come into existence because of the domination of strong dipole alignment with enhanced doping. The shifting of peaks for different doped samples was due to changes in relaxation time and disorder in the lattice. Conductivity in this area rose to the transition temperature because more conduction electrons are created when an acceptor is ionized. After Tc, conductivity decreased a lot, which may be because the value of mobility goes down as the temperature goes up.
Region 4 (420–500 °C). Conductivity depends strongly on frequency and temperature in this temperature region. The average ac conductivity value in this region again began to increase after a specific temperature above the transition point. The sharp rise in conductivity in this region may have been due to a large increase in intrinsic conductivity, which compensated for the loss in mobility. Grain morphology and grain porosity also have a significant impact on conductivity. The material close to the transition temperature shows a positive temperature coefficient of resistivity (PTCR). The grain boundary is closely related to PTCR behavior [30]. The PTCR effect is caused by trapped electrons at the grain boundaries, as explained by the well-established Heyyang model. The PTCR is a consequence of the dependence of barrier heights on dielectric constants above the transition temperature (T > Tc). The exponential increase in dielectric constants above Tc prompts a reduction in barrier heights and an exponential increase in conductivity. Grain boundary barriers do not have a clear significant role below Tc, and the reduction in barrier height is credited to the remuneration of the grain boundary charge by spontaneous polarization [31]. At the point where the dielectric reduces with temperature, however close to the Tc, the barrier height rises, promoting an increase in resistivity with temperature up to the potential barrier boundary, which is equivalent to the activation energy. Regarding semiconductors, after that temperature, the resistivity begins to diminish with a further rise in temperature. Here, conductivity exhibited a strong temperature dependence and displayed an activation energy value, which is a significant novelty in this study.
The complex electric modulus formalism, which is based on polarization analysis, can also be used to evaluate the electrical behavior of materials [32]. The electric modulus may reveal important information about the relaxation mechanism. This method has the benefit of minimizing grain boundary conduction, electrode effects, and the undesirable effects of extrinsic relaxation [33]. The electrical modulus (M*), which is based on the complex permittivity ε* = ε′ − iε″, can be written as follows:
M* = M′ − iM″, where
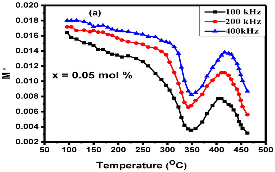
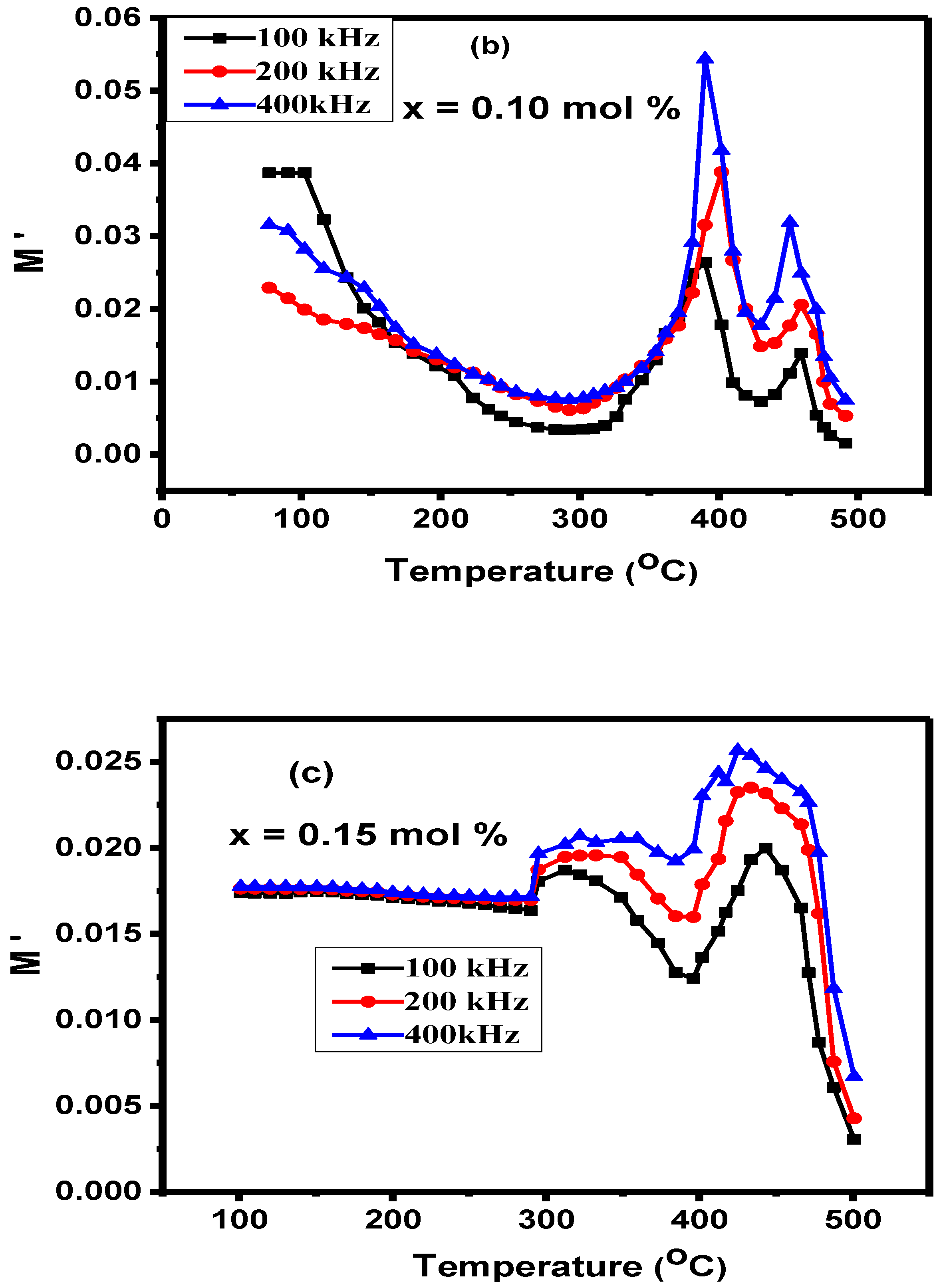
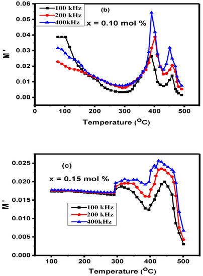
The imaginary and real components of the electrical modulus are M′′ and M′, respectively. The temperature dependence of real part M′ of the electrical modulus at 100 kHz, 200 kHz, and 400 kHz is shown in Figure 7. It was shown that M′ decreased with temperature up to a certain temperature, and then it increased again with temperature, resulting in peaks at different temperatures. The values of M′ at 400 kHz for all doped samples were higher in almost the entire temperature range. In the higher temperature range, we observed one peak of M′ for the x = 0.05- and 0.15-doped samples, and double peaks were observed for the x = 0.10-doped samples. As shown in the dielectric plot in Figure 4, we also observed double peaks for the x = 0.10-doped sample. At very high temperatures, the M’ values were close to zero, indicating that electronic polarization was minimal [34].

Figure 7.
Variation of M′ of Cox:K2Ti6O13 ceramics with temperature at 100, 200, and 400 kHz; (a) is for Co0.05:K2Ti6O13, (b) is for Co0.10:K2Ti6O13 and (c) is for Co0.15:K2Ti6O13.
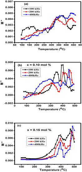
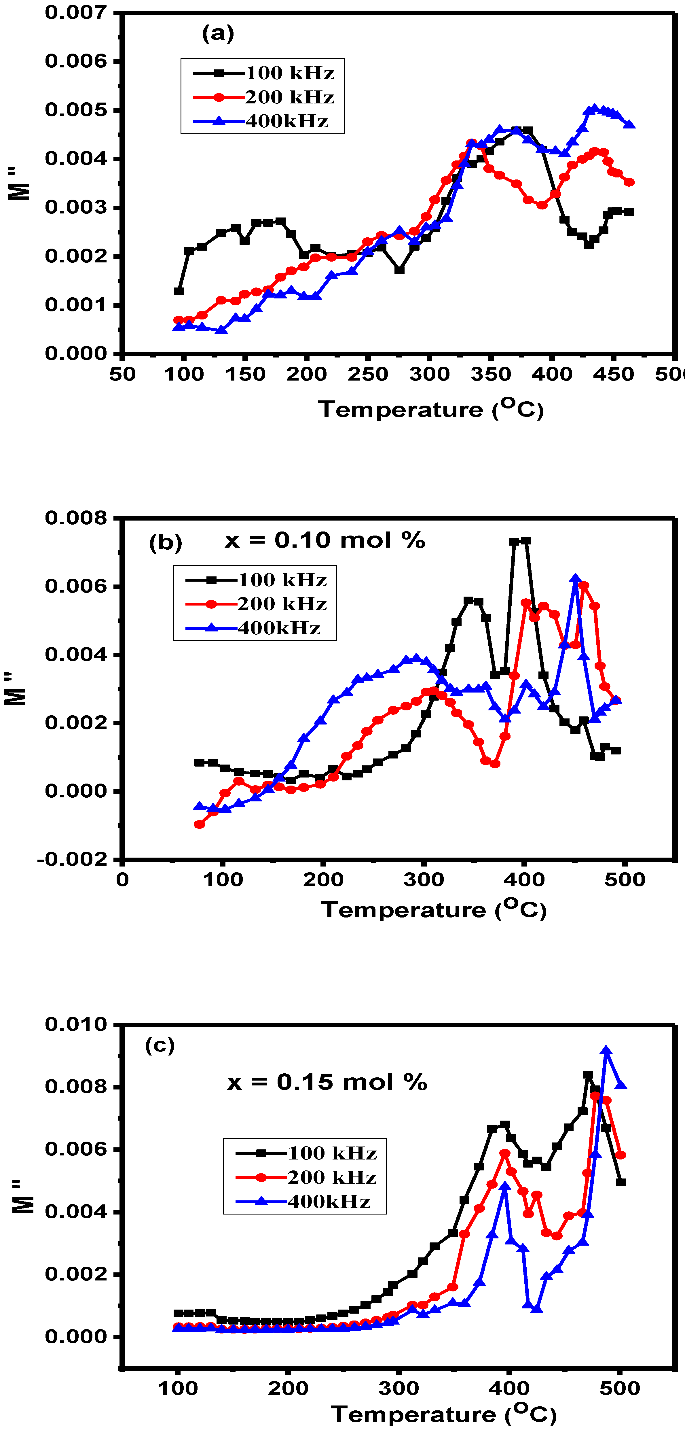
Figure 8 shows the variation of the imaginary portion of the electrical modulus (M′′) with temperature at 100 kHz, 200 kHz, and 400 kHz. It was observed that values of M′′ at lower temperatures were lower, and they initially increased with temperature and then decreased, following the exhibition of peaks at higher temperatures. The values of M′′ at frequencies of 100 kHz, 200 kHz, and 400 kHz were almost the same for the whole temperature range. M′′ started increasing with temperature at lower temperatures for samples x = 0.05 and x = 0.10, whereas it was almost constant up to 225 °C for x = 0.15.
Figure 8.
Variation of M′′ of Cox:K2Ti6O13 ceramics with temperature at 100, 200, and 400 kHz; (a) is for Co0.05:K2Ti6O13, (b) is for Co0.10:K2Ti6O13 and (c) is for Co0.15:K2Ti6O13.
4. Conclusions
The XRD of the samples verified the production of the K2Ti6O13 phase with no additional impurity phases. Because of the small difference in the ionic radii of Co2+ (0.74 Å) and Ti4+ (0.68 Å) ions, the lattice constants and unit cell volume increased slightly with substituent Co content. The dielectric constant changed with temperature, indicating a ferroelectric-to-paraelectric transition, while the Tc value shifted to a somewhat higher temperature, having a higher peak value with increased dopant in the ceramics. The thermal response of the dielectric loss exhibited relaxation peaks at various temperatures, which were attributed to dipole relaxation in almost all chosen compositions. Co0.10:K2Ti6O13 ceramic was found to have the highest dielectric constant and minimum tangent loss among various samples. The ac conductivity graphs showed that at low temperatures, electronic conduction (via electron hopping) predominated, and at high temperatures, ionic (intratunnel) conduction contributed. The temperature dependence of ac conductivity was greatest between 420 °C and 500 °C.
Author Contributions
Conceptualization, M.A.S.; methodology, M.A.S., M.S.; software, O.M.; validation, M.A.Q., and I.S.S.; formal analysis, Z.M.A.; investigation, M.A.S. and S.K.A.; resources, M.Y.A.; data curation, T.A.; writing—original draft preparation, M.A.S.; writing—review and editing, M.S.; visualization, M.M.F.; supervision, M.S.; project administration, M.S.K.; funding acquisition, Y.A. All authors have read and agreed to the published version of the manuscript.
Funding
This research was funded by the Deanship of Scientific Research at Majmaah University under Project Number R-2022-332, Al Majmaah, Saudi Arabia.
Institutional Review Board Statement
Not Applicable.
Informed Consent Statement
Not Applicable.
Data Availability Statement
Not Applicable.
Acknowledgments
The authors would like to thank the Deanship of Scientific Research at Majmaah University for supporting this work under Project Number R-2022-332.
Conflicts of Interest
The authors declare no conflict of interest.
References
- Siddiqui, M.A.; Chandel, V.S.; Azam, A. Comparative study of potassium hexatitanate (K2Ti6O13) whiskers prepared by sol–gel and solid state reaction routes. Appl. Surf. Sci. 2012, 258, 7354–7358. [Google Scholar]
- Tan, S.; Zhang, Y.; Gong, H. Investigation on K2Ti4O9 Whisker Absorbent and Applications in Heavy Metal Ions Removal. J. Water Environ. Technol. 2007, 5, 13–18. [Google Scholar] [CrossRef]
- Garay-Rodríguez, L.F.; Torres-Martínez, L.M.; Moctezuma, E. Photocatalytic performance of K2Ti6O13 whiskers to H2 evolution and CO2 photo-reduction. J. Energy Chem. 2019, 37, 18–28. [Google Scholar]
- Chen, Q.; Chen, L.; Qi, J.; Tong, Y.; Lv, Y.; Xu, C.; Ni, J.; Liu, W. Photocatalytic degradation of amoxicillin by carbon quantum dots modified K2Ti6O13 nanotubes: Effect of light wavelength. Chin. Chem. Lett. 2019, 30, 1214–1218. [Google Scholar] [CrossRef]
- Murakami, R.; Matsui, K. Evaluation of mechanical and wear properties of potassium acid titanate whisker-reinforced copper matrix composites formed by hot isostatic pressing. Wear 1996, 201, 193–198. [Google Scholar] [CrossRef]
- Yu, D.; Wu, J.; Zhou, L.; Xie, D.; Wu, S. The dielectric and mechanical properties of a potassium-titanate-whisker-reinforced PP/PA blend. Compos. Sci. Technol. 2000, 60, 499–508. [Google Scholar] [CrossRef]
- Choy, J.H.; Han, Y.S. A combinative flux evaporation–slow cooling route to potassium titanate fibres. Mater. Lett. 1998, 34, 111–118. [Google Scholar] [CrossRef]
- Fegade, U.; Jethave, G.; Khan, F.; Al-Ahmed, A.; Karmouch, R.; Shariq, M.; Inamuddin; Ahmer, M.F. Recent development of aqueous zinc-ion battery cathodes and future challenges: Review. Int. J. Energy Res. 2022, 46, 13152–13177. [Google Scholar] [CrossRef]
- Zhang, W.; Wang, X.; Ma, Y.; Wang, H.; Qi, Y.; Cui, C. Enhanced Photocatalytic and Antibacterial Activities of K2Ti6O13 Nanowires Induced by Copper Doping. Crystals 2020, 10, 400. [Google Scholar] [CrossRef]
- Kikkawa, S.; Koizumi, M. Fine Ceramics; Saito, S., Ed.; Elsevier: Cambridge, MA, USA, 1988; pp. 83–90. [Google Scholar]
- Lee, H.K.; Shim, M.J.; Kim, S.W. The characteristics of synthesized potassium hexatitanate and the manufacturing process of the matrix. Mater. Chem. Phys. 1996, 45, 243–247. [Google Scholar] [CrossRef]
- Singh, J.; Sharma, P.; Tripathi, N.; Shishkina, D.; Rymzhina, A.; Boltov, E.A.; Platonov, V.; Pavelyev, V.; Volkov, V.S.; Arsenin, A.V.; et al. Synthesis of highly sensitive nanomaterial for ultra-fast photocatalytic activity: A detailed study on photocatalytic capabilities of rod-shaped TiS3 nanostructures. Catal. Commun. 2022, 162, 106381. [Google Scholar] [CrossRef]
- Wang, B.L.; Chen, Q.; Wang, R.H. Synthesis and characterization of K2Ti6O13 nanowires. Chem. Phys. Lett. 2003, 376, 726–731. [Google Scholar] [CrossRef]
- Vikram, S.V.; Phase, D.M.; Chandel, V.S. Synthesis, characterization, and electrical studies on Cu-doped K2Ti6O13lead-free ceramics: Role of defect associate dipoles. J. Alloys Compd. 2010, 489, 700–707. [Google Scholar] [CrossRef]
- Siddiqui, M.A.; Chandel, V.S.; Shariq, M.; Azam, A. FTIR and dielectric studies of nickel doped potassium hexa-titanate K2Ti6O13) fine ceramics. J. Mater. Sci. Mater. Electron. 2013, 24, 4725–4731. [Google Scholar] [CrossRef]
- Vikram, S.V.; Phase, D.M.; Chandel, V.S. High-T C phase transition in K2Ti6O13lead-free ceramic synthesised using solid-state reaction. J. Mater. Sci. Mater. Electron. 2010, 21, 902–905. [Google Scholar] [CrossRef]
- Shariq, M.; Kaur, D.; Chandel, V.S.; Jain, P.K.; Florence, S.; Sharma, M.; Hussain, S. Study of Structural, Magnetic and Optical Properties of BiFeO3-PbTiO3 Multiferroic Composites. Arab J. Sci. Eng. 2019, 44, 613–621. [Google Scholar] [CrossRef]
- Shariq, M.; Kaur, D.; Chandel, V.S. Structural, magnetic and optical properties of mulitiferroic (BiFeO3)1− x(BaTiO3)x solid solutions. Chin. J. Phys. 2017, 55, 2192–2198. [Google Scholar] [CrossRef]
- Sowjanya, M.; Shariq, M.; Pilli, S.R.; Khan, M.S.; Alharbi, T.; Chaudhary, A.A.; Pamu, D.; Chowdharuy, R.; Fathy, A.M.; Slimani, Y.; et al. Impact of Ar:O2 gas flow ratios on microstructure and optical characteristics of CeO2-doped ZnO thin films by magnetron sputtering. EPL 2021, 135, 67003. [Google Scholar] [CrossRef]
- Shariq, M.; Imran, M.; Gouda, E.S.; Ansari, A.R.; Siddiqui, M.A.; Sowjanya, M. Study of Structural, Magnetic, Dielectric Properties and Estimation of Magnetoeletric Coupling of La, Mn co-doped Bi1− xLaxFe0.97Mn0.03O3 Ceramics. Arab J. Sci. Eng. 2020, 45, 475–482. [Google Scholar] [CrossRef]
- Li, Z.F.; Wang, C.L.; Zhong, W.L.; Li, J.C.; Zhao, M.L. Dielectric relaxor properties of K0.5Bi0.5TiO3 ferroelectrics prepared by sol–gel method. J. Appl. Phys. 2003, 94, 2548. [Google Scholar] [CrossRef]
- Lines, M.E.; Glass, A.M. Principles and Applications of Ferroelectrics and Related Materials; Clarendon: Oxford, UK, 1977; Volume 87, p. 286. [Google Scholar]
- Lingwal, V.; Semwal, B.S.; Panwar, N.S. Dielectric properties of Na1-xK xNbO3 in orthorhombic phase. Bull. Mater. Sci. 2003, 26, 619–625. [Google Scholar] [CrossRef]
- Bogoroditsky, N.P.; Pasynkov, V.V.; Tareev, B. Electrical Engineering Materials; Chapters 1 and 3; Mir Publishers: Moscow, Russia, 1979. [Google Scholar]
- Das, B.P.; Chaudhary, R.N.P.; Mahapatra, P.K. Effect of Europium (Eu) on structural, dielectric and electrical properties of Pb (SnTi) O3 ferroelectric ceramics. Mater. Sci. Eng. B 2003, 104, 96–105. [Google Scholar] [CrossRef]
- Dwivedi, R.K.; Kumar, D.; Prakash, O. Dielectric relaxation in valence compensated solid solution Sr0.65La0.35Ti0.65Co0.35O3. J. Phys. D 2000, 33, 88–95. [Google Scholar] [CrossRef]
- Vikram, S.V.; Maurya, D.; Phase, D.M.; Chandel, V.S. Effect of defect dipoles on the dielectric and electrical properties of Mn: K2Ti6O13 lead-free ceramics: EPR spectroscopy-cum-dielectric-spectroscopy. J. Mater. Sci. Mater. Electron. 2012, 23, 718–727. [Google Scholar] [CrossRef]
- Goodman, G.; Reynolds, T.G. Ceramic Materials for Electronics; Buchanan, R.C., Ed.; Marcel Dekker: New York, NY, USA, 1991; pp. 32–33. [Google Scholar]
- Oumezzine, E.; Hcini, S.; Rhouma, F.I.H.; Oumezzine, M. Frequency and temperature dependence of conductance, impedance and electrical modulus studies of Ni0.6Cu0.4Fe2O4 spinel ferrite. J. Alloys Compd. 2017, 726, 187–194. [Google Scholar] [CrossRef]
- Maurya, D.; Chand, P. On the dielectric spectroscopy of copper doped layered Na1.6K0.4Ti3O7 ceramics. J. Alloys Compd. 2008, 459, 418. [Google Scholar] [CrossRef]
- Goodman, G. Electrical Conduction Anomaly in Samarium-Doped Barium Titanate. J. Am. Ceram. Soc. 1963, 46, 48–54. [Google Scholar] [CrossRef]
- Heywang, W. Structural engineering of ferroelectrics. Ferroelectrics 1983, 49, 3–14. [Google Scholar] [CrossRef]
- Kaiser, M. Electrical conductivity and complex electric modulus of titanium doped nickel–zinc ferrites. Phys. B 2012, 407, 606. [Google Scholar] [CrossRef]
- Wang, P.G.; Fan, C.M.; Wang, Y.W.; Ding, G.Y.; Yuan, P.H. A dual chelating sol–gel synthesis of BaTiO3 nanoparticles with effective photocatalytic activity for removing humic acid from water. Mater. Res. Bull. 2013, 48, 869–877. [Google Scholar] [CrossRef]
Publisher’s Note: MDPI stays neutral with regard to jurisdictional claims in published maps and institutional affiliations. |
© 2022 by the authors. Licensee MDPI, Basel, Switzerland. This article is an open access article distributed under the terms and conditions of the Creative Commons Attribution (CC BY) license (https://creativecommons.org/licenses/by/4.0/).