Optimized Solid-State Synthesis of Sr2Fe1.5Mo0.5O6−δ Perovskite: Implications for Efficient Synthesis of Mo-Containing SOFC Electrodes
Abstract
:1. Introduction
2. Materials and Methods
3. Results and Discussion
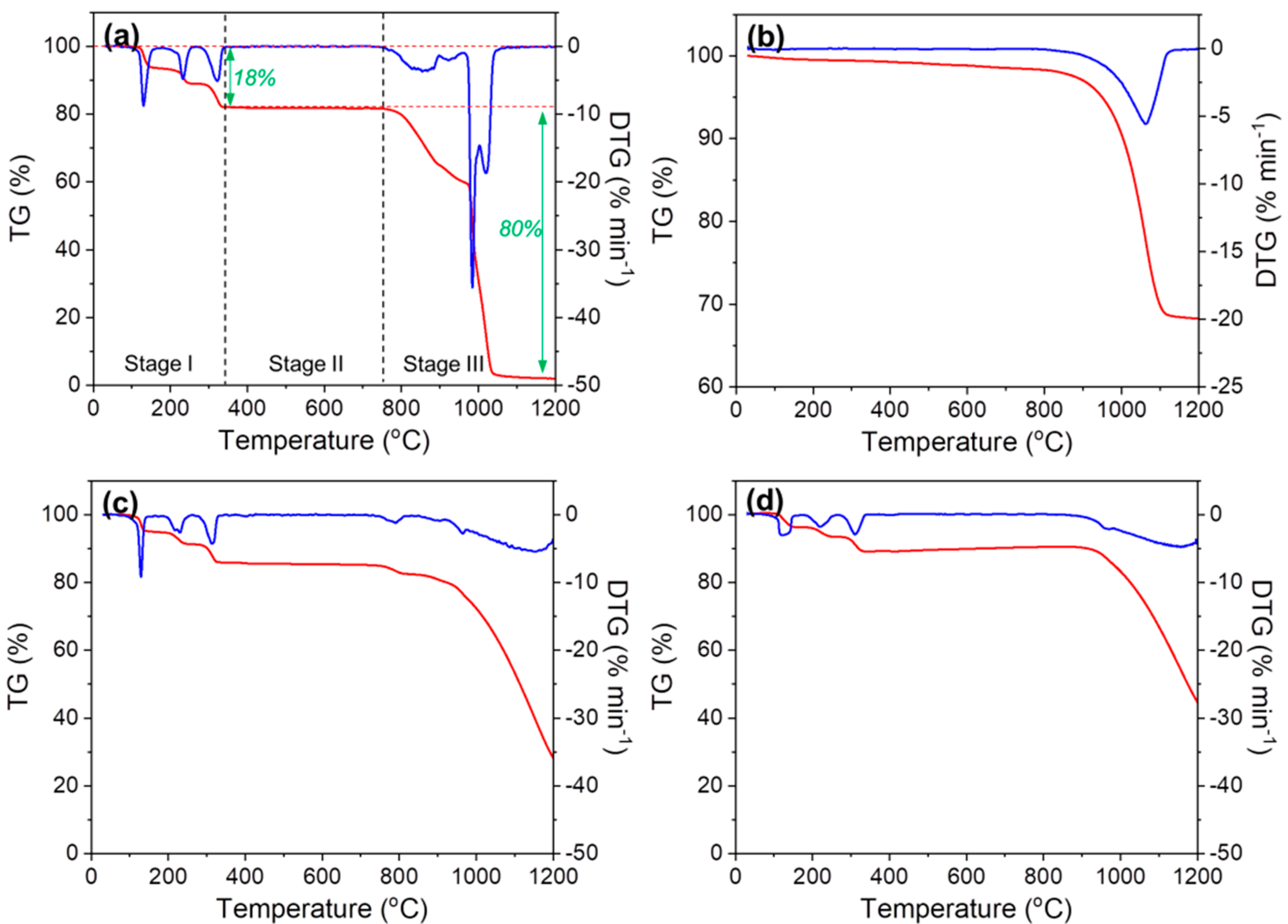
3.1. Thermal Analysis of Precursors
3.2. Phase Structure
3.3. Stability in Reducing Atmosphere
3.4. Chemical State Analysis
3.5. Application to other Mo-Containing Perovskites
4. Conclusions
Author Contributions
Funding
Institutional Review Board Statement
Informed Consent Statement
Data Availability Statement
Conflicts of Interest
References
- Choudhury, A.; Chandra, H.; Arora, A. Application of solid oxide fuel cell technology for power generation—A review. Renew. Sust. Energ. Rev. 2013, 20, 430–442. [Google Scholar] [CrossRef]
- Mahato, N.; Banerjee, A.; Gupta, A.; Omar, S.; Balani, K. Progress in material selection for solid oxide fuel cell technology: A review. Prog. Mater Sci. 2015, 72, 141–337. [Google Scholar] [CrossRef]
- Minh, N. Solid oxide fuel cell technology-features and applications. Solid State Ionics 2004, 174, 271–277. [Google Scholar] [CrossRef]
- Han, Z.; Wu, Y.; Yu, H.; Zhou, S. Location-dependent effect of nickel on hydrogen dissociation and diffusion on Mg (0001) surface: Insights into hydrogen storage material design. J. Magnes. Alloy. 2022, 10, 1617–1630. [Google Scholar] [CrossRef]
- Han, Z.; Yang, Z.; Han, M. Comprehensive investigation of methane conversion over Ni(111) surface under a consistent DFT framework: Implications for anti-coking of SOFC anodes. Appl. Surf. Sci. 2019, 480, 243–255. [Google Scholar] [CrossRef]
- Yue, W.; Li, Y.; Zheng, Y.; Wu, T.; Zhao, C.; Zhao, J.; Geng, G.; Zhang, W.; Chen, J.; Zhu, J.; et al. Enhancing coking resistance of Ni/YSZ electrodes: In situ characterization, mechanism research, and surface engineering. Nano Energy 2019, 62, 64–78. [Google Scholar] [CrossRef]
- Liu, Q.; Dong, X.H.; Xiao, G.L.; Zhao, F.; Chen, F.L. A novel electrode material for symmetrical SOFCs. Adv. Mater. 2010, 22, 5478–5482. [Google Scholar] [CrossRef]
- Liu, Q.; Bugaris, D.E.; Xiao, G.L.; Chmara, M.; Ma, S.G.; Loye, H.C.Z.; Amiridis, M.D.; Chen, F.L. Sr2Fe1.5Mo0.5O6−δ as a regenerative anode for solid oxide fuel cells. J. Power Sources 2011, 196, 9148–9153. [Google Scholar] [CrossRef]
- Han, Z.; Wang, Y.; Yang, Y.; Li, L.; Yang, Z.; Han, M. High-performance SOFCs with impregnated Sr2Fe1.5Mo0.5O6-δ anodes toward sulfur resistance. J. Alloy. Compd. 2017, 703, 258–263. [Google Scholar] [CrossRef]
- Walker, E.; Ammal, S.C.; Suthirakun, S.; Chen, F.L.; Terejanu, G.A.; Heyden, A. Mechanism of sulfur poisoning of Sr2Fe1.5Mo0.5O6-δ perovskite anode under solid oxide fuel cell conditions. J. Phys. Chem. C 2014, 118, 23545–23552. [Google Scholar] [CrossRef]
- Zheng, K.; Swierczek, K.; Polfus, J.M.; Sunding, M.F.; Pishahang, M.; Norby, T. Carbon deposition and sulfur poisoning in SrFe0.75Mo0.25O3-δ and SrFe0.5Mn0.25Mo0.25O3-δ electrode materials for symmetrical SOFCs. J. Electrochem. Soc. 2015, 162, F1078–F1087. [Google Scholar] [CrossRef]
- Han, Z.; Dong, H.; Wu, Y.; Yang, Y. Locating the rate-limiting step of hydrogen conversion on Sr2Fe1.5Mo0.5O6 (0 0 1) surface: Implications for efficient SOFC anode design. Appl. Surf. Sci. 2022, 595, 153513. [Google Scholar] [CrossRef]
- Zamudio-García, J.; Caizán-Juanarena, L.; Porras-Vázquez, J.M.; Losilla, E.R.; Marrero-López, D. A review on recent advances and trends in symmetrical electrodes for solid oxide cells. J. Power Sources 2022, 520, 230852. [Google Scholar] [CrossRef]
- Jiang, Y.; Chen, F.; Xia, C. A review on cathode processes and materials for electro-reduction of carbon dioxide in solid oxide electrolysis cells. J. Power Sources 2021, 493, 229713. [Google Scholar] [CrossRef]
- Skutina, L.; Filonova, E.; Medvedev, D.; Maignan, A. Undoped Sr2MMoO6 Double Perovskite Molybdates (M = Ni, Mg, Fe) as Promising Anode Materials for Solid Oxide Fuel Cells. Materials 2021, 14, 1715. [Google Scholar] [CrossRef]
- Liu, Q.; Yang, C.; Dong, X.; Chen, F. Perovskite Sr2Fe1.5Mo0.5O6−δ as electrode materials for symmetrical solid oxide electrolysis cells. Int. J. Hydrog. Energy 2010, 35, 10039–10044. [Google Scholar] [CrossRef]
- Xiao, G.L.; Chen, F.L. Ni modified ceramic anodes for direct-methane solid oxide fuel cells. Electrochem. Commun. 2011, 13, 57–59. [Google Scholar] [CrossRef]
- Xiao, G.L.; Liu, Q.; Zhao, F.; Zhang, L.; Xia, C.R.; Chen, F.L. Sr2Fe1.5Mo0.5O6 as cathodes for intermediate-temperature solid oxide fuel cells with La0.8Sr0.2Ga0.87Mg0.13O3 electrolyte. J. Electrochem. Soc. 2011, 158, B455–B460. [Google Scholar] [CrossRef] [Green Version]
- He, B.; Zhao, L.; Song, S.; Liu, T.; Chen, F.; Xia, C. Sr2Fe1.5Mo0.5O6−δ-Sm0.2Ce0.8O1.9 Composite Anodes for Intermediate-Temperature Solid Oxide Fuel Cells. J. Electrochem. Soc. 2012, 159, B619–B626. [Google Scholar] [CrossRef] [Green Version]
- Dai, N.; Feng, J.; Wang, Z.; Jiang, T.; Sun, W.; Qiao, J.; Sun, K. Synthesis and characterization of B-site Ni-doped perovskites Sr2Fe1.5−xNixMo0.5O6−δ (x = 0, 0.05, 0.1, 0.2, 0.4) as cathodes for SOFCs. J. Mater. Chem. A 2013, 1, 14147–14153. [Google Scholar] [CrossRef]
- Dos Santos-Gómez, L.; León-Reina, L.; Porras-Vázquez, J.M.; Losilla, E.R.; Marrero-López, D. Chemical stability and compatibility of double perovskite anode materials for SOFCs. Solid State Ion. 2013, 239, 1–7. [Google Scholar] [CrossRef]
- Wang, Y.; Li, P.; Li, H.; Zhao, Y.; Li, Y. Synthesis and Enhanced Electrochemical Performance of Sm-Doped Sr2Fe1.5Mo0.5O6. Fuel Cells 2014, 14, 973–978. [Google Scholar] [CrossRef]
- Munoz-Garcia, A.B.; Bugaris, D.E.; Pavone, M.; Hodges, J.P.; Huq, A.; Chen, F.; Loye, H.C.Z.; Carter, E.A. Unveiling structure-property relationships in Sr2Fe1.5Mo0.5O6-δ, an electrode material for symmetric solid oxide fuel cells. J. Am. Chem. Soc. 2012, 134, 6826–6833. [Google Scholar] [CrossRef] [PubMed]
- Dong, X.; Tian, L.; Li, J.; Zhao, Y.; Tian, Y.; Li, Y. Single layer fuel cell based on a composite of Ce0.8Sm0.2O2−δ–Na2CO3 and a mixed ionic and electronic conductor Sr2Fe1.5Mo0.5O6−δ. J. Power Sources 2014, 249, 270–276. [Google Scholar] [CrossRef]
- Zhu, Z.; Gao, F.; Zhang, Z.; Zhuang, Q.; Liu, Q.; Yu, H.; Fu, M. In-situ growth of MnCo2O4 hollow spheres on nickel foam as pseudocapacitive electrodes for supercapacitors. J. Colloid Interface Sci. 2021, 587, 56–63. [Google Scholar] [CrossRef] [PubMed]
- Fu, M.; Zhu, Z.; Chen, W.; Yu, H.; Lv, R. Carbon cloth supported flower-like porous nickel-based electrodes boosting ion/charge transfer characteristics of flexible supercapacitors. Carbon 2022, 199, 520–528. [Google Scholar] [CrossRef]
- Zhang, Z.; Jiang, K.; Zhu, Z.; Yu, H.; Chen, W.; Huang, Y.; Fu, M. The yolk-shell nanorod structure of Ni3Se2@C electrodes boosting charge transfer and cyclability in high-performance supercapacitors. J. Colloid Interface Sci. 2022, 615, 133–140. [Google Scholar] [CrossRef]
- Kovács, T.N.; Hunyadi, D.; de Lucena, A.L.A.; Szilágyi, I.M. Thermal decomposition of ammonium molybdates. J. Therm. Anal. Calorim. 2016, 124, 1013–1021. [Google Scholar] [CrossRef] [Green Version]
- Chen, D.; Liu, M.; Yin, L.; Li, T.; Yang, Z.; Li, X.; Fan, B.; Wang, H.; Zhang, R.; Li, Z.; et al. Single-crystalline MoO3 nanoplates: Topochemical synthesis and enhanced ethanol-sensing performance. J. Mater. Chem. 2011, 21, 9332–9342. [Google Scholar] [CrossRef]
- Wu, C.; Ma, L.; Zhu, Y.; Guo, X.; Wu, Y.; Wu, Z.; Zhang, X.; Hou, L. High-Temperature Reaction Mechanism of Molybdenum Metal in Direct Coal Liquefaction Residue. Catalysts 2022, 12, 926. [Google Scholar] [CrossRef]
- Zhu, Z.; Sun, K.; Xu, D.; Gu, Y.; Ni, Q.; Zheng, Y.; Chen, H.; Ge, L.; Huang, X.; Guo, L. Enhancing the performance of symmetrical solid oxide fuel cells with Sr2Fe1.5Mo0.5O6—δ electrodes via infiltration of Pr6O11 bifunctional catalyst. Electrochim. Acta 2022, 402, 139569. [Google Scholar] [CrossRef]
- Song, Y.; Zhong, Q.; Tan, W.; Pan, C. Effect of cobalt-substitution Sr2Fe1.5—xCoxMo0.5O6—δ for intermediate temperature symmetrical solid oxide fuel cells fed with H2-H2S. Electrochim. Acta 2014, 139, 13–20. [Google Scholar] [CrossRef]
- Pan, X.; Wang, Z.; He, B.; Wang, S.; Wu, X.; Xia, C. Effect of Co doping on the electrochemical properties of Sr2Fe1.5Mo0.5O6 electrode for solid oxide fuel cell. Int. J. Hydrogen Energy 2013, 38, 4108–4115. [Google Scholar] [CrossRef]
- Suthirakun, S.; Ammal, S.C.; Munoz-Garcia, A.B.; Xiao, G.; Chen, F.; Loye, H.C.Z.; Carter, E.A.; Heyden, A. Theoretical investigation of H2 oxidation on the Sr2Fe1.5Mo0.5O6(001) perovskite surface under anodic solid oxide fuel cell conditions. J. Am. Chem. Soc. 2014, 136, 8374–8386. [Google Scholar] [CrossRef] [PubMed] [Green Version]
- Tao, S.W.; Irvine, J.T.S. A redox-stable efficient anode for solid-oxide fuel cells. Nat. Mater. 2003, 2, 320–323. [Google Scholar] [CrossRef] [PubMed]
- Zhang, B.W.; Zhu, M.N.; Gao, M.R.; Xi, X.; Duan, N.; Chen, Z.; Feng, R.F.; Zeng, H.; Luo, J.L. Boosting the stability of perovskites with exsolved nanoparticles by B-site supplement mechanism. Nat. Commun. 2022, 13, 4618. [Google Scholar] [CrossRef] [PubMed]
- Guo, Y.; Guo, T.; Zhou, S.; Wu, Y.; Chen, H.; Ou, X.; Ling, Y. Characterization of Sr2Fe1.5Mo0.5O6-δ-Gd0.1Ce0.9O1.95 symmetrical electrode for reversible solid oxide cells. Ceram. Int. 2019, 45, 10969–10975. [Google Scholar] [CrossRef]
- Zhu, C.; Hou, S.; Hu, X.; Lu, J.; Chen, F.; Xie, K. Electrochemical conversion of methane to ethylene in a solid oxide electrolyzer. Nat. Commun. 2019, 10, 1173. [Google Scholar] [CrossRef] [Green Version]
- Lv, H.; Zhou, Y.; Zhang, X.; Song, Y.; Liu, Q.; Wang, G.; Bao, X. Infiltration of Ce0.8Gd0.2O1.9 nanoparticles on Sr2Fe1.5Mo0.5O6- cathode for CO2 electroreduction in solid oxide electrolysis cell. J. Energy Chem. 2019, 35, 71–78. [Google Scholar] [CrossRef] [Green Version]
- Fu, M.; Lv, R.; Lei, Y.; Terrones, M. Ultralight Flexible Electrodes of Nitrogen-Doped Carbon Macrotube Sponges for High-Performance Supercapacitors. Small 2021, 17, e2004827. [Google Scholar] [CrossRef]
- Xu, C.; Sun, K.; Yang, X.; Ma, M.; Ren, R.; Qiao, J.; Wang, Z.; Zhen, S.; Sun, W. Highly active and CO2-tolerant Sr2Fe1.3Ga0.2Mo0.5O6—δ cathode for intermediate-temperature solid oxide fuel cells. J. Power Sources 2020, 450, 227722. [Google Scholar] [CrossRef]
- Li, Y.; Li, Y.; Wan, Y.; Xie, Y.; Zhu, J.; Pan, H.; Zheng, X.; Xia, C. Perovskite Oxyfluoride Electrode Enabling Direct Electrolyzing Carbon Dioxide with Excellent Electrochemical Performances. Adv. Energy Mater. 2019, 9, 1803156. [Google Scholar] [CrossRef]
- Li, Y.; Chen, X.; Yang, Y.; Jiang, Y.; Xia, C. Mixed-Conductor Sr2Fe1.5Mo0.5O6−δ as Robust Fuel Electrode for Pure CO2 Reduction in Solid Oxide Electrolysis Cell. ACS Sustain. Chem. Eng. 2017, 5, 11403–11412. [Google Scholar] [CrossRef]
- Zhang, S.; Zhu, K.; Hu, X.; Peng, R.; Xia, C. Antimony doping to greatly enhance the electrocatalytic performance of Sr2Fe1.5Mo 0.5O6−δ perovskite as a ceramic anode for solid oxide fuel cells. J. Mater. Chem. A 2021, 9, 24336–24347. [Google Scholar] [CrossRef]
- Xi, X.; Liu, J.; Fan, Y.; Wang, L.; Li, J.; Li, M.; Luo, J.-L.; Fu, X.-Z. Reducing d-p band coupling to enhance CO2 electrocatalytic activity by Mg-doping in Sr2FeMoO6-δ double perovskite for high performance solid oxide electrolysis cells. Nano Energy 2021, 82, 105707. [Google Scholar] [CrossRef]
- Muñoz-García, A.B.; Pavone, M. First-Principles Design of New Electrodes for Proton-Conducting Solid-Oxide Electrochemical Cells: A-Site Doped Sr2Fe1.5Mo0.5O6−δ Perovskite. Chem. Mater. 2016, 28, 490–500. [Google Scholar] [CrossRef]
- Jiang, S.; Hu, T.; Gild, J.; Zhou, N.; Nie, J.; Qin, M.; Harrington, T.; Vecchio, K.; Luo, J. A new class of high-entropy perovskite oxides. Scr. Mater. 2018, 142, 116–120. [Google Scholar] [CrossRef]







Publisher’s Note: MDPI stays neutral with regard to jurisdictional claims in published maps and institutional affiliations. |
© 2022 by the authors. Licensee MDPI, Basel, Switzerland. This article is an open access article distributed under the terms and conditions of the Creative Commons Attribution (CC BY) license (https://creativecommons.org/licenses/by/4.0/).
Share and Cite
Dong, H.; Wang, M.; Liu, Y.; Han, Z. Optimized Solid-State Synthesis of Sr2Fe1.5Mo0.5O6−δ Perovskite: Implications for Efficient Synthesis of Mo-Containing SOFC Electrodes. Crystals 2022, 12, 1533. https://doi.org/10.3390/cryst12111533
Dong H, Wang M, Liu Y, Han Z. Optimized Solid-State Synthesis of Sr2Fe1.5Mo0.5O6−δ Perovskite: Implications for Efficient Synthesis of Mo-Containing SOFC Electrodes. Crystals. 2022; 12(11):1533. https://doi.org/10.3390/cryst12111533
Chicago/Turabian StyleDong, Hui, Meiyu Wang, Yuke Liu, and Zongying Han. 2022. "Optimized Solid-State Synthesis of Sr2Fe1.5Mo0.5O6−δ Perovskite: Implications for Efficient Synthesis of Mo-Containing SOFC Electrodes" Crystals 12, no. 11: 1533. https://doi.org/10.3390/cryst12111533
APA StyleDong, H., Wang, M., Liu, Y., & Han, Z. (2022). Optimized Solid-State Synthesis of Sr2Fe1.5Mo0.5O6−δ Perovskite: Implications for Efficient Synthesis of Mo-Containing SOFC Electrodes. Crystals, 12(11), 1533. https://doi.org/10.3390/cryst12111533

