Wideband Reflector and Analogue Electromagnetically Induced Reflection in Metamaterials
Abstract
:1. Introduction
2. Model and Simulation
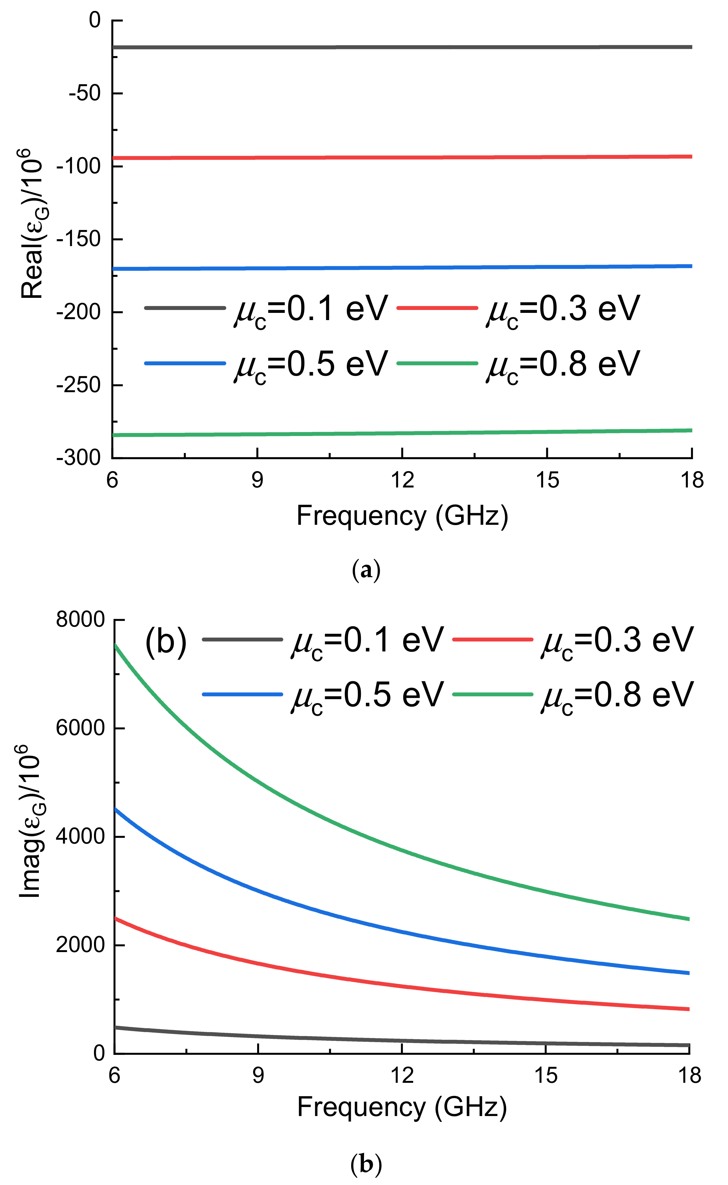
3. Results and Discussion
4. Conclusions
Author Contributions
Funding
Institutional Review Board Statement
Informed Consent Statement
Data Availability Statement
Conflicts of Interest
References
- So, H.; Ando, A.; Seki, T.; Kawashima, M.; Sugiyama, T. Multiband Sector Antenna with the Same Beamwidth Employing Multiple Woodpile Metamaterial Reflectors. IEICE Trans. Electron. 2014, E97.C, 976–985. [Google Scholar] [CrossRef] [Green Version]
- Jiang, L.; Fang, B.; Yan, Z.; Li, C.; Gan, H.; He, Y.; Hong, Z.; Jing, X. Broadband and wide angle perfect reflection by super periodic cubes metamaterials in terahertz region. Microelectron. Eng. 2020, 223, 111216. [Google Scholar] [CrossRef]
- Qiu, J.; Liu, X.; Liang, Z.; Zhu, J. Ultra-wideband perfect reflection and tunneling by all-dielectric metamaterials. Opt. Lett. 2021, 46, 849–852. [Google Scholar] [CrossRef] [PubMed]
- Guo, W.L.; Chen, K.; Wang, G.M.; Luo, X.Y.; Feng, Y.J.; Qiu, C.W. Transmission–Reflection-Selective Metasurface and Its Application to RCS Reduction of High-Gain Reflector Antenna. IEEE Trans. Antennas Propag. 2020, 68, 1426. [Google Scholar] [CrossRef]
- Zhang, Z.; Cao, X.; Gao, J.; Li, S. Broadband Metamaterial Reflectors for Polarization Manipulation Based on Cross/Ring Resonators. Radioengineering 2016, 25, 436–441. [Google Scholar] [CrossRef]
- Xu, H.; Chen, Z.; He, Z.; Nie, G.; Li, D. Terahertz tunable optical dual-functional slow light reflector based on gold-graphene metamaterials. New J. Phys. 2020, 22, 123009. [Google Scholar] [CrossRef]
- Yuan, C.; Yang, R.; Wang, J.; Tian, J. Tian Tunable enhanced bandwidth all-graphene -dielectric terahertz metamaterial absorber/reflector. Optik 2020, 224, 165517. [Google Scholar] [CrossRef]
- Deng, G.; Xia, T.; Yang, J.; Qiu, L.; Yin, Z. Qiu and Z. Yin Tunable terahertz metamaterial with a graphene reflector. Mater. Res. Express 2016, 3, 115801. [Google Scholar] [CrossRef]
- Ma, Y.; Li, D.; Chen, Z.; Qian, H.; Ning, R. Multiband reciprocal polarization insensitivity electromagnetically induced transparency in metasurfaces. J. Opt. 2020, 22, 055101. [Google Scholar] [CrossRef]
- Jiang, J.; Zhang, Q.; Ma, Q.; Yan, S.; Wu, F.; He, X. Dynamically tunable electromagnetically induced reflection in terahertz complementary graphene metamaterials. Opt. Mater. Express 2015, 5, 1962–1971. [Google Scholar] [CrossRef]
- Liu, Y.; Zhang, Y.Q.; Jin, X.R.; Zhang, S.; Lee, Y.P. Dual-band infrared perfect absorber for plasmonic sensor based on the electromagnetically induced reflection-like effect. Opt. Commun. 2016, 371, 173–177. [Google Scholar] [CrossRef]
- Zhao, X.; Yi, J.; Burokur, S.N. Direct dark mode excitation of electromagnetically induced reflection effect in enantiomer-based metasurface and its application in terahertz detection. In Proceedings of the IEEE International Symposium on Antennas and Propagation and North American Radio Science Meeting, Montreal, QC, Canada, 5–10 July 2020. [Google Scholar]
- Shen, Z.; Yang, D.; Xia, Y.; Huang, X. Metamaterial-inspired 2D cavity grating with electromagnetically induced reflection as a glucose sensor. Phys. Scr. 2020, 96, 025502. [Google Scholar] [CrossRef]
- He, X.; Yao, Y.; Huang, Y.; Zhang, Q.; Zhu, L.; Wu, F.; Ying, G.; Jiang, J. Active manipulation of electromagnetically induced reflection in complementary terahertz graphene metamaterial. Opt. Commun. 2018, 407, 386–391. [Google Scholar] [CrossRef]
- Liu, B.; Liao, Y.C.; Hu, J.F.; Liu, J.; He, X.D.; Chen, Z.P. Plasmon-induced reflection and its application for all-optical diode based on paralleled double-stub resonators. Appl. Phys. Express 2019, 12, 032011. [Google Scholar] [CrossRef]
- Noual, A.; Amrani, M.; El Boudouti, E.H.; Pennec, Y.; Djafari-Rouhani, B. Terahertz multi-plasmon induced reflection and transmission and sensor devices in a graphene-based coupled nanoribbons resonators. Opt. Commun. 2019, 440, 1–13. [Google Scholar] [CrossRef]
- Janfaza, M.; Mansouri-Birjandi, M.A.; Tavousi, A. Tunable plasmon-induced reflection based on graphene nanoribbon Fabry-Perot resonator and nanodisks. Opt. Mater. 2018, 84, 675–680. [Google Scholar] [CrossRef]
- Yang, Y.; Li, J.; Li, J.; Huang, J.; Zhang, Y.; Liang, L.; Yao, J. Plasmon-induced reflection metasurface with dual-mode modulation for multi-functional THz devices. Opt. Lasers Eng. 2020, 127, 105969. [Google Scholar] [CrossRef]
- Falkovsky, L.A. Optical properties of graphene. J. Phys. Conf. Ser. 2008, 129, 012004. [Google Scholar] [CrossRef]
- Mikhailov, S.A.; Ziegler, K. New electromagnetic mode in graphene. Phys. Rev. Lett. 2007, 99, 016803. [Google Scholar] [CrossRef] [Green Version]
- Zhu, L.; Dong, L.; Guo, J.; Meng, F.Y.; Wu, Q. Tunable electromagnetically induced transparency in hybrid graphene/all-dielectric metamaterial. Appl. Phys. A 2017, 123, 192. [Google Scholar] [CrossRef]
- Yang, D.; Shen, Z.; Xia, Y. Design of a bi-functional metamaterial with broadband electromagnetically induced transparency and transmission-type polarization conversion. Appl. Phys. B 2021, 127, 87. [Google Scholar] [CrossRef]
- Chu, Q.; Song, Z.; Liu, Q.H. Omnidirectional tunable terahertz analog of electromagnetically induced transparency realized by isotropic vanadium dioxide metasurfaces. Appl. Phys. Express 2018, 11, 082203. [Google Scholar] [CrossRef]
- Jia, Z.; Huang, L.; Su, J.; Tang, B. Tunable Electromagnetically Induced Transparency-Like in Graphene metasurfaces and its Application as a Refractive Index Sensor. J. Lightwave Technol. 2021, 395, 1544. [Google Scholar] [CrossRef]
- Sarkar, R.; Devi, K.M.; Ghindani, D.; Prabhu, S.S.; Chowdhury, D.R.; Kumar, G. Polarization independent double-band electromagnetically induced transparency effect in terahertz metamaterials. J. Opt. 2020, 22, 035105. [Google Scholar] [CrossRef]
- Sun, R.; Li, W.; Meng, T.; Zhao, G. Design and optimization of terahertz metamaterial sensor with high sensing performance. Opt. Commun. 2021, 494, 127051. [Google Scholar] [CrossRef]











Publisher’s Note: MDPI stays neutral with regard to jurisdictional claims in published maps and institutional affiliations. |
© 2021 by the authors. Licensee MDPI, Basel, Switzerland. This article is an open access article distributed under the terms and conditions of the Creative Commons Attribution (CC BY) license (https://creativecommons.org/licenses/by/4.0/).
Share and Cite
Huang, W.; He, N.; Ning, R.; Chen, Z. Wideband Reflector and Analogue Electromagnetically Induced Reflection in Metamaterials. Crystals 2021, 11, 985. https://doi.org/10.3390/cryst11080985
Huang W, He N, Ning R, Chen Z. Wideband Reflector and Analogue Electromagnetically Induced Reflection in Metamaterials. Crystals. 2021; 11(8):985. https://doi.org/10.3390/cryst11080985
Chicago/Turabian StyleHuang, Wei, Ningye He, Renxia Ning, and Zhenhai Chen. 2021. "Wideband Reflector and Analogue Electromagnetically Induced Reflection in Metamaterials" Crystals 11, no. 8: 985. https://doi.org/10.3390/cryst11080985
APA StyleHuang, W., He, N., Ning, R., & Chen, Z. (2021). Wideband Reflector and Analogue Electromagnetically Induced Reflection in Metamaterials. Crystals, 11(8), 985. https://doi.org/10.3390/cryst11080985
