Abstract
Intra and intermolecular interactions found in the developed crystals of the synthesized py-ron-2,4-dione derivatives play crucial rules in the molecular conformations and crystal stabili-ties, respectively. In this regard, Hirshfeld calculations were used to quantitatively analyze the different intermolecular interactions in the crystal structures of some functionalized py-ran-2,4-dione derivatives. The X-ray structure of pyran-2,4-dione derivative namely (3E,3′E)-3,3′-((ethane-1,2-diylbis(azanediyl))bis(phenylmethanylylidene))bis(6-phenyl-2H-pyran-2,4(3H)-dione) was determined. It crystallized in the monoclinic crystal system and C2/c space group with unit cell parameters: a = 14.0869(4) Å, b = 20.9041(5) Å, c = 10.1444(2) Å and β = 99.687(2)°. Generally, the H…H, H…C, O…H and C…C contacts are the most important interactions in the molecular packing of the studied pyran-2,4-diones. The molecular structure of these compounds is stabilized by intramolecular O…H hydrogen bond. The nature and strength of the O…H hy-drogen bonds were analyzed using atoms in molecules calculations. In all compounds, the O…H hydrogen bond belongs to closed-shell interactions where the interaction energies are higher at the optimized geometry than the X-ray one due to the shortening in the A…H distance as a con-sequence of the geometry optimization. These compounds have polar characters with different charged regions which explored using molecular electrostatic potential map. Their natural charges, reactivity descriptors and NMR chemical shifts were computed, discussed and compared.
1. Introduction
Heterocyclic molecules have ester oxygen functionality for example pyranones which are widely distributed in nature [1,2]. Medicinal chemistry and synthetic organic chemistry have been explored these interesting building block and versatile precursor for many divergent-targeted synthesis [3]. These active pharmacophores based on pyranones have been exploited in many pharmacologically relevant behaviors such as antitumor [4,5], anticonvulsants [6], HIV protease inhibitors [7], anti-microbial [8], antifungal [6] and plant growth regulators [7,9].
Many examples have been discovered and isolated from nature incorporating these pyranones such as Bufalin (utilized for treatment complication disordered linked with central nervous systems and others like rheumatism, and inflammations) [10]; Pectinatone (marine natural products possessed cytotoxic, antibacterial activities) [11]; Pentylpyran-2-one possessed antibiotic potency [12]; Griseulin (shown mosquitocidal and nematocidal efficacy) [13,14]. Pyranone-based molecules have been gain of attention in the chemical research community due to pharmacological significance and their fascinating chemical structure in synthetic drug compounds as well as naturally occurring. In literature, recently the synthesis of pyranone-cored compounds have been achieved via metal-catalyzed synthetic methods [15,16], and microwave aided organic synthesis [17].
Intermolecular interactions play crucial rule in the molecular packing in the crystal structure [18]. It was believed that, little changes in the structure of compound affect the crystal structure significantly although the absence of clear relationship among them. Molecules in the crystal tend to arrange themselves in order to maximize the intermolecular interactions among them [18,19,20,21]. This molecular packing is controlled by many directional forces such as coordination interactions, hydrogen bonding, π-π stacking, C-H…π interactions and others [22,23,24,25,26,27,28]. Hirshfeld topology analysis is considered very important tool used to determine and quantify the intermolecular interactions in the crystal [29]. In addition, atoms in molecules (AIM) theory and the related topological parameters [30,31,32] are important for analyzing the nature and strength of intermolecular interactions specially the hydrogen bonding interactions.
In the light of our interest with the pyran-2,4-dione, this work aimed to shed the light on the molecular and supramolecular structural aspects of selected set of pyran-2,4-dione (Figure 1) based on X-ray single crystal structure determinations and Hirshfeld calculations, respectively. In addition, conformational analysis was performed in order to show the most stable structure. Atoms in molecules (AIM) study was used to explore the nature and strength of the intramolecular hydrogen bond occurred in the structure of the studied pyran-2,4-dione.
Figure 1.
The structure of pyran-2,4-dione 1–6 employed in this study.
2. Materials and Methods
2.1. Synthesis
The synthesis of the studied compounds were reported in our previous published article [17]. The single crystals were grown in EtOAc: Hexane at room temperature.
2.2. X-ray Single Crystal Determination
X-ray single crystal determination details of compound 1 are provided in supplementary information.
2.3. Computational Methods
“All DFT calculations were performed using Gaussian 09 software package [33,34] utilizing B3LYP/6-31G(d,p) method. Natural bond orbital analyses were performed using NBO 3.1 program as implemented in the Gaussian 09W package [35]. The self-consistent reaction filed (SCRF) method [36,37] was used to model the solvent effects when calculated the optimized geometries in solution. Then the NMR chemical shifts for the protons and carbons were computed using GIAO method in the same solvent [38]. In addition, the atoms in molecules (AIM) parameters were calculated with the aid of Multiwfn [39] program”.
3. Results and Discussion
3.1. Crystal Structure Description of (3E,3′E)-3,3′-((ethane-1,2-diylbis(azanediyl))bis(phenylmethanylylidene))bis(6-phenyl-2H-pyran-2,4(3H)-dione) 1
The crystallographic measurement for compound 1 was performed using was collected on a Rigaku Oxford Diffraction Supernova diffractometer using Cu Kα radiation (see supplementary information). The topology analyses were performed using Crystal Explorer 17.5 program [40]. The crystallographic details are summarized in Table S1 (Supplementary data).
The X-ray structure of 1 is shown in Figure 2 while the experimental bond distances and angles are listed in Table S2 (Supplementary data). The compound crystallized in monoclinic crystal system and centrosymmetric C2/c space group with lattice parameters: a = 14.0869(4) Å, b = 20.9041(5) Å, c = 10.1444(2), β = 99.687(2)°. The molecule itself possesses a center of symmetry located at the midpoint of the C19-C19 bond splitting the molecule to two equal halves. The two phenyl rings bonded to C12 showed cis configuration to one another where such sterically hindered conformation is stabilized by the strong intramolecular N1-H1…O1 hydrogen bonding interactions with a distance of 1.820(2) Å, resulting in a very stable S(6) ring motif (Figure 3, upper part). The C12-N1 bond distance is found to be 1.324(2) Å, which confirm the single bond character this bond and further revealed the location of the proton H1 at the N1 atomic site rather than O1.
Figure 2.
Structure of compound 1 with atom numbering drawn using 30% probability level for thermal ellipsoids.
Figure 3.
Hydrogen bond contacts (upper) and molecular packing (lower) via hydrogen bonding interactions for 1.
The molecular units in the crystal lattice are packed by two intermolecular hydrogen bonding interactions shown as red dotted lines in Figure 3 (upper part). The corresponding hydrogen bond parameters are listed in Table 1. The packed molecules via the N1-H1…O1 and C4-H4…O2 hydrogen bonding interactions with donor-acceptor distances of 2.991(2) and 3.134(2) Å, respectively are shown in Figure 3 (lower part).
Table 1.
Hydrogen bond parameters (Å and °) for 1.
In addition, the molecules are packed by other contacts such as π-π stacking interactions between the pyran-dione moiety from one molecule with another pyran-dione and phenyl moieties from neighboring molecular units (Figure 4; upper part). The corresponding shortest C…C distances are C9…C9 (3.340 Å) and C2…C8 (3.351 Å), respectively. Another type of contacts which affect the molecular packing is the C-H…π interactions (Table 2). The upper part of Figure 4 shows the molecular packing in the crystal structure via these short C…C and C-H…π contacts.
Figure 4.
Other H…C and C…C contacts (upper) and molecular packing (lower) via these interact Table 1.
Table 2.
Other important contacts and the corresponding interaction distances (Å) for 1.
3.2. Analysis of Molecular Packing
Intermolecular interactions in the solid state structure play very important rule in the crystal stability. In this regard, we employed Hirshfeld surface analysis for decomposing the different intermolecular contacts in the crystal structure the studied systems. The results of the quantitative analysis of all possible intermolecular interactions are shown in Figure 5 while the complete Hirshfeld surfaces are given in Figures S1–S6 (Supplementary data).
Figure 5.
Summary of the intermolecular interactions and their percentages in the crystal structure of the studied compounds. For contact percentages see Table 3.
In the newly presented structure, the molecules are arranged in the crystal via H…H (41.8%), H…C (27.8%), O…H (24.4%) and C…C (3.1%) short contacts. Presentation of the decomposed dnorm maps and fingerprint plots for these interactions are shown in Figure 6 while list of the most important short contacts are listed in Table 4.
Figure 6.
Decomposed fingerprint plots and dnorm Hirshfeld surfaces of the most abundant interactions in 1.
Table 4.
The most important intermolecular contacts based on Hirshfeld calculations in the studied systems a.
The shortest O…H contacts are O2…H4, O1…H1 and O1…H19B with contact distances of 2.390, 2.222 and 2.559 Å, respectively. Interestingly, the molecular packing is also controlled by some C-H…π interactions with interaction distances ranging from 2.647 to 2.729 Å. In addition, some π-π stacking interactions were noted with interaction distances of 3.340 Å (C9…C9) and 3.351Å (C2…C8). These short interactions appeared as red regions in the dnorm map with the characteristic features for the short contacts in the fingerprint plot. In contrast, the H…H contacts contributed significantly in the crystal packing by 41.8% from the whole fingerprint area but these interactions have larger distances than the VDWs radii sum of two hydrogen atoms. Similarly, the O…O, C…O and C…N contacts have long interactions distances and small contribution in the fingerprint area.
For compound 2, the molecular packing is controlled by short O…H (21.4%), H…C (26.5%) and C…O (1.6%) contacts in addition to the slightly long C…C (5.1%) interactions (Figure 7). The shortest contact distances are 2.145 (O3…H2), 2.631 (H20…C8), 3.086 Å (C19…O3) and 3.425 Å (C5…C10), respectively. The latter is longer than the VDWs radii sum of two carbon atoms. The H…H interactions contributed significantly in the molecular packing by 45.0% from the whole fingerprint area. Other intermolecular interactions are shown in Figure 5 such as N…H interactions are less important.
Figure 7.
Decomposed fingerprint plots and dnorm Hirshfeld surfaces of the most abundant interactions in 2.
Similar to 1, the packing in compound 3 is controlled by short O…H (19.1%), H…C (20.2%) and C…C (9.7%) contacts in addition to the common H…H contacts (44.3%) which are found in all compounds presented in this publication (Figure 8). The H1…C15 (2.712 Å), O2…H2A (1.885 Å) and C2…C5 (3.516 Å) are the shortest. The H…H interactions are generally long and appeared weak so have less importance in the molecular packing of this molecule in the crystal.
Figure 8.
Decomposed fingerprint plots and dnorm Hirshfeld surfaces of the most abundant interactions in 3.
In case of compound 4, the percentages of the O…H, H…C, H…H and C…C contacts are 18.2, 21.0, 4.4 and 54.4%, respectively using Hirshfeld calculations. All appeared significant with interaction distances shorter than the VDWs radii sum of the two atoms included in these interactions except the H…H contacts which are slightly longer than the sum of the VDWs radii of two hydrogen atoms (Figure 9). The shortest interaction distances are O2…H17 (2.431 Å), H22A…C17 (2.623 Å), H16…H22A (2.44 Å) and C2…C10 (3.252 Å), respectively.
Figure 9.
Decomposed fingerprint plots and dnorm Hirshfeld surfaces of the most abundant interactions in 4.
In case of compound 5, there are two different molecules per asymmetric unit hence the Hirshfeld surface and fingerprint plots shown in Figure 10 are presented for the two molecular units in the crystal. The contacts in both molecules are common in both molecular units but showed some differences (Table 3). The H…H, H…C, O…H and C…C contacts in the crystal of 5 (without letter B in atom label) are in the range of 53.0, 23.8, 18.7 and 1.0, respectively. The corresponding values in 5B (with letter B in atom label) are 53.4, 20.7, 18.3 and 5.8%, respectively. The interactions distances of the different short contacts are listed in Table 4. The H…C interactions are in the range of 1.986 Å (H17…H20C) to 2.768 Å (H4…C17B) while for O…H contacts, the interactions ranges from 2.280 Å (O1B…H1N) to 2.603 Å (O1…H20C). Two short C…C contacts were detected which are C2B…C10B (3.326 Å) and C11B…C2B (3.390 Å) in this compound.
Figure 10.
Decomposed fingerprint plots and dnorm Hirshfeld surfaces of the most abundant interactions for both units in 5. 5 and 5B refer to the atom numbering of molecular units in CIF.
Table 3.
The contact percentages in the crystal structure of the studied compounds.
The X-ray structure of 6 comprised twelve molecular units as symmetric unit as shown in the Hirshfeld dnorm maps presented in Figure 11. Details regarding all intermolecular interactions and their percentages for the different molecular units are listed in Table 5. The H…C, H…H and O…H as well as the C…C contacts are the major contacts in the crystal. These contacts are common for all molecular units but differently contributed in the molecular packing. For example the H…C contacts are the minimum (21.4%) in unit 6F while the maximum (23.4%) in 6D. Also, the minimum O…H contacts occurred in unit 6C (22.4%) while it is the maximum in 6I (25.2%). Decomposed fingerprint plots and dnorm Hirshfeld surfaces of the most abundant interactions for one molecular unit are presented in Figure 12.
Figure 11.
Hirshfeld dnorm surfaces of the twelve molecular units per asymmetric unit of 6.
Table 5.
All contacts and their percentages for the twelve molecular units in the crystal structure of 6 a.
Figure 12.
Decomposed fingerprint plots and dnorm Hirshfeld surfaces of the most abundant interactions for 6K.
3.3. DFT Studies
The optimized geometries of the studied molecules are shown in Figure 13 along with their overlay with the experimental ones. Generally, there is good structure matching between the optimized and experimental ones. Some variations between the calculated and experimental structures could be attributed to the crystal packing effects (Tables S3–S8, Supplementary data). Generally, good correlations between the calculated and experimental bond distances and angles (Figure 14) were obtained.
Figure 13.
The optimized geometry (left) and overlay of the optimized with experimental structures, (right) for the studied molecules.
Figure 14.
The straight line correlations between the calculated and experimental geometric parameters. Detailed geometric parameters (bond distances and angles are listed in Tables S3–S8, Supplementary data).
Natural charge calculations at the different atomic sites are calculated using NBO method and the results are given in Table S9 (Supplementary data). The pyran-2,4-dione derivatives have electronegative heterocyclic oxygen atom with natural charge ranging from −0.524 e for compound 2 to −0.530 e for compound 6. The two carbonyl oxygen atoms have also negative charge ranging from −0.563 (compound 1) to −0.582 (compound 4) for the carbonyl group at 2-position while ranging from −0.641 e (Compound 4) to −0.649 (compound 4) for the carbonyl group at 4-position. The majority of carbon atoms are also electronegative except those attached to O or N sites. In contrast, all hydrogen atoms are positively charged with maximum natural charges at the OH and NH protons. The natural charges at these hydrogen sites is the maximum for the NH proton in compound 3 (0.462 e) while the least for the OH proton in compound 1 (0.494 e). Due to the presence of differently charged regions, the studied molecules have polar nature with dipole moment ranging from 0.1786 Debye for compound 1 to 3.4590 Debye for compound 6. Presentation of the total electron density mapped with molecular electrostatic potential for the studied molecules showing the positively charge regions in blue colored area while the most negative regions have red color is shown in Figure 15.
Figure 15.
The MEP, HOMO and LUMO of the studied molecules. In MEP the red and blue colors indicate the most negative and most positive regions, respectively.
In the same figure, the HOMO and LUMO levels for the studied pyran-2,4-dione are presented. Both molecular orbitals (MOs) are distributed over the π-system of the studied molecules indicating HOMO→LUMO excitaion based mainly on π-π* excitation (Figure 15). In addition, the energies of these MOs are used to calculate the different reactivity descriptors [41,42,43,44,45,46,47] such as ionization potential (I), electron affinity (A), hardness (η), electrophilicity index (ω) and chemical potential (μ). The results listed in Table 6 indicated that 6 has the highest ionization potential, electron affinity, electronegativity and electrophilicity index while the lowest chemical potential. In addition, compound 5 is the hardest among the studied series.
Table 6.
Reactivity descriptors for the studied systems.
3.4. NMR Spectra
The NMR chemical shifts for the protons and carbons were computed using GIAO method and applying the solvent model. The results of the proton and carbon chemical shifts were collected in Tables S10–S15 (Supplementary data). Correlations between the experimental [17] and calculated results are shown in Figure 16. As clearly seen from these correlation graphs, there are good correlations between the calculated and experimental data where the correlation coefficients are very close to 1.


Figure 16.
Correlations between the experimental and calculated chemical shifts for the studied compounds. 1–6 are described in Figure 1.
3.5. Conformational Analysis
The presence of more than one possible conformer or tautmer is common in literature in many organic systems [48,49]. The X-ray of the pyran-2,4-dione derivatives revealed that their molecular structures stabilized by intramolecular O-H…O or N-H…O hydrogen bonding interactions. In these structures there are two possible isomers for each compound as shown in Figure 17. Energy and thermodynamic calculations of the two suggested isomers of the studied pyran-2,4-diones were used in order to compare their relative stabilities. The calculations revealed that form A is the most stable form and has the lowest energy compared to B (Table S16). Also, the more negative value of the Gibbs free energy of isomer A compared to B indicated that the former is the most stable thermodynamically. Interestingly, the optimization of 15(B) ended to the same optimized geometry of 15(A) which further confirm the extrastability of the pyran-2,4-dione (A) form over the pyran-2-one isomer (B) which agree with the reported X-ray structure of these compounds [17].
Figure 17.
The suggested isomers of the studied pyran-2,4-dione.
3.6. AIM Study
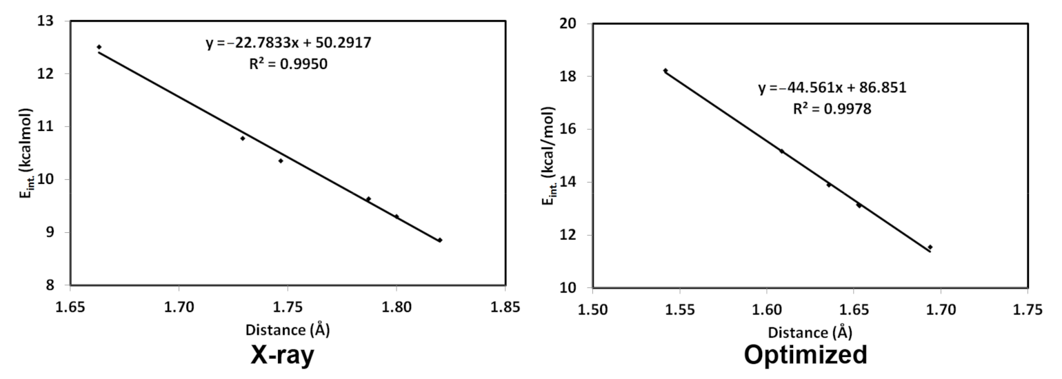
Atoms in molecules theory (AIM) [19,50] is a popular approach used for describing various inter- and intramolecular interactions efficiently. The AIM topological parameters such as electron density (ρ(r)), kinetic energy density G(r), potential energy density V(r) and total electron energy density (H(r) = V(r) + G(r),) at the bond critical point (BCP) of interaction atoms or fragments [51,52,53] are important for describing the nature and strength of interaction. Generally, the shared interactions have ρ(r) should be ˃10−1 a.u. while closed-shell interactions have ρ(r) ≈ 10−2. Hence, ρ(r) is a measure for the degree of covalency in the intermolecular interactions [21]. In addition, Espinosa [54] interaction energy (Eint = 1/2 (VBCP)) is a measure of the strength of intermolecular interactions.
The molecular structures of all systems under investigation are stabilized by intramolecular O…H hydrogen bond. All intramolecular O…H hydrogen bonds have ρ(r) less than 0.1 a.u. which is typical for closed-shell interactions [55,56,57]. As shown in Table 7, the values of electron density (ρ(r)) of bond critical points are in the range 0.0345–0.0492 a.u. and 0.0228–0.0639 at the X-ray and optimized structure, respectively. The H-bonding interaction energies (Eint) are generally higher at the optimized geometry than the X-ray one which is attributed to the further relaxation of the donor-hydrogen distance which of course lead to shortening the acceptor (A)…hydrogen (H) distances. The correlation between A…H distances and Eint gave straight lines with high correlation coefficient (R2 = 0.95–0.998) with negative slope indicating higher Eint for shorter A…H distance (Figure 18).
Table 7.
The AIM results for the intramolecular O…H hydrogen bond in the studied compounds.
Figure 18.
Inverse correlations between Eint and A…H distance.
In addition, the total energy density (H(r)) [58] and |V(r)|/G(r) ratio [59] are positive and less than 1 for closed-shell interactions while the opposite is true for covalent interactions. The results shown in Table 7 shed the light on the little covalent character for the studied intramolecular hydrogen bonding interactions.
4. Conclusions
X-ray crystal structure of pyran-2,4-dione derivative 1 was unambiguously confirmed. Its supramolecular structure was compared with a series of pyran-2,4-dione derivatives using Hirshfeld calculations. Different intermolecular interactions such as H…H, H…C, O…H and C…C contacts are of high importance in the molecular packing of the studied pyran-2,4-dione derivatives. DFT calculation revealed that the 2,4-dione isomers are the most stable in accord with the X-ray structure. The molecular structure of these compounds are stabilized by intramolecular O…H hydrogen bond which belong to closed-shell interactions according to AIM calculations where the hydrogen bonding interaction energies are generally higher at the optimized geometry than the X-ray one. Excellent correlations were obtained between A…H distances and Eint. At the molecular level, all compound are polar molecules with dipole moment ranging from 0.1786 to 3.4590 Debye for compounds 1 and 6, respectively. In addition, the calculated NMR chemical shifts showed good correlation with the experimental data.
Supplementary Materials
The following are available online at https://www.mdpi.com/article/10.3390/cryst11080896/s1, X-ray single crystal determination of 1; Figure S1 Hirshfeld surfaces of 1; Figure S2 Hirshfeld surfaces of 2; Figure S3 Hirshfeld surfaces of 3; Figure S4 Hirshfeld surfaces of 4; Figure S5 Hirshfeld surfaces of 5; Figure S6 Hirshfeld surfaces for one molecular unit of 6; Table S1 Crystal data and structure refinement for 1; Table S2 Bond lengths (Å) and angles (°) for 1; Table S3 The calculated geometric parameters of 1;Table S4 The calculated geometric parameters of 2; Table S5 The calculated geometric parameters of 3; Table S6 The calculated geometric parameters of 4; Table S7 The calculated geometric parameters of 5; Table S8 The calculated geometric parameters of 6; Table S9 Natural charges (NC) at the different atomic sites in the studied molecules; Table S10 The calculated and experimental NMR chemical shifts of 1; Table S11 The calculated and experimental NMR chemical shifts of 2; Table S12 The calculated and experimental NMR chemical shifts of 3; Table S13 The calculated and experimental NMR chemical shifts of 4; Table S14 The calculated and experimental NMR chemical shifts of 5; Table S15 The calculated and experimental NMR chemical shifts of 6; Table S16 Calculated energies and thermodynamic parameters for the suggested isomers of the studied pyran-2,4-dione a.
Author Contributions
Conceptualization, A.T.A.B., S.M.S. and A.B.; synthesis and characterization, A.T.A.B. and A.A.M.S.; X-ray crystal structure carried out by: M.H.; writing original manuscript, A.T.A.B., S.M.S. and A.B.; revision and editing, A.T.A.B., S.M.S. and A.B. All authors have read and agreed to the published version of the manuscript.
Funding
Researchers Supporting Project (RSP-2021/64), King Saud University, Riyadh, Saudi Arabia.
Acknowledgments
The authors would like to extend their sincere appreciation to the Researchers Supporting Project (RSP-2021/64), King Saud University, Riyadh, Saudi Arabia.
Conflicts of Interest
The authors declare no conflict of interest.
References
- Rateb, M.E.; Ebel, R. Secondary metabolites of fungi from marine habitats. Nat. Prod. Rep. 2011, 28, 290–344. [Google Scholar] [CrossRef] [PubMed]
- Lee, I.-K.; Yun, B.-S. Styrylpyrone-class compounds from medicinal fungi Phelli- nus and inonotus spp., and their medicinal importance. J. Antibiot. 2011, 64, 349–359. [Google Scholar] [CrossRef]
- Lee, J.S. Recent Advances in the Synthesis of 2-Pyrones. Mar. Drugs 2015, 13, 1581–1620. [Google Scholar] [CrossRef] [PubMed] [Green Version]
- Boger, D.L.; Mullican, M.D. Regiospecific total synthesis of juncusol. J. Org. Chem. 1984, 49, 4045–4050. [Google Scholar] [CrossRef]
- Rabideau, P.W.; Harvey, R.G. Metal-ammonia reduction. VII. Stereospecific re- duction in the phenanthrene series. J. Org. Chem. 1970, 35, 25–30. [Google Scholar] [CrossRef]
- Kelly, T.R.; Li, Q.; Bhushan, V. Intramolecular biaryl coupling: Asymmetric syn- thesis of the chiral B-ring diol unit of pra-dimicinone. Tetrahedron Lett. 1990, 31, 161–164. [Google Scholar] [CrossRef]
- Fisch, M.; Flick, B.H.; Arditti, J. Structure and antifungal activity of hircinol, loroglossol and orchinol. Phytochemistry 1973, 12, 437–441. [Google Scholar] [CrossRef] [Green Version]
- Goel, A.; Ram, V.J. Natural and synthetic 2H-pyran-2-ones and their versatility in organic synthesis. Tetrahedron 2009, 65, 7865–7913. [Google Scholar] [CrossRef]
- Tsuchiya, K.; Kobayashi, S.; Nishikiori, T.; Nakagawa, T.; Tatsuta, K. NK10958P, a novel plant growth regulator produced by Streptomyces sp. J. Antibiot. 1997, 50, 259–260. [Google Scholar] [CrossRef] [Green Version]
- Costa, S.S.; Jossang, A.; Bodo, B. 4’’’’-Acetylsagittatin A, a kaempferol triglycoside from Kalanchoe streptantha. J. Nat. Prod. 1996, 59, 327–329. [Google Scholar] [CrossRef]
- Birkbeck, A.A.; Enders, D. The total synthesis of (+)-pectinatone: An iterative alkylation approach based on the SAMP-hydrazone method. Tetrahedron Lett. 1998, 39, 7823–7826. [Google Scholar] [CrossRef]
- Parker, S.R.; Cutler, H.G.; Jacyno, J.M.; Hill, R.A. Biological Activity of 6-Pentyl-2H-pyran-2-one and Its Analogs. J. Agric. Food Chem. 1997, 45, 2774–2776. [Google Scholar] [CrossRef]
- Nair, M.G.; Chandra, A.; Thorogood, D.L. Griseulin, a new nitro-containing bioactive metabolite produced by Streptomyces spp. J. Antibiot. 1993, 46, 1762–1763. [Google Scholar] [CrossRef] [Green Version]
- Ishibashi, Y.; Nishiyama, S.; Yamamura, S. Structural revision of griseulin, a bioactive pyrone possessing a nitrophenyl unit. Chem. Lett. 1994, 23, 1747–1748. [Google Scholar] [CrossRef]
- Xue, F.; Li, X.; Wan, B. A Class of Benzene Backbone-Based Olefin–Sulfoxide Ligands for Rh-Catalyzed Enantioselective Addition of Arylboronic Acids to Enones. J. Org. Chem. 2011, 76, 7256–7262. [Google Scholar] [CrossRef]
- Gianni, J.; Pirovano, V.; Abbiati, G. Silver triflate/p-TSA co-catalysed synthesis of 3-substituted isocoumarins from 2-alkynylbenzoates. Org. Biomol. Chem. 2018, 16, 3213–3219. [Google Scholar] [CrossRef] [Green Version]
- Sarhan, A.A.; Haukka, M.; Barakat, A.; Boraei, A.T. A novel synthetic approach to pyran-2,4-dione scaffold production: Mi-crowave-assisted dimerization, cyclization, and expeditious regioselective conversion into β-enamino-pyran-2, 4-diones. Tetrahedron Lett. 2020, 61, 152660. [Google Scholar] [CrossRef]
- Desiraju, G.R.; Steiner, T. The Weak Hydrogen Bond in Structural Chemistry and Biology; Oxford University Press: Oxford, UK, 1999. [Google Scholar] [CrossRef] [Green Version]
- Bader, R.F.W. Atoms in Molecules: A Quantum Theory; Oxford University Press: Oxford, UK, 1990. [Google Scholar]
- Bader, R.F.W. A Bond Path: A Universal Indicator of Bonded Interactions. J. Phys. Chem. A 1998, 102, 7314–7323. [Google Scholar] [CrossRef]
- Parthasarathi, R.; Subramanian, V.; Sathyamurthy, N. Hydrogen Bonding without Borders: An Atoms-in-Molecules Per-spective. J. Phys. Chem. A 2006, 110, 3349–3351. [Google Scholar] [CrossRef]
- Rosi, N.L.; Eckert, J.; Eddaoudi, M.; Vodak, D.T.; Kim, J.; O’Keeffe, M.; Yaghi, O.M. Hydrogen storage in microporous met-al-organic frameworks. Science 2003, 300, 1127–1129. [Google Scholar] [CrossRef] [PubMed] [Green Version]
- Lazare, J.; Daggag, D.; Dinadayalane, T. DFT study on binding of single and double methane with aromatic hydrocarbons and graphene: Stabilizing CH…HC interactions between two methane molecules. Struct. Chem. 2021, 32, 591–605. [Google Scholar] [CrossRef]
- Daggag, D.; Dorlus, T.; Dinadayalane, T. Binding of histidine and proline with graphene: DFT study. Chem. Phys. Lett. 2019, 730, 147–152. [Google Scholar] [CrossRef]
- Deng, J.-H.; Luo, J.; Mao, Y.-L.; Lai, S.; Gong, Y.-N.; Zhong, D.-C.; Lu, T.-B. π-π stacking interactions: Non-negligible forces for stabilizing porous supramolecular frameworks. Sci. Adv. 2020, 6, eaax9976. [Google Scholar] [CrossRef] [Green Version]
- Vušurović, J.; Breuker, K. Relative Strength of Noncovalent Interactions and Covalent Backbone Bonds in Gaseous RNA–Peptide Complexes. Anal. Chem. 2018, 91, 1659–1664. [Google Scholar] [CrossRef]
- Daggag, D.; Lazare, J.; Dinadayalane, T. Conformation dependence of tyrosine binding on the surface of graphene: Bent pre-fers over parallel orientation. App. Surf. Sci. 2019, 483, 178–186. [Google Scholar] [CrossRef]
- Varadwaj, P.R.; Varadwaj, A.; Marques, H.M.; Yamashita, K. Significance of hydrogen bonding and other noncovalent interactions in determining octahedral tilting in the CH3NH3PbI3 hybrid organic-inorganic halide perovskite solar cell semi-conductor. Sci. Rep. 2019, 9, 50. [Google Scholar] [CrossRef] [Green Version]
- Moulton, B.; Zaworotko, M.J. From molecules to crystal Engineering: Supramolecular isomerism and polymorphism in net-work solids. Chem. Rev. 2001, 101, 1629–1658. [Google Scholar] [CrossRef]
- Yang, H.-B.; Das, N.; Huang, F.; Hawkridge, A.M.; Muddiman, D.C.; Stang, P.J. Molecular Architecture via Coordination: Self-Assembly of Nanoscale Hexagonal Metallodendrimers with Designed Building Blocks. J. Am. Chem. Soc. 2006, 128, 10014–10015. [Google Scholar] [CrossRef] [PubMed]
- Desiraju, G.R. The C-H…O hydrogen Bond: Structural implications and supramolecular design. Acc. Chem. Res. 1996, 29, 441–449. [Google Scholar] [CrossRef] [PubMed]
- McKinnon, J.J.; Jayatilaka, D.; Spackman, M.A. Towards quantitative analysis of intermolecular interactions with Hirshfeld surfaces. Chem. Commun. 2007, 37, 3814–3816. [Google Scholar] [CrossRef] [PubMed]
- Frisch, M.J.; Trucks, G.W.; Schlegel, H.B.; Scuseria, G.E.; Robb, M.A.; Cheeseman, J.R.; Scalmani, G.; Barone, V.; Mennucci, B.; Petersson, G.A.; et al. GAUSSIAN 09; Revision A02; Gaussian Inc.: Wallingford, CT, USA, 2009. [Google Scholar]
- Dennington, R., II; Keith, T.; Millam, J. (Eds.) GaussView; Version 4.1.; Semichem Inc.: Shawnee Mission, KS, USA, 2007.
- Reed, A.E.; Curtiss, L.A.; Weinhold, F. Intermolecular interactions from a natural bond orbital, donor-acceptor viewpoint. Chem. Rev. 1988, 88, 899–926. [Google Scholar] [CrossRef]
- Marten, B.; Kim, K.; Cortis, C.; Friesner, R.A.; Murphy, R.B.; Ringnalda, M.N.; Sitkoff, D.; Honig, B. New Model for Calculation of Solvation Free Energies: Correction of Self-Consistent Reaction Field Continuum Dielectric Theory for Short-Range Hydrogen-Bonding Effects. J. Phys. Chem. 1996, 100, 11775–11788. [Google Scholar] [CrossRef]
- Tannor, D.J.; Marten, B.; Murphy, R.; Friesner, R.A.; Sitkoff, D.; Nicholls, A.; Honig, B.; Ringnalda, M.; Iii, W.A.G. Accurate First Principles Calculation of Molecular Charge Distributions and Solvation Energies from Ab Initio Quantum Mechanics and Continuum Dielectric Theory. J. Am. Chem. Soc. 1994, 116, 11875–11882. [Google Scholar] [CrossRef]
- Cheeseman, J.R.; Trucks, G.W.; Keith, T.A.; Frisch, M.J. A comparison of models for calculating nuclear magnetic resonance shielding tensors. J. Chem. Phys. 1996, 104, 5497–5509. [Google Scholar] [CrossRef]
- Lu, T.; Chen, F. Multiwfn: A multifunctional wavefunction analyzer. J. Comput. Chem. 2012, 33, 580–592. [Google Scholar] [CrossRef]
- Turner, M.J.; McKinnon, J.J.; Wolff, S.K.; Grimwood, D.J.; Spackman, P.R.; Jayatilaka, D.; Spackman, M.A. Crystal Explorer 17; University of Western Australia, 2017. Available online: http://hirshfeldsurface.net (accessed on 12 June 2017).
- Foresman, J.B.; Frisch, A. Exploring Chemistry with Electronic Structure Methods, 2nd ed.; Gaussian: Pittsburgh, PA, USA, 1996. [Google Scholar]
- Chang, R. Chemistry, 7th ed.; McGraw-Hill: New York, NY, USA, 2001. [Google Scholar]
- Kosar, B.; Albayrak, C. Spectroscopic investigations and quantum chemical computational study of (E)-4-methoxy-2-[(p-tolylimino)methyl]phenol. Spectrochim. Acta Part A Mol. Biomol. Spectrosc. 2011, 78, 160–167. [Google Scholar] [CrossRef] [PubMed]
- Koopmans, T.A. Ordering of wave functions and eigenenergies to the individual electrons of an atom. Physica 1933, 1, 104–113. [Google Scholar] [CrossRef]
- Parr, R.G.; Yang, W. Density Functional Theory of Atoms and Molecules, 1st ed.; Oxford University Press: Oxford, UK, 1989. [Google Scholar]
- Parr, R.G.; Szentpály, L.V.; Liu, S. Electrophilicity Index. J. Am. Chem. Soc. 1999, 121, 1922–1924. [Google Scholar] [CrossRef]
- Singh, R.; Kumar, A.; Tiwari, R.; Rawat, P.; Gupta, V. A combined experimental and quantum chemical (DFT and AIM) study on molecular structure, spectroscopic properties, NBO and multiple interaction analysis in a novel ethyl 4-[2-(carbamoyl)hydrazinylidene]-3,5-dimethyl-1H-pyrrole-2-carboxylate and its dimer. J. Mol. Struct. 2013, 1035, 427–440. [Google Scholar] [CrossRef]
- Kwocz, A.; Kochel, A.; Chudoba, D.; Filarowski, A. Tautomeric design of ortho-hydroxyheterocyclic Schiff bases. J. Mol. Struct. 2015, 1080, 52–56. [Google Scholar] [CrossRef]
- Krasowska, M.; Kochel, A.; Filarowski, A. The conformational analysis of 2-hydroxyaryl Schiff thiosemicarbazones. Cryst. Eng. Comm. 2010, 12, 1955–1962. [Google Scholar] [CrossRef]
- Bader, R.F.W. Atoms in Molecules: A Quantum Theory, 2nd ed.; Oxford University Press: Oxford, UK, 1994. [Google Scholar]
- Carroll, M.T.; Chang, C.; Bader, R.F. Prediction of the structures of hydrogen-bonded complexes using the laplacian of the charge density. Mol. Phys. 1988, 63, 387–405. [Google Scholar] [CrossRef]
- Carrol, M.T.; Chang, C.; Bader, R.F.W. An analysis of the hydrogen bond in BASE-HF complexes using the theory of atoms in molecules. Mol. Phys. 1998, 65, 695–722. [Google Scholar] [CrossRef]
- Koch, U.; Popelier, P.L.A. Characterization of C-H-O Hydrogen Bonds on the Basis of the Charge Density. J. Phys. Chem. 1995, 99, 9747–9754. [Google Scholar] [CrossRef]
- Espinosa, E.; Molins, E.; Lecomte, C. Hydrogen bond strengths revealed by topological analyses of experimentally observed electron densities. Chem. Phys. Lett. 1998, 285, 170–173. [Google Scholar] [CrossRef]
- Bader, R.F.W.; Essen, H. The characterization of atomic interactions. J. Chem. Phys. 1984, 80, 1943–1960. [Google Scholar] [CrossRef]
- Popelier, P.L.A. Atoms in Molecules: An Introduction; Pearson Education Limited, Edinburgh Gate: Harlow, UK, 2000. [Google Scholar]
- Parthasarathi, R.; Subramanian, V.; Sathyamurthy, N. Hydrogen Bonding in Phenol, Water, and Phenol−Water Clusters. J. Phys. Chem. A 2005, 109, 843–850. [Google Scholar] [CrossRef]
- Rozas, I.; Alkorta, I.; Elguero, J. Behavior of Ylides Containing N, O, and C Atoms as Hydrogen Bond Acceptors. J. Am. Chem. Soc. 2000, 122, 11154–11161. [Google Scholar] [CrossRef]
- Espinosa, E.; Alkorta, I.; Elguero, J.; Molins, E. From weak to strong interactions: A comprehensive analysis of the topological and energetic properties of the electron density distribution involving X–H⋯F–Y systems. J. Chem. Phys. 2002, 117, 5529–5542. [Google Scholar] [CrossRef]
Publisher’s Note: MDPI stays neutral with regard to jurisdictional claims in published maps and institutional affiliations. |
© 2021 by the authors. Licensee MDPI, Basel, Switzerland. This article is an open access article distributed under the terms and conditions of the Creative Commons Attribution (CC BY) license (https://creativecommons.org/licenses/by/4.0/).



















