Abstract
Recently, the electrical conductive electrolyte based on flexible polymeric films have been attracted much attentions, due to their applications in batteries, thermoelectrics, temperature sensors and others. In this regard, two polymeric electrolytes (PVA/LiCl) and (PVA/AgNO3) films have been engineered and the influence of the dopants and the annealing temperature on the structural, morphology and ac and dc conductivities is extensively studied. It was found that the films crystallinity has the order PVA/AgNO3 (49.44%) > PVA (38.64%) > PVA/LiCl (26.82%). Additionally, the dc conductivity of the films is increased with embedding the dopants into the PVA as the order PVA/AgNO3 (13.7 × 10−4 S/cm) > PVA/LiCl (1.63 × 10−5 S/cm) > PVA (1.71 × 10−6 S/cm) at 110 °C. It is also found that there is a sharp increase for σac as the frequency increases up to 107 Hz and also as the temperature increases to 110 °C. However, the order of increasing the σac is PVA/LiCl (155 × 10−3 S/cm) > PVA/AgNO3 (2.5 × 10−5 S/cm) > PVA (2 × 10−6 S/cm) at f = 107 Hz and 110 °C. The values of exponent are 0.870, 0.405 and 0.750 for PVA, PVA/AgNO3 and PVA/LiCl, respectively, and it is increased as the temperature increases for PVA and PVA/LiCl, but it is decreased for PVA/AgNO3. The activation energies Ea are 0.84, 0.51 and 0.62 eV for PVA, PVA/AgNO3 and PVA/LiCl, respectively. Moreover, the values of activation energy for charge carrier migration Em are 0.60, 0.34 and 0.4 eV for PVA, PVA/AgNO3 and PVA/LiCl, respectively. By using a simple approximation, the carrier concentration, carrier mobility and carrier diffusivity are calculated, and their values are increased as the temperature increases for all samples, but they are higher for PVA/LiCl than that of PVA/AgNO3. These results are discussed in terms of some obtained parameters such as hopping frequency, free volume and chain mobility. Interestingly, the conduction mechanism was found to be the electronic charge hopping for PVA and PVA/LiCl films, however it was found to be the ionic charge diffusion (n < 0.5) for PVA/AgNO3 film. It has been predicted that these electrolytic films have a prospective applications in batteries design, temperature sensors, electronic and wearable apparatuses at an affordable cost.
1. Introduction
With the rapid progress in technology and electronic devices, the need for new materials with special features such as flexibility, light weight, cheap, eco-friendly, low density, good oxidation resistance, favorable mechanical strength and admirable electrical properties are very required []. In fact, the shortcomings have been reported by researchers and academic for the metals and alloys such as high density, low product yield, high cost product, weak corrosion resistance, low mechanical flexibility, low processing advantages, low aspect ratio and low floating time in the atmosphere leads to hindering its large scale applications. So, the introduction of polymeric materials based on nanocomposites as a solution for these shortcomings has a great attention from the scientific community []. Recently, the progress in light emitting diodes, photodiodes, thermoelectrics, temperature sensors and other technology needed to flexible, low density and high conductive materials which are applied as a piece of the devices or as a substrate []. So, various metals are dopped the polymeric materials in order to enhance its electrical properties for these purposes. In fact, PVA is considered the pioneer polymer when compared with the other polymers due to its excellent features and potential functional applications arising from its simple handling, environmental stability, cut-price, optical visibility and others [,,]. Indeed, most reported literatures prove that PVA was able to adjust its structure, electrical, optical and electronic features after being doped with diverse materials [,].
In fact, PVA polymer was doped with many materials either in micro and/or nano-scales in order to enhance its electrical features for many applications such as sensors, flexible electronic devices, dielectric medium photodegradation and dehumidification and adsorption thermal energy storage purposes [,]. For example, the structure (0.4 wt.% Ag/PVA) nanocomposite has been irradiated with gamma irradiation to improve its dc conductivity from 2.3 × 10−10 S/cm for PVA to 4.9 × 10−8 S/cm at 125 KGy []. Furthermore, recently, the PVA has been doped with carbon dot decorated zinc peroxide (10 wt.% CZnO2) to enhance the conductivity of PVA (10−11 S/cm) to 3 × 10−2 S/cm [].

Table 1.
Some previous reported works in enhancing the conductivity of PVA.
Table 1.
Some previous reported works in enhancing the conductivity of PVA.
Sample | σ(S/cm) | Fabrication Method | T (°C) | Refs. |
---|---|---|---|---|
PVA-sodium salicylate (50 wt.%) | ~5 × 10−6 | casting technique | R.T | [] |
PVA-H3PO4 (70 wt.%) | 1.67 × 10−3 | casting technique | R.T | [] |
(PVA)1−x(MgBr2)x/2(H3PO4)x/2 at x = 0.40 wt.% | 1.64 × 10−4 | casting technique | 20 | [] |
PAN–sodium dodecylsulfate/PVA | 1.10 × l0−7 | casting technique | R.T | [] |
PVA/Chitosan-LiCF3SO3 (45 wt.%) | 1.2 × 10−4 | casting technique | R.T | [] |
PANI-PVA films with aniline content (0.2 mL) | 6.8 × 10 −5 | casting technique | R.T | [] |
Table 1 summarizes some works in enhancing the electrical properties of PVA. In spite of the large numbers of works in improving the electrical features of PVA based composites, however the poor dispersion of fillers inside the polymeric template, the exact selection of fillers type, poor processability for obtaining conducting polymeric nanocomposites, the higher level of the dopants, the aggregation and agglomeration processes due to poor compatibility and weak interfacial interaction are still challenging problems for these materials which weaken the physical features and prevent their large scale production []. In addition, the fabrication approaches such as gamma and others have great shortcomings in its availability, dangerous, degrade the polymeric materials which can alters its structure []. Moreover, silver (Ag) was introduced to many amorphous or crystalline polymeric materials to improve its mechanical, optical and electrical properties thanks to its high optical and conducting performance []. In fact, the importance of silver metals is coming from its many functional applications such as bio-sensors, chemical and gas sensors, thermoelectrics, photodiodes and light emitting diodes [].
On the other hand, salts based on Li ions has recently attracted much attention due to its applications in Li ion batteries, capacitors, supercapacitors, electrodes, solid electrolyte, humidity sensors and electrochemical purposes [].
So, we introduce in this work two electrolytic films based on PVA/LiCl and PVA/AgNO3 with high flexibility, easy processability, fast fabrication and with promising electrical features. In fact, the PVA polymer was carefully chosen in this work due to its high flexibility, easy processability, capability of binding, adhesive property, good permeability, mechanical properties and good capping agent. The main cause for choosing the PVA polymer is due to it containing the functionalized (-OH) groups in its structure, which means it can be reactive under hot conditions and serves as a reducing agent. While AgNO3 particles were considerably chosen as a dopant due to its easy solubility in water, easy to interact with PVA (via -OH groups) and reduced to Ag atoms. Moreover, its high electrical conductivity that can be enhanced the electrical conductivity of the electrolyte films. Alternatively, the lithium chloride LiCl salt is used in this work due to its high dissociation which can interact with PVA and alters on its structure, morphology and its electrical properties. Furthermore, the high conductivity of Li ions is the main cause behind its selection.
Based on the above background, two polymeric electrolytes (PVA/LiCl) and (PVA/AgNO3) films have been investigated. A comparative study between the impact of the dopants and the annealing temperature on the structural, morphology and ac and dc conductivities are briefly introduced in this work. It was found that the films crystallinity has the order PVA/AgNO3 (49.44%) > PVA (38.64%) > PVA/LiCl (26.82%). Additionally, the dc conductivity of the films is increased with embedding the dopants into the PVA as the order PVA/AgNO3 (13.7 × 10−4 S/cm) > PVA/LiCl (1.63 × 10−5 S/cm) > PVA (1.71 × 10−6 S/cm) at 110 °C. It is also found that there is a sharp increase for σac as the frequency increases up to 107 Hz and also as the temperature increases to 110 °C. However, the order of increasing the σac is PVA/LiCl (155 × 10−3 S/cm) > PVA/AgNO3 (2.5 × 10−5 S/cm) > PVA (2 × 10−6 S/cm) at f = 107 Hz and 110 °C. The values of exponent are 0.870, 0.405 and 0.750 for PVA, PVA/AgNO3 and PVA/LiCl, respectively, and it is increased as the temperature. Interestingly, the conduction mechanism was found to be the electronic charge hopping for PVA and PVA/LiCl films, however it was found to be the ionic charge diffusion (n < 0.5) for PVA/AgNO3 film. The calculated dc conductivity is also increased by temperature for all samples and the activation energies Ea are 0.84, 0.51 and 0.62 eV for PVA, PVA/AgNO3 and PVA/LiCl, respectively. Additionally, the values of activation energy for charge carrier migration Em are 0.60, 0.34 and 0.4 eV for PVA, PVA/AgNO3 and PVA/LiCl, respectively. By using a simple approximation, the carrier concentration, carrier mobility and carrier diffusivity are calculated, and their values are increased as the temperature increases for all samples, but they are higher for PVA/LiCl than that of PVA/AgNO3. These results are discussed in terms of some obtained parameters such as hopping frequency, free volume and chain mobility. It has been predicted that these electrolytic films have prospective applications in batteries design, temperature sensors, electronic and wearable apparatuses at an affordable cost.
2. Experimental
2.1. Materials
Poly(vinyl alcohol), PVA, with average (M.wt 30,000–70,000 g/mol) and (87–90%) hydrolyzed, silver nitrate (AgNO3, 99.8%) and lithium chloride (LiCl) were purchased from Sigma Aldrich. Deionized (DI) water was used in this work with 18 MΩ.cm purification.
2.2. Fabrication of Flexible Electrolyte Polymer Film
Fixed weight of PVA (1 gm) and 100 mL of DI water (18.2 MΩ·cm) were used for the synthesis of each sample as follows [,,,,,,]. The DI water was heated first to 80 °C, and then PVA powder was added gradually while stirring. PVA solution left on stirrer for 15 min, until the polymer is completely dissolved. About 10 mg of AgNO3 and LiCl salts were dissolved separately in 5 mL of DI water and ultrasonicated for 5 min before addition to PVA solution under hot conditions. Each electrolyte solution was kept overnight on magnetic stirring at a temperature of 25 °C before purring them into a glass Petri dishes for film preparation. The films were left at room temperature to evaporate the water and then placed inside the oven at a temperature of 45 °C for 2 h and finally stored in a desiccator. The obtained three samples are arranged as S1 for PVA, S2 for PVA/AgNO3 and S3 for PVA/LiCl.
2.3. Experimental Techniques
The phase purity and structural morphology are performed by x-ray diffraction by using a diffractometer (Model; X-ray—D/Max 2200V, Rigaku, Japan) with a monochromatic beam of wavelength 0.154 nm Cu Kα radiation from 4° to 100° and scanning electron microscope (Model; FESEM, JEOL JSM- 6500F, Tokyo, Japan) using an electron beam with a current of 40 nA and energy 15 keV. The ac conductivity measurements for the samples were obtained in the frequency range of (1–107 Hz) using Alpha-ATB impedance analyzer (Novocontrol) under applied ac voltage of 0.1 V. The measurements were performed at fixed temperatures in the (30–110 °C) in nitrogen atmosphere, where the temperature was controlled by the Quatro Cryosystem from Novocontrol. Before the measurements, the temperature was stabilized within 0.3 °C.
3. Results and Discussion
XRD patterns were performed for PVA, PVA/LiCl and PVA/AgNO3 electrolyte films, respectively (Figure 1). As seen, XRD patterns of PVA shows a fundamental peak at 2θ = 19.5° which refers to the semi-crystalline structure of the PVA [,,]. The crystallinity was evaluated by using the ratio of the integrated area under the crystalline areas to the integrated areas of the whole XRD pattern [,]. The crystallinity of the PVA electrolyte is determined and it was found to be (38.64%) which is produced from the strong inter/intramolecular H-bonding between the segments of PVA [,,,,,,,]. On the other hand, the XRD pattern of PVA/LiCl electrolyte shows that there is a decrease in the intensity of the fundamental peak of PVA. Moreover, there are small peaks at 2θ = 27.6 and 31.7° for the formation of inter planar reflection planes due to the interaction of PVA with LiCl. Interestingly, the crystallinity of the PVA/LiCl film decreases with the presence of LiCl due to the decrease in the number of inter/intramolecular H-bonding between the Li ions and PVA chains [,]. Where the LiCl dissociated and prevents the formation of inter/intramolecular H-bonding inside the films [,]. The crystallinity of the PVA/LiCl film is determined and it was found to be (26.82%). Besides the fundamental peak of PVA, there are other three peaks at 2θ = 28.5°, 32.8° and 46.9° for the (hkl) planes (1 1 1), (2 0 0) and (2 2 0), respectively. These peaks are due to the reflection planes of LiCl according to the card#[00–101–0326], due to the recrystallization of the LiCl during the condensation of the casting approach. Alternatively, there are four peaks at 2θ = 32.4°, 46.1°, 67.4° and 76.7° for the (hkl) planes (1 1 1), (2 0 0), (2 2 0) and (3 1 1), respectively, beside the fundamental peak of PVA. These peaks are due to the reflection planes of Ag nano-particles []. Furthermore, a new peak (indicated by +) is observed due to the formation of interplanar reflection planes in the films due to the interaction of PVA (-OH) and AgNO3 ions during the intermediate reactions for creation Ag nanoparticles by the reduction of AgNO3 to Ag atoms as a reaction Ag+ + e− → Ag because of hot conditions (Scheme 1) [,]. As shown, the crystallinity of PVA/AgNO3 increases to be (49.44%), this is due to the increase in the number of hydrogen bonding between PVA and AgNO3 [,,,,,,,,,,,].

Figure 1.
The XRD patterns of pure PVA film (a), PVA/LiCl electrolytic film (b) and PVA/AgNO3 electrolytic film (c).

Scheme 1.
The reduction of AgNO3 to Ag atoms by using the reactive PVA polymer at hot conditions.
Figure 2 shows the SEM image of the PVA, PVA/LiCl and PVA/AgNO3 electrolyte films. As seen, the image of PVA film surface shows a smooth and flat surface. Moreover, for the SEM image of PVA/LiCl, as seen, a good distribution of Li ions inside the matrix of PVA was obtained with high degree of homogeneity due to the dissociation of LiCl inside the matrix. As seen, there are some scratch and graze on the surface of PVA due to the effect of the Li ions on the morphology and the structure of PVA. On the other hand, for the SEM image of PVA/AgNO3 electrolytic film, there are large numbers of Ag particles distributed on the surface of PVA without any agglomeration. This means the success of our approach to attain a high distribution of Ag nanoparticles with high degree of homogeneity. In fact, the presence of (-OH) groups in the structure of PVA leads to easing the bonding of fillers with PVA molecules which increases the stability of the electrolytes and obtaining the high degree of homogeneity. This manner of distribution allows avoiding the agglomeration of particles in the polymeric template, and increasing the surface area, which gives these electrolytes the advantage to be a good conductive material.

Figure 2.
SEM images of pure PVA (a), PVA/LiCl film (b) and PVA/AgNO3 film (c).
Figure 3a–c illustrates the dependence of ac conductivity on the frequency for PVA, PVA/AgNO3 and PVA/LiCl samples, respectively. It is clear from the figures that the behavior of ac conductivity varies according to the type of dopant, temperature and, also, frequency. Figure 3a shows the σac for PVA. As seen, the charter can be divided into two distinguished different regions. The first region obtained at low frequency and in which a slightly increases of σac with the increase of frequency and temperature is obtained. This behavior is usually attributed to the interfacial polarization at the electrodes. The second region occurs at frequency (≥105 Hz) and in which an enhancement of conductivity as frequency increases could be recorded. This behavior is attributed to the bulk conductivity dispersion. Meanwhile, it has been observed that ac conductivity is continuously increases over all the frequency range for pure PVA sample at temperatures (>70 °C). In contrast, a flat or plateau region where the frequency dependence of conductivity becomes low could be obtained at temperatures above (<70 °C).

Figure 3.
(a) shows the ac conductivity of the S1 (PVA) film as a function of frequency, (b) shows the ac conductivity of the S2 (PVA/AgNO3) film as a function of frequency and (c) shows the ac conductivity of the (S3) PVA/LiCl film as a function of frequency.
The electrolyte PVA/AgNO3 show three regions at temperatures above (>60 °C), while at lower temperatures (<60 °C) it showed the first and third regions beside a gradual increase at the intermediate frequency region with different trend or slope. For first region and at low temperatures, it is clear that the increment rate in σac with frequency was slower as compared to that at high temperatures. This can be attributed to at high temperatures the reduction of the potential barrier at interfacial region is established at the electrode. This reduction should affect the rate of the accumulation of charges at the electrode surface and consequently, the interfacial polarization was increased. The behavior of PVA/LiCl sample is different than that of PVA/AgNO3 because the first and second regions are appeared, but they expanded significantly at the expense of the third region especially at high temperatures. Figure 4 shows the frequency dependence of σac for the three samples at different temperatures. It is clear that the electrical conductivity of PVA/LiCl sample is higher than that of PVA/AgNO3 sample. However, it well known that the number of moles per gram of LiCl is four-times greater than that of AgNO3, indicating that the number of ions that contributes to the conduction for PVA/LiCl should be greater than that of PVA/AgNO3. In addition, the oxidation process of silver nitrate will reduce the number of ions contributing to the conductivity character. The presence of silver nanoparticles in the mixture did not have an effective role for increasing the electrical conductivity. This can be attributed to the non-arrival of the nanoparticle concentration to the percolation threshold concentration.

Figure 4.
The frequency dependent of ac conductivity of the PVA (a), PVA/LiCl film (b) and PVA/AgNO3 films (c) at different temperatures from (40–110 °C).
The dependence of bulk conductivity on the frequency can be represented by [,];
At high frequencies;
where σdc is the dc conductivity which is frequency independent and generally obtained at zero or lower frequency, A is a constant, ω is the angular frequency and n is the frequency exponent which generally is less than or equal to one (n ≤ 1). The exponent n usually gives the strength of polarization corresponds to the degree of interaction of mobile carriers with lattice around. However, in the present case the frequency exponent is (0.5 ≤ n ≤ 1) for electronic charge hopping, whereas it is (n < 0.5) for ionic charge diffusion [,]. However, the behavior of σac generally describes the grain boundaries as potential barriers to the charge carriers which are able to move freely inside the grains. However, when they reach the grain boundaries they are unable to cross them as a result of high resistive nature of grain boundaries. At lower frequencies the ac conductivity is attributed to the conduction due to hoping or tunneling mechanism and thus is very small. Although, at high frequencies the charge carriers get sufficient energy to cross the grain boundaries barrier, and thus ac conductivity enhances with the rise in frequency, obeying the universal power law relation, as a result of electron hoping, and it is related to the dielectric relaxation process caused by localized charge carriers [,,,].
Based on the above, Almond and West model was used to study ac conductivity for pure and electrolyte samples at the high frequency range which is different from sample to another. In the present case, the frequency (f) was changed between (105–107 Hz) for PVA, but it is gradually decreased for PVA/AgNO3 and PVA/LiCl samples, respectively. Figure 3a–c shows the behavior of σac against f for the samples, whereas Figure 5a–c shows the dependence of σdc and n on against temperature. Interestingly, we notice that the plateau area for PVA/LiCl sample is more than PVA/AgNO3 sample, which is attributed to the behavior of dc conductivity in that region where the conductivity does not depend on the applied frequency. It is also evident that there is a sharp increase for σac as f increases up to 107 Hz and also as the temperature increases to 110 °C. However, the rate of increase is different between them, and generally follows the order PVA/LiCl > PVA/AgNO3 > PVA. Anyhow, the different values of A, σdc and n for the three studied samples are listed in Table 2. It is clear that the average value of n against for the samples are 0.870 for S1, 0.405 for S2 and 0.750 for S3. Interestingly, the value of n indicated the electronic charge hopping for S1 and S3, whereas it is indicated ionic charge diffusion for S2 (n < 0.5) as indicated above. Furthermore, n was increased by increasing T for S1 and S3, but it is decreased for S2. This behavior really indicates that addition of AgNO3 to PVA turn the majority charge carriers of PVA to ionic carries, which is completely absent for PVA/LiCl.

Figure 5.
The dc conductivity and (n) parameter for PVA (a), PVA/LiCl film (b) and PVA/AgNO3 film (c) as a function of temperature.

Table 2.
Extracted parameters (σdc, ωh and n) at different temperatures as predicted from the fitting of the ac conductivity data for pure and doped PVA samples.
On the other hand, the values of σdc are listed in Table 2, in which they also follow the order PVA/AgNO3 > PVA/LiCl > PVA. By plotting ln(σdc) against (1000/T) as shown in Figure 6a–c, the activation energy Ea could be obtained for samples according to the relation;
where σo represents the conductivity at 0 K. The estimated values of Ea are 0.84, 0.51 and 0.62 eV for S1, S2 and S3, respectively. This result of course indicates that the number of majority carriers participating in the conduction decreases for S2 and S3 as compared to S1, but the rate of decrease is higher for S2. This is consistent with the type of carriers which is ionic for S2 and therefore the number of activated carriers may be lower than that of S1 and S3. Furthermore, the largest Ea of PVA may be due to impurity atoms or ions introduced during sample synthesis. Furthermore, the electronic conductivity resulting from the presence of silver nanoparticles may be among the reasons that reduce the Ea of S2.
σdc(T) = lnσo + (−Ea/kBT)

Figure 6.
The ln(σdc) vs. 1000/T for PVA (a), PVA/LiCl film (b) and PVA/AgNO3 (c) films.
It is well known that the electrical transport, in an electrolytic polymer or ionic polymer composite, can be predicted by knowing some factors such as hopping frequency of charge carriers and its concentration. So, the hopping frequency ωh can be calculated in terms of A and n using the following equation [];
Additionally, the activation energy for charge carrier migration Em can be determined using the following equation [,];
where ω0 is the pre-exponential factor. Figure 7 illustrates the logωh vs. (1000/T) for the samples. However, the behavior can be described by Arrhenius relation and the activation energy for charge carrier migration Em is determined from the slope of linear plot as well as activation energy Ea. The calculated values of Em are 0.60, 0.34 and 0.40 eV for S1, S2 and S3, respectively. It is clear that Em has the same trend of n and Ea discussed above.

Figure 7.
The logωh vs. 1000/T for PVA, PVA/LiCl film and PVA/AgNO3 film.
Finally, the concentration of ions, ni, ionic mobility µi and diffusivity Di are calculated using the following equations;
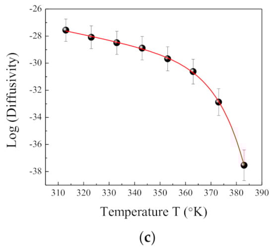
For simplicity, these calculations were carried out assuming that each ions lost only one electron and the hopping distance between ions is equal, and taken as 1.7 Å for all samples. Figure 8 and Figure 9 shows the temperature dependence of log(Ni), log(µi) and log(Di) for PVA/LiCl and PVA/AgNO3 electrolytic films. For lithium ions, the number of ions is greater than that of silver ions, but the ionic radius of silver ions is greater than that of lithium ions. Moreover, the geometrical factor for both ions was considered to be 1/6. However, the calculated values for ni, µi and Di for the samples are listed in Table 3. It is noted that the three variables ni, µi and Di for the doped samples, are increased as the temperature increases. This behavior can be explained in terms of increasing the mobility of polymer chains, and therefore the number of free ions contributing to conductivity is also increased as well as the free volume of ions (releasing of chain entanglement). As the free volume increases the probability of diffusion will also increases. It is also noted that their behaviors are linear for PVA/AgNO3 sample, whereas its nonlinear for PVA/LiCl sample. This can be attributed to the large numbers of ions contributing to conduction for PVA/LiCl compared to PVA/AgNO3 sample. The ionic volume may have a relationship to such behavior because the ionic radius of Ag ion is greater than that for Li ion.


Figure 8.
The logNi (a), logµi (b) and logDi (c) for PVA/LiCl film as a function of temperature.

Figure 9.
The logNi (a), logµi (b) and logDi (c) for PVA/AgNO3 films as a function of temperature.

Table 3.
ni, μ and Di at different temperatures for the samples.
4. Conclusions
The influence of LiCl and AgNO3 doping on the structural, morphology and the electrical conductivity of PVA flexible electrolyte polymer film is investigated. Although the ac conductivity is enhanced by doping for all samples, the rate of enhancement for S3 is higher than that of S1 and S2. Interestingly, the values of the exponent indicated the electronic charge hopping for S1 and S3 (n > 0.5), whereas it is ionic charge diffusion for S2 (n < 0.5). Furthermore, the dc conductivity was increased as the temperature increases and the activation energies Ea are 0.84, 0.51 and 0.62 eV for S1, S2 and S3 samples, respectively. While the values of activation energies of migration of charge carrier Em are found to be 0.60, 0.40 and 0.34 eV, which is similar to Ea behavior. Moreover, the carrier concentration, carrier mobility and carrier diffusivity are calculated for the samples and their values are increased as the temperature increased, but they are higher for S3 than that of S2. Some of interesting parameters such as hopping frequency, number of charge carriers were evaluated. This behavior really indicates that addition of AgNO3 to PVA turn the majority charge carriers to ionic carries, which is completely absent for PVA/LiCl, which as possible highlights the present investigation. This is due to the creation of silver nanoparticles which may be responsible for the present behaviors
Funding
This project has not been founded.
Acknowledgments
The authors would like to thank everyone to their support me and their co-operation during revising present investigation.
Conflicts of Interest
The author has no conflicts of interest to declare that are relevant to the content of this article.
References
- El-Shamy, A. Polyvinyl alcohol and silver decorated carbon quantum-dots for new nano-composites with application electromagnetic interface (EMI) shielding. Prog. Org. Coat. 2020, 146, 105747. [Google Scholar] [CrossRef]
- El-Shamy, A. Novel conducting PVA/Carbon quantum dots (CQDs) nanocomposite for high anti-electromagnetic wave performance. J. Alloy. Comp. 2019, 810, 151940. [Google Scholar] [CrossRef]
- El-Shamy, A. Synthesis of new magnesium peroxide (MgO2) nano-rods for pollutant dye removal and antibacterial applications. Mater. Chem. Phys. 2020, 243, 122640. [Google Scholar] [CrossRef]
- El-Shamy, A.; Zayied, H. New polyvinyl alcohol/carbon quantum dots (PVA/CQDs) nanocomposite films: Structural. optical and catalysis properties. Synth. Met. 2020, 259, 116218. [Google Scholar] [CrossRef]
- El-Shamy, A.; Attia, W.; Abd El-Kader, K. The optical and mechanical properties of PVA-Ag nanocomposite films. J. Alloy. Comp. 2014, 590, 309–312. [Google Scholar] [CrossRef]
- El-Shamy, A. Novel hybrid nanocomposite based on Poly(vinyl alcohol)/ carbon quantum dots/fullerene (PVA/CQDs/C60) for thermoelectric power applications. Compos. Part B 2019, 174, 106993. [Google Scholar] [CrossRef]
- El-Shamy, A.; Maati, A.; Attia, W.; Abd El-Kader, K. Promising method for preparation the PVA/Ag nanocomposite and Ag nano-rods. J. Alloy. Comp. 2018, 744, 701. [Google Scholar] [CrossRef]
- El-Shamy, A. Composite (PVA/Cu nano) films: Two yield points, embedding mechanism and thermal properties. Prog. Org. Coat. 2019, 127, 252–259. [Google Scholar] [CrossRef]
- El-Shamy, A. New free-standing and flexible PVA/Carbon quantum dots (CQDs) nanocomposite films with promising power factor and thermoelectric power applications. Mater. Sci. Semicond. Proc. 2019, 100, 245–254. [Google Scholar] [CrossRef]
- El-Shamy, A.; Attia, W.; Abd El-Kader, K. Enhancement of the conductivity and dielectric properties of PVA/Ag nanocomposite films using γ irradiation. Mater. Chem. Phys. 2017, 191, 225–229. [Google Scholar] [CrossRef]
- El-Shamy, A. An efficient removal of methylene blue dye by adsorption onto carbon dot @ zinc peroxide embedded poly vinyl alcohol (PVA/CZnO2) nano-composite: A novel Reusable adsorbent. Polymer 2020, 202, 122565. [Google Scholar] [CrossRef]
- Ahad, N.; Saion, E.; Gharibshahi, E. Structural, Thermal, and Electrical Properties of PVA-Sodium Salicylate Solid Composite Polymer Electrolyte. J. Nanomater. 2012, 2012, 8. [Google Scholar] [CrossRef] [Green Version]
- Saadu, L.; Hashim, M.A.; Baharuddin, M.B. A Noble Conductivity Studies and Characterizations of PVA-Orthophosphoric-Filter Paper Electrolytes. J. Mater. Sci. Res. 2014, 3, 4. [Google Scholar] [CrossRef]
- Khalil, R.; Sheha, E.; Hanafy, T.; Al-Hartomy, O. Synthesis and characterization of poly(vinyl alcohol)-acid salt polymer electrolytes. Mater. Exp. 2014, 4, 6. [Google Scholar] [CrossRef]
- Li, X.-G.; Huang, M.-R.; Zeng, J.-F.; Zhu, M.-F. The preparation of polyaniline waterborne latex nanoparticles and their films with anti-corrosivity and semi-conductivity. Colloids Surf. A Physicochem. Eng. Asp. 2004, 248, 111–120. [Google Scholar] [CrossRef]
- Razak, N.A.A.; Winie, T.; Ghani, F.S.A.; Ahmad, A.H. conductivity and ftir studies on pva/chitosan-LiCF3SO3. Sol. Stat. Sci. Technol. 2008, 16, 1–7. [Google Scholar]
- Honmute, S.; Ganachari, S.V.; Bhat, R.; Kumar, H.M.P.N.; Huh, D.S.; Venkataraman, A. Studies on Polyaniline-Polyvinyl Alcohol (PANI-PVA) Interpenetrating Polymer Network (IPN) Thin Films Sindhu. Int. J. Sci. Res. 2012, 1, 102–106. [Google Scholar]
- Khodiri, A.A.; Al-Ashry, M.Y.; El-Shamy, A.G. Novel hybrid nanocomposites based on polyvinyl alcohol/graphene/magnetite nanoparticles for high electromagnetic shielding performance. J. Alloy. Comp. 2020, 847, 156430. [Google Scholar] [CrossRef]
- El-Shamy, A.G. The optical anatomy of new polyvinyl alcohol/zinc peroxide (PVA/ZnO2) nanocomposite films for promising optical limiting applications. Prog. Org. Coat. 2021, 150, 105981. [Google Scholar] [CrossRef]
- Attallah, M.A.; Elrasasi, T.Y.; Shash, N.M.; El-Shaarawy, M.G.; El-Tantawy, F.; El-Shamy, A.G. New hybrid nanocomposite based on (PVA-Ag-Coumarin) for high sensitive photodiode device. Mater. Sci. Semicond. Proc. 2021, 126, 105653. [Google Scholar] [CrossRef]
- Zhang, L.Z.; Wang, Y.Y.; Wang, C.L.; Xiang, H. Synthesis and characterization of a PVA/LiCl blend membrane for air dehumidification. J. Membr. Sci. 2008, 308, 198–206. [Google Scholar] [CrossRef]
- Al Naim, A.F.; El-Shamy, A.G. A new reusable adsorbent of polyvinyl alcohol/magnesium peroxide (PVA/MgO2) for highly selective adsorption and dye removal. Mater. Chem. Phys. 2021, 270, 124820. [Google Scholar] [CrossRef]
- Al Naim, A.F.; Ibrahim, S.S.; El-Shamy, A.G. New High Mechanically Flexible and Bendable Nanocomposite Ag@NCDots/PEDOT:PSS/PVA Films with High Thermoelectric Power Performance and Generator. Polymer 2021, 226, 123792. [Google Scholar] [CrossRef]
- Al-Asbahi, B.A.; Qaid, S.M.H.; El-Shamy, A.G. Flexible conductive nanocomposite PEDOT:PSS/Te nanorod films for superior electromagnetic interference (EMI) shielding: A new exploration. J. Ind. Eng. Chem. 2021, 100, 233–247. [Google Scholar] [CrossRef]
- El-Shamy, A.G. The role of nitrogen-carbon dots (NC) nano-particles in enhancing thermoelectric power functions of PEDOT:PSS/Te nano-composite films. Chem. Eng. J. 2021, 417, 129212. [Google Scholar] [CrossRef]
- El-Shamy, A.G. New nano-composite based on carbon dots (CDots) decorated magnesium oxide (MgO) nano-particles (CDots@MgO) sensor for high H2S gas sensitivity performance. Sens. Actuators B Chem. 2021, 329, 129154. [Google Scholar] [CrossRef]
- El-Shamy, A.G. Acido-treatment of PEDOT:PSS/Carbon Dots (CDots) nano-composite films for high thermoelectric power factor performance and generator. Mater. Chem. Phys. 2021, 257, 123762. [Google Scholar] [CrossRef]
- El-Shamy, A.G. New carbon quantum dots nano-particles decorated zinc peroxide (Cdots/ ZnO2) nano-composite with superior photocatalytic efficiency for removal of different dyes under UV-A light. Synth. Met. 2020, 267, 116472. [Google Scholar] [CrossRef]
- Almond, D.; Duncan, G.; West, A. The determination of hopping rates and carrier concentrations in ionic conductors by a new analysis of ac conductivity. Solid State Ion. 1983, 8, 159–164. [Google Scholar] [CrossRef]
- Almond, D.; West, A. Impedance and modulus spectroscopy of “real” dispersive conductors. Solid State Ion. 1983, 11, 57–64. [Google Scholar] [CrossRef]
- Pavani, Y.; Ravi, M.; Bhavani, S.; Karthikeya, R.; Rao, V.N. Physical investigations on pure and KBr doped poly (vinyl alcohol)(PVA) polymer electrolyte films for solid state battery applications. J. Mater. Sci. Mater. Electron. 2018, 29, 5518–5524. [Google Scholar] [CrossRef]
- Chodankar, N.R.; Dubal, D.P.; Lokhande, A.C.; Lokhande, C.D. Ionically conducting PVA–LiClO4 gel electrolyte for high performance flexible solid state supercapacitors. J. Colloid Interface Sci. 2015, 460, 370–376. [Google Scholar] [CrossRef] [PubMed]
- Sankaran, S.; Deshmukh, K.; Ahamed, M.B.; Pasha, S.; Sadasivuni, K.K.; Ponnamma, D.; AlMaadeed, M.A.-A.; Chidambaram, K. Investigation on the Electrical Properties of Lithium Ion Conducting Polymer Electrolyte Films Based on Biodegradable Polymer Blends. Adv. Sci. Lett. 2018, 24, 5496–5502. [Google Scholar] [CrossRef]
- Unnisa, C.N.; Chitra, S.; Selvasekarapandian, S.; Monisha, S.; Devi, G.N.; Moniha, V.; Hema, M. Development of poly (glycerol suberate) polyester (PGS)–PVA blend polymer electrolytes with NH 4 SCN and its application. Ionics 2018, 24, 1979–1993. [Google Scholar] [CrossRef]
- Siekierski, M.; Wieczorek, W. Application of the “universal power law” to the studies of ac conductivity of polymeric electrolytes. Solid State Ion. 1993, 60, 67–71. [Google Scholar] [CrossRef]
- Almond, D.; West, A. The activation entropy for transport in ionic conductors. Solid State Ion. 1987, 23, 27–35. [Google Scholar] [CrossRef]
- Miara, L.J.; Suzuki, N.; Richards, W.D.; Wang, Y.; Kim, J.C.; Ceder, G. Li-ion conductivity in Li 9 S 3 N. J. Mater. Chem. A 2015, 3, 20338–20344. [Google Scholar] [CrossRef]
- Adams, S.; Rao, R.P. Structural requirements for fast lithium ion migration in Li 10 GeP 2 S 12. J. Mater. Chem. 2012, 22, 7687–7691. [Google Scholar] [CrossRef]
Publisher’s Note: MDPI stays neutral with regard to jurisdictional claims in published maps and institutional affiliations. |
© 2021 by the author. Licensee MDPI, Basel, Switzerland. This article is an open access article distributed under the terms and conditions of the Creative Commons Attribution (CC BY) license (https://creativecommons.org/licenses/by/4.0/).