Next Article in Journal
Effect of High Pressure on the Solidification of Al–Ni Alloy
Next Article in Special Issue
Determination of the Metastable Zone Width and Nucleation Parameters of Succinic Acid for Electrochemically Induced Crystallization
Previous Article in Journal
Experimental Comparison of Innovative Composite Sorbents for Space Heating and Domestic Hot Water Storage
Previous Article in Special Issue
Solution Cocrystallization: A Scalable Approach for Cocrystal Production
 
 
Font Type:
Arial Georgia Verdana
Font Size:
Aa Aa Aa
Line Spacing:
Column Width:
Background:
Article

First-Principles Elastic and Anisotropic Characteristics of Structure-H Gas Hydrate under Pressure

Department of Chemical Engineering, McGill University, Montréal, QC H3A 0C5, Canada
*
Author to whom correspondence should be addressed.
Crystals 2021, 11(5), 477; https://doi.org/10.3390/cryst11050477
Submission received: 1 April 2021 / Revised: 15 April 2021 / Accepted: 20 April 2021 / Published: 24 April 2021
(This article belongs to the Special Issue Crystal Nucleation and Growth Kinetics)

Abstract

Evaluating gas hydrates properties contributes valuably to their large-scale management and utilization in fundamental science and applications. Noteworthy, structure-H (sH) gas hydrate lacks a comprehensive characterization of its structural, mechanical, and anisotropic properties. Anisotropic and pressure dependent properties are crucial for gas hydrates’ detection and recovery studies. The objective of this work is the determination of pressure-dependent elastic constants and mechanical properties and the direction-dependent moduli of sH gas hydrates as a function of guest composition. First-principles DFT computations are used to evaluate the mechanical properties, anisotropy, and angular moduli of different sH gas hydrates under pressure. Some elastic constants and moduli increase more significantly with pressure than others. This introduces variations in sH gas hydrate’s incompressibility, elastic and shear resistance, and moduli anisotropy. Young’s modulus of sH gas hydrate is more anisotropic than its shear modulus. The anisotropy of sH gas hydrates is characterized using the unit cell elastic constants, anisotropy factors, and the angular dependent moduli. Structure-properties composition correlations are established as a function of pressure. It is found that compressing filled sH gas hydrates increases their moduli anisotropy. Differences in atomic bonding across a crystal’s planes can be expected in anisotropic structures. Taken together the DFT-based structure–properties–composition relations for sH gas hydrates provide novel and significant material physics results for technological applications.

1. Introduction

Structure-H (sH) gas hydrate is one of the main types of gas hydrates known by its hexagonal crystal symmetry that distinguishes it from the cubic sI and sII gas hydrates [1]. Ripmeester et al. [2] observed the formation of structure-H gas hydrate in the laboratory in 1987 and identified it as a hexagonal hydrate structure that needs small and large guests for the structure’s stabilization. The lower hexagonal crystal symmetry of sH as compared with sI and sII gas hydrates is associated with significant anisotropies [3]. This guest-host hydrate encapsulates large molecules; however, it requires small guest (help gas) to stabilize its medium and small cages [4].
Determining the physical properties of gas hydrates contributes to the overall astrochemistry sciences and adds to the gas hydrates’ knowledge database with useful information that can serve different engineering and environmental applications. It also improves the potential technological use of gas hydrate as a good source of energy, and as a potential geological and environmental challenge [5]. The physical properties of gas hydrates from first principles are available in different studies [3,6,7,8,9,10,11,12,13,14,15]. Despite the available literature on sH gas hydrate’s properties, a full fundamental understanding of this specific hydrate’s structure and its characteristics is yet to emerge. The hexagonal crystal symmetry of sH gas hydrate is comparable to that of ice (Ih) structure and is different from that of sI and sII gas hydrates. Characterizing the physical properties of sH gas hydrate adds to the fundamental understanding of the material physics of these guest-host compounds. Characterizing sH gas hydrate fills the properties’ gap between ice and gas hydrates and can offer a good a connection between their structures. Structure-H gas hydrate has been found to potentially participate in gas hydrates phase transitions involving sI and sII gas hydrates under certain conditions [16,17]. Density functional theory (DFT) computations provide access to a variety of a material’s elastic characteristics which compensates for the limitations of experimental procedures.
Second order elastic constants (SOEC) of a material are key values that describe many of its mechanical and thermal properties. They also provide important information about the material’s anisotropy, atomic bonding, and structural stability [18]. In addition to being important for material’s phonon spectra and equation of state [19]. Having the elastic constants of a material allows for the determination of its polycrystalline properties such as bulk, shear, and Young’s moduli, as well as wave velocities and Poisson’s ratio. The structure’s elastic anisotropy is one of the key characteristics of a material that is of particular importance for engineering applications. Not only it detects the dependency of a material’s properties on direction, but it is also linked to the microcracks generation in a material [20]. Investigating the elastic properties of materials under isotropic initial stress is considered critical for the management and potential utilization of materials in many engineering applications. The determination of second order elastic constants (SOEC) of a material under pressure allows for a full characterization of its pressure-dependent mechanical properties. The structural behavior under pressure reflects the material’s stability, strength, and potential phase transitions.
Theoretical and experimental pressure-dependent elastic properties of various materials are available in different studies in literature [18,21,22,23,24,25,26,27,28,29,30,31]. The elastic properties of different gas hydrates are available in literature; however, there are only some studies on the pressure dependence of gas hydrates’ elastic characteristics. First-principles based findings of gas hydrates’ elasticity under pressure are scarce. Defining the pressure dependence of the different gas hydrates’ properties is critical and most needed to improve the engineering control of gas hydrate recovery from gas hydrates reservoirs. Jendi et al. [8] investigated the pressure-dependent elastic constants, bulk modulus, and anisotropy of sI gas hydrates using Density Functional Theory (DFT). Helgerud et al. [32] measured the temperature and pressure dependence of compressional and shear wave velocities of polycrystalline sI methane gas hydrate, sII methane-ethane gas hydrate, and ice (Ih). Beam et al. [33] studied the physical and vibrational properties of different methane gas hydrate phases under pressure. Suwa et al. [34] used high-pressure Brillouin scattering to obtain the elastic characteristics of argon sII gas hydrate under pressure and ambient temperature. The pressure-dependent adiabatic elastic constants and acoustic velocities of methane sI gas hydrates were studied based on experimental findings by Sasaki et al. [35] using high-pressure Brillouin spectroscopy. Hexagonal ice (Ih) elasticity under pressure were investigated by Gagnon et al. [36] using Brillouin spectroscopy.
The change of physical properties with crystal orientation and the angular-dependent moduli are crucial for anisotropic structures where properties might significantly change across the different crystal planes. Different studies [19,37,38,39,40,41,42,43] investigated the angular physical properties of materials and related them to the material’s structural anisotropy. For example, Wen-Duo et al. [37] found an increase in CaMgSi material’s moduli anisotropy with increased pressure. The direction dependence of properties for gas hydrates are critical specially for anisotropic structures such as sH gas hydrates. The direction dependence of gas hydrates’ elasticity impacts the analysis of the hydrate’s resistance to tensile and shear stresses and can also affect the measurements of wave velocities that help in detecting gas hydrates in sediments. Cao et al. [40] studied the effect of crystal orientation on its response to applied load for methane sI gas hydrate and ice (Ih) using molecular simulations. The direction-dependent Young’s and shear moduli of ice (Ih) were studied using molecular dynamics simulations [38]. Tulk et al. [44] presented polar plots of acoustic velocities of ice VI using experimental data and showed the anisotropy of those velocities on different crystal planes. Structure-H gas hydrate experiences different levels of anisotropy based on the chemistry of guest molecules that it encapsulates [3]. The angular dependency of sH gas hydrate’s moduli is critical for the hydrate’s recovery from sediments and for its feasible and safe deployment in gas storage applications.
In this work, the pressure and direction dependence of the elastic properties of sH gas hydrate structures are investigated using first-principles atomistic scale Density Functional Theory (DFT) computations. This work studies the empty and two filled sH gas hydrate structures with 2,2-Dimethylbutane, xenon and carbon dioxide. Studies involving carbon dioxide gas hydrates provide useful information about the potential utilization of gas hydrates in environmental-based applications. The pressure-dependent elastic constants of sH gas hydrates are evaluated at 0 K and different pressures. Pressure-dependent polycrystalline properties are obtained using the unit cell elastic constants and polycrystalline approximations for hexagonal crystals. The elastic anisotropy of the different sH gas hydrate structures is investigated under pressure to evaluate the direction dependency of the structures’ properties. The direction-dependent Young’s and shear moduli are investigated and moduli polar plots (or projections of moduli) are presented under pressure.
The main objective of this work is to understand the variation of sH gas hydrate’s elasticity, anisotropy, and angular moduli with pressure and chemistry of guests. The pressure-dependent 0 K DFT results presented in this work provide an upper bound to the mechanical properties for sH gas hydrate. Temperature-dependent computations are crucial for a comprehensive interpretation of sH gas hydrate’s mechanical characteristics; however, they are left for future studies.
This paper is structured as follows. Section 2 presents the first-principles DFT method and its key parameters that were used to conduct the simulations of this work. This section also highlights the method followed to compute the pressure-dependent elastic constants and the direction-dependent moduli of sH gas hydrates. Section 3 presents and discusses the main findings of the elastic constants, polycrystalline properties, anisotropy factors, and angular moduli of different sH gas hydrates under pressure. The main conclusions of this work are highlighted in Section 4.

2. Methods

2.1. First-Principles Method

First-principles simulations using Density Functional Theory (DFT) were utilized for the investigation of different structure-H (sH) gas hydrates using the SIESTA DFT code [45]. Simulations involved a unit cell of sH gas hydrate with 34 water molecules forming three small (512) cages, two medium (435663) ones, and one large (51268) cage [4]. The large guest molecular substance (LGMS) occupying the large cage is 2,2-Dimethylbutane (neohexane, NH) and different small guests occupy the small and medium cages of the unit cell such as xenon and carbon dioxide. The empty metastable structure of sH gas hydrate was studied along with filled structures of 100% single guest occupancy.
The initial geometrical input (XYZ) with a zero dipole moment was based on previously available coordinates [46] and was optimized in our previous works [3,6,7] in terms of lattice constants and geometrical coordinates. DFT simulations based on Kohn-Sham equations were performed at 0 K using a unit cell of sH gas hydrate and a 2 × 2 × 2 supercell was generated by the SIESTA code using periodic boundary conditions. The starting point geometries were the optimized structures at different pressures. The energy-strain method was used to obtain the second order elastic constants. Each structure was strained allowing for internal coordinates relaxation. The revPBE exchange-correlation functional [47] was found suitable for this work based on different previous DFT studies of gas hydrates [3,6,7,8,9,10,12,13,14,15]. Norm-conserving Troullier-Martins pseudopotentials, double-zeta polarized basis set, and a 10 Å k-grid cut-off were used. For other key simulations parameters, different values were applied for different systems based on their optimization process and true energy minimum initial structure [7]. Values of 50 to 100 meV were used for energy shift, and 800 to 1000 Ry for mesh cutoff. Force tolerance was also varied between 0.0005 to 0.005 eV/Å.

2.2. Pressure-Dependent Elastic Constants and Properties

Elastic constants represent the second derivative of the total energy per unit volume with respect to applied small strains. They are computed in this work using the energy-strain method in which the unit cell is strained, and the corresponding structure’s total energy is computed. The computations of elastic constants using first-principles DFT require high accuracy in computing the total system’s energy. Literature has a variety of studies on elastic constants determination for structures under applied pressure [30,48,49,50,51,52]. Taylor series expansion of the total energy is used to obtain the second order elastic constants [19,53]. The total energy of the unit cell is expanded as follows:
E ( V , e ) = E ( V o , 0 ) + V o α τ α e α + V o 2 α , β C α β e α e β
where E(Vo, 0) is the total energy of the unstrained structure, Vo is the volume of the unstrained unit cell, τα is the stress tensor component, Cαβ is the second order elastic constant and eα is the applied strain in Voigt notation. Equation (1) shows the total energy of a strained structure as a contribution from elastic energy with quadratic strain components and a linear stress component. For initial isotropic stress, the volume-changing strains contribute with stress components to the total energy of the strained structure. However, the stress components vanish for volume-conserving strains applied on unit cell initially under isotropic stress. Equation (1) is expressed in Voigt notation where the strain is presented in a vector form as eα = (e1, e2, e3, e4, e5, e6), and in a matrix form as:
e α = [ e 1 0.5 e 6 0.5 e 5 0.5 e 6 e 2 0.5 e 4 0.5 e 5 0.5 e 4 e 3 ]
Structure-H gas hydrate has hexagonal crystal symmetry and hence requires five strains to obtain its five independent elastic constants (C11, C12, C13, C33, C44) at a given pressure P that corresponds to the unstrained unit cell volume Vo. The main strains that were applied to the sH gas hydrates are presented in Table 1 with the corresponding expansion of structure’s total energy as a function of strain parameter δ.
The unit cell of each structure was strained up to δ = ±0.03 with a step size of 0.005. The applied strain is smaller than that corresponding to applied pressure. It is important to work with small strain values to assure remaining in the elastic region of the crystal [19]. To verify the obtained elastic constants, additional strains were applied to some of the systems where small differences between the same elastic constant computed from different strains are expected. The change in structure’s total energy ΔE = E(V, e) − E(Vo, 0) is computed for each strain type as a function of infinitesimal strain δ and fitted to a polynomial equation from which elastic constants are determined. The stability criteria of crystals under initial isotropic stress are modified to account for the effect of pressure [48]. The criteria for the stability of hexagonal crystal symmetry are available in reference [54] for the stress-free condition. Modified stability criteria for hexagonal crystal under applied isotropic pressure are [48]:
(C11 − P) > | (C12 + P)|       
(C33 − P)(C11 + C12) > 2(C13 + P)2
(C44 − P) > 0          
Polycrystalline mechanical properties of structure-H gas hydrate are determined from the elastic constants of the unit cell and using the Voigt-Reuss-Hill approximation [55] as was discussed in our previous work [3]. The computed pressure-dependent properties are the bulk (B), shear (G), and Young’s (E) moduli, Poisson’s ratio (ν), shear to bulk moduli ratio (G/B), and the longitudinal (compressional) (VL) and transverse (shear) (VT) wave velocities. To evaluate sH gas hydrate’s anisotropy under pressure, the universal elastic anisotropy index (AU) [56] is utilized along with the Young’s and shear moduli anisotropy factors (fE and fG, respectively) [57]. The formulas needed to compute those properties are available in Appendix A. Details of the angular-dependent moduli computations are presented in Section 2.3.

2.3. Angular-Dependent Moduli and Polar Plots

Polycrystalline approximations provide different physical properties using elastic constants’ relations that depend on crystal’s symmetry. However, for anisotropic crystals it is useful to determine the angular dependent properties as well. The effect of direction on the Young’s and shear moduli of a hexagonal crystal can be determined using the following relations:
Young’s modulus (E) [58,59]:
1 E = S 11 sin 4 θ + S 33 cos 4 θ + ( S 44 + 2 S 13 ) sin 2 θ cos 2 θ
Shear modulus (G) [58]:
1 G = S 44 + ( S 11 S 12 0.5 S 44 ) sin 2 θ + 2 ( S 11 + S 33 S 44 2 S 13 ) sin 2 θ cos 2 θ
where E is the angular Young’s modulus, G is the angular shear modulus, Sαβ values represent the elastic compliances, and θ is the angle between the z-axis and a normal vector (z1) to a plane that intercepts the x, y, and z-axes. The basal plane of hexagonal crystals is isotropic, and the crystal’s anisotropy is studied by the orientation with respect to the z-axis (c-axis) represented by the angle θ [38]. The z-axis of a hexagonal crystal has the highest six-fold rotation symmetry, and hence compliances of the oriented structure depend only on θ [60]. This was discussed by Panda and Ravi Chandran [43] who explained that the in-plane anisotropy of a hexagonal TiB2 is not observed in XY plane, however, in-plane anisotropy is pronounced in YZ plane.
Elastic compliances (Sαβ) are computed from elastic constants (Cαβ) using the relation C*S = I, where I is a 6 × 6 identity matrix. Equations (4) and (5) provide the angular dependency of Young’s and shear moduli with respect to angle θ. The angular-dependent Young’s and shear moduli can be used to construct projections of the moduli on polar coordinate plots that reflect more on the anisotropic characteristics of structure-H gas hydrates. The moduli anisotropy is also evaluated using the Young’s and shear moduli anisotropy factors (fE and fG) which present ratios of the modulus at θ = 0° and that at θ = 90°.

3. Results and Discussion

3.1. Elastic Constants under Pressure

Elastic constants are important elasticity characteristics of a crystal’s unit cell that provide knowledge about its elasticity, its physical properties, and structural anisotropy. The hexagonal crystal symmetry of sH gas hydrate requires five independent elastic constants to determine its elastic properties which are C11, C12, C13, C33, and C44. Its elastic constants matrix also has the dependent elastic constant C66 which equals 0.5(C11–C12). The elastic constants of different sH gas hydrate structures were determined using first-principles computations at 0 K and stress-free conditions in our previous work [3]. In this work, pressure-dependent elastic constants of empty, xenon-neohexane (Xe-NH), and carbon dioxide-neohexane (CO2-NH) sH gas hydrates are investigated using first-principles at 0 K. The elastic constants of CO2-NH sH gas hydrate at 0 GPa are also presented in this work in Figure 1.
Comparing CO2-NH sH hydrate to other sH gas hydrate structures at 0 GPa available in our previous work [3] shows that CO2-NH has C11 value close to those reported for multiple filled sH gas hydrate structures. However, C33 of CO2-NH sH gas hydrate is lower than those reported for different sH gas hydrates including the empty metastable structure. This reflects the impact of the shape and chemistry of carbon dioxide in lowering the sH gas hydrate’s resistance to principal strain in the z-axis direction. Similarly the resistance to basal shear deformation is the lowest for CO2-NH sH gas hydrate that has the smallest C44 value. The elastic constants of CO2-NH sH gas hydrate at 0 GPa are close to those reported for methane-propane sH gas hydrate from first-principles [61], but with higher C11. Jendi et al. [9] reported the elastic constants of CO2 sI gas hydrate from first principles. Comparing their values of C11, C12, and C44 to those reported for CO2-NH sH gas hydrate of this work shows that CO2-NH sH hydrate has slightly higher resistance to principal strain in the x-axis direction (larger C11) and a higher resistance to basal shear deformation (larger C44). Using the structure stability criteria presented in Section 2.2, all studied sH gas hydrates’ structures are found stable in the selected pressure range of investigation.
Figure 1 shows the elastic constants of CO2-NH sH gas hydrate versus pressure and those of empty and Xe-NH sH hydrates are presented in Table 2. What all systems share is the increase of C11, C33, C12, and C13 with increased applied pressure. C44 of the empty sH gas hydrate shows very small dependence on pressure, while that of filled systems increases with applied pressure. This indicates the reduced resistance to shear deformation with increased pressure for empty sH gas hydrate. The rate of change of elastic constants of filled sH gas hydrates with pressure (ΔCαβ/ΔP) is the highest for C11 and C33 and it is smaller for the other elastic constants. C12, C13 and C44 are less affected by applied pressure as they reflect the shear elasticity [23] and not the resistance to compression.
C11 of empty sH hydrate is less than those of filled systems under all pressures considered in this work. This agrees with our previous findings [3] of different sH gas hydrates at 0 K and 0 GPa. Xe-NH gas sH hydrate has a higher C11 compared to CO2-NH at 1 GPa, but at higher pressures CO2-NH sH hydrate experiences higher C11 values. C33 of empty sH hydrate comes in the middle between those of Xe-NH and CO2-NH at all pressure points. Xe-NH sH gas hydrate has the largest C33 values at all pressures while CO2-NH sH gas hydrate has the smallest C33 values. Changing the help gas that occupies the small and medium cages of sH gas hydrate affects the bonding characteristics in the z-axis direction and can strengthen or weakens them as compared to those of empty sH structure. As clear from Table 2, C11 of empty sH gas hydrate is lower than its C33 under all pressures. The same is observed for Xe-NH sH gas hydrate (except at 1 GPa) which reflects that atomic bonding is stronger in the z-axis (c-axis) direction as compared to the x-axis for those structures. However, C11 of CO2-NH sH gas hydrate is higher than its C33 at all pressures. This indicates the stronger atomic bonding in the x-axis direction as compared to the z-axis for CO2-NH sH gas hydrate [18,21]. This signifies the role of guest type and shape in characterizing sH gas hydrate’s properties in the different directions.
C44 of the Xe-NH sH gas hydrate is the highest at all pressure points and it increases with compression, indicating the increased hydrate’s resistivity to basal shear deformation with pressure. The effect of pressure on sH gas hydrate’s resistivity to shear is obvious as CO2-NH is less resistive to shear compared to empty structure at stress-free conditions (Ref. [3]), however, this changes for higher pressures where C44 values of CO2-NH sH gas hydrate become larger than those of the empty structure for P ≥ 1 GPa. C12 and C13 elastic constants of empty sH gas hydrate are generally higher than those of Xe-NH and CO2-NH sH gas hydrates (except for C12 of Xe-NH at 1 GPa).
The rate of change of elastic constants with pressure for sH gas hydrates investigated in this work depends on the nature of guests inside the hydrate cages. The filled sH gas hydrates experience larger rates of change with pressure for C11 and C33 compared to the empty structure. However, empty sH gas hydrate experiences larger rates of change with pressure for C12 and C13 compared to the Xe-NH and the CO2-NH sH gas hydrates. CO2-NH has the largest rate of change with pressure for C11, while Xe-NH has the largest change of C33 with pressure. Those differences highlight the impact of guest chemistry on sH gas hydrate’s structure bonding in different directions.
The empty sH gas hydrate has close rates of change for C11, C33, C12, and C13. This agrees with the finding of Gagnon et al. [36] who studied the effect of pressure on adiabatic elastic constants of ice (Ih). The percentage of change of C12 and C13 of ice (Ih) were found to be larger than those of C11 and C33. Gagnon et al. [36] also found that C44 of ice (Ih) undergoes a small negative change with applied pressure. This agrees with the small negative rate of change of C44 with pressure of empty sH gas hydrate investigated in this work. This softening of C44 could indicate the increased instability of the empty sH gas hydrate structure with applied pressure. It also reflects the increased tendency to structural phase transitions as pressure increases [18]. This observation can be explained by the absence of guest molecules that provide the needed support for the hydrate’s structure via cage occupancy and guest-host interactions.

3.2. Polycrystalline Properties under Pressure

The polycrystalline properties of different sH gas hydrates—including empty and Xe-NH structures—at 0 GPa are available in our previous work [3]. In this work, the CO2-NH sH gas hydrate’s mechanical properties have been determined at 0 K and 0 GPa and are presented in Table 3. The formulas used to compute those properties are available in Appendix A. CO2-NH sH gas hydrate has the lowest resistance to volume change (bulk modulus) among all structures previously investigated (Ref. [3]). The bulk modulus of this hydrate is close to the isothermal bulk modulus for ice (Ih) at −35.5 °C [36]. Its shear and Young’s moduli are close to those reported for empty and nitrogen-neohexane sH gas hydrates (Ref. [3]). Poisson’s and shear to bulk moduli ratios of CO2-NH sH gas hydrate are very close to those reported for Xe-NH sH hydrate (Ref. [3]). The universal elastic anisotropy index of CO2-NH sH gas hydrate is high, compared to that of empty, methane-neohexane, xenon-neohexane, argon-neohexane, and hydrogen-neohexane previously reported, but remains lower than that of nitrogen-neohexane sH gas hydrate (Ref. [3]).
The linear shape and chemistry of carbon dioxide imposes extra anisotropy on the hydrate’s structure as shown by the three anisotropy measures (AU, fE, fG) that deviate from isotropic values. The wave velocities of CO2-NH sH gas hydrate are within the same range of values reported for other gas hydrate structures [3,9,15]. The properties of CO2 sI gas hydrate from first-principles were reported by Jendi et al. [9]. Compared to CO2 sI gas hydrate [9], CO2-NH sH gas hydrate has a close density value, a lower bulk modulus, higher Young’s and shear moduli, a smaller Poisson’s ratio, a close longitudinal wave velocity, and a lager transverse wave velocity. Jendi et al. [9] showed that CO2 sI gas hydrate has larger bulk modulus than methane sI gas hydrate. However, for sH gas hydrates of neohexane it is the opposite. Using CO2 as a help gas in neohexane sH gas hydrate slightly lowers the structure’s bulk modulus (this work) compared to using methane (Ref. [3]) as a help gas. Carbon dioxide’s quadrupole moment contributes to its intermolecular interactions with hydrate’s water molecules and other guests which impacts the overall elasticity of the hydrate’s structure.
To understand the effect of applied pressure on the mechanical properties of sH gas hydrates, the empty, Xe-NH, and CO2-NH sH gas hydrate structures were investigated under multiple pressures. The pressure-dependent bulk (B), shear (G), and Young’s (E) moduli of CO2-NH sH gas hydrate are presented in Figure 2 and those of empty and Xe-NH sH gas hydrates are available in Table 4. In general, the moduli of filled sH gas hydrates increase with increased pressure, however, the chemistry of guests play a role in the rate of change of moduli with pressure. The moduli of sH gas hydrates are affected by the hydrate’s hydrogen bonds and its strength that affects the structure’s compressibility and elasticity. The increase in bulk modulus with compression of empty, Xe-NH, and CO2-NH sH gas hydrates can be linked to the strengthened hydrogen bonds under pressure which was discussed in our previous work [7]. The rate of change of bulk modulus of sH gas hydrates with pressure is comparable to that of the pressure-dependent isothermal bulk modulus of ice (Ih) reported by Gagnon et al. [36] at −35.5 °C. Manakov et al. [62] computed the pressure-dependent bulk modulus from experimentally obtained pressure-volume data of xenon sI, ethane sI, and THF-xenon sII gas hydrates. Their results show the increase in bulk modulus of the three gas hydrates with increased pressure which agrees with this work’s findings of sH gas hydrate pressure-dependent bulk modulus at 0 K.
The pressure-dependent Young’s modulus computed from elastic constants in this work can be compared with that presented in our previous work [7] which was obtained using IR-based technique. Both methods agree on the increase of sH gas hydrate’s Young’s modulus with compression. Young’s modulus of empty sH gas hydrate under compression obtained using elastic constants is smaller than that approximated using the hydrogen bonds’ IR stretching frequencies (Ref. [7]). The difference between the two tend to increase with increased compression for empty sH gas hydrate. The opposite is observed for the Xe-NH and CO2-NH sH gas hydrates with higher Young’s moduli obtained using elastic constants compared to the IR-based ones (Ref. [7]). In most cases investigated here, the increased pressure of Xe-NH and CO2-NH sH gas hydrates is accompanied by an improved agreement between Young’s modulus values obtained using elastic constants and those from the hydrate’s IR spectra relations (Ref. [7]). This adds valuable knowledge on the limits and potentials of approximating sH gas hydrate’s mechanical properties using the vibrational characteristics of its hydrogen bonds. However, expanding the investigation to a wider pressure range is essential to better understand and evaluate the contribution of the hydrogen bond to the sH gas hydrate’s elasticity.
Young’s modulus of filled sH gas hydrate structures is higher than their bulk moduli under pressure. This agrees with our previous investigation of different sH gas hydrates at 0 K and 0 GPa (Ref. [3]). However, the empty sH gas hydrate that has a larger Young’s modulus compared to bulk modulus at 0 GPa (Ref. [3]) experiences the opposite under compression. The rates of Young’s modulus change of Xe-NH and CO2-NH are much higher than those of empty sH gas hydrate. The empty structure’s bulk modulus is more pressure-dependent than its Young’s modulus. This is analogous to the findings of Gagnon et al. [36] for ice (Ih). The bulk modulus is most sensitive to pressure for the CO2-NH sH gas hydrate while the Xe-NH sH gas hydrate comes last in bulk modulus pressure-dependency. Moreover, Young’s moduli of Xe-NH and CO2-NH sH gas hydrates are slightly more pressure-dependent compared to their bulk moduli. The shear modulus of sH gas hydrates is less sensitive to pressure change compared to other moduli, however, the presence of guest molecules tends to increase the shear modulus dependency on applied pressure. The resistance to shear increases under compression for both Xe-NH and CO2-NH sH gas hydrates. However, the empty sH gas hydrate experiences a slight decrease in shear modulus with compression which is related to the softening of C44 value as pressure increases. A similar result was obtained for the pressure-dependent shear modulus of hexagonal ice (Ih) by Gagnon et al. [36].
To measure the degree of brittleness and ductility and their pressure-dependency, the Poisson’s ratio (ν), and the shear to bulk moduli (G/B) ratio are studied. Figure 3 shows the pressure-dependent Poisson’s ratio (ν) and (G/B) for CO2-NH sH gas hydrate and Table 5 presents those of empty and Xe-NH sH gas hydrates. The ductile-brittle nature of sH gas hydrates is found to change slightly with pressure. Poisson’s ratio of empty and CO2-NH sH gas hydrates slightly increase with compression, however, their G/B ratios slightly decrease with pressure. On the other hand, the Xe-NH sH gas hydrate experience slight fluctuations in ν and G/B with increased pressure. Empty sH gas hydrate is found to be more ductile under pressure compared to filled hydrate structures investigated here with higher Poisson’s ratio and lower G/B ratio. This agrees with our previous findings [3] for different sH gas hydrates of neohexane.
The detection of gas hydrates’ location requires proper measurements of wave velocities or elastic speeds of sound. The importance of obtaining the longitudinal (VL) and transverse (VT) wave velocities is clear in the relationship between those velocities and other critical elastic properties of a material. The longitudinal (VL) and transverse (VT) wave velocities of different sH gas hydrate structures were computed from first principles at 0 GPa and are presented in our previous work [3]. The pressure-dependency of those velocities for empty, Xe-NH, and CO2-NH sH gas hydrates is discussed here. Table 6 has VT and VL of empty and Xe-NH sH gas hydrates at three pressure points and 0 K and Figure 4 shows the pressure-dependent velocities of CO2-NH sH gas hydrate. For filled sH gas hydrates (Xe-NH, CO2-NH) there is a clear increase of both velocities with increased pressure. However, the longitudinal wave velocity (VL) experiences a larger rate of change with pressure compared to the transverse wave velocity (VT). The transverse wave velocity of empty sH gas hydrate is weakly dependent on pressure and experience a slight decrease unlike that of filled sH gas hydrates. This is due to the slight decrease of empty sH gas hydrate’s shear modulus and its density increase with compression. Empty sH gas hydrate has the highest longitudinal wave velocity among the other systems presented here at all pressures. This can be explained by the higher density of filled sH gas hydrates compared to empty sH. Transverse wave velocity depends on shear modulus and density, while longitudinal wave velocity depends on Young’s modulus (and hence bulk and shear moduli), Poisson’s ratio, and density. The pressure-dependence of those velocities is basically understood through the pressure-dependence of Poisson’s ratio, density, and shear and bulk moduli.
Helgerud et al. [32] investigated using experimental data the pressure-dependent wave speeds for ice (Ih), methane sI, and methane-ethane sII gas hydrates. They found that the compressional wave speed increases with pressure for the three structures which agrees with the findings presented here. However, they determined that the transverse wave speed of the three structures experience an uncommon decrease with applied pressure. This decrease in transverse wave speed with pressure was previously reported based on experimental findings for ice (Ih) by Gagnon et al. [36]. Suwa et al. [34] presented acoustic velocities of argon sII and methane sI gas hydrates at different pressures based on experimental data. The trend they presented shows the slight increase of longitudinal wave velocity with pressure with almost pressure-independent transverse wave velocity. The computed pressure-dependent longitudinal and transverse wave velocities from experimental data of cubic and hexagonal phases of methane hydrates of Beam et al. [33] show an increase with increased pressure for both velocities. This agrees with the findings in this work for filled sH gas hydrates.

3.3. Direction-Dependent Elastic Properties under Pressure

Anisotropy of a material describes the direction dependence of its properties. It is essential to determine the anisotropy of gas hydrates to properly understand their direction-dependent mechanical properties which is important for gas hydrates’ detection and recovery. There are different anisotropy measurements available in the literature. In this work, the universal elastic anisotropy index (AU) [56] is computed for the empty, Xe-NH, and CO2-NH sH gas hydrates under different pressures. This factor is general for any crystal symmetry and it is a generalization of the Zener anisotropy factor. For isotropic materials AU equals zero and a deviation from this reflects the material’s structural anisotropy. The Young’s and shear moduli anisotropy factors can be obtained by taking the ratio of the moduli in the z-axis direction and that in the x-axis direction. A value of one for both moduli anisotropy factors is expected for an isotropic structure and a deviation from one indicates the material’s moduli anisotropy. This measurement was previously utilized by Tromans [57] for computing different HCP metals’ anisotropy. The formulas of those factors are available in Appendix A.
As observed by Figure 5 and Table 7, the universal elastic anisotropy index (AU) increases with applied pressure for empty and CO2-NH sH gas hydrates. This reflects the slight increase in difference between Voigt and Reuss limits of each moduli with compression. The filling of hydrate cages provides support to the structure via the guest-host intermolecular interactions; however, the shape and chemistry of guests might introduce additional anisotropy under pressure. As clear by the Xe-NH sH gas hydrate’s data, the universal elastic anisotropy index decreases and stabilizes with pressure up to 2.9 GPa, which might be due to the spherical shape of xenon. However, the CO2 molecule is linear in shape which can impact the cages’ symmetry and hence overall structure’s anisotropy. AU can reflect the structure’s bonding characteristics [31] and its variation with applied pressure indicates the structure’s pressure-dependent anisotropy.
Murayama et al. [63] investigated sH gas hydrate of neohexane and different help gases experimentally and using molecular dynamics. Their work discussed the impact of guest molecules’ type on sH gas hydrate’s anisotropic compressibility. The experimental findings of Takeya et al. [64] revealed the anisotropy of sH gas hydrate unit cell parameters’ response to change in large guest molecule. In addition, Arai et al. [65] used powder X-ray diffraction and molecular dynamics simulations to investigate the impact of guest molecules on sH gas hydrate structure. Their findings highlighted the anisotropy of the sH gas hydrate structure due to the inclusion of nitrogen molecule as a small guest. The anisotropy of the lattice constants temperature-dependence is explained by the rotational motion of the linear nitrogen molecule in addition to its anisotropic distribution inside the nonspherical medium cages. The findings of Arai et al. [65] coincide with the outcomes of this work on the imposed anisotropy on neohexane sH gas hydrate due to the encapsulation of the linear carbon dioxide molecule in the small and medium cages of sH gas hydrate at 0 K and different pressures.
The Young’s and shear moduli anisotropy factors (fE and fG, respectively) vary with pressure and with guest type. For empty sH gas hydrate, Young’s modulus anisotropy factor (fE) gets closer to a value of one with increased pressure (Table 7). This means that as compression increases, Young’s modulus on the prismatic and basal planes become closer to each other. The opposite is observed for empty sH gas hydrate’s shear modulus that experiences an increase in its shear modulus anisotropy factor (fG) which reflects the larger difference between shear modulus on the basal and prismatic planes as pressure increases. The values of fE and fG of Xe-NH sH gas hydrate (Table 7) show the integration of guest chemistry and pressure in affecting the moduli anisotropy factors. Young’s modulus anisotropy factor (fE) of Xe-NH sH gas hydrate is found to be most deviated from a value of one at 2 GPa, followed by 2.9 GPa, and 1 GPa. However, its shear modulus anisotropy factor (fG) deviation from one at 2.9 GPa is bigger than those at 1 and 2 GPa. Figure 5 shows that the pressure-dependent fE and fG of CO2-NH sH gas hydrate decrease below one with increased pressure and hence reflect the increased structure’s moduli anisotropy. As evident by Figure 5, the Young’s modulus anisotropy factor (fE) of CO2-NH sH gas hydrate is more pressure-dependent compared to its shear modulus anisotropy factor (fG).
Elastic constants of sH gas hydrates can also reflect the structure’s anisotropy. C11 and C33 both define the material’s resistance to strain in the x-axis and the z-axis directions, respectively. The larger the difference between these two constants is, the higher is the elastic anisotropy of the structure. As pressure increases, the difference between C11 and C33 of CO2-NH sH gas hydrate increases (Figure 1) which explains its increased elastic anisotropy. In the same manner, the difference between C44 and C66 contributes to the anisotropy in shear modulus of sH gas hydrate. C44 is related to the structure’s resistance to basal shear deformation, while C66 is related the structure’s resistance to prismatic shear deformation in a hexagonal crystal [66]. Computing the difference between C44 and C66 of CO2-NH sH gas hydrate investigated in this work confirms the increased shear anisotropy of the structure with compression.
Different anisotropy factors indicate the level of anisotropy of a certain structure; however, the angular dependence of properties shows their variation with orientation and indicates the directions along which a property is maximum/minimum. Equations (4) and (5) compute the reciprocal of the Young’s and shear moduli, respectively, using the crystal’s compliances (Sαβ). Figure 6 presents the relationship between the hexagonal unit cell axes (a, b, c) and the x, y, and z-axes. The vector (z1) is the normal to a plane that intercepts the x, y, and z-axes and θ is its direction with respect to the z-axis (c-axis) of the unit cell. Further details on axes rotation are provided in reference [57].
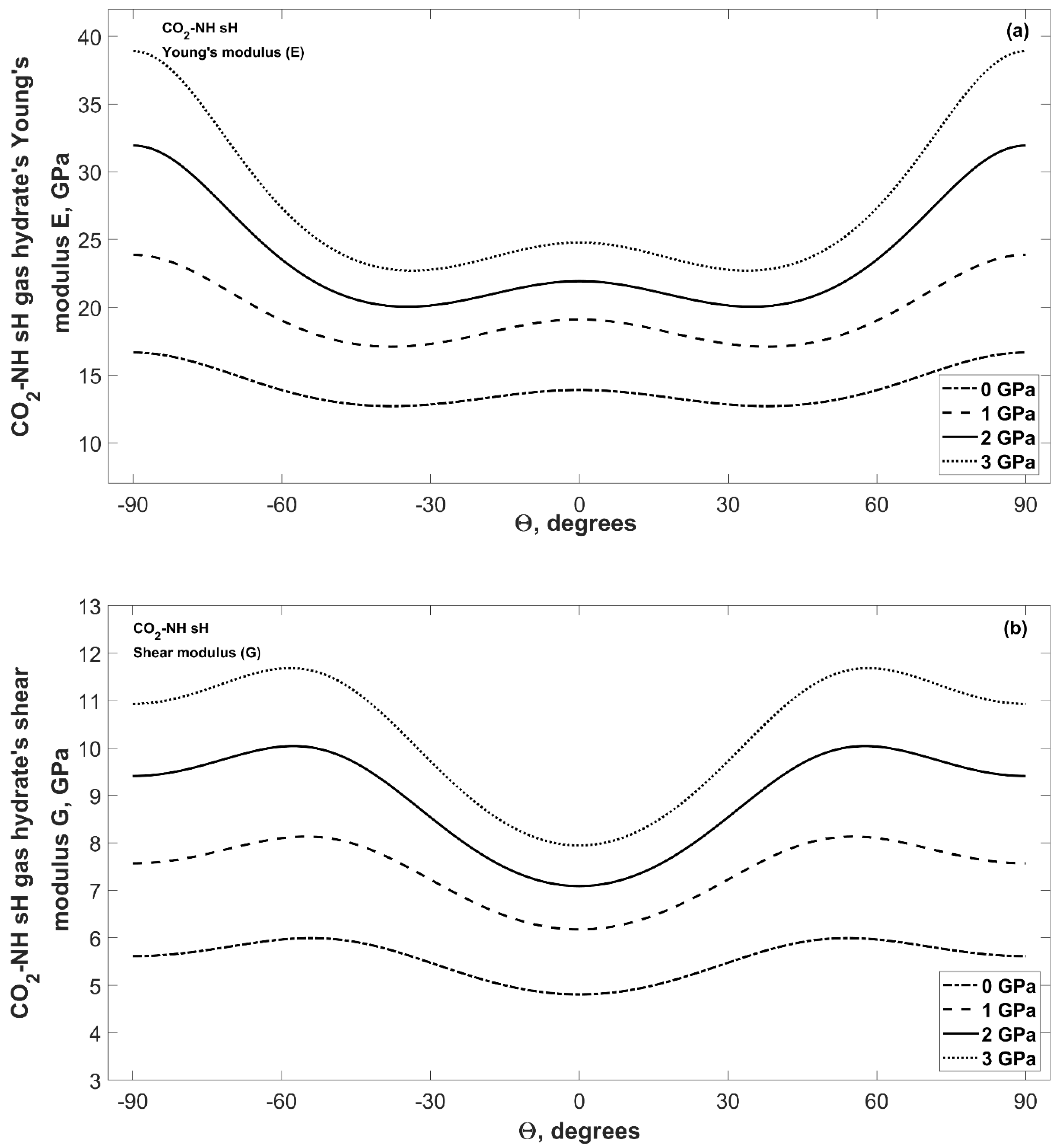
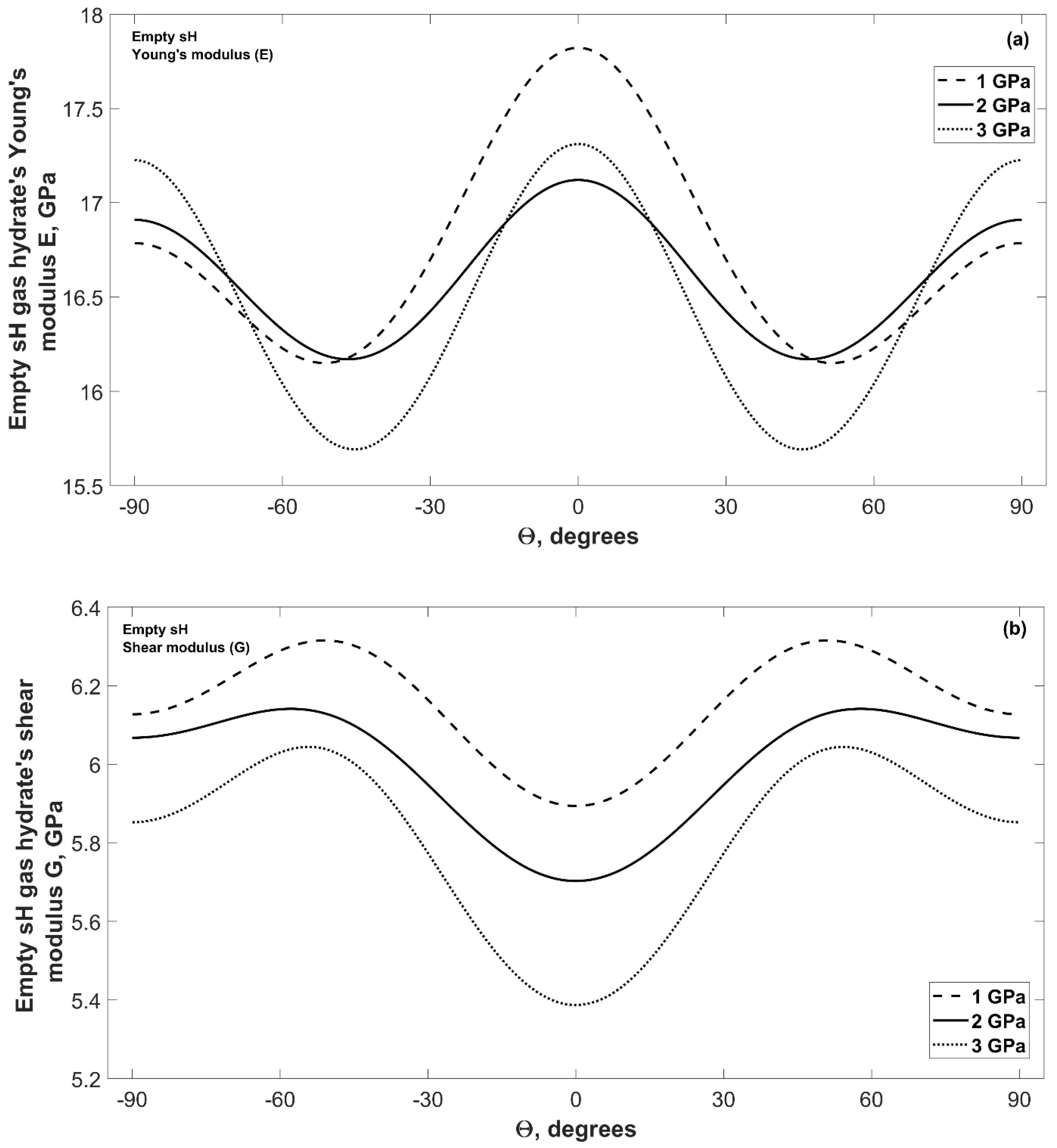
To characterize the variation of Young’s and shear moduli of sH gas hydrates with direction, the moduli versus the angle θ of empty, Xe-NH, and CO2-NH sH gas hydrates are presented in Figure 7, Figure 8, and Figure 9, respectively. The trends of the direction dependent moduli are the same for the same hydrate structure at different pressures. Figure 7, Figure 8 and Figure 9 clearly show the cylindrical symmetry of sH gas hydrates’ Young’s and shear moduli with respect to the z-axis (c-axis, [0001]) of the hexagonal unit cell of sH gas hydrate.
As Figure 7 clearly shows, the Young’s modulus of empty sH gas hydrate is maximum at θ = 0° or in the z-axis direction (on the basal plane) and another maximum is observed at θ = 90° (on the prismatic planes). Young’s modulus is minimum at 30° < θ < 60° for empty sH gas hydrate at different pressures. On the other hand, empty sH gas hydrate’s shear modulus has a maximum at 30° < θ < 70°. It is minimum in the z-axis direction (θ = 0°) and another minimum is observed at θ = 90°. The angular moduli curves also reflect the anisotropy of the structure at certain pressure. Angular Young’s modulus of empty sH gas hydrate on the prismatic and basal planes become closer to each other with increased pressure which agrees with the findings from the pressure dependency of fE for this structure. However, the angular shear modulus on the prismatic and basal planes tend to deviate from each other with increased compression and that agrees with the behavior of fG of empty sH gas hydrate under compression. Figure 7 shows that Young’s modulus has little dependency on pressure, while shear modulus of empty sH gas hydrate slightly decreases with increased pressure. This is clear by the slight downshift of the shear modulus curve with increased compression (Figure 7b). This observation agrees with the pressure-dependent polycrystalline moduli presented in Table 4.
The Xe-NH sH gas hydrate’s direction-dependent moduli are presented in Figure 8 which shows a similar behavior of both moduli with direction to that of empty sH gas hydrate. The Young’s modulus of Xe-NH sH gas hydrate is maximum on the basal (θ = 0°) and prismatic (θ = 90°) planes and is minimum for 30° < θ < 60°. However, the shear modulus is minimum on the basal and prismatic planes and has a maximum value in the direction corresponding to 20° < θ < 70°. The pressure also affects the location of the smallest value of shear modulus for Xe-NH sH gas hydrate. The smallest shear modulus for this structure is observed at θ = 90° when the structure is compressed to 1 GPa. However, the shear modulus is smallest in the z-axis direction (θ = 0°) for higher pressures. Angular Young’s modulus of Xe-NH sH gas hydrate at 2 GPa has the highest difference between its values on the basal and the prismatic planes, while that at 1 GPa has the smallest difference which agrees with fE values from Table 7. The outcomes from the angular shear modulus curves (Figure 8b) agree with the fG values change with pressure for Xe-NH sH gas hydrate (Table 7). The effect of pressure on the direction-dependent Young’s and shear moduli of Xe-NH is observed by the upward shift in their curves as pressure increases. This coincides with the pressure dependence of the polycrystalline moduli presented in Table 4 for Xe-NH sH gas hydrate.
The impact of guest type and chemistry on the angular properties of sH gas hydrates is apparent through the direction-dependent Young’s modulus of CO2-NH sH gas hydrate (Figure 9a). The general behavior of the direction-dependent Young’s modulus of CO2-NH in terms of the location of moduli maxima and minima is comparable with those of empty and Xe-NH sH gas hydrates. However, Young’s modulus presented in Figure 9a has the biggest value on the prismatic planes (θ = 90°) and has another (smaller) maximum on the basal plane (θ = 0°) which is opposite to what is observed in Figure 7a and Figure 8a where the biggest Young’s modulus is in the z-axis direction. The shear modulus of CO2-NH sH gas hydrate is minimum on the basal and the prismatic planes and it is maximum for 30° < θ < 70° which resembles the shear moduli curves of empty (Figure 7b) and Xe-NH (Figure 8b) sH gas hydrates. The increased anisotropy of both Young’s and shear moduli of CO2-NH sH gas hydrate with compression is noticeable in the rising difference between the moduli at θ = 0° and θ = 90° with compression which acknowledges the pressure-dependent anisotropy factors presented in Figure 5. In agreement with the polycrystalline pressure dependence of CO2-NH sH gas hydrate’s moduli (Figure 2), the angular Young’s and shear moduli (Figure 9) increase with compression.
To better characterize the anisotropy in Young’s and shear moduli of sH gas hydrates under pressure, the projections of the moduli on polar plots are used where the y-axis of the plot is the vector parallel to the z-axis (c-axis) and the x-axis of the plot is the vector perpendicular to the z-axis (c-axis) of the sH gas hydrate’s unit cell. Isotropic materials have a plot of circular shape and the deviation from this constant curvature shape reflects the material’s moduli anisotropy [42]. Figure 10 shows the Young’s (a) and shear (b) moduli projections or polar plots of empty sH gas hydrate. The empty structure experiences a distorted circular symmetry of both moduli at all pressures. However, the deviation from the circular shape is more pronounced for the Young’s modulus (Figure 10a). The shear modulus of empty sH gas hydrate in polar coordinates slightly deviates from the circular shape reflecting the small shear moduli anisotropy that marginally increases with pressure (Figure 10b). The higher anisotropic characteristics of Young’s modulus compared to shear modulus anisotropy of empty sH gas hydrate agrees with the findings for hexagonal ice (Ih) [38]. Franco Pinheiro Moreira et al. [38] evaluated the Young’s and shear moduli of ice (Ih) using molecular dynamics and different water models at zero temperature and zero pressure. They also discussed the impact of chosen water model on elastic anisotropy. Their results show that angular Young’s modulus of ice (Ih) deviates from the circular shape more than its shear modulus does. Notably this particular behavior of ice (Ih) moduli [38] is equivalent to that of the hexagonal empty sH gas hydrate of this work, highlighting the impact of symmetry.
As previously discussed, the polar-coordinate plots of moduli projections (Figure 10) of empty sH gas hydrate demonstrate that its Young’s modulus is more anisotropic than its shear modulus. This agrees with the moduli anisotropy factors (Table 7) of this structure except at 3 GPa. It is critical to highlight that using the moduli anisotropy factors does not always accurately reflect the overall moduli anisotropic behavior. For example, a system can have equal Young’s modulus in the z-axis direction and that in the direction perpendicular to it (E(θ = 90°) = E(θ = 0°) → fE = 1) which differs from its Young’s modulus at θ = 45°. In that case using the moduli anisotropy factor alone can give inaccurate indication of a structure’s elastic anisotropy.
Figure 11 presents the moduli polar-coordinate plots of Xe-NH sH gas hydrates and shows the impact of pressure on moduli anisotropy. The higher the pressure, the more anisotropic the moduli are for Xe-NH sH gas hydrate. Young’s modulus of Xe-NH sH gas hydrate is more anisotropic than its shear modulus with higher distortion of the circular symmetry. At 1 GPa, the shear modulus of Xe-NH is in fact isotropic with an almost circular projection of its shear modulus. Despite that fG values of the Xe-NH sH gas hydrate at 1 and 2 GPa are almost equally different from one, the 2 GPa projection of shear modulus appears more anisotropic compared to that at 1 GPa. This once again illustrates that the moduli projection or polar plot is a better representation of the overall moduli direction dependency. The polar-coordinate plots also reflect the effect of compression on moduli values and proves the higher dependency of Xe-NH sH gas hydrate’s moduli on applied pressure compared to that of the empty sH gas hydrate.
As discussed earlier; the linear shape and chemistry of the CO2 molecule play a role in defining the properties of gas hydrates encapsulating it. Understanding the factors affecting carbon dioxide gas hydrates is essential for a better interpretation of their mechanical properties and how they behave under different conditions. The angular dependence of this hydrate’s properties is crucial for engineering applications related to carbon dioxide sequestration. Figure 12 presents the polar-coordinate Young’s and shear moduli of CO2-NH sH gas hydrate at equilibrium (0 GPa) and at different pressures. As evident by Figure 12, Young’s modulus of CO2-NH sH gas hydrate is more anisotropic than its shear modulus which agrees with the earlier findings of empty and Xe-NH sH gas hydrates.
The shear and Young’s moduli anisotropy of the CO2-NH sH gas hydrate increases with pressure and is more pressure-dependent compared to those of empty and Xe-NH sH gas hydrates. In general, the filling of sH gas hydrate changes its moduli anisotropy which is tunable by the guest shape and chemistry. This was previously concluded from our first-principles study of different sH gas hydrates at 0 GPa (Ref. [3]). This work demonstrates that the compression of neohexane structure-H gas hydrates containing xenon and carbon dioxide as guests is accompanied by an increased anisotropy of the structures’ Young’s and shear moduli. This calls for expanding the investigation of sH gas hydrate’s mechanical properties in different chemical environments using different guest molecules.
Panda and Ravi Chandran [43] explained the moduli anisotropy of hexagonal TiB2 by interpreting its chemical bonding. They attributed the elastic anisotropy on the YZ plane to the difference in the structure’s bond strengths. In a similar manner, the Young’s modulus anisotropy of sH gas hydrate in the z-axis direction can be explained by the variation of bond strength among the OH covalent bonds, the hydrogen bonds, and the guest-host interactions. As previously discussed for sH gas hydrates [3,7], the structures’ hydrogen bonds contribute to their moduli. The difference in hydrogen bond density and strength across the different planes of sH gas hydrate can influence the structure’s bulk and Young’s moduli. This could explain the more pronounced Young’s modulus anisotropy compared to that of shear modulus for sH gas hydrates. The guest-host interactions add to the chemical bond environment variations in sH gas hydrate’s structure and should be carefully studied.
Investigating the sH gas hydrate’s unit cell elastic constants, polycrystalline properties, and direction-dependent moduli under compression highlights noticeable changes in its stiffness and resistance to changes in shape and volume. It is of interest to examine sH gas hydrate’s elastic and direction dependent behavior under tensile stress as well. For this purpose, the empty sH gas hydrate structure was studied under a pressure of −1 GPa. The different elastic properties of this structure under a pressure of −1 GPa are listed in Table 8. The elastic constants are lower than those reported in Table 2 for empty sH gas hydrate under pressure of 1 to 3 GPa. They are also lower than those previously reported for empty sH gas hydrate under zero temperature and pressure (Ref. [3]). The bulk modulus is noticeably reduced under tensile, while shear and Young’s modulus are less affected. Brittle nature is higher compared to the system under zero stress (Ref. [3]) and under compression (Table 5) as observed by the lower Poisson’s ratio (ν) and the higher G/B ratio. The longitudinal wave velocity (VL) is more affected by tensile stress compared to the transverse wave velocity (VT), which was previously confirmed for sH hydrates under compression.
The values of the elastic constants reflect the increased isotropic features in empty sH gas hydrate under tensile conditions. C11 and C33 are very close to each other indicating isotropy in elastic moduli. In addition, C66 (= 0.5(C11-C12) = 4.80 GPa) is very close to C44 reflecting the isotropy in shear. This is further confirmed by the moduli anisotropy factors fE and fG with values almost equal to one, and the universal elastic anisotropy index AU that has a nearly zero value. Figure 13 also confirms the isotropic nature of Young’s and shear moduli of empty sH gas hydrate under a pressure of −1 GPa.

4. Conclusions

The elastic properties of gas hydrates are crucial for engineering applications where gas hydrates are recovered or being considered for gas sequestration. This work discusses the elasticity of structure-H (sH) gas hydrate under applied pressure and aims to shed light and provide a quantitative characterization of the main contributing factors that affect its properties. The first-principles computations of this work are also utilized to establish and explain the angular dependent moduli and anisotropy under pressure.
Elastic constants change with pressure and their variation depends on the type of guest molecules inside the hydrate cages. This is a notable chemo-mechanical effect with a rich application potential. The increase in elastic constants with compression reflects the increased elasticity, incompressibility, and resistance to shear of filled sH gas hydrates. The empty sH gas hydrate structure that lacks the support from guest molecules can undergo structural instability with increased tendency for phase change under compression. Compression of filled sH gas hydrates has the largest effect on the elastic constants associated with principal axes (C11 and C33) compared to shear elastic constants (C12, C13, C44) and mostly affects the hydrate’s bulk and Young’s moduli. The encapsulation of guests also increases the pressure’s impact on sH gas hydrate’s resistance to shear deformations. Atomic bonding in the z-axis direction could be larger than that in the x-axis direction for empty and Xe-NH sH gas hydrates as revealed by their elastic constants. However, encapsulating CO2 in the small and medium cages potentially weakens the atomic bonding in the z-axis direction. This change in guest chemical environment contributes to changes in sH gas hydrate’s physical properties. A more comprehensive analysis of the chemical bonding across the different sH gas hydrate’s planes is required to better evaluate the chemical bonding influence on the hydrate’s directional physical characteristics.
Structure-H (sH) gas hydrate’s anisotropy is affected by pressure and guest chemistry. Carbon dioxide as a linear molecule with quadrupole moment increases the anisotropy of sH gas hydrate considerably. This emphasizes the importance of accurately evaluating the angular anisotropy of sH gas hydrates which is impacted by guest type. The angular Young’s and shear moduli of investigated sH gas hydrates have different locations of maxima and minima. Moduli polar-coordinate plots reflect the moduli anisotropic characteristics of sH gas hydrates and their variation with guest type and pressure. Structure-H gas hydrate has larger anisotropy of its Young’s modulus compared to that of its shear modulus. This necessitates more investigation of variations in guest chemistry, cage occupancy, and atomic bonding across the hydrate’s different planes that can contribute to its elastic moduli anisotropy.
Taken together, the predicted and partially validated data, the elucidated structure-property relations and theoretical insights on chemo-mechanics are significant contributions to the material physics and technology of sH gas hydrates.

Author Contributions

Conceptualization, S.M.D., P.S. and A.D.R.; Formal analysis, S.M.D.; Funding acquisition, P.S. and A.D.R.; Investigation, S.M.D.; Methodology, S.M.D. and A.D.R.; Project administration, P.S. and A.D.R.; Resources, P.S. and A.D.R.; Software, S.M.D.; Supervision, P.S. and A.D.R.; Validation, S.M.D.; Visualization, S.M.D.; Writing—original draft, S.M.D.; Writing—review and editing, S.M.D., P.S. and A.D.R. All authors have read and agreed to the published version of the manuscript.

Funding

This research was funded by Natural Sciences and Engineering Council of Canada, discovery grant number NSERC RGPIN-2019-03910.

Institutional Review Board Statement

Not applicable.

Informed Consent Statement

Not applicable.

Data Availability Statement

Not applicable.

Acknowledgments

This work was supported by Compute Canada and Calcul Québec. A.D.R. and P.S. are thankful for the Natural Sciences and Engineering Council of Canada (NSERC) for funding through the Discovery Grant Program. A.D.R. is thankful for the James McGill Professorship appointment funding, McGill University. S.M.D. is thankful for the support through the Natural Sciences and Engineering Research Council of Canada (NSERC), the Graduate Excellence Award, and the Ulmer-Lamothe Graduate Award of the Chemical Engineering department, McGill University.

Conflicts of Interest

The authors declare no conflict of interest.

Appendix A

Appendix A.1. Polycrystalline Bulk Modulus (B)

Voigt B Voigt = 1 9 [ 2 ( C 11 + C 12 ) + 4 C 13 + C 33 ]
Reuss B Reuss = ( C 11 + C 12 ) C 33 2 C 13 2 C 11 + C 12 + 2 C 33 4 C 13
Voigt-Reuss-Hill B = B Voigt + B Reuss 2

Appendix A.2. Polycrystalline Shear Modulus (G)

Voigt G Voigt = 1 30 [ 12 C 66 + 12 C 44 + C 11 + C 12 + 2 C 33 4 C 13 ]
Reuss G Reuss = 5 2 [ C 44 C 66 ( ( C 11 + C 12 ) C 33 2 C 13 2 ) ( C 44 + C 66 ) ( ( C 11 + C 12 ) C 33 2 C 13 2 ) + 3 B V C 44 C 66 ]
Voigt-Reuss-Hill G = G Voigt + G Reuss 2

Appendix A.3. Other Polycrystalline Properties

Young’s modulus E = 9 BG 3 B + G
Poisson’s ratio ν = 3 B 2 G 2 ( 3 B + G )
Longitudinal wave velocity V L = ( E ( 1 ν ) ρ ( 1 + ν ) ( 1 2 ν ) ) 0.5
Transverse wave velocity V T = ( G ρ ) 0.5
Universal elastic anisotropy index A U = 5 G Voigt G Reuss + B Voigt B Reuss 6   0
Young’s modulus anisotropy f E = S 11 S 33
Shear modulus anisotropy f G = S 44 + 2 S 11 2 S 12 2 S 44

References

  1. Sloan, E.D.; Koh, C.A. Clathrate Hydrates of Natural Gases, 3rd ed.; CRC Press: Boca Raton, FL, USA, 2008. [Google Scholar]
  2. Ripmeester, J.A.; John, S.T.; Ratcliffe, C.I.; Powell, B.M. A new clathrate hydrate structure. Nature 1987, 325, 135–136. [Google Scholar] [CrossRef]
  3. Daghash, S.M.; Servio, P.; Rey, A.D. Elastic Properties and Anisotropic Behavior of Structure-H (sH) Gas Hydrate from First Principles. Chem. Eng. Sci. 2020, 227, 115948. [Google Scholar] [CrossRef]
  4. Giavarini, C.; Hester, K. Gas Hydrates: Immense Energy Potential and Environmental Challenges; Springer: London, UK, 2011. [Google Scholar]
  5. Ning, F.; Yu, Y.; Kjelstrup, S.; Vlugt, T.J.H.; Glavatskiy, K. Mechanical Properties of Clathrate Hydrates: Status and Perspectives. Energy Environ. Sci. 2012, 5, 6779. [Google Scholar] [CrossRef]
  6. Daghash, S.M.; Servio, P.; Rey, A.D. Structural Properties of sH Hydrate: A DFT Study of Anisotropy and Equation of State. Mol. Simul. 2019, 45, 1524–1537. [Google Scholar] [CrossRef]
  7. Daghash, S.M.; Servio, P.; Rey, A.D. From Infrared Spectra to Macroscopic Mechanical Properties of sH Gas Hydrates through Atomistic Calculations. Molecules 2020, 25, 5568. [Google Scholar] [CrossRef] [PubMed]
  8. Jendi, Z.; Servio, P.; Rey, A. Ab initio modelling of methane hydrate thermophysical properties. Phys. Chem. Chem. Phys. 2016, 18, 10320–10328. [Google Scholar] [CrossRef] [PubMed]
  9. Jendi, Z.M.; Rey, A.D.; Servio, P. Ab initio DFT study of structural and mechanical properties of methane and carbon dioxide hydrates. Mol. Simul. 2015, 41, 572–579. [Google Scholar] [CrossRef]
  10. Jendi, Z.M.; Servio, P.; Rey, A.D. Ideal Strength of Methane Hydrate and Ice Ih from First-Principles. Cryst. Growth Des. 2015, 15, 5301–5309. [Google Scholar] [CrossRef]
  11. Mathews, S.L.; Servio, P.D.; Rey, A.D. Heat Capacity, Thermal Expansion Coefficient, and Grüneisen Parameter of CH4, CO2, and C2H6 Hydrates and Ice Ih via Density Functional Theory and Phonon Calculations. Cryst. Growth Des. 2020, 20, 5947–5955. [Google Scholar] [CrossRef]
  12. Vlasic, T.M.; Servio, P.; Rey, A.D. Atomistic modeling of structure II gas hydrate mechanics: Compressibility and equations of state. AIP Adv. 2016, 6, 085317. [Google Scholar] [CrossRef]
  13. Vlasic, T.M.; Servio, P.D.; Rey, A.D. THF Hydrates as Model Systems for Natural Gas Hydrates: Comparing Their Mechanical and Vibrational Properties. Ind. Eng. Chem. Res. 2019, 58, 16588–16596. [Google Scholar] [CrossRef]
  14. Vlasic, T.M.; Servio, P.D.; Rey, A.D. Infrared Spectra of Gas Hydrates from First-Principles. J. Phys. Chem. B 2019, 123, 936–947. [Google Scholar] [CrossRef]
  15. Vlasic, T.M.; Servio, P.D.; Rey, A.D. Effect of Guest Size on the Mechanical Properties and Molecular Structure of Gas Hydrates from First-Principles. Cryst. Growth Des. 2017, 17, 6407–6416. [Google Scholar] [CrossRef]
  16. Shimada, N.; Sugahara, K.; Sugahara, T.; Ohgaki, K. Phase transition from structure-H to structure-I in the methylcyclohexane + xenon hydrate system. Fluid Phase Equilibria 2003, 205, 17–23. [Google Scholar] [CrossRef]
  17. Liang, S.; Kusalik, P.G. Communication: Structural interconversions between principal clathrate hydrate structures. J. Chem. Phys. 2015, 143, 011102. [Google Scholar] [CrossRef]
  18. Liu, L.; Xu, G.; Wang, A.; Wu, X.; Wang, R. First-principles investigations on structure stability, elastic properties, anisotropy and Debye temperature of tetragonal LiFeAs and NaFeAs under pressure. J. Phys. Chem. Solids 2017, 104, 243–251. [Google Scholar] [CrossRef]
  19. Ravindran, P.; Fast, L.; Korzhavyi, P.A.; Johansson, B.; Wills, J.; Eriksson, O. Density functional theory for calculation of elastic properties of orthorhombic crystals: Application to TiSi2. J. Appl. Phys. 1998, 84, 4891–4904. [Google Scholar] [CrossRef]
  20. Tvergaard, V.; Hutchinson, J.W. Microcracking in Ceramics Induced by Thermal Expansion or Elastic Anisotropy. J. Am. Ceram. Soc. 1988, 71, 157–166. [Google Scholar] [CrossRef]
  21. Das, P.K.; Chowdhury, A.; Mandal, N.; Arya, A. First-principles characterisation of the pressure-dependent elastic anisotropy of SnO2 polymorphs. Philos. Mag. 2016, 96, 1861–1882. [Google Scholar] [CrossRef]
  22. Wang, M.; Chen, Z.; Xia, C.; Wu, Y.; Chen, D. Theoretical study of elastic and electronic properties of Al5Mo and Al5W intermetallics under pressure. Mater. Chem. Phys. 2017, 197, 145–153. [Google Scholar] [CrossRef]
  23. Wang, M. The investigation of dependences of mechanical and electronic properties of TiB2 on pressure using the first-principles method. Phys. Scr. 2014, 89, 115702. [Google Scholar] [CrossRef]
  24. Wang, F.; Wu, J.; Xia, C.; Hu, C.; Hu, C.; Zhou, P.; Shi, L.; Ji, Y.; Zheng, Z.; Liu, X. Thermodynamic and elastic properties of hexagonal ZnO under high temperature. J. Alloys Compd. 2014, 597, 50–57. [Google Scholar] [CrossRef]
  25. Liu, Q.-J.; Liu, Z.-T.; Feng, L.-P. Theoretical calculations of mechanical, electronic, chemical bonding and optical properties of delafossite CuAlO2. Phys. B Phys. Condens. Matter 2010, 405, 2028–2033. [Google Scholar] [CrossRef]
  26. Deligoz, E.; Colakoglu, K.; Ciftci, Y. Elastic, electronic, and lattice dynamical properties of CdS, CdSe, and CdTe. Phys. B Phys. Condens. Matter 2006, 373, 124–130. [Google Scholar] [CrossRef]
  27. Zeng, Z.-Y.; Hu, C.-E.; Cai, L.-C.; Chen, X.-R.; Jing, F.-Q. First-principles determination of the structure, elastic constant, phase diagram and thermodynamics of NiTi alloy. Phys. B Phys. Condens. Matter 2010, 405, 3665–3672. [Google Scholar] [CrossRef]
  28. Sarasamak, K.; Limpijumnong, S.; Lambrecht, W.R.L. Pressure-dependent elastic constants and sound velocities of wurtzite SiC, GaN, InN, ZnO, and CdSe, and their relation to the high-pressure phase transition: A first-principles study. Phys. Rev. B Condens. Matter Mater. Phys. 2010, 82, 035201. [Google Scholar] [CrossRef]
  29. Tsuchiya, T.; Kawamura, K. Systematics of elasticity: Ab initio study in B1-type alkaline earth oxides. J. Chem. Phys. 2001, 114, 10086–10093. [Google Scholar] [CrossRef]
  30. Łepkowski, S.P.; Majewski, J.A.; Jurczak, G. Nonlinear elasticity in III-N compounds: Ab initio calculations. Phys. Rev. B 2005, 72, 245201. [Google Scholar] [CrossRef]
  31. Liu, Z.-L.; Zhu, C.-C.; Zhang, X.-L.; Wang, H.-Y. Phase diagram, shock equation of states, and elasticity of metal ruthenium under high pressure. Phys. B Phys. Condens. Matter 2020, 598, 412434. [Google Scholar] [CrossRef]
  32. Helgerud, M.B.; Nur, A.; Kirby, S.H.; Waite, W.F. Elastic wave speeds and moduli in polycrystalline ice Ih, sI methane hydrate, and sII methane-ethane hydrate. J. Geophys. Res. B Solid Earth 2009, 114, B02212. [Google Scholar]
  33. Beam, J.; Yang, J.; Liu, J.; Liu, C.; Lin, J.F. Elasticity of methane hydrate phases at high pressure. J. Chem. Phys. 2016, 144, 154501. [Google Scholar] [CrossRef] [PubMed]
  34. Suwa, I.; Kato, T.; Sasaki, S.; Shimizu, H. High-pressure Brillouin scattering study on Ar hydrate. J. Phys. Condens. Matter 2002, 14, 10679–10682. [Google Scholar] [CrossRef]
  35. Sasaki, S.; Kumazaki, T.; Suwa, I.; Kume, T.; Shimizu, H. High-pressure Brillouin study on methane hydrate. J. Phys. Condens. Matter 2002, 14, 10445–10448. [Google Scholar] [CrossRef]
  36. Gagnon, R.E.; Kiefte, H.; Clouter, M.J.; Whalley, E. Pressure dependence of the elastic constants of ice Ih to 2.8 kbar by Brillouin spectroscopy. J. Chem. Phys. 1988, 89, 4522–4528. [Google Scholar] [CrossRef]
  37. Wen-Duo, H.; Ke, L.; Jia, D.; Yao-Hui, L.; Wen-Lai, Y. First-principles investigation into the effect of pressure on structural, electronic, elastic, elastic anisotropy, thermoelectric and thermodynamic properties of CaMgSi. Results Phys. 2019, 14, 102483. [Google Scholar]
  38. Franco Pinheiro Moreira, P.A.; Gomes de Aguiar Veiga, R.; de Koning, M. Elastic constants of ice Ih as described by semi-empirical water models. J. Chem. Phys. 2019, 150, 044503. [Google Scholar] [CrossRef] [PubMed]
  39. Xiao, B.; Feng, J.; Zhou, C.T.; Jiang, Y.H.; Zhou, R. Mechanical properties and chemical bonding characteristics of Cr7C3 type multicomponent carbides. J. Appl. Phys. 2011, 109, 023507. [Google Scholar] [CrossRef]
  40. Cao, P.; Wu, J.; Zhang, Z.; Fang, B.; Ning, F. Mechanical Properties of Methane Hydrate: Intrinsic Differences from Ice. J. Phys. Chem. C 2018, 122, 29081–29093. [Google Scholar] [CrossRef]
  41. Liu, Y.; Xing, J.; Li, Y.; Sun, L.; Lv, Z.; Fu, H. Structural stability, mechanical properties, electronic structures and thermal properties of XS (X = Ti, V, Cr, Mn, Fe, Co, Ni) binary compounds. Phys. Lett. Sect. A Gen. At. Solid State Phys. 2017, 381, 2648–2657. [Google Scholar] [CrossRef]
  42. Zhu, S.; Zhang, X.; Chen, J.; Liu, C.; Li, D.; Yu, H.; Wang, F. Insight into the elastic, electronic properties, anisotropy in elasticity of Manganese Borides. Vacuum 2019, 165, 118–126. [Google Scholar] [CrossRef]
  43. Panda, K.B.; Ravi Chandran, K.S. Determination of elastic constants of titanium diboride (TiB2) from first principles using FLAPW implementation of the density functional theory. Comput. Mater. Sci. 2006, 35, 134–150. [Google Scholar] [CrossRef]
  44. Tulk, C.A.; Gagnon, R.E.; Kiefte, H.; Clouter, M.J. Elastic constants of ice VI by Brillouin spectroscopy. J. Chem. Phys. 1996, 104, 7854–7859. [Google Scholar] [CrossRef]
  45. Soler, J.M.; Artacho, E.; Gale, J.D.; García, A.; Junquera, J.; Ordejón, P.; Sánchez-Portal, D. The SIESTA Method for Ab Initio Order-N Materials Simulation. J. Phys. Condens. Matter 2002, 14, 2745–2779. [Google Scholar] [CrossRef]
  46. Okano, Y.; Yasuoka, K. Free-Energy Calculation of Structure-H Hydrates. J. Chem. Phys. 2006, 124, 024510. [Google Scholar] [CrossRef] [PubMed]
  47. Zhang, Y.; Yang, W. Comment on “Generalized Gradient Approximation Made Simple”. Phys. Rev. Lett. 1998, 80, 890. [Google Scholar] [CrossRef]
  48. Sin’ko, G.V.; Smirnov, N.A. Ab initio calculations of elastic constants and thermodynamic properties of bcc, fcc, and hcp Al crystals under pressure. J. Phys. Condens. Matter Inst. Phys. J. 2002, 14, 6989–7006. [Google Scholar]
  49. Krasil’nikov, O.M.; Vekilov, Y.K.; Mosyagin, I.Y. Elastic constants of solids at high pressures. J. Exp. Theor. Phys. 2012, 115, 237–241. [Google Scholar] [CrossRef]
  50. Gerd, S.-N.; Cohen, R.E. Comment on ‘On the importance of the free energy for elasticity under pressure’. J. Phys. Condens. Matter 2004, 16, 8783–8786. [Google Scholar]
  51. Marcus, P.M.; Hong, M.; Qiu, S.L. On the importance of the free energy for elasticity under pressure. J. Phys. Condens. Matter 2002, 14, L525–L528. [Google Scholar] [CrossRef]
  52. Sin’ko, G.V.; Smirnov, N.A. Relative stability and elastic properties of hcp, bcc, and fcc beryllium under pressure. Phys. Rev. B 2005, 71, 214108. [Google Scholar] [CrossRef]
  53. Fast, L.; Wills, J.M.; Johansson, B.; Eriksson, O. Elastic constants of hexagonal transition metals: Theory. Phys. Rev. B 1995, 51, 17431–17438. [Google Scholar] [CrossRef] [PubMed]
  54. Grimvall, G. Chapter 4—What values do the elastic constants take? In Thermophysical Properties of Materials; Grimvall, G., Ed.; Elsevier Science B.V.: Amsterdam, The Netherlands, 1999; pp. 46–69. [Google Scholar]
  55. Schreiber, E.; Anderson, O.L.; Soga, N. Elastic Constants and Their Measurement; McGraw-Hill: New York, NY, USA, 1974. [Google Scholar]
  56. Ranganathan, S.I.; Ostoja-Starzewski, M. Universal elastic anisotropy index. Phys. Rev. Lett. 2008, 101, 055504. [Google Scholar] [CrossRef] [PubMed]
  57. Tromans, D. Elastic anisotropy of HCP metal crystals and polycrystals. Int. J. Res. Rev. Appl. Sci. 2011, 6, 462–483. [Google Scholar]
  58. Voigt, W. Lehrbuch der Kristallphysik, mit Ausschluss der Kristalloptik; Johnson Reprint Corp.: New York, NY, USA, 1966. [Google Scholar]
  59. Nye, J.F. Physical Properties of Crystals: Their Representation by Tensors and Matrices; Oxford University Press: Oxford, UK, 1985. [Google Scholar]
  60. Zhang, J.-M.; Zhang, Y.; Xu, K.-W.; Ji, V. General compliance transformation relation and applications for anisotropic hexagonal metals. Solid State Commun. 2006, 139, 87–91. [Google Scholar] [CrossRef]
  61. Huo, H.; Liu, Y.; Zheng, Z.; Zhao, J.; Jin, C.; Lv, T. Mechanical and thermal properties of methane clathrate hydrates as an alternative energy resource. J. Renew. Sustain. Energy 2011, 3, 063110. [Google Scholar] [CrossRef]
  62. Manakov, A.Y.; Likhacheva, A.Y.; Potemkin, V.A.; Ogienko, A.G.; Kurnosov, A.V.; Ancharov, A.I. Compressibility of gas hydrates. Chemphyschem Eur. J. Chem. Phys. Phys. Chem. 2011, 12, 2476–2484. [Google Scholar] [CrossRef] [PubMed]
  63. Murayama, K.; Takeya, S.; Alavi, S.; Ohmura, R. Anisotropic Lattice Expansion of Structure H Clathrate Hydrates Induced by Help Guest: Experiments and Molecular Dynamics Simulations. J. Phys. Chem. C 2014, 118, 21323–21330. [Google Scholar] [CrossRef]
  64. Takeya, S.; Hori, A.; Uchida, T.; Ohmura, R. Crystal lattice size and stability of type H clathrate hydrates with various large-molecule guest substances. J. Phys. Chem. B 2006, 110, 12943–12947. [Google Scholar] [CrossRef]
  65. Arai, Y.; Takeya, S.; Alavi, S.; Yamauchi, Y.; Ohmura, R. Effect of Nonspherical Encapsulated Guests on the Volumetric Behavior of Structure H Clathrate Hydrates. J. Phys. Chem. C 2018, 122, 27631–27639. [Google Scholar] [CrossRef]
  66. Wang, J.; Wang, J.; Zhou, Y.; Hu, C. Phase stability, electronic structure and mechanical properties of ternary-layered carbide Nb4AlC3: An ab initio study. Acta Mater. 2008, 56, 1511–1518. [Google Scholar] [CrossRef]
Figure 1. Pressure-dependent elastic constants of CO2-NH sH gas hydrate at 0 K.
Figure 1. Pressure-dependent elastic constants of CO2-NH sH gas hydrate at 0 K.
Crystals 11 00477 g001
Figure 2. Pressure-dependent bulk (B), Young’s (E), and shear (G) moduli of CO2-NH sH gas hydrate at 0 K.
Figure 2. Pressure-dependent bulk (B), Young’s (E), and shear (G) moduli of CO2-NH sH gas hydrate at 0 K.
Crystals 11 00477 g002
Figure 3. Pressure-dependent Poisson’s ratio (ν) and shear to bulk moduli ratio (G/B) of CO2-NH sH gas hydrate at 0 K.
Figure 3. Pressure-dependent Poisson’s ratio (ν) and shear to bulk moduli ratio (G/B) of CO2-NH sH gas hydrate at 0 K.
Crystals 11 00477 g003
Figure 4. Pressure-dependent transverse (VT) and longitudinal (VL) wave velocities of CO2-NH sH gas hydrate at 0 K.
Figure 4. Pressure-dependent transverse (VT) and longitudinal (VL) wave velocities of CO2-NH sH gas hydrate at 0 K.
Crystals 11 00477 g004
Figure 5. Pressure-dependent anisotropy of CO2-NH sH gas hydrate presented by the universal elastic anisotropy index (AU) and Young’s (fE) and shear (fG) moduli anisotropy factors at 0 K.
Figure 5. Pressure-dependent anisotropy of CO2-NH sH gas hydrate presented by the universal elastic anisotropy index (AU) and Young’s (fE) and shear (fG) moduli anisotropy factors at 0 K.
Crystals 11 00477 g005
Figure 6. The hexagonal unit cell a, b, and c-axes, the orthogonal x, y, and z-axes, and the vector (z1) and its direction (θ) with respect to the z-axis (c-axis). θ = 0° when z1 is parallel to the z-axis (c-axis), and θ = 90° when z1 is perpendicular to the z-axis (c-axis).
Figure 6. The hexagonal unit cell a, b, and c-axes, the orthogonal x, y, and z-axes, and the vector (z1) and its direction (θ) with respect to the z-axis (c-axis). θ = 0° when z1 is parallel to the z-axis (c-axis), and θ = 90° when z1 is perpendicular to the z-axis (c-axis).
Crystals 11 00477 g006
Figure 7. Direction-dependent Young’s E (a) and shear G (b) moduli of empty sH gas hydrate at different pressures and 0 K.
Figure 7. Direction-dependent Young’s E (a) and shear G (b) moduli of empty sH gas hydrate at different pressures and 0 K.
Crystals 11 00477 g007
Figure 8. Direction-dependent Young’s E (a) and shear G (b) moduli of Xe-NH sH gas hydrate at different pressures and 0 K.
Figure 8. Direction-dependent Young’s E (a) and shear G (b) moduli of Xe-NH sH gas hydrate at different pressures and 0 K.
Crystals 11 00477 g008
Figure 9. Direction-dependent Young’s E (a) and shear G (b) moduli of CO2-NH sH gas hydrate at different pressures and 0 K.
Figure 9. Direction-dependent Young’s E (a) and shear G (b) moduli of CO2-NH sH gas hydrate at different pressures and 0 K.
Crystals 11 00477 g009
Figure 10. Polar plots of Young’s E (a) and shear G (b) moduli of empty sH gas hydrate at different pressures and 0 K. Moduli unit is GPa.
Figure 10. Polar plots of Young’s E (a) and shear G (b) moduli of empty sH gas hydrate at different pressures and 0 K. Moduli unit is GPa.
Crystals 11 00477 g010
Figure 11. Polar plots of Young’s E (a) and shear G (b) moduli of Xe-NH sH gas hydrate at different pressures and 0 K. Moduli unit is GPa.
Figure 11. Polar plots of Young’s E (a) and shear G (b) moduli of Xe-NH sH gas hydrate at different pressures and 0 K. Moduli unit is GPa.
Crystals 11 00477 g011
Figure 12. Polar plots of Young’s E (a) and shear G (b) moduli of CO2-NH sH gas hydrate at different pressures and 0 K. Moduli unit is GPa.
Figure 12. Polar plots of Young’s E (a) and shear G (b) moduli of CO2-NH sH gas hydrate at different pressures and 0 K. Moduli unit is GPa.
Crystals 11 00477 g012
Figure 13. Polar plots of Young’s (E) and shear (G) moduli of empty sH gas hydrate at 0 K and −1 GPa pressure. Moduli unit is GPa.
Figure 13. Polar plots of Young’s (E) and shear (G) moduli of empty sH gas hydrate at 0 K and −1 GPa pressure. Moduli unit is GPa.
Crystals 11 00477 g013
Table 1. Applied strains (in Voigt notation) and corresponding total energy expansion of sH gas hydrate under pressure.
Table 1. Applied strains (in Voigt notation) and corresponding total energy expansion of sH gas hydrate under pressure.
Strain, e = (e1, e2, e3, e4, e5, e6)E(V, e) =
e = (δ,0,0,0,0,0) E ( V o , 0 ) V o P δ + V o 2 C 11 δ 2
e = (0,0,δ,0,0,0) E ( V o , 0 ) V o P δ + V o 2 C 33 δ 2
e = (0,0,0,δ,δ,0) E ( V o , 0 ) + V o C 44 δ 2
e = (δ,δ,0,0,0,0) E ( V o , 0 ) 2 V o P δ + V o 2 ( 2 C 11 + 2 C 12 ) δ 2
e = (δ,0,δ,0,0,0) E ( V o , 0 ) 2 V o P δ + V o 2 ( C 11 + 2 C 13 + C 33 ) δ 2
Table 2. Elastic constants (Cαβ) of empty and Xe-NH sH gas hydrates under pressure and at 0 K.
Table 2. Elastic constants (Cαβ) of empty and Xe-NH sH gas hydrates under pressure and at 0 K.
CαβEmpty sH Gas HydrateXe-NH 1 sH Gas Hydrate
1 GPa2 GPa3 GPa1 GPa2 GPa2.9 GPa
C1124.4927.8832.3330.1234.8240.50
C1211.7314.9219.5213.1312.2314.29
C1312.4116.7020.899.0811.0813.39
C3326.3330.1534.1428.4937.3742.73
C445.895.705.399.0210.6311.91
1 NH: neohexane.
Table 3. Properties of CO2-NH sH gas hydrate at 0 K and 0 GPa.
Table 3. Properties of CO2-NH sH gas hydrate at 0 K and 0 GPa.
Bulk modulus (B), GPa9.365
Shear modulus (G), GPa5.778
Young’s modulus (E), GPa14.378
Poisson’s ratio (ν)0.244
Shear to bulk ratio (G/B)0.617
Density ( ρ ), kg/m31129.87
Transverse wave velocity (VT), km/s2.261
Longitudinal wave velocity (VL), km/s3.887
Universal elastic anisotropy index, AU0.142
Young’s modulus anisotropy factor, fE0.835
Shear modulus anisotropy factor, fG0.857
Table 4. Bulk (B), Young’s (E), and shear (G) moduli of empty and Xe-NH sH gas hydrates under pressure and at 0 K.
Table 4. Bulk (B), Young’s (E), and shear (G) moduli of empty and Xe-NH sH gas hydrates under pressure and at 0 K.
PropertyEmpty sH HydrateXe-NH sH Hydrate
1 GPa2 GPa3 GPa1 GPa2 GPa2.9 GPa
B, GPa16.47620.23524.57016.75719.52922.874
E, GPa16.55016.55816.43023.11628.46832.499
G, GPa6.2106.0715.9169.10011.32312.864
Table 5. Poisson’s ratio (ν) and shear to bulk moduli ratio (G/B) of empty and Xe-NH sH gas hydrates under pressure and at 0 K.
Table 5. Poisson’s ratio (ν) and shear to bulk moduli ratio (G/B) of empty and Xe-NH sH gas hydrates under pressure and at 0 K.
PropertyEmpty sH HydrateXe-NH sH Hydrate
1 GPa2 GPa3 GPa1 GPa2 GPa2.9 GPa
ν0.3330.3640.3890.2700.2570.263
G/B0.3770.3000.2410.5430.5800.562
Table 6. Transverse (VT) and longitudinal (VL) wave velocities of empty and Xe-NH sH gas hydrates under pressure and at 0 K.
Table 6. Transverse (VT) and longitudinal (VL) wave velocities of empty and Xe-NH sH gas hydrates under pressure and at 0 K.
PropertyEmpty sH HydrateXe-NH sH Hydrate
1 GPa2 GPa3 GPa1 GPa2 GPa2.9 GPa
VT, km/s2.6242.5262.4422.2472.4362.547
VL, km/s5.2385.4575.7204.0044.2594.492
Table 7. Universal elastic anisotropy index (AU) and Young’s (fE) and shear (fG) moduli anisotropy factors of empty and Xe-NH sH gas hydrates under pressure and at 0 K.
Table 7. Universal elastic anisotropy index (AU) and Young’s (fE) and shear (fG) moduli anisotropy factors of empty and Xe-NH sH gas hydrates under pressure and at 0 K.
Anisotropy FactorEmpty sH HydrateXe-NH sH Hydrate
1 GPa2 GPa3 GPa1 GPa2 GPa2.9 GPa
AU0.0140.0260.0360.0470.0260.026
fE1.0621.0121.0051.0551.1091.080
fG0.9620.9400.9211.0310.9710.955
Table 8. Properties of empty sH gas hydrate at 0 K and −1 GPa pressure.
Table 8. Properties of empty sH gas hydrate at 0 K and −1 GPa pressure.
Elastic Constants Cαβ, GPa
C11C12C13C33C44
12.132.542.6412.204.75
Mechanical and Anisotropic Properties, GPa
B, GPaG, GPaE, GPaνG/B
5.7914.76911.2250.1770.824
VT, km/sVL, km/sAUfEfG
2.5334.0440.00021.0020.995
Publisher’s Note: MDPI stays neutral with regard to jurisdictional claims in published maps and institutional affiliations.

Share and Cite

MDPI and ACS Style

Daghash, S.M.; Servio, P.; Rey, A.D. First-Principles Elastic and Anisotropic Characteristics of Structure-H Gas Hydrate under Pressure. Crystals 2021, 11, 477. https://doi.org/10.3390/cryst11050477

AMA Style

Daghash SM, Servio P, Rey AD. First-Principles Elastic and Anisotropic Characteristics of Structure-H Gas Hydrate under Pressure. Crystals. 2021; 11(5):477. https://doi.org/10.3390/cryst11050477

Chicago/Turabian Style

Daghash, Shaden M., Phillip Servio, and Alejandro D. Rey. 2021. "First-Principles Elastic and Anisotropic Characteristics of Structure-H Gas Hydrate under Pressure" Crystals 11, no. 5: 477. https://doi.org/10.3390/cryst11050477

APA Style

Daghash, S. M., Servio, P., & Rey, A. D. (2021). First-Principles Elastic and Anisotropic Characteristics of Structure-H Gas Hydrate under Pressure. Crystals, 11(5), 477. https://doi.org/10.3390/cryst11050477

Note that from the first issue of 2016, this journal uses article numbers instead of page numbers. See further details here.

Article Metrics

Back to TopTop