Recent Advances of Near-Infrared (NIR) Emissive Metal Complexes Bridged by Ligands with N- and/or O-Donor Sites
Abstract
1. Introduction
2. Emission Mechanism of Metal Complexes
3. Bridging Ligands
3.1. Polypyridine Bridging Ligand
3.2. Polypyrrole Bridging Ligand
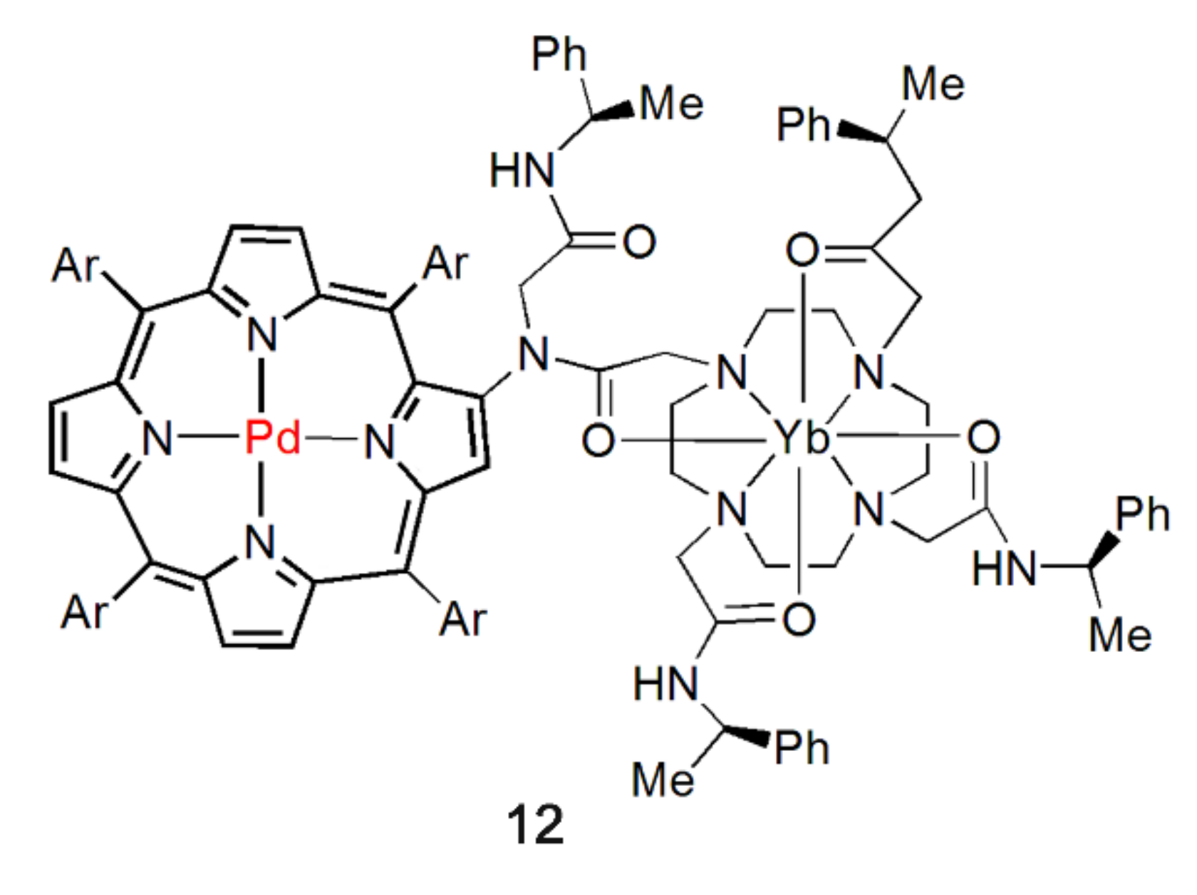
3.3. Schiff Base Bridging Ligand
3.4. Carboxyl Bridging Ligand
4. Application
4.1. Electroluminescence
4.2. Biosensing/Bioimaging
5. Summary and Perspectives
Author Contributions
Funding
Conflicts of Interest
References
- Wentrup, C. Zeise, Liebig, Jensen, Huckel, Dewar, and the Olefin pi-Complex Bonds. Angew. Chem. Int. Ed. 2020, 59, 8332–8342. [Google Scholar] [CrossRef] [PubMed]
- Thomas, G.T.; Donnecke, S.; Paci, I.; McIndoe, J.S. Trichloro(Dinitrogen)Platinate(II). Chemistry 2020, 26, 12359–12362. [Google Scholar] [CrossRef] [PubMed]
- Zhang, R.; Yuan, J. Responsive Metal Complex Probes for Time-Gated Luminescence Biosensing and Imaging. Acc. Chem. Res. 2020, 53, 1316–1329. [Google Scholar] [CrossRef] [PubMed]
- Sun, Q.; Yang, K.; Ma, W.; Zhang, L.; Yuan, G. A highly stable 8-hydroxyquinolinate-based metal–organic framework as a selective fluorescence sensor for Fe3+, Cr2O72− and nitroaromatic explosives. Inorg. Chem. Front. 2020, 7, 4387–4395. [Google Scholar] [CrossRef]
- Lo, K.K. Molecular Design of Bioorthogonal Probes and Imaging Reagents Derived from Photofunctional Transition Metal Complexes. Acc. Chem. Res. 2020, 53, 32–44. [Google Scholar] [CrossRef]
- Şen, Z.; Gümüş, G.; Gürol, I.; Musluoğlu, E.; Öztürk, Z.Z.; Harbeck, M. Metal complexes of vic-dioximes for chemical gas sensing. Sens. Actuators B Chem. 2011, 160, 1203–1209. [Google Scholar] [CrossRef]
- Zhu, X.; Wong, W.-K.; Wong, W.-Y.; Yang, X. Design and Synthesis of Near-Infrared Emissive Lanthanide Complexes Based on Macrocyclic Ligands. Eur. J. Inorg. Chem. 2011, 2011, 4651–4674. [Google Scholar] [CrossRef]
- Sran, B.S.; Sharma, S.; Pointillart, F.; Cador, O.; Hundal, G. Field-Induced Single Molecular Magnetism and Photoluminescence in Rare Cocrystals of Isomorphic Lanthanide(III) Coordination Compounds with Fully Substituted Pyridine-4-carboxamide Ligand. Inorg. Chem. 2020, 59, 9227–9238. [Google Scholar] [CrossRef]
- Huskic, I.; Novendra, N.; Lim, D.W.; Topic, F.; Titi, H.M.; Pekov, I.V.; Krivovichev, S.V.; Navrotsky, A.; Kitagawa, H.; Friscic, T. Functionality in metal-organic framework minerals: Proton conductivity, stability and potential for polymorphism. Chem. Sci. 2019, 10, 4923–4929. [Google Scholar] [CrossRef]
- Li, T.T.; Zheng, Y.Q. Electrocatalytic water oxidation using a chair-like tetranuclear copper(ii) complex in a neutral aqueous solution. Dalton Trans. 2016, 45, 12685–12690. [Google Scholar] [CrossRef]
- Luo, H.-K.; Wang, C.; Rusli, W.; Li, C.-Z.; Widjaja, E.; Wong, P.-K.; Stubbs, L.P.; Van Meurs, M. Highly active self-assembled group-IV-metal multinuclear catalysts for ethylene polymerization. J. Organomet. Chem. 2015, 798, 354–366. [Google Scholar] [CrossRef]
- Liu, F.; Yang, F.; Chen, H.; Chen, Q.; Yan, P.; Li, G. Salen Type Homo-multinuclear Yb3 and Yb4 Complexes and Their NIR Luminescence. J. Inorg. Organomet. Polym. Mater. 2014, 24, 259–266. [Google Scholar] [CrossRef]
- Kilic, A.; Palali, A.A.; Durgun, M.; Tasci, Z.; Ulusoy, M.; Dagdevren, M.; Yilmaz, I. Synthesis, characterization, electrochemical properties and conversions of carbon dioxide to cyclic carbonates mononuclear and multinuclear oxime complexes using as catalyst. Inorg. Chim. Acta 2013, 394, 635–644. [Google Scholar] [CrossRef]
- Nguyen, T.N.; Eliseeva, S.V.; Gladysiak, A.; Petoud, S.; Stylianou, K.C. Design of lanthanide-based metal-organic frameworks with enhanced near-infrared emission. J. Mater. Chem. A 2020, 8, 10188–10192. [Google Scholar] [CrossRef]
- Shuvaev, S.; Parker, D. A near-IR luminescent ratiometric ytterbium pH probe. Dalton Trans. 2019, 48, 4471–4473. [Google Scholar] [CrossRef] [PubMed]
- Nguyen, T.N.; Ebrahim, F.M.; Stylianou, K.C. Photoluminescent, upconversion luminescent and nonlinear optical metal-organic frameworks: From fundamental photophysics to potential applications. Coord. Chem. Rev. 2018, 377, 259–306. [Google Scholar] [CrossRef]
- Bai, G.; Yang, Z.; Lin, H.; Jie, W.; Hao, J. Lanthanide Yb/Er co-doped semiconductor layered WSe2 nanosheets with near-infrared luminescence at telecommunication wavelengths. Nanoscale 2018, 10, 9261–9267. [Google Scholar] [CrossRef]
- Martinic, I.; Eliseeva, S.V.; Nguyen, T.N.; Pecoraro, V.L.; Petoud, S. Near-Infrared Optical Imaging of Necrotic Cells by Photostable Lanthanide-Based Metallacrowns. J. Am. Chem. Soc. 2017, 139, 8388–8391. [Google Scholar] [CrossRef]
- Creutz, S.E.; Fainblat, R.; Kim, Y.; De Siena, M.C.; Gamelin, D.R. A Selective Cation Exchange Strategy for the Synthesis of Colloidal Yb3+-Doped Chalcogenide Nanocrystals with Strong Broadband Visible Absorption and Long-Lived Near-Infrared Emission. J. Am. Chem. Soc. 2017, 139, 11814–11824. [Google Scholar] [CrossRef]
- Müller, B.J.; Borisov, S.M.; Klimant, I. Red- to NIR-Emitting, BODIPY-Based, K+-Selective Fluoroionophores and Sensing Materials. Adv. Funct. Mater. 2016, 26, 7697–7707. [Google Scholar] [CrossRef]
- Zhang, Z.; Zhou, Y.; Li, H.; Gao, T.; Yan, P. Visible light sensitized near-infrared luminescence of ytterbium via ILCT states in quadruple-stranded helicates. Dalton Trans. 2019, 48, 4026–4034. [Google Scholar] [CrossRef] [PubMed]
- Zhu, Y.X.; Wei, Z.W.; Pan, M.; Wang, H.P.; Zhang, J.Y.; Su, C.Y. A new TPE-based tetrapodal ligand and its Ln(iii) complexes: Multi-stimuli responsive AIE (aggregation-induced emission)/ILCT(intraligand charge transfer)-bifunctional photoluminescence and NIR emission sensitization. Dalton Trans. 2016, 45, 943–950. [Google Scholar] [CrossRef] [PubMed]
- Mazumdar, P.; Maity, S.; Das, D.; Samanta, S.; Shyamal, M.; Misra, A. Proton induced green emission from AIEE active 2,2′-biquinoline hydrosol and its selective fluorescence turn-on sensing property towards Zn2+ ion in water. Sens. Actuators B Chem. 2017, 238, 1266–1276. [Google Scholar] [CrossRef]
- Li, H.-Q.; Ding, Z.-Y.; Pan, Y.; Liu, C.-H.; Zhu, Y.-Y. Fluorescence tuning of Zn(II)-based metallo-supramolecular coordination polymers and their application for picric acid detection. Inorg. Chem. Front. 2016, 3, 1363–1375. [Google Scholar] [CrossRef]
- VlcekJr, A. Mechanistic roles of metal-to-ligand charge-transfer excited states in organometallic photochemistry. Coord. Chem. Rev. 1998, 177, 219–256. [Google Scholar] [CrossRef]
- Vincenzo, B.; Alberto, J.; Margherita, V.; Sebastiano, C.; Scolastica, S. Luminescent and Redox-Active Polynuclear Transition Metal Complexes. Chem. Rev. 1996, 96, 759–834. [Google Scholar]
- Vogler, A.; Kunkely, H. Photoreactivity of metal-to-ligand charge transfer excited states. Coord. Chem. Rev. 1998, 177, 81–96. [Google Scholar] [CrossRef]
- Xu, Y.; Du, C.; Zhou, C.; Yang, S. A new Ni-diaminoglyoxime-g-C3N4 complex towards efficient photocatalytic ethanol splitting via a ligand-to-metal charge transfer (LMCT) mechanism. Chem. Commun. 2020, 56, 7171–7174. [Google Scholar] [CrossRef]
- Ning, Y.; Zhu, M.; Zhang, J.-L. Near-infrared (NIR) lanthanide molecular probes for bioimaging and biosensing. Coord. Chem. Rev. 2019, 399. [Google Scholar] [CrossRef]
- To, W.-P.; Wan, Q.; Tong, G.S.M.; Che, C.-M. Recent Advances in Metal Triplet Emitters with d6, d8, and d10 Electronic Configurations. Trends Chem. 2020, 2, 796–812. [Google Scholar] [CrossRef]
- Zhang, Z.; Feng, W.; Su, P.; Liu, H.; Zhang, Y.; Wang, Z.; Miao, T.; Lu, X.; Fan, D.; Wong, W.K.; et al. Near-infrared (NIR) luminescent hetero-tetranuclear Zn2Ln2 (Ln = Nd, Yb or Er) complexes self-assembled from the benzimidazole-based HL and two rigid 4,4′-bipyridine ligands with different spacers. Spectrochim. Acta A Mol. Biomol. Spectrosc. 2013, 116, 102–110. [Google Scholar] [CrossRef] [PubMed]
- Lü, X.; Bi, W.; Chai, W.; Song, J.; Meng, J.; Wong, W.-Y.; Wong, W.-K.; Jones, R.A. Tetranuclear NIR luminescent Schiff-base Zn–Nd complexes. New J. Chem. 2008, 32, 127–131. [Google Scholar] [CrossRef]
- Singaravadivel, S.; Babu, E.; Velayudham, M.; Lu, K.-L.; Rajagopal, S. Sensitized near-infrared luminescence of lanthanide complexes by energy transfer from rhenium(I) complexes bridged by bis(benzimidazole) and phenanthrolino-5,6:5′,6′-pyrazine ligands. Inorg. Chim. Acta 2013, 400, 215–221. [Google Scholar] [CrossRef]
- Shavaleev, N.M.; Accorsi, G.; Virgili, D.; Bell, D.R.; Lazarides, T.; Calogero, G.; Armaroli, N.; Ward, M.D. Syntheses and crystal structures of dinuclear complexes containing d-block and f-block luminophores. Sensitization of NIR luminescence from Yb(III), Nd(III), and Er(III) centers by energy transfer from Re(I)and Pt(II)-bipyrimidine metal centers. Inorg. Chem. 2005, 44, 61–72. [Google Scholar] [CrossRef] [PubMed]
- Li, H.-Y.; Wu, J.; Huang, W.; Zhou, Y.-H.; Li, H.-R.; Zheng, Y.-X.; Zuo, J.-L. Synthesis and photoluminescent properties of five homodinuclear lanthanide (Ln3+ = Eu3+, Sm3+, Er3+, Yb3+, Pr3+) complexes. J. Photochem. Photobiol. A Chem. 2009, 208, 110–116. [Google Scholar] [CrossRef]
- Li, X.-L.; Liu, Y.-F.; Zhang, X.-L.; Cheng, C.; Zheng, X.; Zhu, C.; Zhou, L. Synthesis, crystal structures, photoluminescent, magnetic and chiroptical properties of two homochiral Er III complexes with different nuclearity. J. Mol. Struct. 2017, 1137, 27–32. [Google Scholar] [CrossRef]
- Liu, B.; Monro, S.; Lystrom, L.; Cameron, C.G.; Colon, K.; Yin, H.; Kilina, S.; McFarland, S.A.; Sun, W. Photophysical and Photobiological Properties of Dinuclear Iridium(III) Bis-tridentate Complexes. Inorg. Chem. 2018, 57, 9859–9872. [Google Scholar] [CrossRef]
- Gabr, M.T.; Pigge, F.C. Expanding the Toolbox for Label-Free Enzyme Assays: A Dinuclear Platinum(II) Complex/DNA Ensemble with Switchable Near-IR Emission. Molecules 2019, 24, 4390. [Google Scholar] [CrossRef]
- Bulach, V.; Sguerra, F.; Hosseini, M.W. Porphyrin lanthanide complexes for NIR emission. Coord. Chem. Rev. 2012, 256, 1468–1478. [Google Scholar] [CrossRef]
- Beeby, A.; Dickins, R.S.; FitzGerald, S.; Govenlock, L.J.; Parker, D.; Williams, J.A.G.; Maupin, C.L.; Riehl, J.P.; Siligardi, G. Porphyrin sensitization of circularly polarised near-IR lanthanide luminescence: Enhanced emission with nucleic acid binding. Chem. Commun. 2000, 1183–1184. [Google Scholar] [CrossRef]
- Rusakova, N.; Semenishyn, N.; Korovin, Y. Heteronuclear lanthanide-containing complexes on the base of modified porphyrins and their luminescent properties. J. Porphyr. Phthalocyanines 2012, 14, 166–169. [Google Scholar] [CrossRef]
- Xiong, R.; Mara, D.; Liu, J.; Van Deun, R.; Borbas, K.E. Excitation- and Emission-Wavelength-Based Multiplex Spectroscopy Using Red-Absorbing Near-Infrared-Emitting Lanthanide Complexes. J. Am. Chem. Soc. 2018, 140, 10975–10979. [Google Scholar] [CrossRef] [PubMed]
- Wang, Y.; Ogasahara, K.; Tomihama, D.; Mysliborski, R.; Ishida, M.; Hong, Y.; Notsuka, Y.; Yamaoka, Y.; Murayama, T.; Muranaka, A.; et al. Near-Infrared-III-Absorbing and -Emitting Dyes: Energy-Gap Engineering of Expanded Porphyrinoids via Metallation. Angew. Chem. Int. Ed. 2020, 59, 2–8. [Google Scholar]
- Wu, L.; Li, F.; Rao, Y.; Wen, B.; Xu, L.; Zhou, M.; Tanaka, T.; Osuka, A.; Song, J. Synthesis, Structures, and Near-IR Absorption of Heterole-Fused Earring Porphyrins. Angew. Chem. Int. Ed. 2019, 58, 8124–8128. [Google Scholar] [CrossRef] [PubMed]
- Xiong, R.; Andres, J.; Scheffler, K.; Borbas, K.E. Synthesis and characterisation of lanthanide-hydroporphyrin dyads. Dalton Trans. 2015, 44, 2541–2553. [Google Scholar] [CrossRef] [PubMed]
- Mori, H.; Tanaka, T.; Lee, S.; Lim, J.M.; Kim, D.; Osuka, A. meso-meso linked porphyrin-[26]hexaphyrin-porphyrin hybrid arrays and their triply linked tapes exhibiting strong absorption bands in the NIR region. J. Am. Chem. Soc. 2015, 137, 2097–2106. [Google Scholar] [CrossRef]
- Xu, Y.-Y.; Sun, O.; Qi, Y.; Xie, B.-Y.; Gao, T. Enhanced luminescence for detection of small molecules based on doped lanthanide compounds with a dinuclear double-stranded helicate structure. New J. Chem. 2019, 43, 16706–16713. [Google Scholar] [CrossRef]
- Yang, X.; Schipper, D.; Jones, R.A.; Lytwak, L.A.; Holliday, B.J.; Huang, S. Anion-Dependent Self-Assembly of Near-Infrared Luminescent 24-and 32-Metal Cd-Ln Complexes with Drum-like Architectures. J. Am. Chem. Soc. 2013, 135, 8468–8471. [Google Scholar] [CrossRef]
- Liu, J.; Yang, X.; Zhu, T.; Yuan, B.; Chen, H.; Shi, D.; Schipper, D.; Jones, R.A. Construction of a crystalline 14-metal Zn-Nd rectangular nanocluster with a dual-emissive response towards metal ions. RSC Adv. 2019, 9, 40017–40022. [Google Scholar] [CrossRef]
- Liu, J.; Zhu, T.; Yang, X.; Chen, H.; Shi, D.; Zhu, C.; Schipper, D.; Jones, R.A. Construction of a 1-D Sm(iii) coordination polymer with a long-chain Schiff base ligand: Dual-emissive response to metal ions. Inorg. Chem. Front. 2020, 7, 464–469. [Google Scholar] [CrossRef]
- Sarwar, A.; Saharin, S.M.; Bahron, H.; Alias, Y. Synthesis, structures, luminescence and thermal stability of Visible/NIR emitting binuclear azomethine-Zn(II) complexes. J. Lumin. 2020, 223, 117227. [Google Scholar] [CrossRef]
- Dong, W.-K.; Ma, J.-C.; Zhu, L.-C.; Sun, Y.-X.; Akogun, S.F.; Zhang, Y. A Series of Heteromultinuclear Zinc(II)–Lanthanide(III) Complexes Based on 3-MeOsalamo: Syntheses, Structural Characterizations, and Luminescent Properties. Cryst. Growth Des. 2016, 16, 6903–6914. [Google Scholar] [CrossRef]
- Bi, W.-Y.; Lü, X.-Q.; Chai, W.-L.; Song, J.-R.; Wong, W.-K.; Yang, X.-P.; Jones, R.A. Effect of Heavy-Atom (Br) at the Phenyl Rings of Schiff-Base Ligands on the NIR Luminescence of their Bimetallic Zn-Nd Complexes. Z. Anorg. Allg. Chem. 2008, 634, 1795–1800. [Google Scholar] [CrossRef]
- Yang, X.P.; Jones, R.A.; Wong, W.K.; Lynch, V.; Oye, M.M.; Holmes, A.L. Design and synthesis of a near infra-red luminescent hexanuclear Zn-Nd prism. Chem. Commun. 2006, 1836–1838. [Google Scholar] [CrossRef] [PubMed]
- Wong, W.-K.; Liang, H.; Wong, W.-Y.; Cai, Z.; Li, K.-F.; Cheah, K.-W. Synthesis and near-infrared luminescence of 3d-4f bi-metallic Schiff base complexes. New J. Chem. 2002, 26, 275–278. [Google Scholar] [CrossRef]
- Tereniak, S.J.; Carlson, R.K.; Clouston, L.J.; Young, V.G., Jr.; Bill, E.; Maurice, R.; Chen, Y.-S.; Kim, H.J.; Gagliardi, L.; Lu, C.C. Role of the Metal in the Bonding and Properties of Bimetallic Complexes Involving Manganese, Iron, and Cobalt. J. Am. Chem. Soc. 2014, 136, 1842–1855. [Google Scholar] [CrossRef] [PubMed]
- Palacios, M.A.; Titos-Padilla, S.; Ruiz, J.; Manuel Herrera, J.; Pope, S.J.A.; Brechin, E.K.; Colacio, E. Bifunctional Zn(II)Ln(III) Dinuclear Complexes Combining Field Induced SMM Behavior and Luminescence: Enhanced NIR Lanthanide Emission by 9-Anthracene Carboxylate Bridging Ligands. Inorg. Chem. 2014, 53, 1465–1474. [Google Scholar] [CrossRef] [PubMed]
- Acar, Y.; Coban, M.B.; Gungor, E.; Kara, H. Two New NIR Luminescencent Er(III) Coordination Polymers with Potential Application Optical Amplification Devices. J. Clust. Sci. 2020, 31, 117–124. [Google Scholar] [CrossRef]
- Hasegawa, Y.; Matsui, T.; Kitagawa, Y.; Nakanishi, T.; Seki, T.; Ito, H.; Nakasaka, Y.; Masuda, T.; Fushimi, K. Near-IR Luminescent Yb-III Coordination Polymers Composed of Pyrene Derivatives for Thermostable Oxygen Sensors. Chem. Eur. J. 2019, 25, 12308–12315. [Google Scholar] [CrossRef]
- Feng, X.; Shang, Y.; Zhang, H.; Li, R.; Wang, W.; Zhang, D.; Wang, L.; Li, Z. Enhanced luminescence and tunable magnetic properties of lanthanide coordination polymers based on fluorine substitution and phenanthroline ligand. RSC Adv. 2019, 9, 16328–16338. [Google Scholar] [CrossRef]
- Wang, X.; Yan, P.; Li, Y.; An, G.; Yao, X.; Li, G. Highly Efficient White-Light Emission and UV-Visible/NIR Luminescence Sensing of Lanthanide Metal-Organic Frameworks. Cryst. Growth Des. 2017, 17, 2178–2185. [Google Scholar] [CrossRef]
- Coban, M.B.; Erkarslan, U.; Oylumluoglu, G.; Aygun, M.; Kara, H. Hydrothermal synthesis, crystal structure and Photoluminescent properties; 3D Holmium(III) coordination polymer. Inorg. Chim. Acta 2016, 447, 87–91. [Google Scholar] [CrossRef]
- Lü, X.; Bi, W.; Chai, W.; Song, J.; Meng, J.; Wong, W.-Y.; Wong, W.-K.; Yang, X.; Jones, R.A. Multinuclear NIR luminescent 1,4-BDC bridged Schiff-base complexes of Nd(III). Polyhedron 2009, 28, 27–32. [Google Scholar] [CrossRef]
- Deshmukh, M.A.; Patil, H.K.; Bodkhe, G.A.; Yasuzawa, M.; Koinkar, P.; Ramanaviciene, A.; Shirsat, M.D.; Ramanavicius, A. EDTA-modified PANI/SWNTs nanocomposite for differential pulse voltammetry based determination of Cu(II) ions. Sens. Actuators B Chem. 2018, 260, 331–338. [Google Scholar] [CrossRef]
- Oviedo, C.; Rodríguez, J. EDTA: The chelating agent under environmental scrutiny. Quim. Nova 2003, 26, 901–905. [Google Scholar] [CrossRef]
- Sillanpää, M.; Rämö, J. Adsorption of metal–ethylenediaminetetraacetic acid chelates onto lake sediment. Chemosphere 2001, 45, 881–885. [Google Scholar] [CrossRef]
- Nirel, P.M.; Pardo, P.-E.; Landry, J.-C.; Revaclier, R. Method for EDTA speciation determination: Application to sewage treatment plant effluents. Water Res. 1998, 32, 3615–3620. [Google Scholar] [CrossRef]
- Phillips, K.A.; Stonelake, T.M.; Horton, P.N.; Coles, S.J.; Hallett, A.J.; O’Kell, S.P.; Beames, J.M.; Pope, S.J.A. Dual visible/NIR emission from organometallic iridium(III) complexes. J. Organomet. Chem. 2019, 893, 11–20. [Google Scholar] [CrossRef]
- Jankowski, R.; Zakrzewski, J.J.; Surma, O.; Ohkoshi, S.-i.; Chorazy, S.; Sieklucka, B. Near-infrared emissive Er(III) and Yb(III) molecular nanomagnets in metal-organic chains functionalized by octacyanidometallates(IV). Inorg. Chem. Front. 2019, 6, 2423–2434. [Google Scholar] [CrossRef]
- Balashova, T.V.; Burin, M.E.; Ilichev, V.A.; Starikova, A.A.; Marugin, A.V.; Rumyantcev, R.V.; Fukin, G.K.; Yablonskiy, A.N.; Andreev, B.A.; Bochkarev, M.N. Features of the Molecular Structure and Luminescence of Rare-Earth Metal Complexes with Perfluorinated (Benzothiazolyl)phenolate Ligands. Molecules 2019, 24, 2376. [Google Scholar] [CrossRef]
- Artizzu, F.; Atzori, M.; Liu, J.; Mara, D.; Van Hecke, K.; Van Deun, R. Solution-processable Yb/Er 2D-layered metallorganic frameworks with high NIR-emission quantum yields. J. Mater. Chem. C 2019, 7, 11207–11214. [Google Scholar] [CrossRef]
- Liao, W.-M.; Li, C.-J.; Wu, X.; Zhang, J.-H.; Wang, Z.; Wang, H.-P.; Fan, Y.-N.; Pan, M.; Su, C.-Y. Homometallic Ln(III)-complexes from an ILCT ligand with sensitized vis-NIR emission, excitation-dependent PL color tuning and white-light emission. J. Mater. Chem. C 2018, 6, 3254–3259. [Google Scholar] [CrossRef]
- Xiao, Y.-H.; Deng, Z.-P.; Zhu, Z.-B.; Huo, L.-H.; Gao, S. Rare earth metal-organic complexes constructed from hydroxyl and carboxyl modified arenesulfonate: Syntheses, structure evolutions, and ultraviolet, visible and near-infrared luminescence. Dalton Trans. 2017, 46, 16493–16504. [Google Scholar] [CrossRef] [PubMed]
- de Jesus, R.A.; da Luz, L.L.; Santos, D.O.; Santana Costa, J.A.; Navickiene, S.; Gatto, C.C.; Alves Junior, S.; de Mesquita, M.E. Dual emission tunable in the near-infrared (NIR) and visible (VIS) spectral range by mix-LnMOF. Dalton Trans. 2015, 44, 17318–17325. [Google Scholar] [CrossRef]
- Wang, S.F.; Yuan, Y.; Wei, Y.-C.; Chan, W.-H.; Fu, L.-W.; Su, B.-K.; Chen, I.Y.; Chou, K.-J.; Chen, P.-T.; Hsu, H.-F.; et al. Highly Efficient Near-Infrared Electroluminescence up to 800 nm Using Platinum(II) Phosphors. Adv. Funct. Mater. 2020, 30, 2002173. [Google Scholar] [CrossRef]
- Hao, Z.; Li, M.; Liu, Y.; Wang, Y.; Xie, G.; Liu, Y. Near-infrared emission of dinuclear iridium complexes with hole/electron transporting bridging and their monomer in solution-processed organic light-emitting diodes. Dyes Pigments 2018, 149, 315–322. [Google Scholar] [CrossRef]
- Wang, S.F.; Fu, L.W.; Wei, Y.C.; Liu, S.H.; Lin, J.A.; Lee, G.H.; Chou, P.T.; Huang, J.Z.; Wu, C.I.; Yuan, Y.; et al. Near-Infrared Emission Induced by Shortened Pt-Pt Contact: Diplatinum(II) Complexes with Pyridyl Pyrimidinato Cyclometalates. Inorg. Chem. 2019, 58, 13892–13901. [Google Scholar] [CrossRef]
- Zampetti, A.; Minotto, A.; Cacialli, F. Near-Infrared (NIR) Organic Light-Emitting Diodes (OLEDs): Challenges and Opportunities. Adv. Funct. Mater. 2019, 29, 1807623. [Google Scholar] [CrossRef]
- Ding, F.; Fan, Y.; Sun, Y.; Zhang, F. Beyond 1000 nm Emission Wavelength: Recent Advances in Organic and Inorganic Emitters for Deep-Tissue Molecular Imaging. Adv. Healthc. Mater. 2019, 8, 1900260. [Google Scholar] [CrossRef]
- He, Y.; Fu, G.; Li, W.; Wang, B.; Miao, T.; Tan, M.; Feng, W.; Lü, X. Efficient near-infrared (NIR) polymer light-emitting diode (PLED) based on the binuclear [(C^N)2Ir-(bis-N^O)-Ir(C^N)2] complex with aggregation-induced phosphorescent enhancement (AIPE) character. J. Lumin. 2020, 218, 116847. [Google Scholar] [CrossRef]
- Su, N.; Meng, F.; Chen, J.; Wang, Y.; Tan, H.; Su, S.; Zhu, W. Near-infrared emitting pyrazole-bridged binuclear platinum complexes: Synthesis, photophysical and electroluminescent properties in PLEDs. Dyes Pigments 2016, 128, 68–74. [Google Scholar] [CrossRef]
- Wu, X.; Liu, Y.; Wang, Y.; Wang, L.; Tan, H.; Zhu, M.; Zhu, W.; Cao, Y. Highly efficient near-infrared emission from binuclear cyclo-metalated platinum complexes bridged with 5-(4-octyloxyphenyl)-1,3,4-oxadiazole-2-thiol in PLEDs. Org. Electron. 2012, 13, 932–937. [Google Scholar] [CrossRef]
- Wu, X.; Chen, D.-G.; Liu, D.; Liu, S.-H.; Shen, S.-W.; Wu, C.-I.; Xie, G.; Zhou, J.; Huang, Z.-X.; Huang, C.-Y.; et al. Highly Emissive Dinuclear Platinum(III) Complexes. J. Am. Chem. Soc. 2020, 142, 7469–7479. [Google Scholar] [CrossRef] [PubMed]
- Yan, C.; Zhang, Y.; Guo, Z. Recent progress on molecularly near-infrared fluorescent probes for chemotherapy and phototherapy. Coord. Chem. Rev. 2021, 427, 213556. [Google Scholar] [CrossRef]
- Chen, M.; Feng, S.; Yang, Y.; Li, Y.; Zhang, J.; Chen, S.; Chen, J. Tracking the in vivo spatio-temporal patterns of neovascularization via NIR-II fluorescence imaging. Nano Res. 2020, 13, 3123–3129. [Google Scholar] [CrossRef]
- Wan, H.; Yue, J.; Zhu, S.; Uno, T.; Zhang, X.; Yang, Q.; Yu, K.; Hong, G.; Wang, J.; Li, L.; et al. A bright organic NIR-II nanofluorophore for three-dimensional imaging into biological tissues. Nat. Commun. 2018, 9, 1171. [Google Scholar] [CrossRef]
- Tsukasaki, Y.; Morimatsu, M.; Nishimura, G.; Sakata, T.; Yasuda, H.; Komatsuzaki, A.; Watanabe, T.M.; Jin, T. Synthesis and optical properties of emission-tunable PbS/CdS core–shell quantum dots for in vivo fluorescence imaging in the second near-infrared window. RSC Adv. 2014, 4, 41164–41171. [Google Scholar] [CrossRef]
- Shafikov, M.Z.; Zaytsev, A.V.; Suleymanova, A.F.; Brandl, F.; Kowalczyk, A.; Gapinska, M.; Kowalski, K.; Kozhevnikov, V.N.; Czerwieniec, R. Near Infrared Phosphorescent Dinuclear Ir(III) Complex Exhibiting Unusually Slow Intersystem Crossing and Dual Emissive Behavior. J. Phys. Chem. Lett. 2020, 11, 5849–5855. [Google Scholar] [CrossRef]
- Li, L.; Zhang, L.; Tong, X.; Li, Y.; Yang, Z.; Zhu, D.; Su, Z.; Xie, Z. Near-infrared-emitting AIE multinuclear cationic Ir(III) complex-assembled nanoparticles for photodynamic therapy. Dalton Trans. 2020, 49, 15332–15338. [Google Scholar] [CrossRef]
- Daniels, R.E.; McKenzie, L.K.; Shewring, J.R.; Weinstein, J.A.; Kozhevnikov, V.N.; Bryant, H.E. Pyridazine-bridged cationic diiridium complexes as potential dual-mode bioimaging probes. RSC Adv. 2018, 8, 9670–9676. [Google Scholar] [CrossRef]
- Yang, S.; Feng, W.; Feng, G. Development of a near-infrared fluorescent sensor with a large Stokes shift for sensing pyrophosphate in living cells and animals. Anal. Chim. Acta 2018, 1034, 119–127. [Google Scholar] [CrossRef] [PubMed]
- Crowston, B.J.; Shipp, J.D.; Chekulaev, D.; McKenzie, L.K.; Jones, C.; Weinstein, J.A.; Meijer, A.J.H.; Bryant, H.E.; Natrajan, L.; Woodward, A.; et al. Heteronuclear d-d and d-f Ru(ii)/M complexes [M = Gd(iii), Yb(iii), Nd(iii), Zn(ii) or Mn(ii)] of ligands combining phenanthroline and aminocarboxylate binding sites: Combined relaxivity, cell imaging and photophysical studies. Dalton Trans. 2019, 48, 6132–6152. [Google Scholar] [CrossRef] [PubMed]


















| Complex | Medium | λabs (nm) | λex (nm) | λem (nm) |
|---|---|---|---|---|
| [Zn2Nd2L2-(4,4′-bpy)(NO3)6]·Et2O | MeOH | 204, 228, 271, 348 | 337 | 863, 1060, 1328 |
| [Zn2Nd2L2(4,4′-bpe)]·2H2O | MeOH | 204, 228, 271, 348 | 337 | 863, 1060, 1328 |
| [Re(CO)3Cl(µ-bpm)Ln(fod)3] | CH2Cl2 | >400 | 460 | Ln = Yb, 975; =Nd, 866, 1060, 1330; =Er, 1534. |
| [(F3C−C6H4−CC)2Pt(µ-bpm)Nd(hfac)3] | CH2Cl2 | >400 | 460 | 866, 1061, 1330; |
| Ln2(HTH)6bpm | CH2Cl2 | - | 378 | Ln = Yb, 976; =Pr, 1030; =Er, 1531; |
| 11 | DMSO | 291, 397 | 445 | 785 |
| 12 | MeOH | - | 529 | Ln = Yb, 980; =Nd, 870, 1064 |
| 15 | MeOH | - | 590 | Ln = Yb, 980; =Nd, 890, 1064 |
| Yb0.1Gd0.9DBM3 | Solid | 225, 252, 321, 400 | 296 | 970, 1020 |
| [Ln8Cd24L12(OAc)48] | CH3CN | 226, 270, 350 | 298,355 | Ln = Yb, 980; =Nd, 890, 1080 |
| [Zn6Nd8L2(OAc)20(O)2(NO3)4(-OC2H5)4] | CH3CN | 355 | 355 | 1061 |
| [Sm(HL)2(NO3)]n | DMF | 255, 278, 332, 424 | 365 | 917, 959, 1043, 1196 |
| C-1 | MeOH | 350 | 350 | 874, 903, 1059, 1339 |
| C-5 | Solid | - | 376 | 1026 |
| C-6 | Solid | - | 349 | 840, 960 |
Publisher’s Note: MDPI stays neutral with regard to jurisdictional claims in published maps and institutional affiliations. |
© 2021 by the authors. Licensee MDPI, Basel, Switzerland. This article is an open access article distributed under the terms and conditions of the Creative Commons Attribution (CC BY) license (http://creativecommons.org/licenses/by/4.0/).
Share and Cite
Liu, J.-X.; Mei, S.-L.; Chen, X.-H.; Yao, C.-J. Recent Advances of Near-Infrared (NIR) Emissive Metal Complexes Bridged by Ligands with N- and/or O-Donor Sites. Crystals 2021, 11, 155. https://doi.org/10.3390/cryst11020155
Liu J-X, Mei S-L, Chen X-H, Yao C-J. Recent Advances of Near-Infrared (NIR) Emissive Metal Complexes Bridged by Ligands with N- and/or O-Donor Sites. Crystals. 2021; 11(2):155. https://doi.org/10.3390/cryst11020155
Chicago/Turabian StyleLiu, Jian-Xun, Shi-Lin Mei, Xian-He Chen, and Chang-Jiang Yao. 2021. "Recent Advances of Near-Infrared (NIR) Emissive Metal Complexes Bridged by Ligands with N- and/or O-Donor Sites" Crystals 11, no. 2: 155. https://doi.org/10.3390/cryst11020155
APA StyleLiu, J.-X., Mei, S.-L., Chen, X.-H., & Yao, C.-J. (2021). Recent Advances of Near-Infrared (NIR) Emissive Metal Complexes Bridged by Ligands with N- and/or O-Donor Sites. Crystals, 11(2), 155. https://doi.org/10.3390/cryst11020155
