Negative Thermal Quenching of Photoluminescence from Liquid-Crystalline Molecules in Condensed Phases
Abstract
:1. Introduction
2. Materials and Methods
2.1. Materials
2.1.1. Compound 4-Bromo-4′-pentyloxybiphenyl (5-BPBr)
2.1.2. Compound 4-Bromo-4′-hexyloxybiphenyl (6-BPBr)
2.1.3. Compound 5-BPTMS
2.1.4. Compound 6-BPTMS
2.2. X-ray Crystallography
2.3. Phase Transition Behavior
2.4. Photophysical Properties
2.5. Computations
3. Results and Discussion
3.1. Synthesis and Characterization of Biphenylacetylene Compounds
3.2. Thermal Behavior of Biphenylacetylene Compounds
3.3. Photophysical Properties in Solution and Crystals at Room Temperature
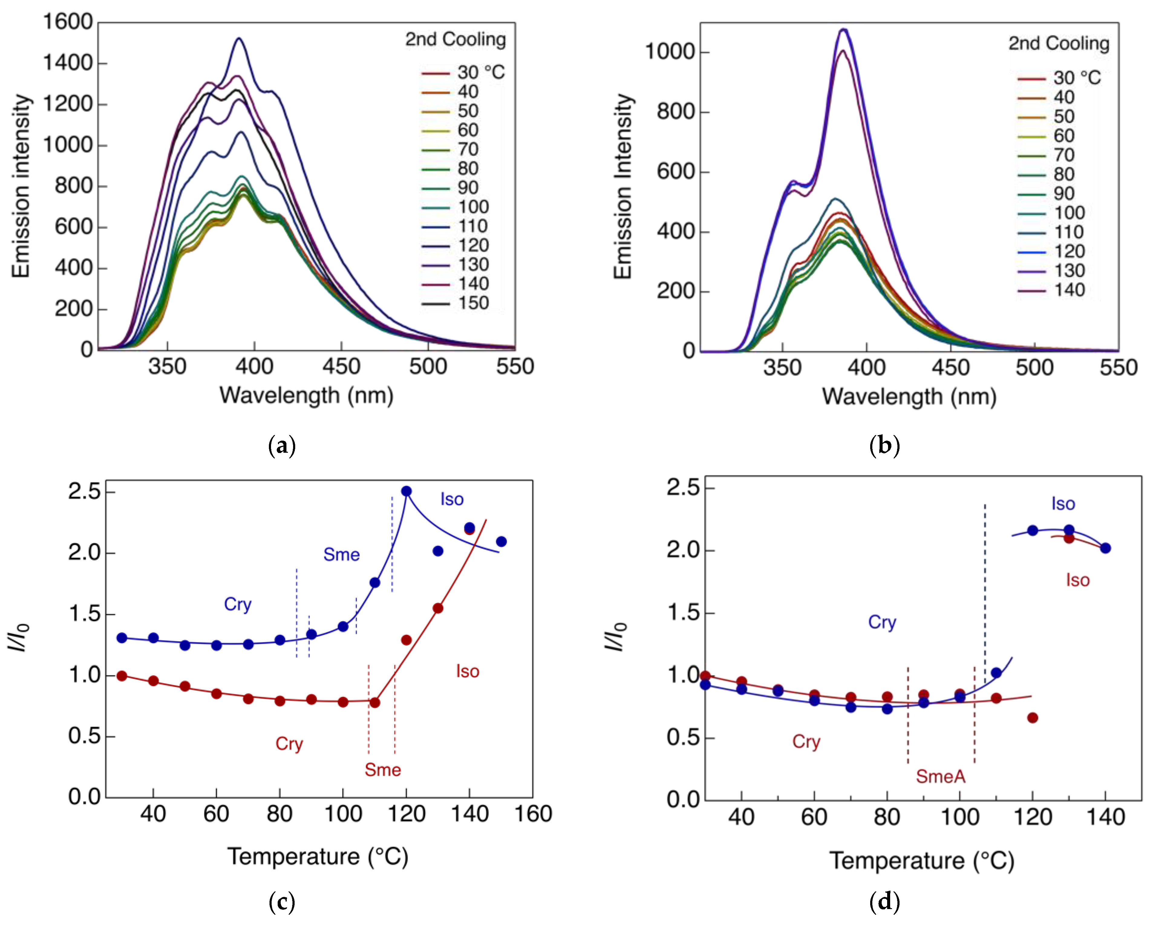
3.4. Photoluminescence Behavior in LC Phases
4. Conclusions
Supplementary Materials
Author Contributions
Funding
Institutional Review Board Statement
Informed Consent Statement
Data Availability Statement
Conflicts of Interest
References
- Gao, Z.Q.; Li, Z.H.; Xia, P.F.; Wong, M.S.; Cheah, K.W.; Chen, C.H. Efficient deep-blue organic light-emitting diodes: Arylamine-substituted oligofluorenes. Adv. Funct. Mater. 2007, 17, 3194–3199. [Google Scholar] [CrossRef]
- Sasabe, H.; Kido, J. Development of high performance OLEDs for general lighting. J. Mater. Chem. C 2013, 1, 1699–1707. [Google Scholar] [CrossRef]
- Sasabe, H.; Kido, J. Recent progress in phosphorescent organic light-emitting devices. Eur. J. Org. Chem. 2013, 2013, 7653–7663. [Google Scholar] [CrossRef]
- Birks, J.B. Photophysics of Aromatic Molecules; Wiley-Interscience: London, UK, 1970. [Google Scholar]
- Ronda, C.R. Emission and excitation mechanisms of phosphors. In Luminescence: From Theory to Applications; Ronda, C.R., Ed.; Wiley-VCH: Weinheim, Germany, 2008; pp. 1–34. [Google Scholar]
- Luo, J.; Xie, Z.; Lam, J.W.Y.; Cheng, L.; Chen, H.; Qiu, C.; Kwok, H.S.; Zhan, X.; Liu, Y.; Zhu, D.; et al. Aggregation-induced emission of 1-methyl-1,2,3,4,5-pentaphenylsilole. Chem. Commun. 2001, 1740–1741. [Google Scholar] [CrossRef] [PubMed]
- Hong, Y.; Lam, J.W.Y.; Tang, B.Z. Aggregation-induced emission. Chem. Soc. Rev. 2011, 40, 5361–5388. [Google Scholar] [CrossRef] [Green Version]
- Qin, A.; Tang, B.Z. Aggregation-Induced Emission: Fundamentals; John Wiley & Sons: Chichester, UK, 2013. [Google Scholar]
- Mei, J.; Leung, N.L.C.; Kwok, R.T.K.; Lam, J.W.Y.; Tang, B.Z. Aggregation-induced emission: Together we shine, united we soar! Chem. Rev. 2015, 115, 11718–11940. [Google Scholar] [CrossRef]
- Yoshii, R.; Hirose, A.; Tanaka, K.; Chujo, Y. Functionalization of boron diiminates with unique optical properties: Multicolor tuning of crystallization-induced emission and introduction into the main chain of conjugated polymers. J. Am. Chem. Soc. 2014, 136, 18131–18139. [Google Scholar] [CrossRef]
- Nie, H.; Hu, K.; Cai, Y.; Peng, Q.; Zhao, Z.; Hu, R.; Chen, J.; Su, S.-J.; Qin, A.; Tang, B.Z. Tetraphenylfuran: Aggregation-induced emission or aggregation-caused quenching? Mater. Chem. Front. 2017, 1, 1125–1129. [Google Scholar] [CrossRef]
- Wang, F.; DeRosa, C.A.; Daly, M.L.; Song, D.; Sabat, M.; Fraser, C.L. Multi-stimuli responsive luminescent azepane-substituted β-diketones and difluoroboron complexes. Mater. Chem. Front. 2017, 1, 1866–1874. [Google Scholar] [CrossRef]
- Yamaguchi, M.; Ito, S.; Hirose, A.; Tanaka, K.; Chujo, Y. Control of aggregation-induced emission versus fluorescence aggregation-caused quenching by bond existence at a single site in boron pyridinoiminate complexes. Mater. Chem. Front. 2017, 1, 1573–1579. [Google Scholar] [CrossRef]
- Qin, W.; Zhang, P.; Li, H.; Lam, J.W.Y.; Cai, Y.; Kwok, R.T.K.; Qian, J.; Zheng, W.; Tang, B.Z. Ultrabright red AIEgens for two-photon vascular imaging with high resolution and deep penetration. Chem. Sci. 2018, 9, 2705–2710. [Google Scholar] [CrossRef] [Green Version]
- Zhang, X.; Chi, Z.; Li, H.; Xu, B.; Li, X.; Zhou, W.; Liu, S.; Zhang, Y.; Xu, J. Piezofluorochromism of an aggregation-induced emission compound derived from tetraphenylethylene. Chem. Asian J. 2011, 6, 808–811. [Google Scholar] [CrossRef]
- Fujisawa, K.; Yamada, S.; Yanagi, Y.; Yoshioka, Y.; Kiyohara, A.; Tsutsumi, O. Tuning the photoluminescence of condensed-phase cyclic trinuclear Au(I) complexes through control of their aggregated structures by external stimuli. Sci. Rep. 2015, 5, 7934. [Google Scholar] [CrossRef] [Green Version]
- Kawano, R.; Younis, O.; Ando, A.; Rokusha, Y.; Yamada, S.; Tsutsumi, O. Photoluminescence from Au(I) complexes exhibiting color sensitivity to the structure of the molecular aggregates. Chem. Lett. 2016, 45, 66–68. [Google Scholar] [CrossRef] [Green Version]
- Kuroda, Y.; Nakamura, S.; Srinivas, K.; Sathyanarayana, A.; Prabusankar, G.; Hisano, K.; Tsutsumi, O. Thermochemically stable liquid-crystalline gold(I) complexes showing enhanced room temperature phosphorescence. Crystals 2019, 9, 227. [Google Scholar] [CrossRef] [Green Version]
- Sathyanarayana, A.; Nakamura, S.; Hisano, K.; Tsutsumi, O.; Srinivas, K.; Prabusankar, G. Controlling the solid-state luminescence of gold(I) N-heterocyclic carbene complexes through changes in the structure of molecular aggregates. Sci. China Chem. 2018, 61, 957–965. [Google Scholar] [CrossRef]
- Tsutsumi, O.; Tamaru, M.; Nakasato, H.; Shimai, S.; Panthai, S.; Kuroda, Y.; Yamaguchi, K.; Fujisawa, K.; Hisano, K. Highly efficient aggregation-induced room-temperature phosphorescence with extremely large Stokes shift emitted from trinuclear gold(I) complex crystals. Molecules 2019, 24, 4606. [Google Scholar] [CrossRef] [Green Version]
- Khoo, I.-C. Liquid Crystals, 2nd ed.; Wiley Interscience: Hoboken, NJ, USA, 2007. [Google Scholar]
- Schadt, M. Liquid crystal materials and liquid crystal displays. Annu. Rev. Mater. Sci. 1997, 27, 305–379. [Google Scholar] [CrossRef] [Green Version]
- Demus, D.; Goodby, J.; Gray, G.W.; Spiess, H.-W.; Vill, V. Handbook of Liquid Crystals; Wiley-VCH: Weinheim, Germany, 1998. [Google Scholar]
- Yamada, S.; Rokusha, Y.; Kawano, R.; Fujisawa, K.; Tsutsumi, O. Mesogenic gold complexes showing aggregation-induced enhancement of phosphorescence in both crystalline and liquid-crystalline phases. Faraday Discuss. 2017, 196, 269–283. [Google Scholar] [CrossRef]
- Yamada, S.; Yamaguchi, S.; Tsutsumi, O. Electron-density distribution tuning for enhanced thermal stability of luminescent gold complexes. J. Mater. Chem. C 2017, 5, 7977–7984. [Google Scholar] [CrossRef]
- Fujisawa, K.; Okuda, Y.; Izumi, Y.; Nagamatsu, A.; Rokusha, Y.; Sadaike, Y.; Tsutsumi, O. Reversible thermal-mode control of luminescence from liquid-crystalline gold(I) complexes. J. Mater. Chem. C 2014, 2, 3549–3555. [Google Scholar] [CrossRef]
- Fujisawa, K.; Kawakami, N.; Onishi, Y.; Izumi, Y.; Tamai, S.; Sugimoto, N.; Tsutsumi, O. Photoluminescent properties of liquid crystalline gold(I) isocyanide complexes with a rod-like molecular structure. J. Mater. Chem. C 2013, 1, 5359–5366. [Google Scholar] [CrossRef]
- Kuroda, Y.; Tamaru, M.; Nakasato, H.; Nakamura, K.; Nakata, M.; Hisano, K.; Fujisawa, K.; Tsutsumi, O. Observation of crystallisation dynamics by crystal-structure-sensitive room-temperature phosphorescence from Au(I) complexes. Commun. Chem. 2020, 3, 139. [Google Scholar] [CrossRef]
- Lim, E.C.; Li, Y.H. Luminescence of biphenyl and geometry of the molecule in excited electronic states. J. Chem. Phys. 1970, 52, 6416–6422. [Google Scholar] [CrossRef]
- Cipolloni, M.; Kaleta, J.; Mašát, M.; Dron, P.I.; Shen, Y.; Zhao, K.; Rogers, C.T.; Shoemaker, R.K.; Michl, J. Time-resolved fluorescence anisotropy of bicyclo[1.1.1]pentane/tolane-based molecular rods included in tris(o-phenylenedioxy) cyclotriphosphazene (TPP). J. Phys. Chem. C 2015, 119, 8805–8820. [Google Scholar] [CrossRef] [PubMed] [Green Version]
- Uchimura, M.; Kang, S.; Ishige, R.; Watanabe, J.; Konishi, G. Synthesis of liquid crystal molecules based on bis(biphenyl)diacetylene and their liquid crystallinity. Chem. Lett. 2010, 39, 513–515. [Google Scholar] [CrossRef]
- Wang, K.; Sprunt, S.; Twieg, R.J. The synthesis of [1–3]-triazole-based bent core liquid crystals via microwave-mediated ‘click reaction’ and their mesomorphic behaviour. Liq. Cryst. 2019, 46, 257–271. [Google Scholar] [CrossRef]
- Sheldrick, G.M. Crystal structure refinement with SHELXL. Acta Cryst. C 2015, 71, 3–8. [Google Scholar] [CrossRef]
- Sheldrick, G.M. A short history of SHELX. Acta Cryst. A 2008, 64, 112–122. [Google Scholar] [CrossRef] [Green Version]
- Frisch, M.J.; Trucks, G.W.; Schlegel, H.B.; Scuseria, G.E.; Robb, M.A.; Cheeseman, J.R.; Scalmani, G.; Barone, V.; Petersson, G.A.; Nakatsuji, H.; et al. Gaussian 16, Revision C.0; Gaussian, Inc.: Wallingford, CT, USA, 2016. [Google Scholar]
- Winnik, F.M. Photophysics of preassociated pyrenes in aqueous polymer solutions and in other organized media. Chem. Rev. 1993, 93, 587–614. [Google Scholar] [CrossRef]
- Nakano, T.; Yade, T. Synthesis, structure, and photophysical and electrochemical properties of a π-stacked polymer. J. Am. Chem. Soc. 2003, 125, 15474–15484. [Google Scholar] [CrossRef]
- Zeng, Q.; Li, Z.; Dong, Y.; Di, C.; Qin, A.; Hong, Y.; Ji, L.; Zhu, Z.; Jim, C.K.W.; Yu, G.; et al. Fluorescence enhancements of benzene-cored luminophors by restricted intramolecular rotations: AIE and AIEE effects. Chem. Commun. 2007, 70–72. [Google Scholar] [CrossRef]
- Ishi-I, T.; Tanaka, H.; Park, I.S.; Yasuda, T.; Kato, S.I.; Ito, M.; Hiyoshi, H.; Matsumoto, T. White-light emission from a pyrimidine-carbazole conjugate with tunable phosphorescence-fluorescence dual emission and multicolor emission switching. Chem. Commun. 2020, 56, 4051–4054. [Google Scholar] [CrossRef]
- Valeur, B. Molecular Fluorescence: Principles and Applications; Wiley-VCH: Weinheim, Germany, 2002. [Google Scholar]
- Sych, G.; Volyniuk, D.; Bezvikonnyi, O.; Lytvyn, R.; Grazulevicius, J.V. Dual interface exciplex emission of quinoline and carbazole derivatives for simplified nondoped white OLEDs. J. Phys. Chem. C 2019, 123, 2386–2397. [Google Scholar] [CrossRef]
- Michaleviciute, A.; Gurskyte, E.; Volyniuk, D.Y.; Cherpak, V.V.; Sini, G.; Stakhira, P.Y.; Grazulevicius, J.V. Star-shaped carbazole derivatives for bilayer white organic light-emitting diodes combining emission from both excitons and exciplexes. J. Phys. Chem. C 2012, 116, 20769–20778. [Google Scholar] [CrossRef]
- Bernal, W.; Barbosa-García, O.; Aguilar-Granda, A.; Pérez-Gutiérrez, E.; Maldonado, J.L.; Percino, M.J.; Rodríguez-Molina, B. White organic light emitting diodes based on exciplex states by using a new carbazole derivative as single emitter layer. Dye. Pigment. 2019, 163, 754–760. [Google Scholar] [CrossRef]
- Huang, Y.F.; Shiu, Y.J.; Hsu, J.H.; Lin, S.H.; Su, A.C.; Peng, K.Y.; Chen, S.A.; Fann, W.S. Aggregate versus excimer emissions from poly(2,5-di-n-octyloxy-1,4-phenylenevinylene). J. Phys. Chem. C 2007, 111, 5533–5540. [Google Scholar] [CrossRef]
- Wu, T.; Jiang, S.; Samanta, P.N.; Xie, Y.; Li, J.; Wang, X.; Devashis, M.; Gu, X.; Wang, Y.; Huang, W.; et al. Negative thermal quenching of photoluminescence in a copper–organic framework emitter. Chem. Commun. 2020, 56, 12057–12060. [Google Scholar] [CrossRef] [PubMed]
- Watanabe, M.; Sakai, M.; Shibata, H.; Satou, C.; Satou, S.; Shibayama, T.; Tampo, H.; Yamada, A.; Matsubara, K.; Sakurai, K.; et al. Negative thermal quenching of photoluminescence in ZnO. Physics B 2006, 376, 711–714. [Google Scholar] [CrossRef]
- Wuister, S.F.; de Mello Donegá, C.; Meijerink, A. Luminescence temperature antiquenching of water-soluble CdTe quantum dots: Role of the solvent. J. Am. Chem. Soc. 2004, 126, 10397–10402. [Google Scholar] [CrossRef] [Green Version]
- Wuister, S.F.; van Houselt, A.; de Mello Donegá, C.; Vanmaekelbergh, D.; Meijerink, A. Temperature antiquenching of the luminescence from capped CdSe quantum dots. Angew. Chem. Int. Ed. 2004, 43, 3029–3033. [Google Scholar] [CrossRef] [PubMed]
- Barkaoui, H.; Abid, H.; Zelewski, S.; Urban, J.; Baranowski, M.; Mlayah, A.; Triki, S.; Plochocka, P.; Abid, Y. Negative thermal quenching of efficient white-light emission in a 1D ladder-like organic/inorganic hybrid material. Adv. Opt. Mater. 2019, 7, 1900763. [Google Scholar] [CrossRef]
- Pushpavathi, N.; Sandhya, K.L. Photoluminescence study of liquid crystal-ZnO nanocomposites. J. Mol. Liq. 2019, 274, 724–729. [Google Scholar] [CrossRef]
- Ikeda, T.; Kurihara, S.; Tazuke, S. Excimer formation kinetics in liquid-crystalline alkylcyanobiphenyls. J. Phys. Chem. 1990, 94, 6550–6555. [Google Scholar] [CrossRef]
- Kato, S.; Lee, B.; Pac, C. Fluorescence behaviour of cyanobiphenyl liquid crystal molecules in liquid crystal/polymer composite films. Liq. Cryst. 1997, 22, 595–603. [Google Scholar] [CrossRef]
- Bezrodna, T.; Melnyk, V.; Vorobjev, V.; Puchkovska, G. Low-temperature photoluminescence of 5CB liquid crystal. J. Lumin. 2010, 130, 1134–1141. [Google Scholar] [CrossRef]








| Compound | Biphenyl Dihedral Angle 1 (°) | Molecular Length 2 (Å) |
|---|---|---|
| 5-BPTMS in crystals | 9.17, 11.37 | – |
| 5-BPTMS optimized 3 | 37.99 | 20 |
| 6-BPTMS in crystals | 5.96, 15.84, 30.48 | – |
| 6-BPTMS optimized 3 | 37.98 | 21 |
| Compound | Phase Sequences 1 and Transition Temperatures (°C) 2 | τ (ns) 3 | Φ (%) 4 | |
|---|---|---|---|---|
| 5-BPTMS | Heating | Cry 108 SmeA 116 Iso | 1.6 | 22 |
| Cooling | Cry 85 Cry′ 89 SmeX 103 SmeA 115 Iso | |||
| 6-BPTMS | Heating | Cry 107 Iso | 1.7 | 30 |
| Cooling | Cry 86 SmeA 104 Iso | |||
Publisher’s Note: MDPI stays neutral with regard to jurisdictional claims in published maps and institutional affiliations. |
© 2021 by the authors. Licensee MDPI, Basel, Switzerland. This article is an open access article distributed under the terms and conditions of the Creative Commons Attribution (CC BY) license (https://creativecommons.org/licenses/by/4.0/).
Share and Cite
Sami, H.; Younis, O.; Maruoka, Y.; Yamaguchi, K.; Siddhant, K.; Hisano, K.; Tsutsumi, O. Negative Thermal Quenching of Photoluminescence from Liquid-Crystalline Molecules in Condensed Phases. Crystals 2021, 11, 1555. https://doi.org/10.3390/cryst11121555
Sami H, Younis O, Maruoka Y, Yamaguchi K, Siddhant K, Hisano K, Tsutsumi O. Negative Thermal Quenching of Photoluminescence from Liquid-Crystalline Molecules in Condensed Phases. Crystals. 2021; 11(12):1555. https://doi.org/10.3390/cryst11121555
Chicago/Turabian StyleSami, Hussain, Osama Younis, Yui Maruoka, Kenta Yamaguchi, Kumar Siddhant, Kyohei Hisano, and Osamu Tsutsumi. 2021. "Negative Thermal Quenching of Photoluminescence from Liquid-Crystalline Molecules in Condensed Phases" Crystals 11, no. 12: 1555. https://doi.org/10.3390/cryst11121555
APA StyleSami, H., Younis, O., Maruoka, Y., Yamaguchi, K., Siddhant, K., Hisano, K., & Tsutsumi, O. (2021). Negative Thermal Quenching of Photoluminescence from Liquid-Crystalline Molecules in Condensed Phases. Crystals, 11(12), 1555. https://doi.org/10.3390/cryst11121555

