Pyroelectric Properties of Bismuth Borate BZBO Single Crystals
Abstract
1. Introduction
2. Experimental Section
3. Results and Discussion
3.1. Pyroelectric Properties of BZBO Crystals
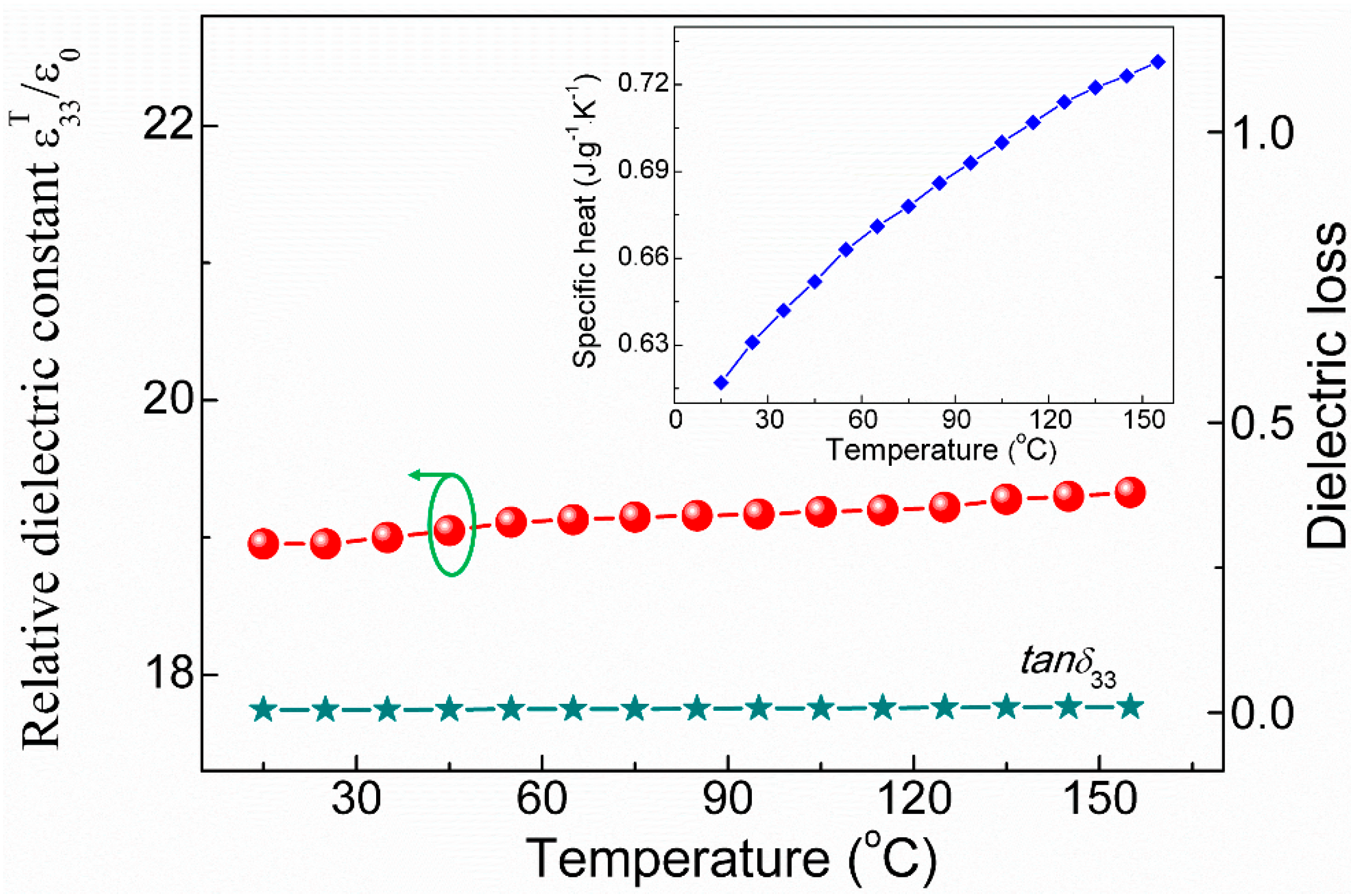
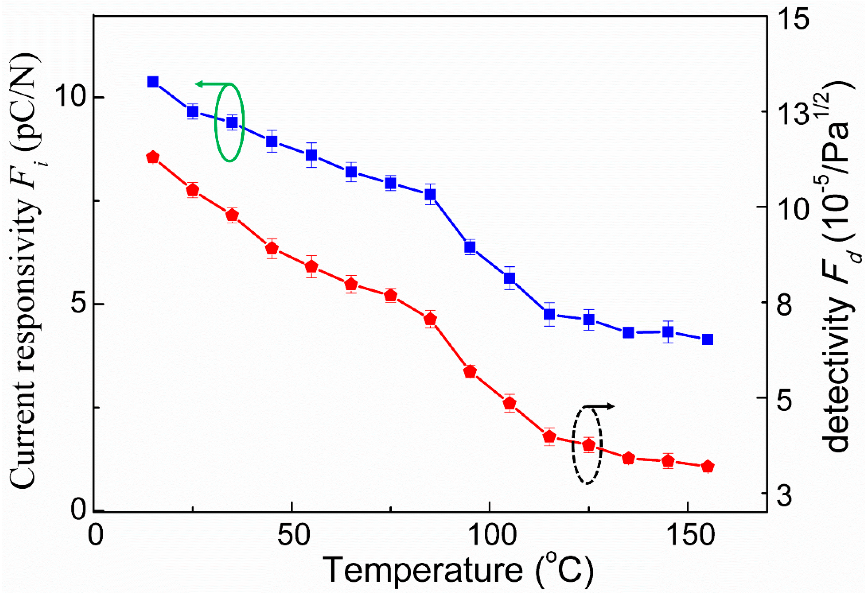
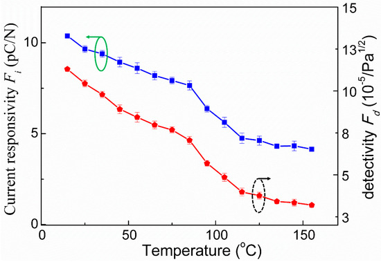
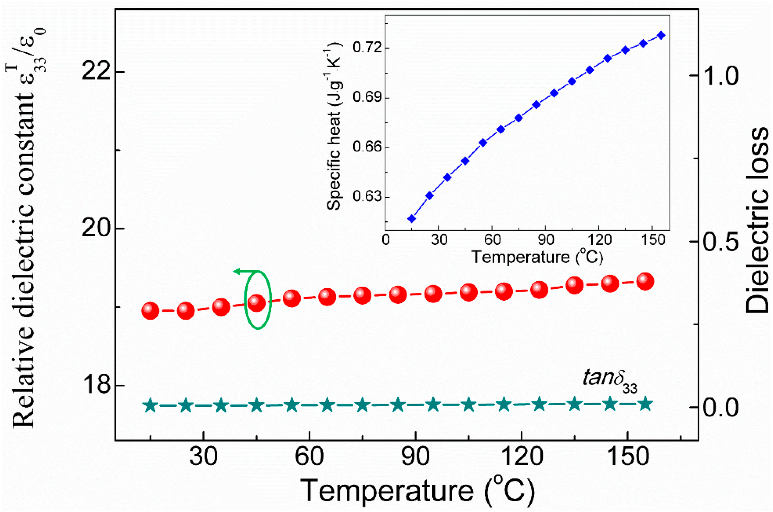
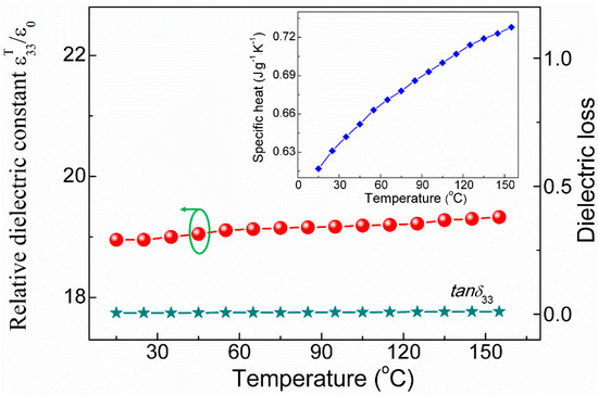
3.2. Temperature Dependence of Pyroelectric Properties
4. Conclusions
Author Contributions
Funding
Institutional Review Board Statement
Informed Consent Statement
Data Availability Statement
Acknowledgments
Conflicts of Interest
References
- Bubnova, R.; Volkov, S.; Albert, B.; Filatov, S. Borates—Crystal structures of prospective nonlinear optical materials: High anisotropy of the thermal expansion caused by anharmonic atomic vibrations. Crystals 2017, 7, 93. [Google Scholar] [CrossRef]
- Liu, Y.Q.; Zhang, F.; Wang, Z.P.; Yu, F.P.; Wei, L.; Xu, X.G.; Zhao, X. Ca3(BO3)2, a first wide waveband borate Raman laser crystal with strong Raman effects and outstanding anti-optical damage ability. J. Mater. Chem. C 2015, 3, 10687–10694. [Google Scholar] [CrossRef]
- Liu, Y.Q.; Qi, H.W.; Lu, Q.M.; Yu, F.P.; Wang, Z.P.; Xu, X.G.; Zhao, X. Type-II second-harmonic-generation properties of YCOB and GdCOB single crystals. Opt. Express 2015, 23, 2163–2173. [Google Scholar] [CrossRef] [PubMed]
- Liu, Y.Q.; Yu, F.P.; Wang, Z.P.; Xu, X.G.; Zhao, X. Growth, nonlinear optical and self-frequency-doubled properties of LaGdCOB and Nd:LaGdCOB single crystals. J. Alloys Compd. 2015, 646, 183–188. [Google Scholar] [CrossRef]
- Zhang, S.J.; Yu, F.P.; Xia, R.; Fei, Y.T.; Frantz, E.; Zhao, X.; Yuan, D.R.; Chai, B.H.T.; Snyder, D.; Shrout, T.R. High temperature ReCOB piezocrystals: Recent developments. J. Cryst. Growth 2011, 318, 884–889. [Google Scholar] [CrossRef]
- Yu, F.P.; Hou, S.; Zhang, S.J.; Lu, Q.M.; Zhao, X. Electro-elastic properties of YCa4O(BO3)3 piezoelectric crystals. Phys. Status Solidi A 2014, 211, 574–579. [Google Scholar] [CrossRef]
- Zhang, K.C.; Chen, X.A.; Wang, X.M. Review of study on bismuth triborate (BiB3O6) crystal. J. Synth. Cryst. 2005, 34, 438–443. [Google Scholar]
- Wang, Z.P.; Teng, B.; Du, C.L.; Xu, X.G.; Fu, K.; Xu, G.B.; Wang, J.Y.; Shao, Z.S. Frequency doubling property of the low symmetric nonlinear optical crystal BIBO. Acta Phys. Sin. 2003, 52, 2176–2184. [Google Scholar]
- Yu, F.P.; Lu, Q.M.; Zhang, S.J.; Wang, H.W.; Cheng, X.F.; Zhao, X. High-performance, high-temperature piezoelectric BiB3O6 crystals. J. Mater. Chem. C 2014, 3, 329–338. [Google Scholar] [CrossRef]
- Barbier, J.; Penin, N.; Cranswick, L.M. Melilite-type borates Bi2ZnB2O7 and CaBiGaB2O7. Chem. Mater. 2005, 17, 3130–3136. [Google Scholar] [CrossRef]
- Li, F.; Pan, S.L.; Hou, X.L.; Yao, J. A novel nonlinear optical crystal Bi2ZnOB2O6. Cryst. Growth Des. 2009, 9, 4091–4095. [Google Scholar] [CrossRef]
- Li, F.; Hou, X.L.; Pan, S.L.; Wang, X. Growth, structure, and optical properties of a congruent melting oxyborate, Bi2ZnOB2O6. Chem. Mater. 2009, 21, 2846–2850. [Google Scholar] [CrossRef]
- Li, F.; Pan, S.L.; Hou, X.L.; Zhou, Z.X. Growth of Bi2ZnOB2O6 crystal by the Czochralski method. J. Cryst. Growth 2010, 312, 2383–2385. [Google Scholar] [CrossRef]
- Chen, Y.N.; Zhang, M.; Mutailipu, M.; Poeppelmeier, K.R.; Pan, S.L. Research and development of Zincoborates: Crystal growth, structural chemistry and physicochemical properties. Molecules 2019, 24, 2763. [Google Scholar] [CrossRef] [PubMed]
- Chen, F.F.; Jiang, C.; Tian, S.W.; Yu, F.P.; Cheng, X.F.; Duan, X.L.; Wang, Z.P.; Zhao, X. Electroelastic features of piezoelectric Bi2ZnB2O7 crystal. Cryst. Growth Des. 2018, 18, 3988–3996. [Google Scholar] [CrossRef]
- Chen, F.F.; Wang, X.L.; Wei, L.; Yu, F.P.; Tian, S.W.; Jiang, C.; Li, Y.L.; Cheng, X.F.; Wang, Z.P.; Zhao, X. Thermal properties and CW laser performances of pure and Nd doped Bi2ZnB2O7 single crystals. CrystEngComm 2018, 20, 7094–7099. [Google Scholar] [CrossRef]
- Tang, Y.X.; Zhang, S.J.; Shen, Z.Y.; Jiang, W.H.; Luo, J.; Sahul, R.; Shrout, T.R. Primary and secondary pyroelectric coefficients of rhombohedral and tetragonal single-domain relaxor-PbTiO3 single crystals. J. Appl. Phys. 2013, 114, 084105. [Google Scholar] [CrossRef]
- Barzegar, A.; Damjanovic, D.; Ledermann, N.; Muralt, P. Piezoelectric response of thin films determined by charge integration technique: Substrate bending effects. J. Appl. Phys. 2003, 93, 4756–4760. [Google Scholar] [CrossRef]
- Whatmore, R.W. Pyroelectric devices and materials. Rep. Prog. Phys. 1986, 49, 1335–1386. [Google Scholar] [CrossRef]
- IEEE Standard on Piezoelectricity; ANSI/IEEE Standard: New York, NY, USA, 1987; Volume 176.
- Whatmore, R.W.; Osbond, P.C.; Shorrocks, N.M. Ferroelectric materials for thermal IR detectors. Ferroelectrics 1987, 76, 351–367. [Google Scholar] [CrossRef]
- Hou, S.; Yu, F.P.; Tang, Y.X.; Zhang, S.J.; Zhao, X. Pyroelectric properties of rare-earth calcium oxyborate crystals: ReCa4O(BO3)3 (Re: Y, Gd, Nd, and Pr). IEEE Trans. Ultrason. Ferroelectr. Freq. Control 2014, 61, 561–566. [Google Scholar] [CrossRef]
- Newnham, R.E. Properties of Materials: Anisotropy, Symmetry, Structure; Oxford University Press: Oxford, UK, 2005. [Google Scholar]




| Pyroelectric coefficients (μC/(m2·°C)) | |||||||||
| Crystal | p3 | psec(Z) | |||||||
| BZBO | 6.4 | −6.5 | |||||||
| TGS | 60 | −330 | |||||||
| FOMs value | |||||||||
| Crystal | Fi (pm/V) | Fv (m2/°C) | Fd (10−5/Pa1/2) | ||||||
| BZBO | 10.38 | 0.06 | 11.31 | ||||||
| Thermal expansion coefficients α (10−6 K−1) | |||||||||
| Crystal | α11 | α22 | α33 | ||||||
| BZBO | 6.9 | 11.2 | 1.9 | ||||||
| Elastic stiffness constants cij (1010 N/m2) | |||||||||
| Crystal | c11 | c12 | c13 | c22 | c23 | c33 | c44 | c55 | c66 |
| BZBO | 17.0 | 7.4 | 6.3 | 13.1 | 6.9 | 16.4 | 5.8 | 5.8 | 4.9 |
| Piezoelectric coefficient dij (10−12 C/N) | |||||||||
| Crystal | d15 | d24 | d31 | d32 | d33 | ||||
| BZBO | 1.4 | −5.5 | 2.5 | −6.4 | 1.1 | ||||
Publisher’s Note: MDPI stays neutral with regard to jurisdictional claims in published maps and institutional affiliations. |
© 2021 by the authors. Licensee MDPI, Basel, Switzerland. This article is an open access article distributed under the terms and conditions of the Creative Commons Attribution (CC BY) license (http://creativecommons.org/licenses/by/4.0/).
Share and Cite
Chen, F.; Jiang, C.; Cheng, X.; Zhao, X. Pyroelectric Properties of Bismuth Borate BZBO Single Crystals. Crystals 2021, 11, 64. https://doi.org/10.3390/cryst11010064
Chen F, Jiang C, Cheng X, Zhao X. Pyroelectric Properties of Bismuth Borate BZBO Single Crystals. Crystals. 2021; 11(1):64. https://doi.org/10.3390/cryst11010064
Chicago/Turabian StyleChen, Feifei, Chao Jiang, Xiufeng Cheng, and Xian Zhao. 2021. "Pyroelectric Properties of Bismuth Borate BZBO Single Crystals" Crystals 11, no. 1: 64. https://doi.org/10.3390/cryst11010064
APA StyleChen, F., Jiang, C., Cheng, X., & Zhao, X. (2021). Pyroelectric Properties of Bismuth Borate BZBO Single Crystals. Crystals, 11(1), 64. https://doi.org/10.3390/cryst11010064

