Next Article in Journal
Microstructure Characterization in Individual Texture Components by X-Ray Line Profile Analysis: Principles of the X-TEX Method and Practical Application to Tensile-Deformed Textured Ti
Previous Article in Journal
High-Temperature Mechanical Properties of IN718 Alloy: Comparison of Additive Manufactured and Wrought Samples
 
 
Font Type:
Arial Georgia Verdana
Font Size:
Aa Aa Aa
Line Spacing:
Column Width:
Background:
Article

(Ba,K)(Zn,Mn)2Sb2: A New Type of Diluted Magnetic Semiconductor

1
Beijing National Laboratory for Condensed Matter Physics, and Institute of Physics, Chinese Academy of Sciences, Beijing 100190, China
2
School of Physics, University of Chinese Academy of Sciences, Beijing 100190, China
3
Materials Research Lab at Songshan Lake, Dongguan 523808, China
4
Department of Physics, Columbia University, New York, NY 10027, USA
*
Authors to whom correspondence should be addressed.
Crystals 2020, 10(8), 690; https://doi.org/10.3390/cryst10080690
Submission received: 28 June 2020 / Revised: 1 August 2020 / Accepted: 6 August 2020 / Published: 10 August 2020

Abstract

A series of polycrystalline samples of a new diluted magnetic semiconductor (DMS) (Ba,K)(Zn,Mn)2Sb2 has been synthesized and systematically studied. The parent phase is the so-called “Zintl compound” BaZn2Sb2, a week-degenerate semiconductor with a narrow band gap of 0.2 eV. In (Ba,K)(Zn,Mn)2Sb2, the charge is doped by (Ba,K) substitution while the spin is independently doped by (Zn,Mn) substitution. (Ba,K)(Zn,Mn)2Sb2 and analogue (Ba,K)(Zn,Mn)2As2 have comparable narrow band gaps, carrier and spin concentrations. However, the former establishes a short-range spin-glass order at a very low temperature (<10 K), while the latter forms a long-range ferromagnetic ordering with a Curie temperature up to 230 K. The sharp contrast makes (Ba,K)(Zn,Mn)2Sb2 to be a touchstone for DMS theoretical models.

1. Introduction

Dilute magnetic semiconductors (DMS) which have potential to control charge and spin in a single material are very applicable to spintronic devices [1,2,3]. Since the discovery of (Ga,Mn)As and (In,Mn)As, the III–V-based DMS have receive much attention as prototypical DMS materials [4]. However, in either (Ga,Mn)As or (In,Mn)As, heterovalent (Ga3+,Mn2+) or (In3+,Mn2+) substitution leads to difficulties in the individual control of carrier and spin doping and seriously limited chemical solubility. These two obstacles prevent further improving Curie temperature (TC) in the III–V based DMS.
Recently, a series of new DMS materials with the independent doping of carrier and spin have been discovered, e.g., “111” type Li(Zn,Mn)As and “122” type (Ba,K)(Zn,Mn)2As2 [5,6,7,8,9,10,11,12,13]. A large number of progresses have been made in these new DMS, in both fundamental studies and potential applications [14,15,16,17,18,19,20,21,22,23,24,25,26,27,28]. Among the new DMS, (Ba,K)(Zn,Mn)2As2 has a maximum Curie temperature (TC) of 230 K, which is a reliable record of carrier-mediated ferromagnetic DMS [29,30]. Besides, the physical picture of (Ba,K)(Zn,Mn)2As2 is believed to be general and thus applicable to other DMS [31,32,33].
(Ba,K)(Zn,Mn)2As2 stimulates further searching for DMS with a TC over room temperature. Recent theoretical calculations predicted that the Curie temperature of (Ba,K)(Zn,Mn)2Sb2 is even higher than 230 K [34]. (Ba,K)(Zn,Mn)2Sb2 does not contain a toxic element, another advantage over (Ba,K)(Zn,Mn)2As2. As reported, it has a band gap of 0.2 eV, similar to that of (Ba,K)(Zn,Mn)2As2. In this paper, we report the synthesis and physical properties of K- and Mn-co-doped (Ba,K)(Zn,Mn)2Sb2.

2. Experimental

Polycrystalline specimens of (Ba1−xKx)(Zn1−yMny)2Sb2 were synthesized with a solid state reaction method. The high purity of raw materials, Ba, K, Zn, Mn and Sb, were well ground according to the stoichiometric ratio, and then pressed into pellets. The pellets were sealed into Ta tube and heated to 750 K for 10 h before cooling down to room temperature. All the procedures are protected under high purity argon. Powder X-ray diffraction (PXRD) was performed using Cu Kα radiation with a Philips X’pert diffractometer at room temperature. Chemical compositions and the homogeneousness of the samples were investigated with the energy dispersive X-ray analysis (EDX) of a commercial scanning electron microscope (SEM). The DC magnetic susceptibility was characterized by a superconducting quantum interference device (SQUID) magnetometer. A physical property measurement system (PPMS) was used for AC magnetic susceptibility and electricity transport measurements.

3. Results and Discussion

The parent phase of title DMS is BaZn2Sb2, a Zintl compound (space group Pnma) [35]. Its crystal structure is consisted of (ZnSb4) tetrahedra and insulated Ba cations (Figure 1a). The former is comprised of corner-connected ZnSb chains which are composed by edge sharing (ZnSb4) tetrahedra (Figure 1b–c). In contrast, the crystal structure of I4mmm-phase BaZn2As2 consists of Ba and ZnAs layers, and the latter are formed by edge sharing (ZnAs4) tetrahedral [36].
Rietveld refinement of (Ba0.9K0.1)(Zn0.9Mn0.1)2Sb2 is plotted in Figure 1d as a typical example. Refinement parameters and structural details obtained from Rietveld refinement are listed in Table 1. The average bond length of Mn–Sb (2.71 Å) is slightly smaller than that of BaMn2Sb2 (2.77 Å) [37]. All the peaks of the present samples, (Ba1−xKx)(Zn0.9Mn0.1)2Sb2 (x = 0, 0.05, 0.075, 0.1, 0.15 and 0.2) and (Ba0.9K0.1)(Zn1−yMny)2Sb2 (y = 0, 0.05, 0.075, 0.1, 0.15 and 0.2) crystallize into the crystal structure of the parent phase. No trace of impurity phase can be found from the lab PXRD patterns. As shown in Figure 1e, the lattice parameters change linearly with doping levels, indicating the successful chemical solutions of Mn [38].
Figure 2a shows the temperature-dependent resistivity (ρ(T)) of the parent compound BaZn2Sb2. The resistivity increases smoothly with increasing temperature from 70 to 220 K, indicating that BaZn2Sb2 is a weak-degenerate semiconductor [35]. Single Mn-doping increases the resistivity of Ba(Zn1−yMny)2Sb2 (Figure 2a) due to the possible magnetic scattering effect of Mn2+. In contrast, after doping with a small amount of K into the Ba-site, the resistivity of (Ba0.9K0.1)Zn2Sb2 decreases by about 90% compared to BaZn2Sb2 (Figure 2b). The role of K-doping is further confirmed by the Hall effect measurements, which will be discussed later. Similar behaviors of ρ(T) are also shown in the K- and Mn-co-doped samples (Figure 2c,d).
With proper doping levels of K and Mn, the title DMSs show spin-glass-like behaviors. Here, we take the sample of (Ba0.925K0.075)(Zn0.9Mn0.1)2Sb2 as a typical example to exhibit the spin-glass-like transition. Upon the lowering of the temperature, the DC temperature-dependent magnetization (M(T)) of H = 500 Oe shows divergence between zero field cooling and field cooling (Tirr ~ 4.7 K) and then one bump (TS ~ 3.6 K) on zero field cooling in Figure 3a. They rapidly shift towards a lower temperature (Tirr ~ 4.1 K and TS ~ 3.2 K) under H = 1000 Oe. With a higher field of 2000 Oe, the bump on zero field cooling disappears and the divergence between zero field cooling and field cooling could barely be identified. These behaviors indicate spin-glass-like transition [11,39,40,41,42,43,44]. In Figure 3b, unsaturated “S”-shape field-dependent magnetization (M(H)) curves and the presence of hysteresis loop also reveal magnetic frustration. To obtain a closer insight into the glassy magnetism, AC susceptibility under zero field was measured with varying frequencies (f). The results of the sample (Ba0.925K0.075)(Zn0.9Mn0.1)2Sb2 are present as typical examples. There is only one transition observed in the real (χ′) and imaginary (χ′′) parts for each f at about 4.5 K in the temperature range of 2–20 K, consistent with the maximum on the zero field cooling curve. As shown in Figure 3a, the freezing temperature, Tf, moves towards a higher temperature with increasing f on both χ’(T) and χ’’(T). The f-dependent transition is a typical hallmark of spin-glass-like systems. The frequency shift (K) [43] is calculated to reflect the f-dependence with Equation (1):
K = ΔTf/[TfΔlog(f)].
For a canonical spin-glass system, K ranges between 0.005 and 0.08 [45]. The obtained value of (Ba0.925K0.075)(Zn0.9Mn0.1)2Sb2 is K ~ 0.016, indicating the spin-glass nature of (Ba,K)(Zn,Mn)2Sb2.
To testify the criterion to form spin-glass-like ordering, the DC magnetic behaviors of (Ba0.9K0.1)(Zn1−yMny)2Sb2 (y = 0.05, 0.075, 0.1, 0.15, and 0.2) and (Ba1−xKx)(Zn0.9Mn0.1)2Sb2 (x = 0.05, 0.075, 0.1, 0.15 and 0.2) are plotted in Figure 4, respectively. In Figure 4a, the sample of y = 0.05 and 0.075 shows no clear magnetic ordering, while the samples with higher Mn concentration behave differently. With increasing temperature, a maximum on the zero field cooling curve and then a divergence between the zero field cooling and field cooling can be found in each sample with y = 0.1, 0.15, and 0.2. In Figure 4b, only the samples with y = 0.1, 0.15, and 0.2 show unsaturated “S”-shape M(H) curves and hysteresis loops. For the sample of y = 0.05 and 0.075, Mn is probably too diluted to build up spin-glass-like ordering. In Figure 4c, spin-glass-like behaviors are present in the sample of (Ba1−xKx)(Zn0.9Mn0.1)2Sb2 with x = 0.05, 0.075 and 0.1. Surprisingly, further K-doping suppresses the short-range magnetic ordering in the over-doped sample with x ≥ 0.15. The suppression of the short-range magnetic ordering is consistent with M(H) results as shown in Figure 4d. In short, when the concentration of K ≥ 0.2 or the concentration of Mn ≤ 0.075 in (Ba1−xKx)(Zn1−yMny)2Sb2, no clear magnetic ordering could be found down to 2 K.
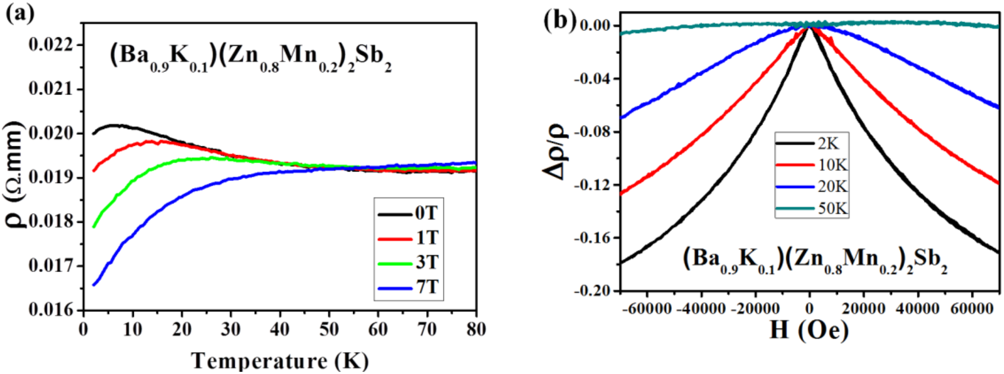
Figure 5a shows the ρ(T) curves of (Ba0.9K0.1)(Zn0.8Mn0.2)2Sb2 under various fields. Negative magnetoresistance appears around 45 K, which is well above Tf. At H = 0 T, there is a maximum at about 5 K, which is coincident with Tf. On the increasing magnetic field, the maximum shifts toward higher temperature and meanwhile the upturn is gradually suppressed. Figure 5b shows the field-dependent resistivity ρ(H) of (Ba0.9K0.1)(Zn0.8Mn0.2)2Sb2 at different temperatures. Magnetoresistance does not saturate up to 7 T at low temperatures (T = 2, 10 and 20 K). The maximum negative magnetoresistance (defined as Δρ/ρ0 = ((ρH − ρ0)0)) is 18% at T = 2 K and H = 7 T. Negative magnetoresistance with similar magnitude has been found in many DMS systems, e.g., (Ga,Mn)As, Li(Zn,Mn)As and (Ba,K)(Zn,Mn)2As2 [5,6,46], where the long-range ferromagnetic ordering is well established. In contrast, negative magnetoresistance in (Ba0.9K0.1)(Zn0.8Mn0.2)2Sb2 is related with short-rang spin-glass-like ordering.
The Hall effect measurements were performed on three typical samples, which are the parent phase BaZn2Sb2, the K-doped (Ba0.9K0.1)Zn2Sb2 and K- and Mn-co-doped (Ba0.9K0.1)(Zn0.9Mn0.1)2Sb2 at T = 2 K and 300 K, respectively. Field-dependent Hall resistivity (ρxy(H)) of (Ba0.9K0.1)(Zn0.9Mn0.1)2Sb2 is plotted in Figure 6 as an example. Both low- and high-temperature ρxy(H) curves are linear in the whole field range (H = 0–7 T). No trace of anomaly Hall effect can be found down to 2 K. Calculated carrier concentrations (np) are listed in Table 2. In all the three samples, the major carrier is p-type, and the hole concentrations increase with increasing temperature. The K-doping significantly increases hole concentration (np). The obtained carrier concentrations for parent compound BaZn2Sb2 and Ba0.9K0.1Zn2Sb2 are about 3 × 1019 cm−3 and 4 × 1020 cm−3, respectively. On the other hand, Mn-doping marginally decreases the hole concentration. The np of (Ba0.9K0.1)(Zn0.9Mn0.1)2Sb2 is less than that of (Ba0.9K0.1)Zn2Sb2 at low temperature. This decrease in np is consistent with the increase in resistivity upon Mn doping in Figure 2d.
Although (Ba,K)(Zn,Mn)2Sb2 and (Ba,K)(Zn,Mn)2As2 have similar physical properties, including the band gap of parent phases, carrier and spin concentrations, eventually (Ba,K)(Zn,Mn)2Sb2 forms spin-glass ordering while (Ba,K)(Zn,Mn)2As2 establish long-range ferromagnetic ordering. The results of (Ba,K)(Zn,Mn)2Sb2 suggest that more complex factors, for example crystal structure, should be considered to predict magnetism for DMS materials.

4. Conclusions

In summary, a new DMS (Ba,K)(Zn,Mn)2Sb2 with independent charge and spin doping has been synthesized. With co-doped K and Mn to induce hole carrier and spin, (Ba,K)(Zn,Mn)2Sb2 can establish a spin-glass ordering at low temperature. A large negative magnetoresistance of 18% related with spin-glass ordering is achieved below freezing temperature. Although (Ba,K)(Zn,Mn)2Sb2 and ferromagnetic (Ba,K)(Zn,Mn)2As2 have comparable band gaps, hole and local spin concentrations, they present dramatically different magnetic properties. The title material, (Ba,K)(Zn,Mn)2Sb2, provides a unique opportunity to testify established DMS models.

Author Contributions

Conceptualization, C.J. and Z.D.; validation, S.Y., Z.D. and C.J.; formal analysis, S.Y., Z.D.; investigation, G.Z., Y.P., X.W., Q.L., R.Y., S.Z. and Y.J.U.; resources, C.J.; data curation, S.Y., J.Z., W.L., and Z.D.; writing—original draft preparation, S.Y.; writing—review and editing, Z.D. and C.J.; supervision, C.J.; project administration, C.J.; funding acquisition, C.J. All authors have read and agreed to the published version of the manuscript.

Funding

This work was financially supported by National Key R&D Program of China (No. 2017YFB0405703), Ministry of Science and Technology of China (2018YFA03057001) and the National Natural Science Foundation of China through the research projects (No. 11921004, 11820101003, 11534016, and 11974407). Z.D. also acknowledges support of the Youth Innovation Promotion Association of CAS (No. 2020007).

Acknowledgments

The authors would like to thank Jianhua Zhao, Xinhui Zhang and Xiaohong Xu for helpful discussions.

Conflicts of Interest

The authors declare no conflict of interest.

References

  1. Zutic, I.; Fabian, J.; Das Sarma, S. Spintronics: Fundamentals and applications. Rev. Mod. Phys. 2004, 76, 323–410. [Google Scholar] [CrossRef]
  2. Jungwirth, T.; Wunderlich, J.; Novák, V.; Olejník, K.; Gallagher, B.L.; Campion, R.P.; Edmonds, K.W.; Rushforth, A.W.; Ferguson, A.J.; Němec, P. Spin-dependent phenomena and device concepts explored in (Ga,Mn)As. Rev. Mod. Phys. 2014, 86, 855–896. [Google Scholar] [CrossRef]
  3. Erwin, S.C.; Zutic, I. Tailoring ferromagnetic chalcopyrites. Nat. Mater. 2004, 3, 410–414. [Google Scholar] [CrossRef] [PubMed]
  4. Ohno, H. Making Nonmagnetic Semiconductors Ferromagnetic. Science 1998, 281, 951–956. [Google Scholar] [CrossRef]
  5. Deng, Z.; Jin, C.Q.; Liu, Q.Q.; Wang, X.C.; Zhu, J.L.; Feng, S.M.; Chen, L.C.; Yu, R.C.; Arguello, C.; Goko, T.; et al. Li(Zn,Mn)As as a new generation ferromagnet based on a I-II-V semiconductor. Nat. Commun. 2011, 2, 422. [Google Scholar] [CrossRef] [PubMed]
  6. Zhao, K.; Deng, Z.; Wang, X.C.; Han, W.; Zhu, J.L.; Li, X.; Liu, Q.Q.; Yu, R.C.; Goko, T.; Frandsen, B.; et al. New diluted ferromagnetic semiconductor with Curie temperature up to 180 K and isostructural to the ’122’ iron-based superconductors. Nat. Commun. 2013, 4, 1442. [Google Scholar] [CrossRef] [PubMed]
  7. Deng, Z.; Zhao, K.; Gu, B.; Han, W.; Zhu, J.L.; Wang, X.C.; Li, X.; Liu, Q.Q.; Yu, R.C.; Goko, T.; et al. Diluted ferromagnetic semiconductor Li(Zn,Mn)P with decoupled charge and spin doping. Phys. Rev. B 2013, 88, 081203. [Google Scholar] [CrossRef]
  8. Chen, B.J.; Zhao, K.; Deng, Z.; Han, W.; Zhu, J.L.; Wang, X.C.; Liu, Q.Q.; Frandsen, B.; Liu, L.; Cheung, S.; et al. (Sr,Na)(Zn,Mn)2As2: A diluted ferromagnetic semiconductor with the hexagonal CaAl2Si2 type structure. Phys. Rev. B 2014, 90, 155202. [Google Scholar] [CrossRef]
  9. Zhao, K.; Chen, B.J.; Deng, Z.; Han, W.; Zhao, G.Q.; Zhu, J.L.; Liu, Q.Q.; Wang, X.C.; Frandsen, B.; Liu, L.; et al. (Ca,Na)(Zn,Mn)2As2: A new spin and charge doping decoupled diluted ferromagnetic semiconductor. J. Appl. Phys. 2014, 116, 163906. [Google Scholar] [CrossRef]
  10. Han, W.; Zhao, K.; Wang, X.C.; Liu, Q.Q.; Ning, F.L.; Deng, Z.; Liu, Y.; Zhu, J.L.; Ding, C.; Man, H.Y.; et al. Diluted ferromagnetic semiconductor (La,Ca)(Zn,Mn)SbO isostructural to “1111” type iron pnictide superconductors. Sci. China Phys. Mech. 2013, 56, 2026–2030. [Google Scholar] [CrossRef]
  11. Man, H.Y.; Guo, S.L.; Sui, Y.; Guo, Y.; Chen, B.; Wang, H.D.; Ding, C.; Ning, F.L. Ba(Zn1−2xMnxCux)2As2: A Bulk Form Diluted Ferromagnetic Semiconductor with Mn and Cu Co-doping at Zn Sites. Sci. Rep. 2015, 5, 15507. [Google Scholar] [CrossRef] [PubMed]
  12. Ding, C.; Man, H.Y.; Qin, C.; Lu, J.C.; Sun, Y.L.; Wang, Q.; Yu, B.Q.; Feng, C.M.; Goko, T.; Arguello, C.J.; et al. (La1−xBax)(Zn1−xMnx)AsO: A two-dimensional 1111-type diluted magnetic semiconductor in bulk form. Phys. Rev. B 2013, 88, 041102. [Google Scholar] [CrossRef]
  13. Chen, B.J.; Deng, Z.; Wang, X.C.; Feng, S.M.; Yuan, Z.; Zhang, S.J.; Liu, Q.Q.; Jin, C.Q. Structural stability at high pressure, electronic, and magnetic properties of BaFZnAs: A new candidate of host material of diluted magnetic semiconductors. Chin. Phys. B 2016, 25, 077503. [Google Scholar] [CrossRef]
  14. Sun, F.; Li, N.N.; Chen, B.J.; Jia, Y.T.; Zhang, L.J.; Li, W.M.; Zhao, G.Q.; Xing, L.Y.; Fabbris, G.; Wang, Y.G.; et al. Pressure effect on the magnetism of the diluted magnetic semiconductor (Ba1−xKx)(Zn1−yMy)2As2 with independent spin and charge doping. Phys. Rev. B 2016, 93, 224403. [Google Scholar] [CrossRef]
  15. Sun, F.; Zhao, G.Q.; Escanhoela, C.A.; Chen, B.J.; Kou, R.H.; Wang, Y.G.; Xiao, Y.M.; Chow, P.; Mao, H.K.; Haskel, D.; et al. Hole doping and pressure effects on the II-II-V-based diluted magnetic semiconductor (Ba1−xKx)(Zn1−yMny)2As2. Phys. Rev. B 2017, 95, 094412. [Google Scholar] [CrossRef]
  16. Zhao, G.Q.; Li, Z.; Sun, F.; Yuan, Z.; Chen, B.J.; Yu, S.; Peng, Y.; Deng, Z.; Wang, X.C.; Jin, C.Q. Effects of high pressure on the ferromagnetism and in-plane electrical transport of (Ba0.904K0.096)(Zn0.805Mn0.195)2As2 single crystal. J. Phys.Condens. Mat. 2018, 30, 254001. [Google Scholar] [CrossRef]
  17. Sun, F.; Xu, C.; Yu, S.; Chen, B.J.; Zhao, G.Q.; Deng, Z.; Yang, W.G.; Jin, C.Q. Synchrotron X-Ray Diffraction Studies on the New Generation Ferromagnetic Semiconductor Li(Zn, Mn)As under High Pressure. Chin. Phys. Lett. 2017, 34, 067501. [Google Scholar] [CrossRef]
  18. Zhao, G.Q.; Lin, C.J.; Deng, Z.; Gu, G.X.; Yu, S.; Wang, X.C.; Gong, Z.Z.; Uemera, Y.J.; Li, Y.Q.; Jin, C.Q. Single Crystal Growth and Spin Polarization Measurements of Diluted Magnetic Semiconductor (Ba,K)(Zn,Mn)2As2. Sci. Rep. 2017, 7, 14473. [Google Scholar] [CrossRef]
  19. Wang, R.; Huang, Z.X.; Zhao, G.Q.; Yu, S.; Deng, Z.; Jin, C.Q.; Jia, Q.J.; Chen, Y.; Yang, T.Y.; Jiang, X.M.; et al. Out-of-plane easy-axis in thin films of diluted magnetic semiconductor Ba1−xKx(Zn1−yMny)2As2. AIP Adv. 2017, 7, 045017. [Google Scholar] [CrossRef]
  20. Suzuki, H.; Zhao, G.Q.; Zhao, K.; Chen, B.J.; Horio, M.; Koshiishi, K.; Xu, J.; Kobayashi, M.; Minohara, M.; Sakai, E.; et al. Fermi surfaces and p-d hybridization in the diluted magnetic semiconductor Ba1−xKx(Zn1−yMny)2As2 studied by soft x-ray angle-resolved photoemission spectroscopy. Phys. Rev. B 2015, 92, 235120. [Google Scholar] [CrossRef]
  21. Frandsen, B.A.; Gong, Z.Z.; Terban, M.W.; Banerjee, S.; Chen, B.J.; Jin, C.Q.; Feygenson, M.; Uemura, Y.J.; Billinge, S.J.L. Local atomic and magnetic structure of dilute magnetic semiconductor (Ba,K)(Zn,Mn)2As2. Phys. Rev. B 2016, 94, 094102. [Google Scholar] [CrossRef]
  22. Zutic, I.; Zhou, T. Tailoring magnetism in semiconductors. Sci. China Phys. Mech. 2018, 61, 067031. [Google Scholar] [CrossRef]
  23. Gu, G.X.; Zhao, G.Q.; Lin, C.J.; Li, Y.Q.; Jin, C.Q.; Xiang, G. Asperomagnetic order in diluted magnetic semiconductor (Ba,Na)(Zn,Mn)2As2. Appl. Phys. Lett. 2018, 112, 032402. [Google Scholar] [CrossRef]
  24. Anh, L.D.; Kaneko, D.; Hai, P.N.; Tanaka, M. Growth and characterization of insulating ferromagnetic semiconductor (Al,Fe)Sb. Appl. Phys. Lett. 2015, 107, 232405. [Google Scholar] [CrossRef]
  25. Nam Hai, P.; Duc Anh, L.; Mohan, S.; Tamegai, T.; Kodzuka, M.; Ohkubo, T.; Hono, K.; Tanaka, M. Growth and characterization of n-type electron-induced ferromagnetic semiconductor (In,Fe)As. Appl. Phys. Lett. 2012, 101, 182403. [Google Scholar] [CrossRef]
  26. Tu, N.T.; Hai, P.N.; Anh, L.D.; Tanaka, M. High-temperature ferromagnetism in heavily Fe-doped ferromagnetic semiconductor (Ga,Fe)Sb. Appl. Phys. Lett. 2016, 108, 192401. [Google Scholar] [CrossRef]
  27. Tu, N.T.; Hai, P.N.; Anh, L.D.; Tanaka, M. High-temperature ferromagnetism in new n-type Fe-doped ferromagnetic semiconductor (In, Fe) Sb. Appl. Phys. Express 2018, 11, 063005. [Google Scholar] [CrossRef]
  28. Yamada, Y.; Ueno, K.; Fukumura, T.; Yuan, H.T.; Shimotani, H.; Iwasa, Y.; Gu, L.; Tsukimoto, S.; Ikuhara, Y.; Kawasaki, M. Electrically Induced Ferromagnetism at Room Temperature in Cobalt-Doped Titanium Dioxide. Science 2011, 332, 1065–1067. [Google Scholar] [CrossRef]
  29. Zhao, K.; Chen, B.; Zhao, G.; Yuan, Z.; Liu, Q.; Deng, Z.; Zhu, J.; Jin, C. Ferromagnetism at 230 K in (Ba0.7K0.3)(Zn0.85Mn0.15)2As2 diluted magnetic semiconductor. Chin. Sci. Bull. 2014, 59, 2524–2527. [Google Scholar] [CrossRef]
  30. Hirohata, A.; Sukegawa, H.; Yanagihara, H.; Zutic, I.; Seki, T.; Mizukami, S.; Swaminathan, R. Roadmap for Emerging Materials for Spintronic Device Applications. IEEE Trans. Magn. 2015, 51, 0800511. [Google Scholar] [CrossRef]
  31. Glasbrenner, J.K.; Zutic, I.; Mazin, I.I. Theory of Mn-doped II-II-V semiconductors. Phys. Rev. B 2014, 90, 140403. [Google Scholar] [CrossRef]
  32. Zhao, G.Q.; Deng, Z.; Jin, C.Q. Advances in new generation diluted magnetic semiconductors with independent spin and charge doping. J. Semicond. 2019, 40, 081505. [Google Scholar] [CrossRef]
  33. Dietl, T.; Ohno, H. Dilute ferromagnetic semiconductors: Physics and spintronic structures. Rev. Mod. Phys. 2014, 86, 187. [Google Scholar] [CrossRef]
  34. Gu, B.; Maekawa, S. Diluted magnetic semiconductors with narrow band gaps. Phys. Rev. B 2016, 94, 155202. [Google Scholar] [CrossRef]
  35. Wang, X.-J.; Tang, M.-B.; Zhao, J.-T.; Chen, H.-H.; Yang, X.-X. Thermoelectric properties and electronic structure of Zintl compound BaZn2Sb2. Appl. Phys. Lett. 2007, 90, 232107. [Google Scholar] [CrossRef]
  36. Xiao, Z.; Hiramatsu, H.; Ueda, S.; Toda, Y.; Ran, F.Y.; Guo, J.; Lei, H.; Matsuishi, S.; Hosono, H.; Kamiya, T. Narrow bandgap in beta-BaZn2As2 and its chemical origins. J. Am. Chem. Soc. 2014, 136, 14959–14965. [Google Scholar] [CrossRef]
  37. Brechtel, E.; Cordier, G.; Schäfer, H. Darstellung und Kristallstruktur von BaMn2Sb2, BaZn2Sb2 und BaCd2Sb2/Preparation and Crystal Structure of BaMn2Sb2, BaZn2Sb2 and BaCd2Sb2. Zeitschrift für Naturforschung B 1979, 34, 921–925. [Google Scholar] [CrossRef][Green Version]
  38. Li, W.M.; Cao, L.P.; Zhao, J.F.; Wang, X.C.; Yu, R.Z.; Long, Y.W.; Liu, Q.Q.; Jin, C.Q. Superconductivity of a cuprate with compressed local octahedron. Sci. China Phys. Mech. 2019, 62, 037421. [Google Scholar] [CrossRef]
  39. Dhar, S.; Brandt, O.; Trampert, A.; Friedland, K.J.; Sun, Y.J.; Ploog, K.H. Observation of spin-glass behavior in homogeneous (Ga,Mn)N layers grown by reactive molecular-beam epitaxy. Phys. Rev. B 2003, 67, 165205. [Google Scholar] [CrossRef]
  40. Furdyna, J.K. Diluted magnetic semiconductors. J. Appl. Phys. 1988, 64, R29–R64. [Google Scholar] [CrossRef]
  41. Toliński, T.; Synoradzki, K. Spin-glass behavior in CeCuxNi4−xMn and Ce0.9Nd0.1Ni4Mn compounds. Intermetallics 2011, 19, 62–67. [Google Scholar] [CrossRef]
  42. Wang, F.; Zhang, J.; Chen, Y.-F.; Wang, G.-J.; Sun, J.-R.; Zhang, S.-Y.; Shen, B.-G. Spin-glass behavior in La(Fe1−xMnx)11.4Si1.6compounds. Phys. Rev. B 2004, 69, 094424. [Google Scholar] [CrossRef]
  43. Liu, X.; Matsuishi, S.; Fujitsu, S.; Hosono, H. Spin-glass-like behavior of CaNi1−xMnxGe. Phys. Rev. B 2011, 84, 214439. [Google Scholar] [CrossRef]
  44. Macdonald, A.H.; Schiffer, P.; Samarth, N. Ferromagnetic semiconductors: Moving beyond (Ga, Mn)As. Nat. Mater. 2005, 4, 195–202. [Google Scholar] [CrossRef]
  45. Deng, Z.; Retuerto, M.; Liu, S.Z.; Croft, M.; Stephens, P.W.; Calder, S.; Li, W.M.; Chen, B.J.; Jin, C.Q.; Hu, Z.W.; et al. Dynamic Ferrimagnetic Order in a Highly Distorted Double Perovskite Y2CoRuO6. Chem. Mater. 2018, 30, 7047–7054. [Google Scholar] [CrossRef]
  46. Matsukura, F.; Ohno, H.; Shen, A.; Sugawara, Y. Transport properties and origin of ferromagnetism in (Ga,Mn)As. Phys. Rev. B 1998, 57, R2037–R2040. [Google Scholar] [CrossRef]
Figure 1. (a) Crystal structure of the parent phase, BaZn2Sb2; (b) the sketch of the ZnSb framework in ac-plane; (c) the sketch of the ZnSb framework in the ab-plane; (d) the Rietveld refinement of (Ba0.9K0.1)(Zn0.9Mn0.1)2Sb2; (e) the change of the lattice constants, a (red dots), b (blue dots) and c (black dots), with Mn doping levels.
Figure 1. (a) Crystal structure of the parent phase, BaZn2Sb2; (b) the sketch of the ZnSb framework in ac-plane; (c) the sketch of the ZnSb framework in the ab-plane; (d) the Rietveld refinement of (Ba0.9K0.1)(Zn0.9Mn0.1)2Sb2; (e) the change of the lattice constants, a (red dots), b (blue dots) and c (black dots), with Mn doping levels.
Crystals 10 00690 g001
Figure 2. Temperature-dependent resistivity curves of (a) Ba(Zn1−yMny)2Sb2 (y = 0, 0.05, 0.1, 0.15); (b) (Ba1−xKx)Zn2Sb2; (c) (Ba1−xKx)(Zn0.9Mn0.1)2Sb2 (x = 0.075, 0.1, 0.2); and (d) (Ba0.9K0.1)(Zn1−yMny)2Sb2 (y = 0, 0.05, 0.1, 0.15).
Figure 2. Temperature-dependent resistivity curves of (a) Ba(Zn1−yMny)2Sb2 (y = 0, 0.05, 0.1, 0.15); (b) (Ba1−xKx)Zn2Sb2; (c) (Ba1−xKx)(Zn0.9Mn0.1)2Sb2 (x = 0.075, 0.1, 0.2); and (d) (Ba0.9K0.1)(Zn1−yMny)2Sb2 (y = 0, 0.05, 0.1, 0.15).
Crystals 10 00690 g002
Figure 3. (a) DC M(T) measured under H = 500 Oe (black curves), 1000 Oe (red curves) and 2000 Oe (blue curves) of (Ba0.925K0.075)(Zn0.9Mn0.1)2Sb2; (b) the hysteresis loops at 2 K of (Ba0.925K0.075)(Zn0.9Mn0.1)2Sb2; (c) AC χ’(T) and χ’’(T)of (Ba0.925K0.075)(Zn0.9Mn0.1)2Sb2 at various frequencies; (d) frequency dependence of transition temperature of (Ba0.925K0.075)(Zn0.9Mn0.1)2Sb2.
Figure 3. (a) DC M(T) measured under H = 500 Oe (black curves), 1000 Oe (red curves) and 2000 Oe (blue curves) of (Ba0.925K0.075)(Zn0.9Mn0.1)2Sb2; (b) the hysteresis loops at 2 K of (Ba0.925K0.075)(Zn0.9Mn0.1)2Sb2; (c) AC χ’(T) and χ’’(T)of (Ba0.925K0.075)(Zn0.9Mn0.1)2Sb2 at various frequencies; (d) frequency dependence of transition temperature of (Ba0.925K0.075)(Zn0.9Mn0.1)2Sb2.
Crystals 10 00690 g003
Figure 4. (a) DC M(T) measured under H = 500 Oe of (Ba0.9K0.1)(Zn1−yMny)2Sb2 (y = 0.05, 0.075, 0.1, 0.15, 0.2); (b) the hysteresis loops at 2 K of (Ba0.9K0.1)(Zn1−yMny)2Sb2; (c) M(T) of (Ba1−xKx)(Zn0.9Mn0.1)2Sb2 (x = 0.05, 0.075, 0.1, 0.15, 0.2) under H = 500 Oe; and (d) the hysteresis loops at 2 K of (Ba1−xKx)(Zn0.9Mn0.1)2Sb2.
Figure 4. (a) DC M(T) measured under H = 500 Oe of (Ba0.9K0.1)(Zn1−yMny)2Sb2 (y = 0.05, 0.075, 0.1, 0.15, 0.2); (b) the hysteresis loops at 2 K of (Ba0.9K0.1)(Zn1−yMny)2Sb2; (c) M(T) of (Ba1−xKx)(Zn0.9Mn0.1)2Sb2 (x = 0.05, 0.075, 0.1, 0.15, 0.2) under H = 500 Oe; and (d) the hysteresis loops at 2 K of (Ba1−xKx)(Zn0.9Mn0.1)2Sb2.
Crystals 10 00690 g004
Figure 5. (a) ρ(T)curves of (Ba0.9K0.1)(Zn0.8Mn0.2)2Sb2 under various fields; (b) the magnetoresistance curves of (Ba0.9K0.1)(Zn0.8Mn0.2)2Sb2 measured in an external field up to 7 T at T = 2 K,10 K, 20 K, 50 K, respectively.
Figure 5. (a) ρ(T)curves of (Ba0.9K0.1)(Zn0.8Mn0.2)2Sb2 under various fields; (b) the magnetoresistance curves of (Ba0.9K0.1)(Zn0.8Mn0.2)2Sb2 measured in an external field up to 7 T at T = 2 K,10 K, 20 K, 50 K, respectively.
Crystals 10 00690 g005
Figure 6. Hall resistivity of (Ba0.9K0.1)(Zn0.9Mn0.1)2Sb2 at T = 2 and 300 K.
Figure 6. Hall resistivity of (Ba0.9K0.1)(Zn0.9Mn0.1)2Sb2 at T = 2 and 300 K.
Crystals 10 00690 g006
Table 1. Selected structural parameters of (Ba0.9K0.1)(Zn0.9Mn0.1)2Sb2 as determined from Rietveld refinements.
Table 1. Selected structural parameters of (Ba0.9K0.1)(Zn0.9Mn0.1)2Sb2 as determined from Rietveld refinements.
AtomxyzOccupancyUiso
Ba0.2449(2)0.250.3227(1)0.90.0202(6)
K0.2449(2)0.250.3227(1)0.10.0202(6)
Zn10.0519(3)0.250.6185(3)0.90.0121(10)
Mn10.0519(3)0.250.6185(3)0.10.0121(10)
Zn20.0941(4)0.250.0483(3)0.90.0198(12)
Mn20.0941(4)0.250.0483(3)0.10.0198(12)
Sb10.4774(1)0.250.6636(1)1.00.0162(6)
Sb20.3481(2)0.250.0364(1)1.00.0157(5)
Table 2. Calculated carrier concentrations (np) of three typical samples.
Table 2. Calculated carrier concentrations (np) of three typical samples.
np (cm−3)BaZn2Sb2(Ba0.9K0.1)Zn2Sb2(Ba0.9K0.1)(Zn0.9Mn0.1)2Sb2
T (K)
22.73 × 10194.04 × 10203.3 × 1020
3003.77 × 10194.11 × 10204.0 × 1020

Share and Cite

MDPI and ACS Style

Yu, S.; Zhao, G.; Peng, Y.; Wang, X.; Liu, Q.; Yu, R.; Zhang, S.; Zhao, J.; Li, W.; Deng, Z.; et al. (Ba,K)(Zn,Mn)2Sb2: A New Type of Diluted Magnetic Semiconductor. Crystals 2020, 10, 690. https://doi.org/10.3390/cryst10080690

AMA Style

Yu S, Zhao G, Peng Y, Wang X, Liu Q, Yu R, Zhang S, Zhao J, Li W, Deng Z, et al. (Ba,K)(Zn,Mn)2Sb2: A New Type of Diluted Magnetic Semiconductor. Crystals. 2020; 10(8):690. https://doi.org/10.3390/cryst10080690

Chicago/Turabian Style

Yu, Shuang, Guoqiang Zhao, Yi Peng, Xiancheng Wang, Qingqing Liu, Runze Yu, Sijia Zhang, Jianfa Zhao, Wenmin Li, Zheng Deng, and et al. 2020. "(Ba,K)(Zn,Mn)2Sb2: A New Type of Diluted Magnetic Semiconductor" Crystals 10, no. 8: 690. https://doi.org/10.3390/cryst10080690

APA Style

Yu, S., Zhao, G., Peng, Y., Wang, X., Liu, Q., Yu, R., Zhang, S., Zhao, J., Li, W., Deng, Z., Uemura, Y. J., & Jin, C. (2020). (Ba,K)(Zn,Mn)2Sb2: A New Type of Diluted Magnetic Semiconductor. Crystals, 10(8), 690. https://doi.org/10.3390/cryst10080690

Note that from the first issue of 2016, this journal uses article numbers instead of page numbers. See further details here.

Article Metrics

Back to TopTop