Niobium Oxide Catalysts as Emerging Material for Textile Wastewater Reuse: Photocatalytic Decolorization of Azo Dyes
Abstract
1. Introduction
2. Results and Discussions
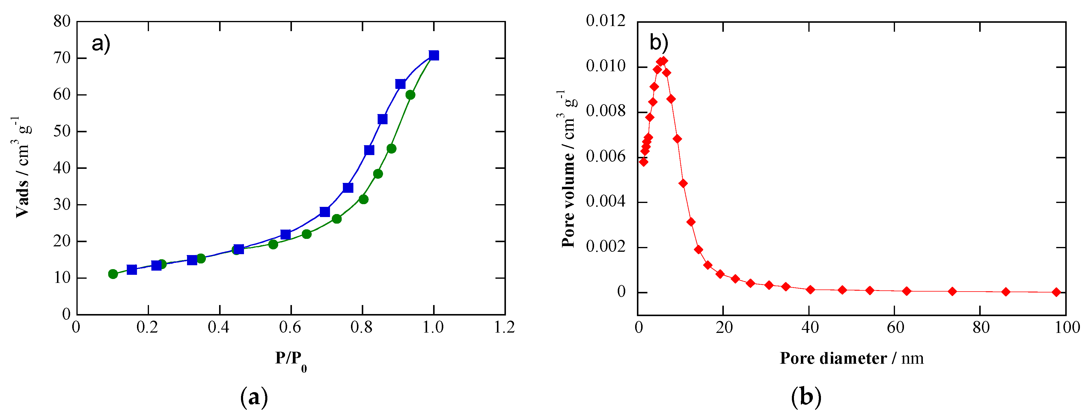
2.1. Characterization of Nb2O5 Photocatalyst
2.2. Photocatalytic Activity on Azo Dye Decolorization
2.3. Effect of pH on the Photocatalytic Decolorization of Azo Dye Methyl Orange
2.4. Evaluation of Optimal Dosage of Nb2O5 to Ensure Maximum Performance
2.5. Effect of Initial Dye Concentration on Nb2O5 Performance
2.6. Evaluating Reutilization Capabilities of Nb2O5 Catalyst Aiming for Sustainable Implementation and Comparison with Other Catalysts’ Performance
3. Materials and Methods
3.1. Chemicals
3.2. Synthesis of Microparticulated Nb2O5 Photocatalyst
3.3. Solar Photocatalytic Experiences
3.4. Apparatus and Analytical Procedures
4. Conclusions
Author Contributions
Funding
Conflicts of Interest
References
- Nakata, K.; Fujishima, A. TiO2 photocatalysis: Design and applications. J. Photochem. Photobiol. C Photochem. Rev. 2012, 13, 169–189. [Google Scholar] [CrossRef]
- Garcia-Segura, S.; Brillas, E. Applied photoelectrocatalysis on the degradation of organic pollutants in wastewaters. J. Photochem. Photobiol. C Photochem. Rev. 2017, 31, 1–35. [Google Scholar] [CrossRef]
- Kirner, J.T.; Finke, R.G. Water-oxidation photoanodes using organic light-harvesting materials: A review. J. Mater. Chem. A 2017, 5, 19560–19592. [Google Scholar] [CrossRef]
- Kawamura, G.; Matsuda, A. Synthesis of plasmonic photocatalysts for water splitting. Catalysts 2019, 9, 982. [Google Scholar] [CrossRef]
- Cerrón-Calle, G.A.; Aranda-Aguirre, A.J.; Luyo, C.; Garcia-Segura, S.; Alarcón, H. Photoelectrocatalytic decolorization of azo dyes with nano-composite oxide layers of ZnO nanorods decorated with Ag nanoparticles. Chemosphere 2019, 219, 296–304. [Google Scholar] [CrossRef]
- Loeb, S.K.; Alvarez, P.J.J.; Brame, J.A.; Cates, E.L.; Choi, W.; Crittenden, J.; Dionysiou, D.D.; Li, Q.; Li-puma, G.; Quan, X.; et al. The Technology Horizon for Photocatalytic Water Treatment: Sunrise or Sunset? Environ. Sci. Technol. 2019, 53, 2937–2947. [Google Scholar] [CrossRef]
- Simioni, T.; Schaeffer, R. Georeferenced operating-efficiency solar potential maps with local weather conditions—An application to Brazil. Sol. Energy 2019, 184, 345–355. [Google Scholar] [CrossRef]
- Prado, N.T.; Oliveira, L.C.A. Nanostructured niobium oxide synthetized by a new route using hydrothermal treatment: High efficiency in oxidation reactions. Appl. Catal. B Environ. 2017, 205, 481–488. [Google Scholar] [CrossRef]
- Hashemzadeh, F.; Gaffarinejad, A.; Rahimi, R. Porous p-NiO/n-Nb2O5 nanocomposites prepared by an EISA route with enhanced photocatalytic activity in simultaneous Cr(VI) reduction and methyl orange decolorization under visible light irradiation. J. Hazard. Mater. 2015, 286, 64–74. [Google Scholar] [CrossRef]
- Gibson, C.E.; Kelebek, S.; Aghamirian, M. Niobium oxide mineral flotation: A review of relevant literature and the current state of industrial operations. Int. J. Miner. Process. 2015, 137, 82–97. [Google Scholar] [CrossRef]
- Garcia, S.; Cordeiro, A.; de Nääs, I.A.; de Neto, P.L.O.C. The sustainability awareness of Brazilian consumers of cotton clothing. J. Clean. Prod. 2019, 215, 1490–1502. [Google Scholar] [CrossRef]
- Brillas, E.; Martínez-Huitle, C.A. Decontamination of wastewaters containing synthetic organic dyes by electrochemical methods. An updated review. Appl. Catal. B Environ. 2015, 166, 603–643. [Google Scholar] [CrossRef]
- Mansour, F.; Alnouri, S.Y.; Al-Hindi, M.; Azizi, F.; Linke, P. Screening and cost assessment strategies for end-of-Pipe Zero Liquid Discharge systems. J. Clean. Prod. 2018, 179, 460–477. [Google Scholar] [CrossRef]
- Soares, P.A.; Silva, T.F.C.V.; Ramos Arcy, A.; Souza, S.M.A.G.U.; Boaventura, R.A.R.; Vilar, V.J.P. Assessment of AOPs as a polishing step in the decolourisation of bio-treated textile wastewater: Technical and economic considerations. J. Photochem. Photobiol. A Chem. 2016, 317, 26–38. [Google Scholar] [CrossRef]
- Al-Mamun, M.R.; Kader, S.; Islam, M.S.; Khan, M.Z.H. Photocatalytic activity improvement and application of UV-TiO2 photocatalysis in textile wastewater treatment: A review. J. Environ. Chem. Eng. 2019, 7, 103248. [Google Scholar] [CrossRef]
- Spasiano, D.; Marotta, R.; Malato, S.; Fernandez-Ibañez, P.; Di Somma, I. Solar photocatalysis: Materials, reactors, some commercial, and pre-industrialized applications. A comprehensive approach. Appl. Catal. B Environ. 2015, 170, 90–123. [Google Scholar] [CrossRef]
- Marcelino, R.B.P.; Amorim, C.C. Towards visible-light photocatalysis for environmental applications: Band-gap engineering versus photons absorption—A review. Environ. Sci. Pollut. Res. 2019, 26, 4155–4170. [Google Scholar] [CrossRef]
- Vaiano, V.; Iervolino, G. Photocatalytic removal of methyl orange azo dye with simultaneous hydrogen production using Ru-modified Zno photocatalyst. Catalysts 2019, 9, 964. [Google Scholar] [CrossRef]
- AlSalka, Y.; Granone, L.I.; Ramadan, W.; Hakki, A.; Dillert, R.; Bahnemann, D.W. Iron-based photocatalytic and photoelectrocatalytic nano-structures: Facts, perspectives, and expectations. Appl. Catal. B Environ. 2019, 244, 1065–1095. [Google Scholar] [CrossRef]
- Montenegro-Ayo, R.; Morales-Gomero, J.C.; Alarcon, H.; Cotillas, S.; Westerho, P.; Garcia-segura, S. Scaling up photoelectrocatalytic Reactors: A TiO2 nanotube-coated disc compound reactor effectively degrades acetaminophen. Water 2019, 11, 2522. [Google Scholar] [CrossRef]
- Deng, F.; Zhang, Q.; Yang, L.; Luo, X.; Wang, A.; Luo, S.; Dionysiou, D.D. Visible-light-responsive graphene-functionalized Bi-bridge Z-scheme black BiOCl/Bi2O3 heterojunction with oxygen vacancy and multiple charge transfer channels for efficient photocatalytic degradation of 2-nitrophenol and industrial wastewater treatment. Appl. Catal. B Environ. 2018, 238, 61–69. [Google Scholar] [CrossRef]
- Tugaoen, H.O.N.; Garcia-Segura, S.; Hristovski, K.; Westerhoff, P. Compact light-emitting diode optical fiber immobilized TiO2 reactor for photocatalytic water treatment. Sci. Total Environ. 2018, 613, 1331–1338. [Google Scholar] [CrossRef] [PubMed]
- Fagan, R.; Mccormack, D.E.; Dionysiou, D.D.; Pillai, S.C. A review of solar and visible light active TiO2 photocatalysis for treating bacteria, cyanotoxins and contaminants of emerging concern. Mater. Sci. Semicond. Process. 2016, 42, 2–14. [Google Scholar] [CrossRef]
- Batista, L.M.B.; dos Santos, A.J.; da Silva, D.R.; Alves, A.P.D.M.; Garcia-Segura, S.; Martínez-Huitle, C.A. Solar photocatalytic application of NbO2OH as alternative photocatalyst for water treatment. Sci. Total Environ. 2017, 596, 79–86. [Google Scholar] [CrossRef] [PubMed]
- Dominguez, S.; Huebra, M.; Han, C.; Campo, P.; Nadagouda, M.N.; Rivero, M.J.; Ortiz, I.; Dionysiou, D. Magnetically recoverable TiO2-WO3 photocatalyst to oxidize bisphenol A from model wastewater under simulated solar light. Environ. Sci. Pollut. Res. 2017, 24, 12589–12598. [Google Scholar] [CrossRef] [PubMed]
- Zuorro, A.; Lavecchia, R.; Monaco, M.M.; Iervolino, G.; Vaiano, V. Photocatalytic degradation of azo dye Reactive Violet 5 on Fe-doped Titania catalysts under visible light irradiation. Catalysts 2019, 9, 645. [Google Scholar] [CrossRef]
- Idrees, F.; Dillert, R.; Bahnemann, D.; Butt, F.K.; Tahir, M. In-situ synthesis of Nb2O5/g-C3N4 heterostructures as highly efficient photocatalysts for molecular h2 evolution under solar illumination. Catalysts 2019, 9, 169. [Google Scholar] [CrossRef]
- Prado, A.G.S.; Bolzon, L.B.; Pedroso, C.P.; Moura, A.O.; Costa, L.L. Nb2O5 as efficient and recyclable photocatalyst for indigo carmine degradation. Appl. Catal. B Environ. 2008, 82, 219–224. [Google Scholar] [CrossRef]
- Leite, E.R.; Vila, C.; Bettini, J.; Longo, E. Synthesis of niobia nanocrystals with controlled morphology. J. Phys. Chem. B 2006, 110, 18088–18090. [Google Scholar] [CrossRef]
- Heitmann, A.P.; Patrício, P.S.O.; Coura, I.R.; Pedroso, E.F.; Souza, P.P.; Mansur, H.S.; Mansur, A.; Oliveira, L.C.A. Nanostructured niobium oxyhydroxide dispersed Poly (3-hydroxybutyrate) (PHB) films: Highly efficient photocatalysts for degradation methylene blue dye. Appl. Catal. B Environ. 2016, 189, 141–150. [Google Scholar] [CrossRef]
- Aegerter, M.A. Sol-gel niobium pentoxide: A promising material for electrochromic coatings, batteries, nanocrystalline solar cells and catalysis. Sol. Energy Mater. Sol. Cells 2001, 68, 401–422. [Google Scholar] [CrossRef]
- Wang, F.; Wu, H.Z.; Liu, C.L.; Yang, R.Z.; Dong, W.S. Catalytic dehydration of fructose to 5-hydroxymethylfurfural over Nb2O5 catalyst in organic solvent. Carbohydr. Res. 2013, 368, 78–83. [Google Scholar] [CrossRef] [PubMed]
- Villaluz, F.J.A.; de Luna, M.D.G.; Colades, J.I.; Garcia-Segura, S.; Lu, M. Removal of 4-chlorophenol by visible-light photocatalysis using ammonium iron (II) sulfate-doped nano-titania. Process Saf. Environ. Prot. 2019, 125, 121–128. [Google Scholar]
- Sathasivam, S.; Williamson, B.A.D.; Althabaiti, S.A.; Obaid, A.Y.; Basahel, S.N.; Mokhtar, M.; Scanlon, D.O.; Carmalt, C.; Parkin, I.P. Chemical vapor deposition synthesis and optical properties of Nb2O5 thin films with hybrid functional theoretical insight into the band structure and band gaps. ACS Appl. Mater. Interfaces 2017, 9, 18031–18038. [Google Scholar] [CrossRef]
- Corrêa, M.D.P. Solar ultraviolet radiation: Properties, characteristics and amounts observed in Brazil and south America. An. Bras. Dermatol. 2015, 90, 297–313. [Google Scholar] [CrossRef]
- Lin, J.C.; Sopajaree, K.; Jitjanesuwan, T.; Lu, M. Application of visible light on copper-doped titanium dioxide catalyzing degradation of chlorophenols. Sep. Purif. Technol. 2018, 191, 233–243. [Google Scholar] [CrossRef]
- Anotai, J.; Jevprasesphant, A.; Lin, Y.M.; Lu, M.C. Oxidation of aniline by titanium dioxide activated with visible light. Sep. Purif. Technol. 2012, 84, 132–137. [Google Scholar] [CrossRef]
- Brillas, E.; Garcia-Segura, S. Benchmarking recent advances and innovative technology approaches of Fenton, photo-Fenton, electro-Fenton, and related processes: A review on the relevance of phenol as model molecule. Sep. Purif. Technol. 2019, 116337. [Google Scholar] [CrossRef]
- Fujishima, A.; Zhang, X.; Tryk, D.A. TiO2 photocatalysis and related surface phenomena. Surf. Sci. Rep. 2008, 63, 515–582. [Google Scholar] [CrossRef]
- Hashemzadeh, F.; Rahimi, R.; Gaffarinejad, A. Influence of operational key parameters on the photocatalytic decolorization of Rhodamine B dye using Fe2+/H2O2/Nb2O5/UV system. Environ. Sci. Pollut. Res. 2014, 21, 5121–5131. [Google Scholar] [CrossRef]
- Venkatachalapathy, R.; Davila, G.P.; Prakash, J. Catalytic decomposition of hydrogen peroxide in alkaline solutions. Electrochem. Commun. 1999, 1, 614–617. [Google Scholar] [CrossRef]
- Garcia-Segura, S.; Tugaoen, H.O.N.; Hristovski, K.; Westerhoff, P. Photon flux influence on photoelectrochemical water treatment. Electrochem. Commun. 2018, 87, 63–65. [Google Scholar] [CrossRef]
- da Costa Filho, B.M.; Araujo, A.L.P.; Padrao, S.P.; Boaventura, R.A.R.; Dias, M.M.; Lopes, J.C.B.; Vilar, V.J.P. Effect of catalyst coated surface, illumination mechanism and light source in heterogeneous TiO2 photocatalysis using a Mili-Photoreactor for n-Decane oxidation at gas phase. Chem. Eng. J. 2019, 366, 560–568. [Google Scholar] [CrossRef]
- Heck, K.N.; Garcia-Segura, S.; Westerhoff, P.; Wong, M.S. Catalytic Converters for Water Treatment. Acc. Chem. Res. 2019, 52, 906–915. [Google Scholar] [CrossRef] [PubMed]
- Nguyen, C.H.; Fu, C.C.; Juang, R.S. Degradation of methylene blue and methyl orange by palladium doped TiO2 photocatalyst for water reuse: Efficiency and degradation pathways. J. Clean Prod. 2018, 202, 413–427. [Google Scholar] [CrossRef]
- Wu, M.C.; Wu, P.Y.; Lin, T.H.; Lin, T.F. Photocatalytic performance of Cu-doped TiO2 nanofibers treated by the hydrothermal synthesis and air-thermal treatment. Appl. Surf. Sci. 2018, 430, 390–398. [Google Scholar] [CrossRef]
- Perillo, P.M.; Atia, M.N. Solar-assisted photodegradation of methyl orange using Cu-doped ZnO nanorods. Mater. Today Commun. 2018, 17, 252–258. [Google Scholar] [CrossRef]
- Zheng, X.; Zhang, D.; Gao, Y.; Wu, Y.; Liu, Q.; Zhu, X. Synthesis and characterization of cubic Ag/TiO2 nanocomposites for the photocatalytic degradation of methyl orange in aqueous solutions. Inorg. Chem. Commun. 2019, 110, 107589. [Google Scholar] [CrossRef]
- Yin, H.; Zhou, A.; Chang, N.; Xu, X. Characterization and photocatalytic activity of Bi3RiNbO9 nanocrystallines synthesized by sol-gel process. Mater. Res. Bull. 2009, 44, 377–380. [Google Scholar] [CrossRef]
- Tallapally, V.; Esteves, R.J.A.; Nahar, L.; Arachchige, U. Multivariate synthesis of tin phosphide nanoparticles: Temperature, time, and ligand control of size, shape, and crystal structure. Chem. Mater. 2016, 28, 5406–5414. [Google Scholar] [CrossRef]
- Tallapally, V.; Damma, D.; Darmakkolla, S.R. Facile synthesis of size-tunable tin arsenide nanocrystals. ChemmComm 2019, 55, 1506–1563. [Google Scholar] [CrossRef] [PubMed]
- Tallapally, V.; Nakagawara, T.A.; Demchenko, D.O.; Ozgur, U.; Arachchige, I.U. Ge1−xSnx alloy quantum dots with composition-tunable energy gaps and near-infrared photoluminescence. Nanoscale 2018, 10, 20296–20305. [Google Scholar] [CrossRef] [PubMed]
- Dos Santos, A.J.; De Lima, M.D.; Da Silva, D.R.; Garcia-Segura, S.; Martínez-Huitle, C.A. Influence of the water hardness on the performance of electro-Fenton approach: Decolorization and mineralization of Eriochrome Black T. Electrochim. Acta 2016, 208, 156–163. [Google Scholar] [CrossRef]










| Property | Characteristics |
|---|---|
| IUPAC name | Sodium 4-{[4-(dimethylamino) phenyl] diazenyl} benzene-1-sulfonate |
| Common name | Methyl Orange |
| CAS number | 547-58-0 |
| Color Index number | 13,025 |
| M/g mol−1 | 327.3 |
| λmax/nm | 464 |
| pKa | 3.45 |
| Chemical formula | C14H14N3SO3Na |
| Chemical structure | ![]() |
| Photocatalysts | [Methyl Orange]/mg L−1 | Decolorization Time/Min | References |
|---|---|---|---|
| Pd-doped TiO2 | 20 | 150 | [45] |
| Cu-doped TiO2 | 10 | 140 | [46] |
| Cu-doped ZnO | 13 | 120 | [47] |
| Ag/TiO2 | 20 | 120 | [48] |
| Bi3TiNbO9 | 10 | 75 | [49] |
| Nb2O5 | 10 | 65 | This work |
© 2019 by the authors. Licensee MDPI, Basel, Switzerland. This article is an open access article distributed under the terms and conditions of the Creative Commons Attribution (CC BY) license (http://creativecommons.org/licenses/by/4.0/).
Share and Cite
dos Santos, A.J.; Batista, L.M.B.; Martínez-Huitle, C.A.; Alves, A.P.d.M.; Garcia-Segura, S. Niobium Oxide Catalysts as Emerging Material for Textile Wastewater Reuse: Photocatalytic Decolorization of Azo Dyes. Catalysts 2019, 9, 1070. https://doi.org/10.3390/catal9121070
dos Santos AJ, Batista LMB, Martínez-Huitle CA, Alves APdM, Garcia-Segura S. Niobium Oxide Catalysts as Emerging Material for Textile Wastewater Reuse: Photocatalytic Decolorization of Azo Dyes. Catalysts. 2019; 9(12):1070. https://doi.org/10.3390/catal9121070
Chicago/Turabian Styledos Santos, Alexsandro Jhones, Luana Márcia Bezerra Batista, Carlos Alberto Martínez-Huitle, Ana Paula de Melo Alves, and Sergi Garcia-Segura. 2019. "Niobium Oxide Catalysts as Emerging Material for Textile Wastewater Reuse: Photocatalytic Decolorization of Azo Dyes" Catalysts 9, no. 12: 1070. https://doi.org/10.3390/catal9121070
APA Styledos Santos, A. J., Batista, L. M. B., Martínez-Huitle, C. A., Alves, A. P. d. M., & Garcia-Segura, S. (2019). Niobium Oxide Catalysts as Emerging Material for Textile Wastewater Reuse: Photocatalytic Decolorization of Azo Dyes. Catalysts, 9(12), 1070. https://doi.org/10.3390/catal9121070


