Catalytic Hydrodeoxygenation of Fast Pyrolysis Bio-Oil from Saccharina japonica Alga for Bio-Oil Upgrading
Abstract
1. Introduction
2. Results and Discussion
2.1. Catalysts and Sample Characterization
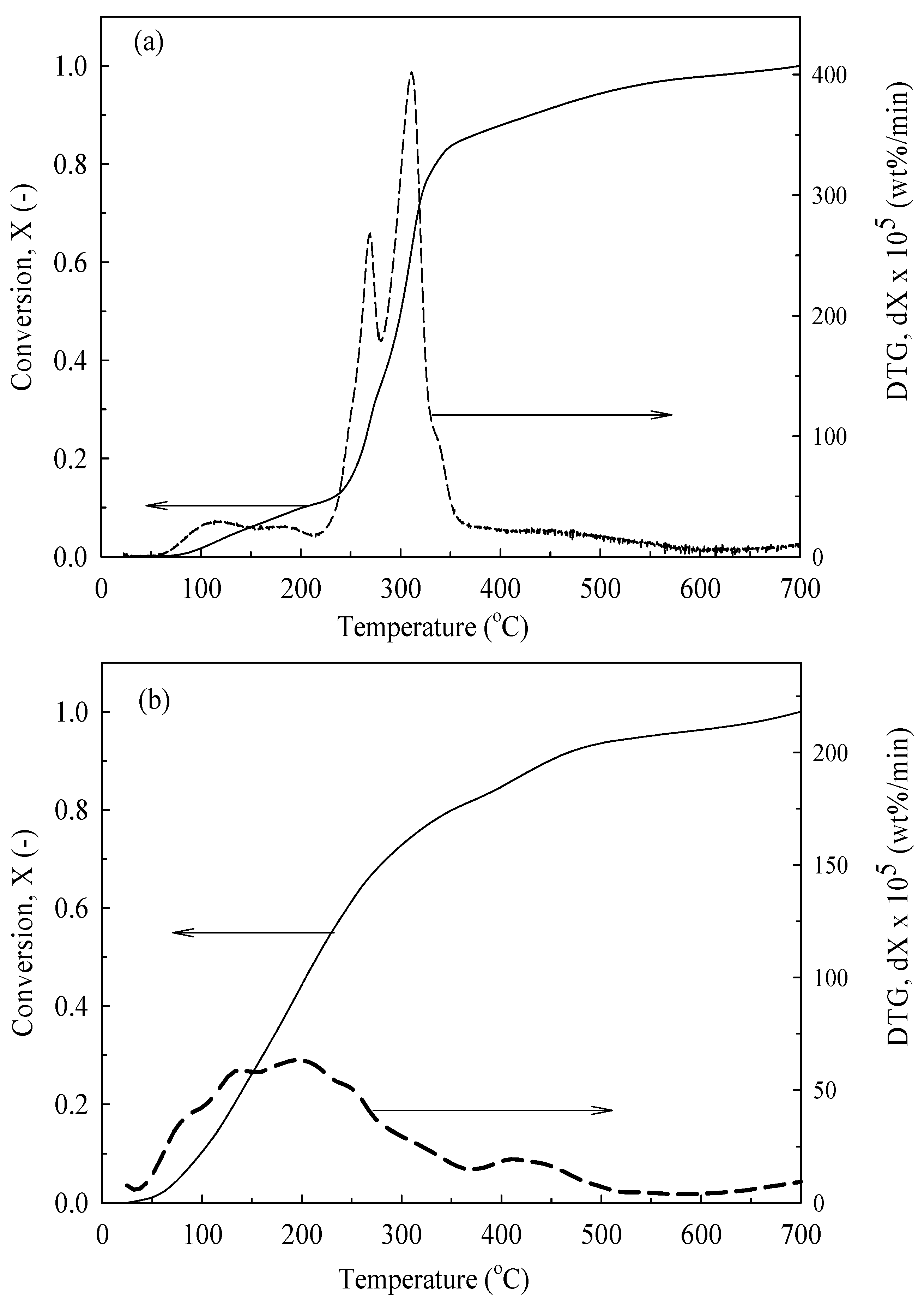
2.2. Thermogravimetric Analysis of Biomass Samples
2.3. Effect of Reaction Conditions on Product Distribution
2.4. Compositions of Gas Product
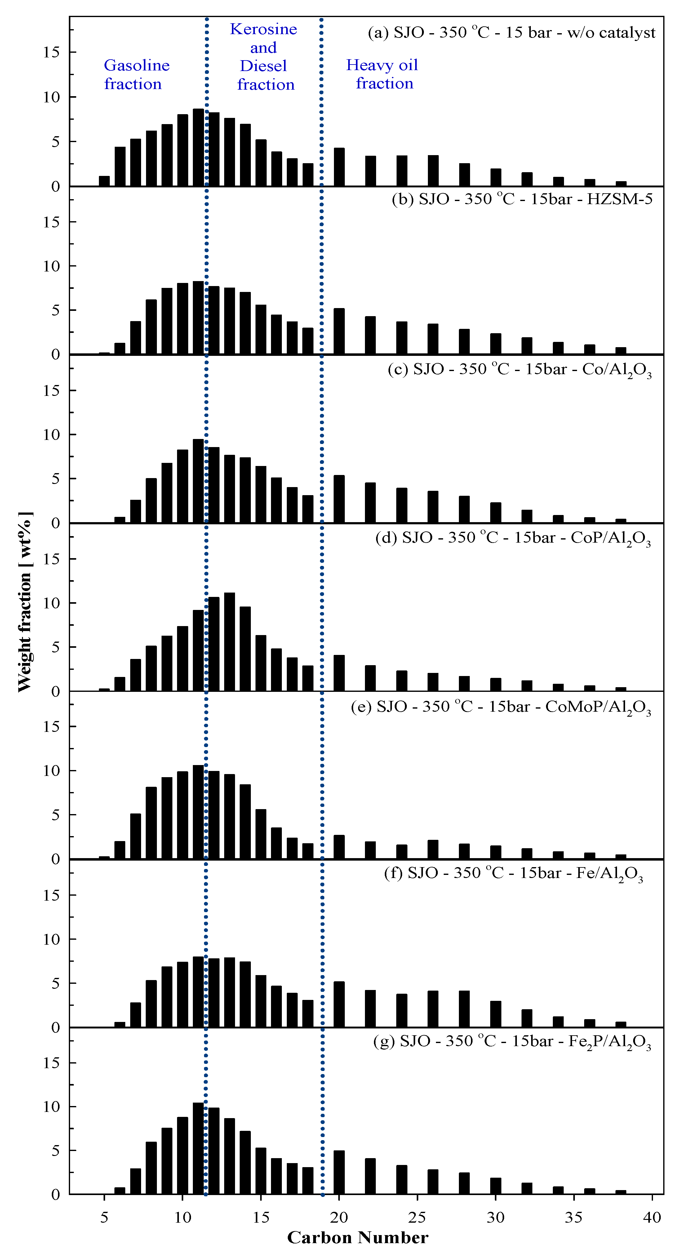
2.5. Bio-Oil Analysis
3. Material and Methods
3.1. Sample and Catalysts Preparation
3.2. Experimental Setup and Analytical Method
4. Conclusions
Author Contributions
Funding
Acknowledgments
Conflicts of Interest
References
- Zhang, S.; Dong, Q.; Zhang, L.; Xiong, Y. Effects of water washing and torrefaction on the pyrolysis behavior and kinetics of rice husk through TGA and Py-GC/MS. Bioresour. Technol. 2016, 199, 352–361. [Google Scholar] [CrossRef] [PubMed]
- Kim, S.-S.; Shenoy, A.; Agblevor, F. Themogravimetric and kinetic study of Pinyon pine in the various gases. Bioresour. Technol. 2014, 156, 297–302. [Google Scholar] [CrossRef] [PubMed]
- Ly, H.V.; Limm, D.-H.; Simm, J.W.; Kim, S.-S.; Kim, J. Catalytic pyrolysis of tulip tree (Liriodendron) in bubbling fluidized-bed reactor for upgrading bio-oil using dolomite catalyst. Energy 2018, 162, 564–575. [Google Scholar] [CrossRef]
- Honus, S.; Kumagai, S.; Molnar, V.; Fedorko, G.; Yoshioka, T. Pyrolysis gases produced from individual and mixed PE, PP, PS, PVC, and PET—Part II: Fuel characteristics. Fuel 2018, 221, 361–373. [Google Scholar] [CrossRef]
- Ly, H.V.; Kim, S.-S.; Woo, H.C.; Choi, J.H.; Suh, D.J.; Kim, J. Fast pyrolysis of macroalga Saccharina japonica in a bubbling fluidized-bed reactor for bio-oil production. Energy 2015, 93, 1436–1446. [Google Scholar] [CrossRef]
- Ly, H.V.; Kim, S.-S.; Kim, J.; Choi, J.H.; Woo, H.C. Effect of acid washing on pyrolysis of Cladophora socialis alga in microtubing reactor. Energy Convers. Manag. 2015, 106, 260–267. [Google Scholar] [CrossRef]
- Supaporn, P.; Ly, H.V.; Kim, S.-S.; Yeom, S.H. Bio-oil production using residual sewage sludge after lipid and carbohydrate extraction. Environ. Eng. Res. 2019, 24, 202–210. [Google Scholar] [CrossRef]
- Guedes, R.E.; Luna, A.S.; Torres, A.R. Operating parameters for bio-oil production in biomass pyrolysis: A review. J. Anal. Appl. Pyrol. 2018, 129, 134–149. [Google Scholar] [CrossRef]
- Kim, S.-S.; Ly, H.V.; Choi, J.H.; Kim, J.; Woo, H.C. Pyrolysis characteristics and kinetics of the alga Saccharina japonica. Bioresour. Technol. 2012, 123, 445–451. [Google Scholar] [CrossRef]
- Kim, S.-S.; Ly, H.V.; Kim, J.; Choi, J.H.; Woo, H.C. Thermogravimetric characteristics and pyrolysis kinetics of Alga Sagarssum sp. biomass. Bioresour. Technol. 2013, 139, 242–248. [Google Scholar] [CrossRef]
- Cao, B.; Wang, S.; Hu, Y.; Abomohra, A.E.-F.; Qian, L.; He, Z.; Wang, Q.; Uzoejinwa, B.B.; Esakkimuthu, S. Effect of washing with diluted acids on Enteromorpha clathrata pyrolysis products: Towards enhanced bio-oil from seaweeds. Renew. Energy 2019, 138, 29–38. [Google Scholar] [CrossRef]
- Ly, H.V.; Choi, J.H.; Woo, H.C.; Kim, S.-S.; Kim, J. Upgrading bio-oil by catalytic fast pyrolysis of acid-washed Saccharina japonica alga in a fluidized-bed reactor. Renew. Energy 2019, 133, 11–22. [Google Scholar] [CrossRef]
- Lorenzetti, C.; Conti, R.; Fabbri, D.; Yanik, J. A comparative study on the catalytic effect of H-ZSM5 on upgrading of pyrolysis vapors derived from lignocellulosic and proteinaceous biomass. Fuel 2016, 166, 446–452. [Google Scholar] [CrossRef]
- Ly, H.V.; Im, K.; Go, Y.; Galiwango, E.; Kim, S.-S.; Kim, J.; Choi, J.H.; Woo, H.C. Spray pyrolysis synthesis of γ-Al2O3 supported metal and metal phosphide catalysts and their activity in the hydrodeoxygenation of a bio-oil model compound. Energy Convers. Manag. 2016, 127, 545–553. [Google Scholar] [CrossRef]
- Le, T.A.; Ly, H.V.; Kim, J.; Kim, S.-S.; Choi, J.H.; Woo, H.C.; Othman, M.R. Hydrodeoxygenation of 2-furyl methyl ketone as a model conpound in bio-oil from pyrolysis of Saccharaina japonica alga in fixe-bed reactor. Chem. Eng. J. 2014, 105, 157–163. [Google Scholar] [CrossRef]
- Ly, H.V.; Galiwango, E.; Kim, S.-S.; Kim, J.; Choi, J.H.; Woo, H.C.; Othman, M.R. Hydrodeoxygenation of 2-furyl methyl ketone as a model compound of algal Saccharina Japonica bio-oil using iron phosphide catalyst. Chem. Eng. J. 2017, 317, 302–308. [Google Scholar] [CrossRef]
- Cheng, S.; Wei, L.; Zhao, X.; Julson, J. Application, deactivation, and regeneration of heterogeneous catalysts in bio-oil upgrading. Catalysts 2016, 6, 195. [Google Scholar] [CrossRef]
- Cheng, S.; Wei, L.; Julson, J.; Rabnawaz, M. Upgrading pyrolysis bio-oil through hydrodeoxygenation (HDO) using non-sulfided Fe-Co/SiO2 catalyst. Energy Convers. Manag. 2017, 150, 331–342. [Google Scholar] [CrossRef]
- Sun, J.; Liu, N.; Zhai, S.; Xiao, Z.; An, Q.; Huan, D. Gold-titania/protonated zeolite nanocomposite photocatalysts for methyl orange degradation under ultraviolet and visible irradiation. Mater. Sci. Semicond. Process. 2014, 25, 286–293. [Google Scholar] [CrossRef]
- Kim, S.-S.; Chun, B.H.; Kim, S.H. Non-isothermal pyrolysis of waste automobile lubricating oil in a stirred batch reactor. Chem. Eng. J. 2003, 93, 225–231. [Google Scholar] [CrossRef]
- Zepeda, T.A.; Infantes-Molina, A.; Diaz de Leon, J.N.; Fuentes, S.; Alonso-Nunez, G.; Torres-Otanez, G.; Pawelec, B. Hydrodesulfurization enhancement of heavy and light S-hydrocarbons on NiMo/HMS catalysts modified with Al and P. Appl. Catal. A Gen. 2014, 484, 108–121. [Google Scholar] [CrossRef]
- Prieur, B.; Meub, M.; Wittemann, M.; Klein, R.; Bellayer, S.; Fontaine, G. Phosphorylation of lignin: Characterization and investigation of the thermal decomposition. RSC Adv. 2017, 7, 16866–16877. [Google Scholar] [CrossRef]
- Ngo, T.-A.; Kim, J.; Kim, S.-S. Fast pyrolysis of spent coffee waste and oak wood chips in a micro-tubular reactor. Energy Source Part A 2015, 37, 1186–1194. [Google Scholar] [CrossRef]
- Yathavan, B.K.; Agblevor, F.A. Catalytic pyrolysis of Pinyon−Juniper using red mud and HZSM-5. Energy Fuels 2013, 27, 6858–6865. [Google Scholar] [CrossRef]
- Suchithra, T.-G.; Adhikari, S.; Chattanathan, S.A.; Gupta, R.B. Catalytic pyrolysis of green algae for hydrocarbon production using H+ZSM-5 catalyst. Bioresour. Technol. 2012, 118, 150–157. [Google Scholar] [CrossRef]
- Lee, H.; Kim, Y.M.; Lee, I.G.; Jeon, J.K.; Jung, S.C.; Chung, J.D.; Choi, W.G.; Park, Y.K. Recent advances in the catalytic hydrodeoxygenation of bio-oil. Korean J. Chem. Eng. 2016, 33, 3299–3315. [Google Scholar] [CrossRef]
- Lee, Y.J.; Shafaghat, H.; Kim, J.K.; Jeon, J.K.; Jung, S.C.; Lee, I.G.; Park, Y.K. Upgrading of pyrolysis bio-oil using WO3/ZrO2 and Amberlyst catalysts: Evaluation of acid number and viscosity. Korean J. Chem. Eng. 2017, 34, 2180–2187. [Google Scholar] [CrossRef]
- Kim, H.N.; Shafaghat, H.; Kim, J.K.; Kang, B.S.; Jeon, J.K.; Jung, S.C.; Lee, I.G.; Park, Y.K. Stabilization of bio-oil over a low cost dolomite catalyst. Korean J. Chem. Eng. 2018, 35, 922–925. [Google Scholar] [CrossRef]




| Catalyst | Calcination Temperature (°C) | Surface Area (m2/g) | Pore Volume (cm3/g) | Average Pore Size (nm) |
|---|---|---|---|---|
| HZSM-5 | 550 | 132.49 | 0.04 | 6.7 |
| 10 wt.% Co/γ-Al2O3 | 600 | 184.82 | 0.40 | 7.79 |
| 10 wt.% Fe/γ-Al2O3 | 600 | 203.71 | 0.43 | 8.09 |
| 10 wt.% CoP/γ-Al2O3 | 600 | 209.87 | 0.43 | 7.05 |
| 10 wt.% Fe2P/γ-Al2O3 | 600 | 204.72 | 0.41 | 7.67 |
| 10 wt.% CoMoP/γ-Al2O3 | 600 | 211.08 | 0.42 | 7.56 |
| Proximate Analysis (wt.%) | Moisture a | Ash b | Volatile Matter c | Fixed Carbon c | Elemental Analysis d (wt.%) | HHV (MJ/kg) | |||
|---|---|---|---|---|---|---|---|---|---|
| C | H | N | O e | ||||||
| S.J [9] | 6.90 | 20.21 | 68.79 | 4.10 | 32.89 | 6.17 | 0.93 | 60.01 | 12.11 |
| Raw SJO | 2.14 | - | - | - | 61.96 | 8.02 | 2.21 | 27.81 | 27.45 |
| Reaction Conditions | 350 °C, 3 Bar | 350 °C, 6 Bar | 350 °C, 15 Bar | 350 °C, 15 Bar, HZSM-5 | 350 °C, 15 Bar, Co/γ-Al2O3 | 350 °C, 15 Bar, Fe/γ-Al2O3 | 350 °C, 15 Bar, CoP/γ-Al2O3 | 350 °C, 15 Bar, Fe2P/γ-Al2O3 | 350 °C, 15 Bar, CoMoP/γ-Al2O3 | |
|---|---|---|---|---|---|---|---|---|---|---|
| Product Yield (wt.%) | Liquid | 77.24 ± 0.21 | 78.09 ± 0.18 | 80.17 ± 0.08 | 78.60 ± 0.11 | 74.28 ± 0.20 | 73.63 ± 0.16 | 75.14 ± 0.11 | 72.76 ± 0.07 | 68.58 ± 0.16 |
| Moisture | 19.87 ± 0.08 | 17.61 ± 0.10 | 11.52 ± 0.05 | 19.57 ± 0.19 | 22.39 ± 0.22 | 17.89 ± 0.13 | 17.33 ± 0.09 | 21.22 ± 0.10 | 31.97 ± 0.25 | |
| Organic | 80.13 ± 0.08 | 82.39 ± 0.10 | 88.48 ± 0.05 | 80.43 ± 0.19 | 77.61 ± 0.22 | 82.11 ± 0.13 | 82.67 ± 0.09 | 78.78 ± 0.10 | 68.03 ± 0.25 | |
| Solid | 13.93 ± 0.28 | 13.87 ± 0.14 | 13.29 ± 0.15 | 14.97 ± 0.28 | 10.51 ± 0.37 | 11.98 ± 0.27 | 16.06 ± 0.18 | 19.42 ± 0.26 | 25.23 ± 0.40 | |
| Gas | 8.83 ± 0.07 | 8.04 ± 0.31 | 6.54 ± 0.22 | 6.43 ± 0.17 | 15.21 ± 0.18 | 14.39 ± 0.42 | 8.8 ± 0.30 | 7.82 ± 0.20 | 6.19 ± 0.23 | |
| Elemental Analysis (wt.%) | C | 72.44 | 71.46 | 72.60 | 73.16 | 73.39 | 73.42 | 70.16 | 63.83 | 72.48 |
| H | 8.46 | 8.39 | 8.59 | 8.38 | 8.54 | 8.42 | 8.43 | 8.22 | 8.58 | |
| N | 3.21 | 3.27 | 3.37 | 3.19 | 3.44 | 3.62 | 3.07 | 2.97 | 3.03 | |
| O | 15.89 | 16.88 | 15.44 | 15.26 | 14.63 | 14.54 | 18.34 | 24.98 | 15.91 | |
| HHV (MJ/kg) | 33.74 | 33.09 | 33.99 | 33.99 | 34.41 | 34.28 | 32.51 | 28.87 | 33.94 | |
| Gas Selectivity (mol%) | CH4 | 7.61 | 8.25 | 10.32 | 9.05 | 10.24 | 12.05 | 9.27 | 5.22 | 5.17 |
| C2H4 | 0.76 | 0.82 | 1.05 | 1.02 | 0.62 | 0.64 | 0.82 | 0.77 | 0.97 | |
| C2H6 | 1.69 | 1.75 | 2.10 | 2.08 | 1.79 | 1.77 | 1.43 | 1.35 | 1.10 | |
| C3H6 | 1.46 | 1.54 | 1.92 | 1.95 | 2.05 | 1.85 | 1.02 | 1.38 | 0.97 | |
| C3H8 | 0.54 | 0.56 | 0.62 | 0.83 | 0.87 | 0.60 | 0.37 | 0.47 | 0.29 | |
| CO | 0.18 | 0.49 | 1.67 | 0.83 | 0.72 | 0.90 | 1.36 | 0.17 | 1.83 | |
| CO2 | 87.76 | 86.59 | 82.32 | 84.24 | 83.71 | 82.19 | 85.73 | 90.64 | 89.67 | |
| Reaction Conditions | 350 °C, 3 Bar | 350 °C, 6 Bar | 350 °C, 15 Bar | 350 °C, 15 Bar, HZSM-5 | 350 °C, 15 Bar, Co/γ-Al2O3 | 350 °C, 15 Bar, Fe/γ-Al2O3 | 350 °C, 15 Bar, CoP/γ-Al2O3 | 350 °C, 15 Bar, Fe2P/γ-Al2O3 | 350 °C, 15 Bar, CoMoP/γ-Al2O3 | |
|---|---|---|---|---|---|---|---|---|---|---|
| Gas Product (g) | C | 0.31 | 0.27 | 0.23 | 0.22 | 0.64 | 0.88 | 0.3 | 0.4 | 0.21 |
| O | 0.54 | 0.51 | 0.45 | 0.41 | 0.63 | 0.91 | 0.51 | 0.43 | 0.33 | |
| Char Product (g) | C | 1.344 | 1.261 | 1.115 | 1.261 | 1.053 | 1.011 | 1.471 | 1.86 | 2.013 |
| O | 0.06 | 0.09 | 0.49 | 0.16 | 0.11 | 0.09 | 0.1 | 0.08 | 0.06 | |
| Moisture Phase (g) | C | 0.05 | 0.05 | 0.05 | 0.04 | 0.06 | 0.09 | 0.05 | 0.04 | 0.03 |
| O | 1.36 | 1.22 | 0.82 | 1.37 | 1.48 | 1.17 | 1.16 | 1.37 | 1.95 | |
| Organic Phase (g) | C | 4.43 | 4.55 | 4.74 | 4.60 | 4.39 | 4.19 | 4.31 | 3.82 | 3.86 |
| O | 0.95 | 1.09 | 1.15 | 0.97 | 0.69 | 0.74 | 1.14 | 1.03 | 0.57 | |
| C/O Ratio | 4.68 | 4.18 | 4.12 | 4.75 | 6.34 | 5.67 | 3.77 | 3.71 | 6.75 | |
| Composition of Bio-Oil | Bio-Oil at 450 °C 4.0 × Umf | w/o Catalyst | Catalysts | Structure | |||||
|---|---|---|---|---|---|---|---|---|---|
| HZSM-5 | Co/γ-Al2O3 | CoP/γ-Al2O3 | CoMoP/γ-Al2O3 | Fe/γ-Al2O3 | Fe2P/γ-Al2O3 | ||||
| 2-methyl-2-cyclopenten-1-one | 1.84 | 0.41 | 0.49 | 0.61 | 2.14 | 2.41 | 2.44 | ![]() | |
| 3-methyl-Butanal | 3.53 | 3.66 | ![]() | ||||||
| 2-Furyl methyl ketone | 12.7 | 6.53 | 5.62 | 2.45 | 5.22 | 7.7 | 4.36 | 6.11 | ![]() |
| 3,4-dimethyl-2-cyclopentenone | 1.64 | 1.32 | ![]() | ||||||
| 2-hydroxy-3,4-dimethyl-2-Cyclopenten-1-one | 2.33 | 2.75 | ![]() | ||||||
| 2-Hydroxy-3-ethyl-2-Cyclopenten-1-one | 1.25 | 1.82 | ![]() | ||||||
| 2,3,6-Trimethylpyrazine | 3.47 | ![]() | |||||||
| 2,3-dimethyl-2-cyclopenten-1-one | 3.29 | 1.93 | 2.93 | 1.05 | 2.04 | 1.59 | 2.18 | 2.02 | ![]() |
| 2,3,4-trimethyl-2-cyclopenten-1-one | 2.29 | 2.05 | 1.21 | 0.9 | 2.71 | 2.26 | 2.15 | ![]() | |
| 3-ethyl-2,5-dimethyl-Pyrazine | 4.23 | 1.76 | 0.67 | ![]() | |||||
| 2-methoxy-Phenol | 0.26 | 3.14 | 0.77 | ![]() | |||||
| 2,4-Dimethyl phenol | 1.01 | 0.98 | 1.09 | 1.23 | ![]() | ||||
| 2,3-Dimethyl-5-ethyl-Pyrazine | 1.95 | 1.89 | 1.76 | ![]() | |||||
| 1-Acetyl-1-cyclohexene | 2.61 | ![]() | |||||||
| 4-Ethyl-2,5,6-Trimethylpyrimidine | 2.42 | ![]() | |||||||
| Isosorbide | 3.48 | 2.66 | 4.03 | 11.91 | 6.96 | 6.12 | 18.52 | ![]() | |
| Dianhydromannitol | 22.26 | 20.73 | 3.35 | 17.33 | 19.67 | 23.82 | 20.68 | 20.64 | ![]() |
| 3-ethoxy-2-Pyridinamine | 2.57 | ![]() | |||||||
| 1,2-dimethoxy-Benzene | 1.23 | ![]() | |||||||
| 6,7-dihydro-2,5-dimethyl-5H-cyclopentapyrazine | 2.63 | ![]() | |||||||
| Tetradecane | 1.87 | 1.97 | 1.18 | 2.5 | C14H30 | ||||
| n-Pentadecane | 1.42 | 0.7 | 1.04 | C15H32 | |||||
| n-Hexadecane | 2.61 | 0.71 | C16H34 | ||||||
| 2-Ethylhexyl 2-ethylhexanoate | 2.83 | ![]() | |||||||
| Methyl n-tetradecanoate | 1.09 | 1.78 | 2.49 | 1.78 | 1.97 | 1.02 | ![]() | ||
| Tetradecanoic acid | 1.29 | 2.04 | ![]() | ||||||
| 4-Benzylaniline | 6.35 | ![]() | |||||||
| 1,1-Diphenylhydrazine | 2.65 | ![]() | |||||||
| 3,7,11,15-tetramethyl-2-Hexadecene | 1.2 | 2.49 | 4.99 | 1.65 | 2.72 | ![]() | |||
| Methyl hexadecanoate | 0.46 | 0.87 | 1.28 | 1.44 | 3.42 | 2.3 | 2.64 | 1.21 | ![]() |
| Hexadecanoic acid | 5.16 | 3.44 | 1.47 | 1.91 | 2.23 | 1.09 | ![]() | ||
| 9-Octadecenoic acid | 4.65 | 3.41 | ![]() | ||||||
| Methyl-9-octadecenoate | 1.67 | 0.67 | 2.19 | 3.35 | 1.09 | 2.96 | ![]() | ||
| 1-Methyl-2-phenyl-1H-indole | 6.55 | ![]() | |||||||
| 3-Nitrophthalic acid | 37.4 | ![]() | |||||||
© 2019 by the authors. Licensee MDPI, Basel, Switzerland. This article is an open access article distributed under the terms and conditions of the Creative Commons Attribution (CC BY) license (http://creativecommons.org/licenses/by/4.0/).
Share and Cite
Ly, H.V.; Kim, J.; Hwang, H.T.; Choi, J.H.; Woo, H.C.; Kim, S.-S. Catalytic Hydrodeoxygenation of Fast Pyrolysis Bio-Oil from Saccharina japonica Alga for Bio-Oil Upgrading. Catalysts 2019, 9, 1043. https://doi.org/10.3390/catal9121043
Ly HV, Kim J, Hwang HT, Choi JH, Woo HC, Kim S-S. Catalytic Hydrodeoxygenation of Fast Pyrolysis Bio-Oil from Saccharina japonica Alga for Bio-Oil Upgrading. Catalysts. 2019; 9(12):1043. https://doi.org/10.3390/catal9121043
Chicago/Turabian StyleLy, Hoang Vu, Jinsoo Kim, Hyun Tae Hwang, Jae Hyung Choi, Hee Chul Woo, and Seung-Soo Kim. 2019. "Catalytic Hydrodeoxygenation of Fast Pyrolysis Bio-Oil from Saccharina japonica Alga for Bio-Oil Upgrading" Catalysts 9, no. 12: 1043. https://doi.org/10.3390/catal9121043
APA StyleLy, H. V., Kim, J., Hwang, H. T., Choi, J. H., Woo, H. C., & Kim, S.-S. (2019). Catalytic Hydrodeoxygenation of Fast Pyrolysis Bio-Oil from Saccharina japonica Alga for Bio-Oil Upgrading. Catalysts, 9(12), 1043. https://doi.org/10.3390/catal9121043
































