Ce- and Y-Modified Double-Layered Hydroxides as Catalysts for Dry Reforming of Methane: On the Effect of Yttrium Promotion
Abstract
:1. Introduction
2. Results and Discussion
2.1. Physicochemical Features of the Studied Catalysts
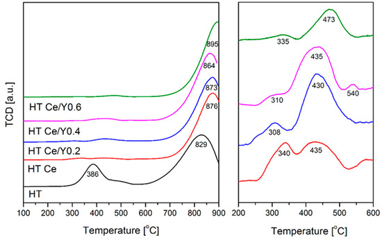
2.2. Reducibility, Basicity, Ni Dispersion, and Crystallite Size
2.3. Catalytic Performance in Dry Methane Reforming
2.4. Characterization of the Spent Catalysts
3. Materials and Methods
3.1. Catalysts Synthesis
3.2. Characterization Methods
3.3. Catalytic Tests
4. Conclusions
Author Contributions
Funding
Conflicts of Interest
References
- Mark, M.F.; Maier, W.F.; Mark, F. Reaction kinetics of the CO2 reforming of methane. Chem. Eng. Technol. 1997, 20, 361–370. [Google Scholar] [CrossRef]
- Pakhare, D.; Spivey, J. A review of dry (CO2) reforming of methane over noble metal catalysts. Chem. Soc. Rev. 2014, 43, 7813–7837. [Google Scholar] [CrossRef] [PubMed]
- Seo, H. Recent scientific progress on developing supported Ni catalysts for dry (CO2) reforming of methane. Catalysts 2018, 8, 110. [Google Scholar] [CrossRef]
- Świrk, K.; Gálvez, M.E.; Motak, M.; Grzybek, T.; Rønning, M.; Da Costa, P. Yttrium promoted Ni-based double-layered hydroxides for dry methane reforming. J. CO2 Util. 2018, 27, 247–258. [Google Scholar] [CrossRef]
- Chen, D.; Lødeng, R.; Anundskås, A.; Olsvik, O.; Holmen, A. Deactivation during carbon dioxide reforming of methane over Ni catalyst: Microkinetic analysis. Chem. Eng. Sci. 2001, 56, 1371–1379. [Google Scholar] [CrossRef]
- Cavani, F.; Trifirò, F.; Vaccari, A. Hydrotalcite-type anionic clays: Preparation, properties and applications. Catal. Today 1991, 11, 173–301. [Google Scholar] [CrossRef]
- Dębek, R.; Motak, M.; Grzybek, T.; Galvez, M.; Da Costa, P. A short review on the catalytic activity of hydrotalcite-derived materials for dry reforming of methane. Catalysts 2017, 7, 32. [Google Scholar] [CrossRef]
- González, A.R.; Asencios, Y.J.O.; Assaf, E.M.; Assaf, J.M. Dry reforming of methane on Ni-Mg-Al nano-spheroid oxide catalysts prepared by the sol-gel method from hydrotalcite-like precursors. Appl. Surf. Sci. 2013, 280, 876–887. [Google Scholar] [CrossRef]
- Lin, X.; Li, R.; Lu, M.; Chen, C.; Li, D.; Zhan, Y.; Jiang, L. Carbon dioxide reforming of methane over Ni catalysts prepared from Ni-Mg-Al layered double hydroxides: Influence of Ni loadings. Fuel 2015, 162, 271–280. [Google Scholar] [CrossRef]
- Touahra, F.; Sehailia, M.; Ketir, W.; Bachari, K.; Chebout, R.; Trari, M.; Cherifi, O.; Halliche, D. Effect of the Ni/Al ratio of hydrotalcite-type catalysts on their performance in the methane dry reforming process. Appl. Petrochem. Res. 2016, 6, 1–13. [Google Scholar] [CrossRef]
- Dębek, R.; Motak, M.; Duraczyska, D.; Launay, F.; Galvez, M.E.; Grzybek, T.; Da Costa, P. Methane dry reforming over hydrotalcite-derived Ni–Mg–Al mixed oxides: The influence of Ni content on catalytic activity, selectivity and stability. Catal. Sci. Technol. 2016, 6, 6705–6715. [Google Scholar] [CrossRef]
- Daza, C.E.; Cabrera, C.R.; Moreno, S.; Molina, R. Syngas production from CO2 reforming of methane using Ce-doped Ni-catalysts obtained from hydrotalcites by reconstruction method. Appl. Catal. A Gen. 2010, 378, 125–133. [Google Scholar] [CrossRef]
- Daza, C.E.; Moreno, S.; Molina, R. Co-precipitated Ni-Mg-Al catalysts containing Ce for CO2 reforming of methane. Int. J. Hydrog. Energy 2011, 36, 3886–3894. [Google Scholar] [CrossRef]
- Dębek, R.; Motak, M.; Galvez, M.E.; Da Costa, P.; Grzybek, T. Catalytic activity of hydrotalcite-derived catalysts in the dry reforming of methane: On the effect of Ce promotion and feed gas composition. React. Kinet. Mech. Catal. 2017, 121, 185–208. [Google Scholar] [CrossRef]
- Dębek, R.; Radlik, M.; Motak, M.; Galvez, M.E.; Turek, W.; Da Costa, P.; Grzybek, T. Ni-containing Ce-promoted hydrotalcite derived materials as catalysts for methane reforming with carbon dioxide at low temperature—On the effect of basicity. Catal. Today 2015, 257, 59–65. [Google Scholar] [CrossRef]
- Niu, J.; Liland, S.E.; Yang, J.; Rout, K.R.; Ran, J.; Chen, D. Effect of oxide additives on the hydrotalcite derived Ni catalysts for CO2 reforming of methane. Chem. Eng. J. 2018. [Google Scholar] [CrossRef]
- Dębek, R.; Motak, M.; Galvez, M.E.; Grzybek, T.; Da Costa, P. Promotion effect of zirconia on Mg(Ni,Al)O mixed oxides derived from hydrotalcites in CO2 methane reforming. Appl. Catal. B Environ. 2018, 36–46. [Google Scholar] [CrossRef]
- Świrk, K.; Gálvez, M.E.; Motak, M.; Grzybek, T.; Rønning, M.; Da Costa, P. Dry reforming of methane over Zr- and Y-modified Ni/Mg/Al double-layered hydroxides. Catal. Commun. 2018, 117, 26–32. [Google Scholar] [CrossRef]
- Liu, H.; Wierzbicki, D.; Debek, R.; Motak, M.; Grzybek, T.; Da Costa, P.; Gálvez, M.E. La-promoted Ni-hydrotalcite-derived catalysts for dry reforming of methane at low temperatures. Fuel 2016, 182, 8–16. [Google Scholar] [CrossRef]
- Ainirazali, N.; Ainun, N.; Abghazab, N.; Setiabudi, H.D.; Yee, C.S. CO2 reforming of methane over Ni/Ce-SBA-15: Effects of Ce addition. Indian J. Sci. Technol. 2017, 10, 1–5. [Google Scholar] [CrossRef]
- Han, J.; Zhan, Y.; Street, J.; To, F.; Yu, F. Natural gas reforming of carbon dioxide for syngas over Ni–Ce–Al catalysts. Int. J. Hydrog. Energy 2017, 42, 18364–18374. [Google Scholar] [CrossRef]
- Koo, K.Y.; Roh, H.S.; Jung, U.H.; Yoon, W.L. CeO2 promoted Ni/Al2O3 catalyst in combined steam and carbon dioxide reforming of methane for gas to liquid (GTL) process. Catal. Lett. 2009, 130, 217–221. [Google Scholar] [CrossRef]
- Świrk, K.; Gálvez, M.E.; Motak, M.; Grzybek, T.; Rønning, M.; Da Costa, P. Syngas production from dry methane reforming over yttrium-promoted nickel-KIT-6 catalysts. Int. J. Hydrog. Energy 2019, 44, 274–286. [Google Scholar] [CrossRef]
- Huang, X.; Xue, G.; Wang, C.; Zhao, N.; Sun, N.; Wei, W.; Sun, Y. Highly stable mesoporous NiO–Y2O3–Al2O3 catalysts for CO2 reforming of methane: Effect of Ni embedding and Y2O3 promotion. Catal. Sci. Technol. 2016, 6, 449–459. [Google Scholar] [CrossRef]
- Li, B.; Zhang, S. Methane reforming with CO2 using nickel catalysts supported on yttria-doped SBA-15 mesoporous materials via sol-gel process. Int. J. Hydrog. Energy 2013, 38, 14250–14260. [Google Scholar] [CrossRef]
- Li, B.; Su, W.; Wang, X.; Wang, X. Alumina supported Ni and Co catalysts modified by Y2O3 via different impregnation strategies: Comparative analysis on structural properties and catalytic performance in methane reforming with CO2. Int. J. Hydrog. Energy 2016, 41, 14732–14746. [Google Scholar] [CrossRef]
- Munteanu, G.; Petrova, P.; Ivanov, I.; Liotta, L.F.; Kaszkur, Z.; Tabakova, T.; Ilieva, L. Temperature-programmed reduction of lightly yttrium-doped Au/CeO2 catalysts: Correlation between oxygen mobility and WGS activity. J. Therm. Anal. Calorim. 2018, 131, 145–154. [Google Scholar] [CrossRef]
- Burbano, M.; Norberg, S.T.; Hull, S.; Eriksson, S.G.; Marrocchelli, D.; Madden, P.A.; Watson, G.W. Oxygen vacancy ordering and the conductivity maximum in Y2O3-doped CeO2. Chem. Mater. 2012, 24, 222–229. [Google Scholar] [CrossRef]
- Wang, J.B.; Tai, Y.L.; Dow, W.P.; Huang, T.J. Study of ceria-supported nickel catalyst and effect of yttria doping on carbon dioxide reforming of methane. Appl. Catal. A Gen. 2001, 218, 69–79. [Google Scholar] [CrossRef]
- Guo, Y.; Zou, J.; Shi, X.; Rukundo, P.; Wang, Z.J. A Ni/CeO2-CDC-SiC catalyst with improved coke resistance in CO2 reforming of methane. ACS Sustain. Chem. Eng. 2017, 5, 2330–2338. [Google Scholar] [CrossRef]
- Fernández, J.M.; Barriga, C.; Ulibarri, M.A.; Labajos, F.M.; Rives, V. New hydrotalcite-like compounds containing yttrium. Chem. Mater. 1997, 9, 312–318. [Google Scholar] [CrossRef]
- Dębek, R.; Motak, M.; Galvez, M.E.; Grzybek, T.; Da Costa, P. Influence of Ce/Zr molar ratio on catalytic performance of hydrotalcite-derived catalysts at low temperature CO2 methane reforming. Int. J. Hydrog. Energy 2017, 42, 1–12. [Google Scholar] [CrossRef]
- Rad, S.J.H.; Haghighi, M.; Eslami, A.A.; Rahmani, F.; Rahemi, N. Sol-gel vs. impregnation preparation of MgO and CeO2 doped Ni/Al2O3 nanocatalysts used in dry reforming of methane: Effect of process conditions, synthesis method and support composition. Int. J. Hydrog. Energy 2016, 41, 5335–5350. [Google Scholar] [CrossRef]
- Mierczynski, P.; Mierczynska, A.; Ciesielski, R.; Mosinska, M.; Nowosielska, M.; Czylkowska, A.; Maniukiewicz, W.; Szynkowska, M.; Vasilev, K. High active and selective Ni/CeO2–Al2O3 and Pd–Ni/CeO2–Al2O3 catalysts for oxy-steam reforming of methanol. Catalysts 2018, 8, 380. [Google Scholar] [CrossRef]
- Aramouni, N.A.K.; Touma, J.G.; Tarboush, B.A.; Zeaiter, J.; Ahmad, M.N. Catalyst design for dry reforming of methane: Analysis review. Renew. Sustain. Energy Rev. 2018, 82, 2570–2585. [Google Scholar] [CrossRef]
- Koubaissy, B.; Pietraszek, A.; Roger, A.C.; Kiennemann, A. CO2 reforming of methane over Ce-Zr-Ni-Me mixed catalysts. Catal. Today 2010, 157, 436–439. [Google Scholar] [CrossRef]
- Li, H.; Xu, H.; Wang, J. Methane reforming with CO2 to syngas over CeO2-promoted Ni/Al2O3-ZrO2 catalysts prepared via a direct sol-gel process. J. Nat. Gas Chem. 2011, 20, 1–8. [Google Scholar] [CrossRef]
- Metcalfe, I.S.; Sundaresan, S. Oxygen transfer between metals and oxygen-ion conducting supports. AIChE J. 1988, 34, 195–208. [Google Scholar] [CrossRef]
- Wang, J.B.; Shih, W.H.; Huang, T.J. Study of Sm2O3-doped CeO2/Al2O3-supported copper catalyst for CO oxidation. Appl. Catal. A Gen. 2000, 203, 191–199. [Google Scholar] [CrossRef]
- Silver, R.G.; Hou, C.J.; Ekerdt, J.G. The role of lattice anion vacancies in the activation of CO and as the catalytic site for methanol synthesis over zirconium dioxide and yttria-doped zirconium dioxide. J. Catal. 1989, 118, 400–416. [Google Scholar] [CrossRef]
- Dilara, P.A.; Vohs, J.M. TPD and HREELS investigation of the reaction of formic acid on ZrO2(100). J. Phys. Chem. 1993, 97, 12919–12923. [Google Scholar] [CrossRef]
- Tsyganok, A.I.; Tsunoda, T.; Hamakawa, S.; Suzuki, K.; Takehira, K.; Hayakawa, T. Dry reforming of methane over catalysts derived from nickel-containing Mg-Al layered double hydroxides. J. Catal. 2003, 213, 191–203. [Google Scholar] [CrossRef]
- Amelinckx, S.; Zhang, X.B.; Bernaerts, D.; Zhang, X.F.; Ivanov, V.; Nagy, J.B. A formation mechanism for catalytically grown helix-shaped graphite nanotubes. Science 1994, 265, 635–639. [Google Scholar] [CrossRef] [PubMed]
- Mustard, D.G.; Bartholomew, C.H. Determination of metal crystallite supported size and morphology supported nickel catalysts. J. Catal. 1981, 67, 186–206. [Google Scholar] [CrossRef]











| Catalyst | XRD | XRF | N2 Sorption | |||||||
|---|---|---|---|---|---|---|---|---|---|---|
| Freshly Synthesized | After Calcination | After Calcination | ||||||||
| a 1 [Å] | c’ 2 [Å] | Ni [wt.%] | Ce [wt.%] | Y [wt.%] | Al/Ce [-] | Ni2+/Mg2+ [-] | SBET 3 [m2/g] | Vp 4 [cm3/g] | dp 5 [nm] | |
| HT | 3.06 | 7.82 | 20 | - | - | - | 0.29 (0.33) | 120 | 0.6 | 19 |
| HT Ce | 3.07 | 7.84 | 25 | 2.5 (3.0) * | - | 34 | 0.21 (0.33) | 97 | 0.5 | 20 |
| HT Ce/Y0.2 | 3.07 | 7.83 | 23 | 2.9 (3.0) * | 0.3 (0.2) * | 30 | 0.18 (0.33) | 132 | 0.7 | 21 |
| HT Ce/Y0.4 | 3.07 | 7.84 | 23 | 3.2 (3.0) * | 0.5 (0.4) * | 28 | 0.18 (0.33) | 133 | 0.6 | 19 |
| HT Ce/Y0.6 | 3.07 | 7.85 | 20 | 2.6 (3.0) * | 0.7 (0.6) * | 36 | 0.15 (0.33) | 126 | 0.6 | 20 |
| Catalyst | N2 Sorption | TPR-H2 | XRD | H2 Chemisorption | |||
|---|---|---|---|---|---|---|---|
| Reduced Materials | H2 Consumption [mmol H2/g] | Ni Crystallite [nm] | Ni Dispersion [%] | Ni Crystallite [nm] | |||
| SBET 1 [m2/g] | Vp 2 [cm3/g] | dp 3 [nm] | |||||
| HT | 68 | 0.4 | 21 | 0.209 | 9 | 8.9 | 11 |
| HT Ce | 45 | 0.2 | 14 | 0.137 | 7 | 11.5 | 8 |
| HT Ce/Y0.2 | 99 | 0.7 | 28 | 0.135 | 7 | 10.2 | 10 |
| HT Ce/Y0.4 | 91 | 0.6 | 27 | 0.134 | 7 | 11.6 | 8 |
| HT Ce/Y0.6 | 99 | 0.7 | 26 | 0.119 | 8 | 11.5 | 8 |
| Temperature [°C] | 850 | 800 | 750 | 700 | 650 | 600 |
|---|---|---|---|---|---|---|
| CH4 conversion | ||||||
| HT | 98.2 | 93.3 | 82.5 | 66.0 | 45.4 | 28.9 |
| HT Ce | 96.5 | 93.2 | 86.9 | 75.7 | 60.0 | 42.2 |
| HT Ce/Y0.2 | 96.2 | 92.9 | 86.8 | 76.1 | 61.2 | 44.7 |
| HT Ce/Y0.4 | 96.2 | 93.1 | 86.8 | 76.1 | 61.7 | 45.2 |
| HT Ce/Y0.6 | 93.2 | 87.9 | 78.4 | 65.0 | 49.9 | 35.3 |
| CO2 conversion | ||||||
| HT | 96.8 | 93.0 | 86.5 | 76.0 | 56.6 | 40.2 |
| HT Ce | 97.5 | 94.8 | 91.9 | 81.0 | 66.1 | 48.4 |
| HT Ce/Y0.2 | 97.4 | 94.7 | 90.1 | 81.4 | 67.9 | 52.0 |
| HT Ce/Y0.4 | 98.4 | 95.1 | 91.8 | 81.5 | 68.4 | 52.2 |
| HT Ce/Y0.6 | 95.4 | 90.1 | 82.3 | 76.1 | 54.2 | 38.0 |
| H2/CO molar ratio | ||||||
| HT | 0.99 | 0.97 | 0.93 | 0.87 | 0.80 | 0.75 |
| HT Ce | 0.96 | 0.94 | 0.92 | 0.89 | 0.83 | 0.78 |
| HT Ce/Y0.2 | 0.96 | 0.95 | 0.92 | 0.89 | 0.84 | 0.78 |
| HT Ce/Y0.4 | 0.97 | 0.95 | 0.93 | 0.89 | 0.85 | 0.79 |
| HT Ce/Y0.6 | 0.95 | 0.92 | 0.89 | 0.84 | 0.79 | 0.74 |
| Catalyst | N2 Sorption | XRD | Raman | ||
|---|---|---|---|---|---|
| SBET 1 [m2/g] | Vp 2 [cm3/g] | dp 3 [nm] | Ni Crystallite Size [nm] | ID/IG [-] | |
| HT | 125 | 0.3 | 10 | 7 | 1.83 |
| HT Ce | 108 | 0.4 | 13 | 7 | 1.47 |
| HT Ce/Y0.2 | 139 | 0.3 | 8 | 7 | 1.63 |
| HT Ce/Y0.4 | 120 | 0.4 | 12 | 7 | 1.51 |
© 2019 by the authors. Licensee MDPI, Basel, Switzerland. This article is an open access article distributed under the terms and conditions of the Creative Commons Attribution (CC BY) license (http://creativecommons.org/licenses/by/4.0/).
Share and Cite
Świrk, K.; Rønning, M.; Motak, M.; Beaunier, P.; Da Costa, P.; Grzybek, T. Ce- and Y-Modified Double-Layered Hydroxides as Catalysts for Dry Reforming of Methane: On the Effect of Yttrium Promotion. Catalysts 2019, 9, 56. https://doi.org/10.3390/catal9010056
Świrk K, Rønning M, Motak M, Beaunier P, Da Costa P, Grzybek T. Ce- and Y-Modified Double-Layered Hydroxides as Catalysts for Dry Reforming of Methane: On the Effect of Yttrium Promotion. Catalysts. 2019; 9(1):56. https://doi.org/10.3390/catal9010056
Chicago/Turabian StyleŚwirk, Katarzyna, Magnus Rønning, Monika Motak, Patricia Beaunier, Patrick Da Costa, and Teresa Grzybek. 2019. "Ce- and Y-Modified Double-Layered Hydroxides as Catalysts for Dry Reforming of Methane: On the Effect of Yttrium Promotion" Catalysts 9, no. 1: 56. https://doi.org/10.3390/catal9010056
APA StyleŚwirk, K., Rønning, M., Motak, M., Beaunier, P., Da Costa, P., & Grzybek, T. (2019). Ce- and Y-Modified Double-Layered Hydroxides as Catalysts for Dry Reforming of Methane: On the Effect of Yttrium Promotion. Catalysts, 9(1), 56. https://doi.org/10.3390/catal9010056

