Abstract
In the present work, Candida antarctica lipase B (CaLB) was adsorbed onto polypropylene beads using different reaction conditions, in order to investigate their influence on the immobilization process and the enzyme activity of the preparations in polymerization reactions. In general, lower salt concentrations were more favorable for the binding of enzyme to the carrier. Polymerisation of dimethyl adipate (DMA) and 1,4-butanediol (BDO) was investigated in thin-film systems at 70 °C and at both atmosphere pressure (1000 mbar) and 70 mbar. Conversion rates and molecular masses of the reaction products were compared with reactions catalyzed by CaLB in its commercially available form, known as Novozym 435 (CaLB immobilized on macroporous acrylic resin). The best results according to molecular weight and monomer conversion after 24 h reaction time were obtained with CaLB immobilized in 0.1 M Na2HPO4\NaH2PO4 buffer at pH 8, producing polyesters with 4 kDa at conversion rates of 96% under low pressure conditions. The stability of this preparation was studied in a simulated continuous polymerization process at 70 °C, 70 mbar for 4 h reaction time. The data of this continuous polymerizations show that the preparation produces lower molecular weights at lower conversion rates, but is comparable to the commercial enzyme concerning stability for 10 cycles. However, after 24 h reaction time, using our optimum preparation, higher molecular weight polyesters (4 kDa versus 3.1 kDa) were obtained when compared to Novozym 435.
1. Introduction
During the last 30 years, issues such as climate change, petroleum depletion and environmental pollution have highlighted the importance of bio-based and environmentally friendly production processes to be adopted across a wide range of industrial fields [1,2]. In particular, the substitution of highly stable, petrol-based plastics with bio-based and biodegradable products has been, and continues to be, of great interest for public, industry and academia. To address this increasing demand for environmentally friendly polymers, the ability of enzymes to transform natural and non-natural compounds into polymers is considered as a superior alternative to harsh chemical synthetic pathways [3]. Since enzymes perform and regulate a wide range of processes in living organisms, they are known as particularly versatile catalysts. They are interesting tools for structure-regulated reactions since they combine, in many cases, high enantio-, chemo-, regio-, stereo- and choro- selectivity with mild reaction conditions. This enables the synthesis of polymers that would typically crosslink or form a number of by-products when using conventional catalysts such as polyesters made using monomers with lateral hydroxy functionalities [4]. Therefore, the development of an effective enzymatic catalyst has great potential for the improvement of industrial chemical processes, while the environmental footprint could be reduced via the use of enzymes since known to be natural catalysts [5].
By definition, biocatalysts reduce activation energy of chemical reactions without themselves being permanently altered or consumed in the course of the reaction [6]. For industrial applications it is crucial that the enzyme is recyclable, therefore simplistic separation of product and catalyst, with retention of activity is essential. This can be achieved by the immobilization of the enzyme on a solid support, not only enabling straightforward recyclability but also improving stability and specificity as well as selectivity. Further advantages of immobilized enzymes are effective catalyst dispersion in hydrophobic organic media and improved accessibility for substrates, where the aggregation of the hydrophilic proteins can be avoided. All these factors result in high catalytic activity [7,8]. For a successful enzyme immobilization the right support matrix selection is crucial, since the support influences the final orientation of the biocatalyst, maintains the tertiary structure and, depending if it is anionic or cationic, can cause a change of the optimum pH range where the enzyme works effectively. The support can be hydrophilic or hydrophobic; this can be modified, for instance with epoxides, aldehydes or carbodiimides to allow efficient immobilization [7,9,10]. Supports used for enzyme immobilization include vinylformamide based copolymers [11], modified chitosan beads [12], silicate clay minerals [13], carrageenan [14], cellulose, pectin [15], starch [16], zeolites [17], ceramics [18], modified cycloaliphatic epoxide [19] and activated carbon [20].
The immobilization of enzymes can be achieved by different techniques. Physical adsorption (physisorption) occurs through weak, unspecific interactions and is sometimes reversable by changing the conditions influencing the strength of the interaction, such as pH, ionic strength, temperature, or polarity of the solvent. This enables the removal of the enzymes from the support if the activity has decayed and the support can be easily regenerated. In contrast, covalent binding (chemisorption) is an irreversible immobilization method. Generally, strong nucleophiles on the protein react with electrophilic groups on the support. Due to the formation of multiple covalent bonds between enzyme and support, the conformation of the former is prevented against unfolding and denaturation, and it can be used in a broad range of media. Another option is to couple the enzyme onto the support with the help of functional groups, such as sugar residues [21].
Immobilized hydrolytic enzymes are already used at an industrial scale to synthetize short chain esters like modified triacylglycerols, emulsifiers, peptides and oligosaccharides under mild operating conditions, with high specificity, high product purity due to reduced side reactions, and exclusion of expensive separation techniques [22]. Such products are used in the food industry, fragrances, cosmetics or pharmaceutical industries. Other production methods for these products, as the extraction from plant and animal sources, or chemical production show drawbacks like low quantities already in the source or potentially harmful effects on environment and customer [23]. The biocatalytic synthesis of aliphatic polyesters can be achieved by polycondensation and ring-opening polymerizations [24]. Cutinase 1 from Thermobifida cellulosilytica—a bacterial enzyme—immobilized in Amber shows a substrate preference for C4-C6 diester-diol combinations, resulting in a conversion rate of 78% and polyesters with molecular weight of 878 Da (Mw) [25]. In studies addressing the enantioselectivity of fungal cutinases for aromatic-aliphatic polyester synthesis, the enzymes show (R)-selectivity, and a planar character of ring structures is crucial [26]. Lipases especially show high activity in transesterification reactions performed under water free conditions like in organic solvents, where side reactions with water are eliminated [27], and the reaction media itself can involve a reactant like an alcohol [28]. CaLB is a suitable biocatalyst for the polymerization of aliphatic polyesters with substrates of carbon chain lengths between 4 and 10, leading to conversion rates of up to 94%, and molecular weights of around 13 kDa [29]. A combination of Novozym 435 and Lipozyme can catalyze the transesterification of rapeseed oil to biodiesel, using tert-Butanol as a water free reaction media [30]. Furthermore, aliphatic polyesters based on terephthalic acid, ethylene glycol, adipic acid or 1,4-butanediol were synthetized, as well as functionalized polymers containing vinyl, hydroxy, or epoxide groups [31,32].
In the present work, different preparations of CaLB immobilized via physisorption on polypropylene beads were tested for their catalytic efficacy in polycondensation reactions of aliphatic polyesters. Since thin-film reactions have several advantages, such as efficient heat and mass transfer, easy byproduct removal and the preservation of the mechanical stability of the used biocatalyst preparation [33,34], the polymerizations were performed in a rotavapor system at 70 °C at both atmosphere pressure (1000 mbar) and 70 mbar. Reaction rates and molecular masses of the products obtained with the different preparations were compared with reactions catalyzed by CaLB in its commercial available form, known as Novozym 435 (CaLB immobilized on macroporous acrylic resin). This commercial biocatalyst was reported to be the most efficient when compared to various lipases derived from different organisms for polymerization of polyols with dicarboxylic acids divinyl esters [24].
2. Results and Discussion
2.1. Lipase Immobilization
Polypropylene beads are well-known supports for the efficient immobilization of hydrolytic enzymes [32,35,36]. Figure 1 shows the influence of different buffer systems for the immobilisation of lipase B form Candida antarctica (CaLB) on Accurel 1000.
Figure 1.
Immobilization of Candida antarctica lipase B (CaLB) onto Accurel MP 1000 (polypropylene) beads in different buffer systems at pH 8, according to the relative remaining activity on para-nitrophenylbutyrate in the supernatant of the immobilization reaction. All reactions were performed in duplicates. The figure shows the mean ± SD.
According to the remaining esterase activity in the supernatants, after 1 h of reaction in 0.1 M Na2HPO4\NaH2PO4 and K2HPO4\KH2PO4 buffers, 49% and 52% of the enzyme were bound to the carrier respectively (Figure 1). When compared to 44% (Na2HPO4\NaH2PO4) and 19% (K2HPO4\KH2PO4) immobilization yield in the reactions with 1 M buffers, lower salt concentrations of 0.1 M seemed to have a favorable effect on the coupling of CaLB to polypropylene beads. Similar results were obtained when using Tris-HCl and MOPS buffers (see ESI, Figure S1) and are confirmed by literature [37,38]. After 24 h, only 7% of the activity was left in the supernatants (1 M MOPS) while for the others buffer systems almost all enzyme was immobilised.
2.2. Polymerization of Bio-Based Polymers
The immobilized CaLB and Novozym 435 described above were applied in polycondensation reactions of two bio-based monomers, namely dimethyl adipate (DMA) and 1,4-butanediol (BDO).
The intensity reduction of the signal at 3.7 ppm (–CH2–CH2–OH) in the 1H-NMR spectrum of the polymerization product of DMA and BDO together with the intensification of the signal at 4.1 ppm (CH2–CH2–O–C=O) represents the esterification of BDO with DMA, with methanol that is released as byproduct, therefore leading to the disappearance of the –OCH3 groups of DMA (3.7 ppm) (Figure 2). The integration of the peak at 4.1 ppm compared with the peak of the –CH2 adjacent to the carbonylic carbon groups of DMA (2.3 ppm) was used to determine the degree of polymerization.
Figure 2.
Enlarged 1H-NMR spectrum of poly(1,4-butylene adipate) synthesized using immobilized CaLB starting from dimethyl adipate and 1,4-butanediol. Spectra was recorded using CDCl3 as solvent.
In general, an average molecular weight (Mn) in the range of 2 to 10 kDa [39], combined with a high conversion rate, is desired for industrial applicability. Significantly lower conversion rates and molecular weights (Mn) were achieved when the reaction were performed at 1000 mbar compared to 70 mbar (Figure 3). This is caused by methanol, which is produced as byproduct during the reaction and if not removed from the reaction mixture causes: 1) the reversibility of the reaction (hydrolysis); and 2) inhibition of the enzyme [29]. At 70 mbar the methanol was readily removed, pushing the reaction to the right, and hence the polymerization process was more efficient. Interestingly, the preparations produced in K2HPO4\KH2PO4 buffer (Figure 3B) show very similar results in terms of conversion rates and molecular weights (Mn) (marked with circles) of 0.1 and 1 M buffer at atmosphere pressure. While the reactions with 1 M buffer resulted in conversion rates of 70% and product weights around 800 Da, the preparations with 0.1 M buffer showed products around 1 kDa and conversion rates of 75%. This indicates a better recovery of enzymatic activity of immobilizations performed in 0.1 M K2HPO4\KH2PO4 buffer, and could be linked to the conformation of the bound enzymes, which can be influenced by the immobilization buffer. Bastida et al. [40] assumed that lipases immobilize on hydrophobic supports involving their open form, but at high ionic strength the conformation equilibrium is shifted towards the closed form. Furthermore, enzyme dimers are stabilized, resulting in lower substrate accessibility of the active sites and therefore less active preparations [40]. The reactions performed with enzymes immobilized in Na2HPO4\NaH2PO4 (Figure 3D) show also similar results, but at 70 mbar. As with the K2HPO4\KH2PO4 preparations, the enzymes immobilized in lower molarity buffer resulted in products with clearly higher molecular weight and conversion rates. The preparation in 0.1 M buffer at pH 8 showed the same effectivity as the commercial enzyme (95%), and an even higher molecular weight of 4 kDa, compared to 3.1 kDa of Novozym 435 (for all obtained conversion rates and molecular weights Table 1).
Figure 3.
Molecular weights Mn [kDa] and conversion rates [%] of polyesters synthetized with CaLB immobilized onto polypropylene beads in 1/0.1 M K2HPO4\KH2PO4 and Na2HPO4\NaH2PO4 pH 7 and 8; 1/0.1 M Tris-HCl and MOPS pH 7. The polymerization reactions were performed at 1000 and 70 mbar respectively, and compared to the product of the same reactions catalyzed by Novozym 435. Resulting clusters are highlighted with circles. All reactions were performed in duplicates.
Table 1.
Conversion rate [%] and molecular weight Mn [Da] of polyesters synthetized with CaLB immobilized onto polypropylene beads in 1/0.1 M K2HPO4\KH2PO4 and Na2HPO4\NaH2PO4 pH 7 and 8; 1/0.1 M Tris-HCl and MOPS pH 7produced with various immobilization preparations.
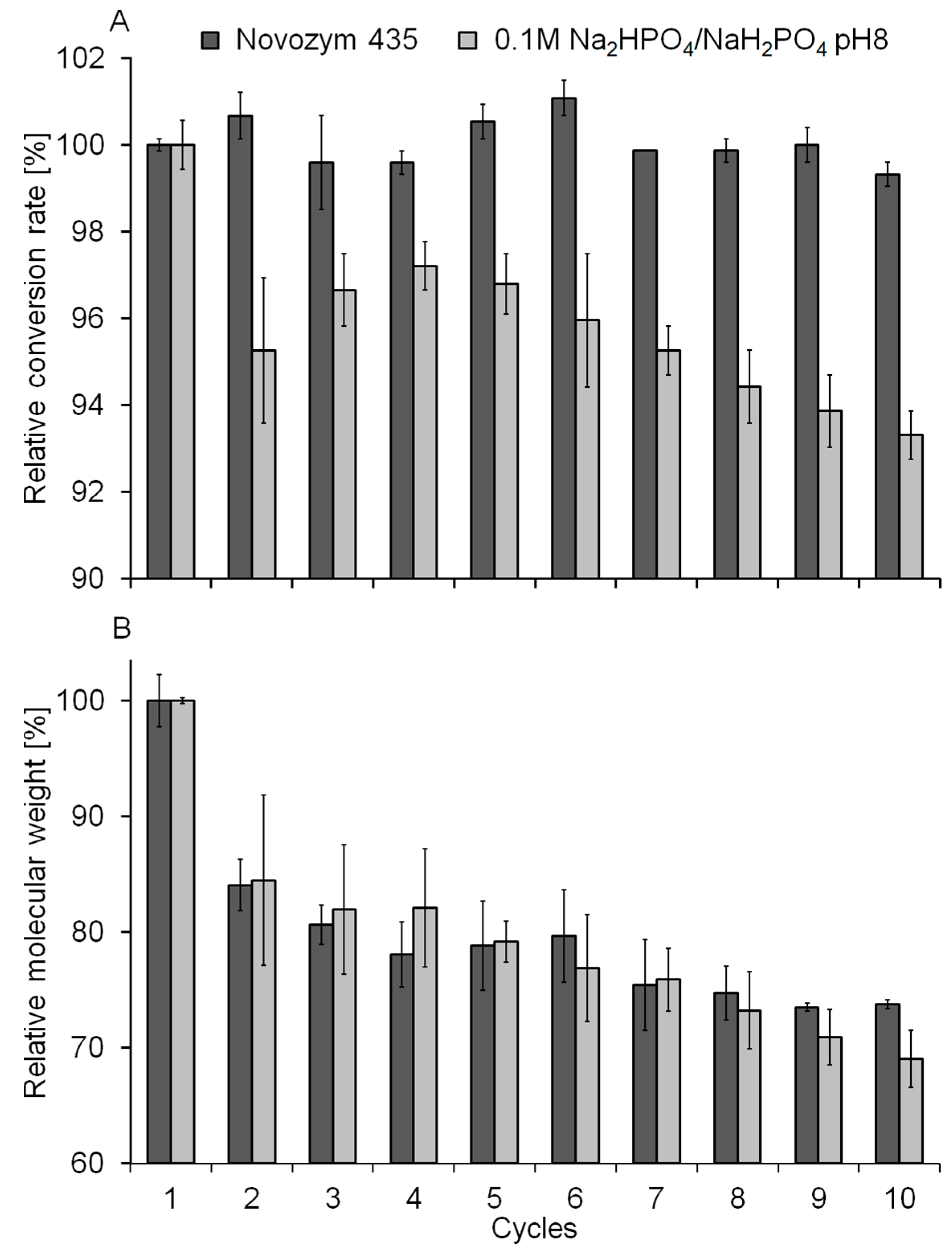
2.3. Biocatalyst Preparation Stability in a Continous Polymerization Process
CaLB immobilised onto in 0.1 M Na2HPO4\NaH2PO4 buffer at pH 8 showed the best activity in polymerization of DMA and BDO, and was hence used for the assessment of the stability. Therefore, an industrial batch process was simulated in lab scale by removing the product from the reaction after 4 h, and adding fresh monomers to the same enzyme preparation. The reactions were performed at 70 °C and 70 mbar, and the results were compared with Novozym 435 according to the obtained molecular weights and conversion rates.
As shown in Figure 4A, the molecular weight (Mn) of the polyesters synthetized by the selected preparation remains as stable as those produced with the commercial product. Both show a molecular weight decrease of 16% from the first to the second cycle. Furthermore, with a decrease of 235 Da for Novozym 435 and 200 Da for the preparation produced in this study from the second to the last cycle, the polymerization reaction of DMA and BDO is equally stable for both enzyme preparations over 9 cycles. The conversion rates of Novozym 435 vary between 94 and 92%, while CaLB on Accurel beads converts 90 to 84% (see Figure 4B). The decrease of polyester molecular weight (Mn) and conversion rate after the first cycle is most probably caused by uncontrolled leaching of enzyme from the carrier.
Figure 4.
Recyclability of the CaLB immobilized on polypropylene beads (light gray bars) over 10 cycles in polymerization reaction conducted for 4 h, expressed as: (A) relative percentage of the reacted monomer; and (B) relative molecular weight of the products compared to Novozym 435 (dark grey bars). All experiments were performed in duplicates and are here shown ± the standard deviation.
The comparison of the reactions performed with 24 h and 4 h reaction time indicates that, during the first hours of polymerization, Novozym 435 is the more effective catalyst to convert monomers to oligomers and low molecular weight polyesters. But when running the reactions for 24 h, the best preparation produced in this study (CaLB on Accurel immobilized in 01 M Na2HPO4\NaH2PO4 pH 8) gives similar monomer conversions (96%) producing even higher molecular weights (Mn) than the commercial CaLB (3.1 vs. 4 kDa), and is therefore more active in the elongation of low molecular weight polyesters. Within 4 h, Novozym 435 can produce polymers with a Mn of 2.3 kDa, but with further 20 h reaction time, the average molecular weight of the products increases only of 800 Da (26% of total molecular weight), while the products of CaLB on polypropylene beads increases of 2.7 kDa (68% of total molecular weight from 1.3 to 4 kDa).
3. Materials and Methods
3.1. Chemicals and Reagents
Polypropylene beads (Accurel MP1000 surface area of 55.985 m2 g−1, particle density of 1.993 g cm−3 and particle diameter of <1500 mm) were purchased from 3 M Deutschland GmbH (Wuppertal, Germany). Dimethyl adipate (DMA) was purchased from Sigma-Aldrich. 1,4-butanediol (BDO) was purchased from Merck (Vienna, Austria). All other chemicals and solvents were also purchased from Sigma-Aldrich (Vienna, Austria) at reagent grade and used without further purification if not otherwise specified.
3.2. Enzymes
Novozym ® 435 (product code: L4777) containing Candida antarctica lipase B immobilized on macroporous acrylic resin, displaying a synthetic activity of 11,700 PLU U g−1 (propyl laurate Units) and Lipozyme CaLB (protein concentration of 8 mg mL−1) were purchased from Sigma-Aldrich (Vienna, Austria).
3.3. Immobilization of CaLB on Accurel Beads
The Accurel beads were washed with acetone 3 times for 5 minutes at 600 mbar to remove the air, in order to enable the enzyme binding also in the bead’s cavities. Afterwards, the beads were rinsed with ddH2O (once) and with the immobilization buffer (twice) using a blood rotator set at 30 rpm for 5 min. A total of 5.0 mg of beads were suspended in 50 mL of 0.1 mg mL−1 (1% w w−1 beads/enzyme) enzyme solution in different buffers (see Table 2) at 21 °C for 24 h on a blood rotator. Samples were withdrawn over time. The progress of the immobilization was monitored by evaluating the residual activity in the supernatant. After the immobilization, the preparations obtained were filtrated, rinsed 3 times with 10 mL of the immobilization buffer and air-dried for 4 days.
Table 2.
Different buffers for immobilization reactions of CaLB on Accurel beads. All buffers had concentrations of 1 and 0.1 M. Tris-HCl and MOPS were used at pH 7, while K2HPO4\KH2PO4 and Na2HPO4\NaH2PO4 were used at pH 7 and 8 respectively.
3.4. Activity Assays for Immobilized Enzymes
Activity was measured at 21 °C using para-nitrophenylbutyrate (PNPB) as substrate. The final assay mixture was made up of 200 µL of the substrate solution (86 μL of PNPB and 1000 μL of 2-methyl-2-butanol), 20 µL of pure or diluted sample. The increase of the absorbance at 405 nm due to the hydrolytic release of p-nitrophenol (ε 405 nm) was measured over 5 min in cycles of 18 seconds at 30 °C with a Tecan Reader (Tecan, Grödig, Austria) using 96-well micro-titer plate (Greiner 96 Flat Bottom Transparent Polystyrene). A blank was included using buffer. The activity was calculated in units (U), where 1 unit is defined as the amount of enzyme required to hydrolyze 1 μmol of substrate per minute under the given assay conditions.
3.5. Enzymatic Polycondensation Using a Thin-Film Reaction System
Reactions were carried out using equimolar amounts (6.0 mmol) of diester and diol and 2.5% w w−1 of immobilized enzyme based on the total amount of the monomers. The reaction temperature was set to 70 °C, controlled by a temperature probe linked to the heating system, consisting of heating plate and silicon oil bath. Reactions were conducted in 50-mL round bottom flasks connected to a BÜCHI rotary evaporator system (BÜCHI, Tulln, Austria), applying reduced pressure when desired. Reactions were conducted with a rotavapor R-215, R-200 and a R-300 (BÜCHI, Tulln, Austria) connected to a vacuum pump Vac ® V-513, V-500 and R-300 (BÜCHI) (Tulln, Austria) and a pressure controller V-800, V-500 and I-300 (BÜCHI, Tulln, Austria). After 24 h, the reaction mixture was recovered with CH2Cl2 and the products were characterized via 1H-NMR and Gel Permeation Chromatography (GPC) after filtration of the biocatalyst and evaporation of CH2Cl2, without any further purification step. All reactions were performed in duplicates.
3.6. Gel Permeation Chromatography (GPC)
Samples were dissolved in Tetrahydrofuran (THF). Gel permeation chromatography was carried out at 30 °C on an Agilent Technologies HPLC System (Agilent Technologies 1260 Infinity, Vienna, Austria) connected to a 17,369 6.0 mm ID × 40 mm L HHR-H, 5 µm Guard column (Tosoh Bioscience, Tessenderlo, Belgium) and a 18,055 7.8 mm ID × 300 mm L GMHHR-N, 5 µm TSK gel liquid chromatography column (Tosoh Bioscience, Tessenderlo, Belgium) using THF as eluent (at a flow rate of 1 mL min−1). An Agilent Technologies G1362A refractive index detector was employed for detection. The molecular weights (Mn and Mw) of the polymers were calculated using linear polystyrene calibration standards purchased from Sigma Aldrich (250–70,000 Da) (Vienna, Austria).
3.7. 1H-NMR
Nuclear magnetic resonance 1H measurements were performed on a Bruker Avance II 400 spectrometer (Vienna, Austria) (resonance frequencies 400.13 MHz for 1H) equipped with a 5 mm observe broadband probe head (BBFO) (Vienna, Austria)with z-gradients. CDCl3 was used as NMR solvent if not otherwise specified.
4. Conclusions
During immobilization of Candida antarctica lipase B onto Accurel beads, a clear influence of the buffer system used for coupling was seen. In polymerization reactions of DMA and BDO to aliphatic, linear bio-based polyesters that used the thin-film method lead to better results at 70 mbar than at atmosphere pressure, since the byproduct of the reaction (methanol) has an inhibiting effect on the biocatalyst. Interestingly, enzyme immobilized in the presence of K2HPO4\KH2PO4 gives similar results between the buffer molarities at atmosphere pressure, where 0.1 M immobilizations produce polyesters with higher molecular weight than those with 1 M. The reactions with Na2HPO4\NaH2PO4 immobilized enzymes show a similar clustering at 70 mbar. One preparation (0.1 M Na2HPO4\NaH2PO4 buffer at pH 8) produced polyesters at the same conversion rate but with higher molecular weight than Novozym 435 within 24 h. Therefore, it was used to investigate the stability of the covalent immobilization. For 10 repeated reaction cycles, but with shorter reaction time (4 h), the preparation produced lower molecular weight polyesters and had lower conversion rates than Novozym 435. This shows that CaLB immobilized to polypropylene beads in 0.1 M Na2HPO4\NaH2PO4 buffer at pH 8 can catalyze the elongation more efficiently than the commercial CaLB formulation (for long reaction times) and has therefore a good potential for obtaining high molecular weight polyesters.
Supplementary Materials
The following are available online at http://www.mdpi.com/2073-4344/8/9/369/s1, Figure S1: additional immobilization profiles and Table S1: enzymatic preparations recyclability data.
Author Contributions
A.P. and S.W. conceived and designed the experiments; S.W. performed the experiments. S.W. and A.P. analyzed the data. S.W., A.P., J.W.C., T.J.F. and G.M.G. wrote the paper.
Funding
This work has been supported by the Federal Ministry of Science, Research and Economy (BMWFW), the Federal Ministry of Traffic, Innovation and Technology (bmvit), the Styrian Business Promotion Agency SFG, the Standortagentur Tirol, and the Government of Lower Austria and Business Agency Vienna through the COMET-Funding Program managed by the Austrian Research Promotion Agency FFG. A.P. is grateful to the FWF Erwin Schrödinger Program (Project number J 4014-N34) for financial support.
Conflicts of Interest
The authors declare no conflict of interest.
References
- Jiménez-González, C.; Poechlauer, P.; Broxterman, Q.B.; Yang, B.S.; Am Ende, D.; Baird, J.; Bertsch, C.; Hannah, R.E.; Dell’Orco, P.; Noorman, H.; et al. Key green engineering research areas for sustainable manufacturing: A perspective from pharmaceutical and fine chemicals manufacturers. Org. Process. Res. Dev. 2011, 15, 900–911. [Google Scholar] [CrossRef]
- European Association of Plastics Recycling and Recovery Organisations. Plastics—The Facts 2016. Available online: https://www.plasticseurope.org/application/files/4315/1310/4805/plastic-the-fact-2016.pdf (accessed on 30 August 2018).
- Pellis, A.; Cantone, S.; Ebert, C.; Gardossi, L. Evolving biocatalysis to meet bioeconomy challenges and opportunities. New Biotechnol. 2018, 40, 154–169. [Google Scholar] [CrossRef] [PubMed]
- Kobayashi, S. Recent developments in lipase-catalyzed synthesis of polyesters. Macromol. Rapid Commun. 2009, 30, 237–266. [Google Scholar] [CrossRef] [PubMed]
- Paggiola, G.; Hunt, A.J.; McElroy, C.R.; Sherwood, J.; Clark, J.H. Biocatalysis in bio-derived solvents: An improved approach for medium optimisation. Green Chem. 2014, 16, 2107–2110. [Google Scholar] [CrossRef]
- Cooper, G.M. The central role of enzymes as biological catalysts. In The Cell: A Molecular Approach, 2nd ed.; Cooper, G.M., Ed.; Sinauer Associates: Sunderland, MA, USA, 2000; pp. 145–146. [Google Scholar]
- Hanefeld, U.; Gardossi, L.; Magner, E. Understanding enzyme immobilisation. Chem. Soc. Rev. 2009, 38, 453–468. [Google Scholar] [CrossRef] [PubMed]
- Cantone, S.; Ferrario, V.; Corici, L.; Ebert, C.; Fattor, D.; Spizzo, P.; Gardossi, L. Efficient immobilisation of industrial biocatalysts: Criteria and constraints for the selection of organic polymeric carriers and immobilisation methods. Chem. Soc. Rev. 2013, 42, 6262. [Google Scholar] [CrossRef] [PubMed]
- Mohamad, N.R.; Marzuki, N.H.C.; Buang, N.A.; Huyop, F.; Wahab, R.A. An overview of technologies for immobilization of enzymes and surface analysis techniques for immobilized enzymes. Biotechnol. Biotechnol. Equip. 2015, 29, 205–220. [Google Scholar] [CrossRef] [PubMed]
- Rodrigues, R.C.; Ortiz, C.; Berenguer-Murcia, Á.; Torres, R.; Fernández-Lafuente, R. Modifying enzyme activity and selectivity by immobilization. Chem. Soc. Rev. 2013, 42, 6290–6307. [Google Scholar] [CrossRef] [PubMed]
- Tąta, A.; Sokołowska, K.; Swider, J.; Konieczna-Molenda, A.; Proniewicz, E.; Witek, E. Study of cellulolytic enzyme immobilization on copolymers of N-vinylformamide. Spectrochim. Acta Part A Mol. Biomol. Spectrosc. 2015, 149, 494–504. [Google Scholar] [CrossRef] [PubMed]
- Dinçer, A.; Telefoncu, A. Improving the stability of cellulase by immobilization on modified polyvinyl alcohol coated chitosan beads. J. Mol. Catal. B Enzym. 2007, 45, 10–14. [Google Scholar] [CrossRef]
- Safari Sinegani, A.A.; Emtiazi, G.; Shariatmadari, H. Sorption and immobilization of cellulase on silicate clay minerals. J. Colloid Interface Sci. 2005, 290, 39–44. [Google Scholar] [CrossRef] [PubMed]
- Tümtürk, H.; Karaca, N.; Demirel, G.; Şahin, F. Preparation and application of poly(N,N-dimethylacrylamide-co-acrylamide) and poly(N-isopropylacrylamide-co-acrylamide)/κ-Carrageenan hydrogels for immobilization of lipase. Int. J. Biol. Macromol. 2007, 40, 281–285. [Google Scholar] [CrossRef] [PubMed]
- Bryjak, J.; Aniulyte, J.; Liesiene, J. Evaluation of man-tailored cellulose-based carriers in glucoamylase immobilization. Carbohydr. Res. 2007, 342, 1105–1109. [Google Scholar] [CrossRef] [PubMed]
- Raafat, A.I.; Araby, E.; Lotfy, S. Enhancement of fibrinolytic enzyme production from Bacillus subtilis via immobilization process onto radiation synthesized starch/dimethylaminoethyl methacrylate hydrogel. Carbohydr. Polym. 2012, 87, 1369–1374. [Google Scholar] [CrossRef]
- Chang, Y.K.; Chu, L. A simple method for cell disruption by immobilization of lysozyme on the extrudate-shaped NaY zeolite. Biochem. Eng. J. 2007, 35, 37–47. [Google Scholar] [CrossRef]
- Huang, L.; Cheng, Z.M. Immobilization of lipase on chemically modified bimodal ceramic foams for olive oil hydrolysis. Chem. Eng. J. 2008, 144, 103–109. [Google Scholar] [CrossRef]
- Kahraman, M.V.; Bayramoǧlu, G.; Kayaman-Apohan, N.; Güngör, A. UV-curable methacrylated/fumaric acid modified epoxy as a potential support for enzyme immobilization. React. Funct. Polym. 2007, 67, 97–103. [Google Scholar] [CrossRef]
- Daoud, F.B.O.; Kaddour, S.; Sadoun, T. Adsorption of cellulase Aspergillus niger on a commercial activated carbon: Kinetics and equilibrium studies. Colloids Surfaces B Biointerfaces 2010, 75, 93–99. [Google Scholar] [CrossRef] [PubMed]
- Mateo, C.; Palomo, J.M.; Fernandez-Lorente, G.; Guisan, J.M.; Fernandez-Lafuente, R. Improvement of enzyme activity, stability and selectivity via immobilization techniques. Enzyme Microb. Technol. 2007, 40, 1451–1463. [Google Scholar] [CrossRef]
- Schreier, P. Enzymes and flavour biotechnology. In Biotechnology of Aroma Compounds; Berger, R.G., Babel, W., Blanch, H.W., Cooney, C.L., Enfors, S.-O., Eriksson, K.-E.L., Fiechter, A., Klibanov, A.M., Mattiasson, B., Primrose, S.B., et al., Eds.; Springer: Berlin/Heidelberg, Germany, 1997; pp. 51–72. [Google Scholar]
- Garlapati, V.K.; Banerjee, R. Solvent-Free Synthesis of Flavour Esters through Immobilized Lipase Mediated Transesterification. Enzyme Res. 2013, 2013. [Google Scholar] [CrossRef] [PubMed]
- Kobayashi, S. Lipase-catalyzed polyester synthesis—A green polymer chemistry. Proc. Japan Acad. Ser. B 2010, 86, 338–365. [Google Scholar] [CrossRef]
- Pellis, A.; Vastano, M.; Quartinello, F.; Herrero Acero, E.; Guebitz, G.M. His-Tag Immobilization of Cutinase 1 From Thermobifida cellulosilytica for Solvent-Free Synthesis of Polyesters. Biotechnol. J. 2017, 12, 1–6. [Google Scholar] [CrossRef] [PubMed]
- Su, A.; Tyrikos-Ergas, T.; Shirke, A.N.; Zou, Y.; Dooley, A.L.; Pavlidis, I.V.; Gross, R.A. Revealing Cutinases’ Capabilities as Enantioselective Catalysts. ACS Catal. 2018, 8, 7944–7951. [Google Scholar] [CrossRef]
- Langrand, G.; Rondot, N.; Triantaphylides, C.; Baratti, J. Short chain flavour esters synthesis by microbial lipases. Biotechnol. Lett. 1990, 12, 581–586. [Google Scholar] [CrossRef]
- Azudin, N.Y.; Mashitah, M.D.; Abd Shukor, S.R. Optimization of Isoamyl Acetate Production in a Solvent-Free System. J. Food Qual. 2013, 36, 441–446. [Google Scholar] [CrossRef]
- Pellis, A.; Comerford, J.W.; Maneffa, A.J.; Sipponen, M.H.; Clark, J.H.; Farmer, T.J. Elucidating enzymatic polymerisations: Chain-length selectivity of Candida antarctica lipase B towards various aliphatic diols and dicarboxylic acid diesters. Eur. Polym. J. 2018, 106, 79–84. [Google Scholar] [CrossRef]
- Li, L.; Du, W.; Liu, D.; Wang, L.; Li, Z. Lipase-catalyzed transesterification of rapeseed oils for biodiesel production with a novel organic solvent as the reaction medium. J. Mol. Catal. B Enzym. 2006, 43, 58–62. [Google Scholar] [CrossRef]
- Pellis, A.; Herrero Acero, E.; Ferrario, V.; Ribitsch, D.; Guebitz, G.M.; Gardossi, L. The Closure of the Cycle: Enzymatic Synthesis and Functionalization of Bio-Based Polyesters. Trends Biotechnol. 2016, 34, 316–328. [Google Scholar] [CrossRef] [PubMed]
- Huber, D.; Pellis, A.; Daxbacher, A.; Nyanhongo, G.S.; Guebitz, G.M. Polymerization of various lignins via immobilized Myceliophthora thermophila Laccase (MtL). Polymers 2016, 8, 280. [Google Scholar] [CrossRef]
- Pellis, A.; Corici, L.; Sinigoi, L.; D’Amelio, N.; Fattor, D.; Ferrario, V.; Ebert, C.; Gardossi, L. Towards feasible and scalable solvent-free enzymatic polycondensations: Integrating robust biocatalysts with thin film reactions. Green Chem. 2015, 17, 1756–1766. [Google Scholar] [CrossRef]
- Pellis, A.; Ferrario, V.; Cespugli, M.; Corici, L.; Guarneri, A.; Zartl, B.; Herrero Acero, E.; Ebert, C.; Guebitz, G.M.; Gardossi, L. Fully renewable polyesters: Via polycondensation catalyzed by Thermobifida cellulosilytica cutinase 1: An integrated approach. Green Chem. 2017, 19, 490–502. [Google Scholar] [CrossRef]
- Manoel, E.A.; Ribeiro, M.F.P.; Dos Santos, J.C.S.; Coelho, M.A.Z.; Simas, A.B.C.; Fernandez-Lafuente, R.; Freire, D.M.G. Accurel MP 1000 as a support for the immobilization of lipase from Burkholderia cepacia: Application to the kinetic resolution of myo-inositol derivatives. Process. Biochem. 2015, 50, 1557–1564. [Google Scholar] [CrossRef]
- Almeida, R.V.; Branco, R.V.; Peixoto, B.; da Silva Lima, C.; Alqueres, S.M.C.; Martins, O.B.; Antunes, O.A.C.; Freire, D.M.G. Immobilization of a recombinant thermostable esterase (Pf2001) from Pyrococcus furiosus on microporous polypropylene: Isotherms, hyperactivation and purification. Biochem. Eng. J. 2008, 39, 531–537. [Google Scholar] [CrossRef]
- Su, A.; Shirke, A.; Baik, J.; Zou, Y.; Gross, R. Immobilized cutinases: Preparation, solvent tolerance and thermal stability. Enzyme Microb. Technol. 2018, 116, 33–40. [Google Scholar] [CrossRef] [PubMed]
- Manoel, E.A.; dos Santos, J.C.S.; Freire, D.M.G.; Rueda, N.; Fernandez-Lafuente, R. Immobilization of lipases on hydrophobic supports involves the open form of the enzyme. Enzyme Microb. Technol. 2015, 71, 53–57. [Google Scholar] [CrossRef] [PubMed]
- Chaudhary, A.K.; Lopez, J.; Beckman, E.J.; Russell, A.J. Biocatalytic solvent-free polymerization to produce high molecular weight polyesters. Biotechnol. Prog. 1997, 13, 318–325. [Google Scholar] [CrossRef]
- Bastida, A.; Sabuquillo, P.; Armisen, P.; Fernández-Lafuente, R.; Huguet, J.; Guisán, J.M. A single step purification, immobilization, and hyperactivation of lipases via interfacial adsorption on strongly hydrophobic supports. Biotechnol. Bioeng. 1998, 58, 486–493. [Google Scholar] [CrossRef]
© 2018 by the authors. Licensee MDPI, Basel, Switzerland. This article is an open access article distributed under the terms and conditions of the Creative Commons Attribution (CC BY) license (http://creativecommons.org/licenses/by/4.0/).



