Abstract
Trifluoromethanesulfonic acid (TfOH) is one of the superior catalysts for acylation. The catalytic activity of TfOH in C- and/or O-acylation has broadened the use of various substrates under mild and neat or forced conditions. In this review, the salient catalytic features of TfOH are summarized, and the unique controllability of its catalytic activity in the tendency of C-acylation and/or O-acylation is discussed.
1. Introduction
The widely used C-acylation, Friedel–Crafts acylation [1,2] and Fries rearrangement [2] of aromatic compounds are efficient methods that result in satisfactory product yields. The fundamental feature of these reactions is the use of a homogeneous or heterogeneous Lewis or Brønsted acid that catalyzes the reaction of the acylating agent with the corresponding substrates. Conventionally, the Friedel–Crafts acylation of aromatic derivatives with acyl chloride or anhydrides requires at least 1 equiv. of AlCl3 [2,3]. Up to now, an improvement on this reaction is continuing at the time of writing this review. The Fries rearrangement, a typical rearrangement of a phenyl ester to o- or p-hydroxyphenyl ketone, has been carried out with a number of esters that differ in their phenolic and carboxylic acid substituent [4]. When phenol and phenol derivatives react with acylating reagents in the presence of appropriate catalyst, they can form aryl ketones via C-acylation of the aromatic ring (Figure 1a), as well as form phenyl esters via O-acylation (Figure 1b). In the reaction, phenyl ester derivatives can also undergo Fries rearrangement (Figure 1c). Direct phenol C-acylation and Fries rearrangement usually compete with one another, and are difficult to distinguish from their reaction mechanisms [5].
Figure 1.
Schematic of the relationship between C- and O-acylations of phenol derivatives by catalyst. When reacted with acylating reagents in the presence of catalyst, phenol derivatives can undergo (a) Friedel–Crafts acylation (C-acylation) to form aryl ketones or (b) O-acylation to form phenyl ester, which the resulted phenyl ester can also go through (c) Fries rearrangement to form aryl ketones.
Many kinds of acid-promoted acylations have been developed in order to improve their reactivity and selectivity, and some of these activators have been applied to industrial processes [6,7]. A comparative study of the catalytic activities of various acids in acylation has demonstrated that trifluoromethanesulfonic acid (triflic acid, TfOH) is far superior to all other Lewis and Brønsted acids tested [8]. TfOH is a perfluoroalkanesulfonic acid [9] that is extremely thermostable and highly resistant to decomposition by aqueous bases [10]. The synthesis of this acid was first reported in 1954 [8,10]. Since then, the novel properties of TfOH have been developed for modern chemical applications [11]; thus, comprehensive discussions of its utilization in various reactions and applications have been published [5,8,9,11,12,13]. From the point of view of TfOH as a catalyst for C- or O-acylation, consideration of comprehensive substrates with the reaction condition are needed to achieve optimum conditions. Recently, the general trends for various substrates C- or O-acylation catalyzed by TfOH are carried out, not only by the simple arenes with ordinary acyl component utilization, but also with extraordinary substrates to achieve efficient reactions. Therefore, the use of TfOH as a catalyst has broadened. In this review, the catalytic activity of TfOH in C- or O-acylation is discussed. The recent progress of TfOH as a promising catalyst for both Friedel–Crafts acylation and the Fries rearrangement, where esterification (O-acylation) plays an important role to connect these two reactions (from the point of view of phenol and phenol derivatives), is described. Furthermore, the controllable TfOH catalytic system for C-acylation and/or O-acylation of various substrates is also discussed in this review.
2. General Features of the TfOH Catalytic System for C-Acylation
Carbon–carbon bond formation in Friedel–Crafts acylation (Figure 1a) is one of the most important routes for preparing various ketones; especially in the synthesis of aryl ketones. In the case of the acylation of phenol, it has been extensively studied for o- or p-hydroxyphenyl ketones synthesis and since it employs more readily available and less expensive raw materials, direct Friedel–Crafts C-acylation might offer a convenient approach. Generally, the Friedel–Crafts acylation is carried out using acylating reagents such as acyl chlorides, carboxylic anhydrides or carboxylic acids in the presence of a Lewis or Brønsted acid. TfOH possesses a large negative H0 value (−14.1) [9,14], which is stronger than other Lewis acids. Therefore, it is categorized as a superacid and expected to be an effective catalyst for Friedel–Crafts C-acylation. A comparative study using sulfuric acid, TfOH, and three other perfluorinated sulfonic acids synthesized by Harmer et al. [15] in the acylation of anisole 1 (Figure 2a) proved this expectation. Moreover, the Fries rearrangement of phenyl acetate 2 (Figure 2b) also shows high efficiency of TfOH utilization as a catalyst as it is 100 times stronger than sulfuric acid [13,16] and is a commercially available reagent which can be readily used for these reactions.
Figure 2.
Comparison of sulfuric acid and various perfluorinated sulfonic acids used as catalysts for (a) the acylation of anisole 1; and (b) the Fries rearrangement of phenyl acetate 2. Data from [15]. Dashed lines indicate the reactant conversion (%) of the reaction utilized by TfOH.
A study in 1972 using a low proportion of TfOH (~1 wt %) for the acylation of p-xylene 5 with benzoyl chloride 6 [3] found that this acid produced a higher yield of product 7 in comparison with other tested catalysts, including the conventional catalyst AlCl3 (Figure 3). Since then, the catalytic activity of TfOH has been extensively studied. In recent decades, research into TfOH not only focused on determining its optimal proportion for high efficiency acylations, but also in broadening the utilization of vast substrates, which contribute to new synthetic pathways, and the comprehensive study of suitable reaction conditions to optimize its application exploitation. For example, sterically hindered aromatic ketones and carboxylic acids can undergo either protodeacylation or decarboxylation, which are typically accompanied by side reactions in the presence of TfOH (at 110 °C) [17]. As the direct mechanism of C-acylation is identical to that of other reactions, there is a need to examine the selection of aromatic compounds used in these reactions [18]. A summary of the general characteristics of the TfOH catalytic system for C-acylation in this review is expected to discover excellent findings for TfOH catalytic activity in the future.
Figure 3.
C-Acylation of p-xylene 5 with benzoyl chloride 6 at 138 °C using various catalysts. Data from [3]. The reaction times are indicated above the bars. a 2.6 equiv.; b 3.1 equiv.; c 2 equiv.
2.1. TfOH Catalytic Activity for Various Acyl Donors and Acyl Acceptors
A typical definition of the intermolecular C-acylation is the addition of acyl groups to aromatic derivatives, which is conducted by an activator. Conventional acylation includes the use of simple arenes (both electron-rich and electron-poor) such as benzene, toluene, and xylene, which act as acyl acceptors, as well as typical acyl donors such as acyl chloride, carboxylic anhydride, esters, and carboxylic acid. The TfOH catalytic system has made the exploration of different acyl donors more feasible for C-acylation, thus increasing the number of potential donors for this reaction. Direct C-acylation of aromatic compounds using benzoic acid esters is extending this exploration series. At 85 °C, excess TfOH (5 equiv.) has been used for direct C-acylation of methyl benzoate 8 (2 equiv.) and aromatic derivatives 9–16, thus forming the benzophenone derivatives 17–24 [19]. In this reaction, no further electrophilic reaction of benzophenones with the aromatics was observed (Scheme 1a). Even highly deactivated nitrobenzene 15 and benzotrifluoride 16 acted as acyl acceptors, affording the corresponding three-substituted benzophenones 23 and 24 in high yield. Furthermore, the TfOH system can also catalyze the acylation of benzene 9 with diesters such as 1,4-dimethyl terephthalate 25, which results in a mixture containing the major products 4-benzoyl methyl benzoate 26 and 1,4-dibenzoyl benzene 27, under similar reaction conditions (i.e., reaction for 8 h) (Scheme 1b).
Scheme 1.
C-Acylation of (a) methyl benzoate 8 to aromatic derivatives of 9–16; and (b) 1,4-dimethyl terephthalate 25 to benzene 9. Reagents and conditions: TfOH (5 equiv.), 85 °C, 0.5–8 h.
Efficient catalysis of reactions involving esters as acyl donors by using TfOH have led to the use of TfOH for the synthesis of β-amino aryl ketone derivatives from the acyl donors β-lactams (28) [20,21]. The TfOH-catalyzed reaction between β-lactams 28 and arenes 29 produces the desired β-amino aryl ketone derivatives 30 in moderate to high yields (Scheme 2). Meanwhile, no reaction was observed at room temperature using other common catalysts for the Friedel–Crafts acylation, such as AlCl3, methanesulfonic acid (MSA), trifluoroacetic acid (TFA), BF3·OEt2, or SnCl2. Reflux conditions did not produce the desired β-amino aryl ketone compounds; therefore, utilization of TfOH for this reaction at room temperature is preferred.
Scheme 2.
C-Acylation of aromatic derivatives with β-lactams 28 as acyl donors. Reagents and conditions: TfOH (1–2 equiv.), ClCH2CH2Cl, 0 °C to r.t., 15–30 min.
A recent study has reported the use of TfOH for the C-acylation of arenes with twisted amides 31–33 (Figure 4a) [22]. The acylation of benzene 9 with two different types of amide, i.e., benzoyl 2,5-pyrrolidinedione 31 and benzoyl 2,6-piperidinedione 32, had afforded ketone product 34 in good to excellent yields. Different to previous amides-type of acyl donor, β-lactams 28 (Scheme 2), that involved the highly reactive acyl carbonium ion intermediate [21], the acylation of arenes with twisted amides 31–33 occurred exclusively at the endothermic N–CO bond. The high reactivity of the twisted amide bond might be tuned by N–C(O) bond rotation, and selective N-protonation of the amide bond under acidic conditions may enhance the potential for nucleophilic addition (Figure 4b). Therefore, the selection of the acid to promote this reaction is important. For example, acid-catalyzed acylation of benzene 9 with benzoyl 2,6-piperidinedione 32 is more efficient using TfOH, which results in up to 90% yield of ketone product 34 (Figure 4c), than the other tested catalysts, such as HBF4, HCl, TFA, BF3·Et2O, and TiCl4. Moreover, the TfOH catalytic system is also suitable for the acylation of benzene with twisted amides 33, in which the aromatic rings carry various substituents (Figure 4a). The mild condition using TfOH as catalyst is compatible with the wide array of functional groups introduced in twisted amides 33, indicated by up to a 70% yield of ketone product 35.
Figure 4.
(a) C-Acylation of benzene 9 with twisted amides 31–33 as acyl donor; (b) proposed mechanism of Friedel–Crafts acylation of benzene 9 with benzoyl 2,6-piperidinedione 32 by N–C cleavage; (c) comparison of TfOH and other catalysts (HBF4, HCl, TFA, BF3·Et2O, and TiCl4) utilization as catalyst for the C-acylation of benzene 9 with benzoyl 2,6-piperidinedione 32. Reagents and conditions: TfOH (1–3 equiv.), 23 °C, 15 h.
TfOH-catalyzed aromatic acylation using β-lactams as the acyl donors has broadened the application of TfOH as a catalyst for intramolecular C-acylation. The typical Fries rearrangement of N-arylazetidinones 36 can be carried out using TfOH to produce quinolones 37 at excellent yields (Table 1, entry 1). Most protocols for quinoline-4-one synthesis require multistep procedures, a large amount of catalyst, and have low yields [23,24]; to address these limitations, TfOH has been utilized [25]. The rearrangement of trans-3-butadienyl-2-azetidinones 38 resulted in quinoline-4-ones 39 in moderate yields (55%–65%; Table 1, entry 2). Initial protonation of the starting material 38 can lead to the generation of the carbenium ion intermediate, which can undergo the Fries rearrangement and subsequent oxidation to quinoline-4-ones 39. However, using TfOH can simplify the rearrangement process under mild conditions to a one-step procedure.
Table 1.
The Fries rearrangement of various β-lactam derivatives upon intramolecular acylation acyl donors.
In Table 1, the syntheses of 3-spirocycliquinon-4-ones involving intramolecular rearrangement of 3-spirocyclic β-lactam, which are used in the syntheses of important heterocyclic scaffolds, are described. Conditions for this synthesis uses quinolones 40 and 41 which have been optimized by using a combination of 20 mol % TfOH and 30 mol % FeCl3 (Table 1, entries 3 and 4) [26]. Utilization of FeCl3 without a Brønsted acid led to only 9% yield from quinolones 42 and 43, along with unreacted starting material. Due to the lower requisite amount of Brønsted acid and the lower reaction temperature required to effect high selectivity, TfOH is preferable to other acids such as TFA for these reactions.
In 1986, Roberts and Wells first used the TfOH catalytic system in the acylation of electron-rich metallocene and pyrenes using acetic anhydride 44 as an acyl donor (Table 2, entries 1 and 2) [27]. Treatment of excess acetic anhydride 44 (~6 equiv.) with 1 equiv. of TfOH at room temperature improved the acylation of ferrocenes 45 and 46 in comparison with the reaction using approximately 1 equiv. of the conventional catalyst AlCl3 at room temperature [28] or at ~50 °C [29]. This system has been extended for the use of a limited number of possible acylation positions for metallocenes 47 and 48 [30]. Monosubstitution of an acyl group at the two-position (Table 2, entries 3 and 4) occurs with the TfOH catalytic system, in contrast to the disubstitution achieved with AlCl3. Phenyl esters 49 and 50 have also been used as acylating agents for metallocene (45, 46, and 51) and pyrene (52) (Table 2, entries 5–8). The substituted aromatic derivative of phenyl p-methoxybenzoic acid (49), which is more electron-rich than its corresponding phenyl benzoate (50), had higher reactivity in the acylation of both ferrocene 51 and pyrene 52 (Table 2, entries 5 and 8).
Table 2.
TfOH-catalyzed acylation of electron-rich substrates using esters as acyl donors.
The application of functionalized or biologically important acids or their derivatives from the Friedel–Crafts reaction has been carried out by utilizing the so-called active esters. These esters (53 and 54) are readily accessible, stable, and exhibit high electrophilic reactivity toward amino groups. The TfOH system has also been used to catalyze the direct acylation of the electron-rich aromatic rings ferrocene 51 and pyrene 52 using tetrafluorophenyl esters 53 and N-hydroxysuccinimidyl esters 54 [31]. Compounds 53 were found to be less reactive than the N-hydroxysuccinimidyl esters 54 (Table 2, entries 9–12). Despite the use of an excess of these esters, the acylation process was observed to be selective without formation of the diacylated compounds. Nevertheless, acylation using these esters as electron-rich donors seems to be identical with the process induced using TfOH as the catalyst. Another study found that acylation of an electron-rich acceptor using a carboxylic acid requires the combination TfOH and trifluoroacetic anhydride (TFAA) [32]. This study also claimed that efficient acylation had been achieved due to the high reactivity of the electron-rich acceptors (e.g., ferrocene 51 and pyrene 52, which are, respectively, 3.3 × 106 and 220 times more reactive than benzene 9) [33]. When a stochiometric amount of TFAA is reacted with carboxylic acid, the reaction mixture will form acyl trifluoroacetate intermediates. Next, these reactive electrophiles will react with the aromatic compound through a process that usually requires a strong acid (TFA formed in the reaction between carboxylic acid and TFAA may be not sufficiently strong to complete the reaction [32]). Therefore, TfOH is needed in order to accelerate the acylation. Furthermore, the TfOH/TFAA catalytic system can also be applied to a vast number of acylation, such as the acylation of metallocenes with alkynoic acids which results in an acylated product that can undergo the impressive azide-alkyne “click” chemistry [34].
2.2. Use of Neat Reagents and Mild Conditions
The TfOH catalytic system has been of interest because of its two properties that can enhance the reaction’s efficiency: (1) a solvent-free reaction that can be an alternative environment-friendly organic synthetic pathway; (2) a mild conditions, which are advantageous to reactions of valuable heat-sensitive substrates. For many years, the biotin–(strept)avidin system has been widely used for various applications. Biotin is a complex derivative of valeric acid that possesses a high binding affinity to avidin (a protein found in egg white) and streptavidin (a protein found in Streptomyces avidinni) [35]. Previously, mixed anhydride generated in situ from biotin using the TfOH/TFAA catalytic system was reported to react with electron-rich acyl acceptors (ferrocene, ruthenocene, and pyrene) [33]. The selected arenes are very reactive in the Friedel–Crafts acylation, thus providing an opportunity for using biotin in these reactions. At present, our laboratory can use neat TfOH for acylation reaction using acid chloride of biotin 55 as an acyl donor. It is estimated that the high reactivity to acylation, which is the key role in this reaction, is not only due to the reactive skeleton of the acyl acceptor, but also the proper selection of the acyl donor. As a result, the acid chloride of biotin 55 readily reacts with the less-electron-rich acyl acceptor 56, forming acylated product 57 in the presence of neat TfOH (Scheme 3) [36]. From the point of view of fundamental biological activity with the replacement of an avidin specific bound compound, it suggests that aromatic derivatives of acylated biotin have enough biological activity against the biotin skeleton. Furthermore, the resulting aromatic derivatives of acylated biotin can possibly be explored for functional bioanalysis-tag in the future.
Scheme 3.
C-Acylation of aromatic derivatives using acid chloride of biotin 55 as an acyl donor. Reagents and conditions: TfOH (>50 equiv.), −40 to 100 °C, ~1 h.
The development of an efficient intramolecular Friedel–Crafts reaction of 1-(2-isocyanatoethyl)benzene derivatives 58 using TfOH as catalyst (Scheme 4) [37] demonstrates the vast applications of the catalytic system based on neat TfOH. In contrast to neat TfOH utilization, other catalysts such as AlCl3, ZnCl2, TiCl4, or sulfuric acid require the use of an organic solvent for this intramolecular reaction. The high temperatures and reflux conditions needed for these catalysts still result in the low yield of the desired product 59 and require a long reaction time. In fact, under certain conditions, the AlCl3 and ZnCl2 catalytic systems do not lead to the desired product 59.
Scheme 4.
Intramolecular Friedel–Crafts reaction of 1-(2-iso-cyanatoethyl)benzene derivatives 58. Reagents and conditions: TfOH (>10 equiv.), 100 °C, 1–2 h.
Metal triflates can promote the acylation of benzene, chlorobenzene or fluorobenzene using benzoyl chloride [38] and alcohol using benzoic anhydride [39]. This reaction is known to be catalyzed mainly by TfOH (either added or released at the onset of the reactions); therefore, a metal-free reaction system utilizing neat TfOH is still of interest. The synthesis of aryl keto α-amino acids through straightforward and convenient methods has attracted more attention [12] because these compounds are convenient intermediates that can be directly converted into the desired α-amino acids. C-acylation involving the aromatic compounds and side chains of carboxylic derivatives is a potential pathway for the synthesis of aryl keto α-amino acids that obviates the requirement of special reagents or precursors. This reaction may also be used for the asymmetric synthesis of α-amino acids. Therefore, due to these purposes, aspartic acid derivatives have become popular acyl donors and have been well studied.
Homophenylalanine or bis-homophenylalanine, which differ in the addition of methylene or ethylene in the side chain of phenylalanine, is a functional biomolecule and the asymmetric synthesis of both compounds is important. One of the potential skeletons used in the synthesis of aryl keto α-amino acids is formed by using aspartic anhydride 60, which can undergo direct C-acylation to arenes 61 under Friedel–Crafts conditions. When AlCl3 was used as the catalyst for the acylation of aspartic anhydrides with arenes, common organic solvents such as CH2Cl2 [40,41] or MeNO2 [41,42] were used under reflux for extended periods. When organic solvent was eliminated, arenes in excess amount were used because of their low solubility to solve some aspartic acid derivatives. For example, >50 equiv. of arenes 61 is needed to react with aspartic anhydride 60 (Scheme 5a) in order to produce aryl ketone 62 or 63 (wherein the ratio depends on the type of aspartic anhydride derivative used in the reaction) [43,44]. Maintaining the ratio of aspartic anhydride 60b to 9 at a 1:1 ratio, as well as using AlCl3 in CH2Cl2 for 12 h have also been shown to cause no reaction and the acyl donor remained precipitated. This result implies that the full dissolution of this system is essential and an excess amount of arenes is required for the reaction. Similarly, no reaction was observed when the conventional catalyst AlCl3 was replaced with TiCl4, sulfuric acid, or trifluoromethanesulfonic anhydride (Tf2O) [45].
Scheme 5.
C-Acylation of aromatic derivatives with aspartic acid derivatives 60 catalyzed by (a) conventional catalyst of AlCl3; (b) neat TfOH under mild conditions. C-Acylation of aromatic derivatives also can undergo with (c) aspartic acid derivative 66a and glutamic acid derivative 66b catalyzed by neat TfOH under mild conditions. Reagents and conditions: (i) AlCl3 (2.5–3 equiv.), 0 °C to r.t. or 50 °C, 3–72 h [43,44]; (ii) TfOH (>40 equiv.), 0 °C or r.t., 1 h [45,46].
In contrast to other catalysts for the Friedel–Crafts acylation, TfOH can behave both as a catalyst and solvent because of its high dissolving capacity [12]. Aspartic anhydride derivatives 60b (1 equiv.) can dissolve well in TfOH, and the resulting homogenous system allows fast reaction with benzene 9 (1 equiv.), thus forming 64 (major product) or 65 within only an hour (Scheme 5b). Moreover, both aspartic acid derivative 66a [45] and glutamic acid derivative 66b [46] are also potential acyl donors for direct C-acylation for the synthesis of homophenylalanine or bis-homophenylalanine. Neat TfOH can catalyze acylation of the aromatic derivatives 67 by the acyl donors 66 (Scheme 5c) with a good yield of acylated product 68 and a relatively short reaction time. Furthermore, this reaction is environmentally friendly since it does not use excess reagent. In the homogeneous reaction system, acyl donors 66 can undergo acylation smoothly without any hydrolysis and retain its enantiomer skeleton even after the reaction. TfOH acts as a catalyst and solvent, thus enhancing the effectiveness and efficiency of synthesis of the aryl keto α-amino acids by direct C-acylation.
Photoaffinity labeling is a useful biochemical technique for investigating the structural and functional relationships between small biologically active compounds and biomolecules such as proteins (enzymes), RNA, and DNA [47,48]. In recent years, our laboratory has developed various photophores such as phenylazide, phenyldiazirine, and benzophenone for use in this type of analysis. One of these potential photophores is directly constructed from the benzophenone moiety on phenylalanine using a Friedel–Crafts reaction. Due to the low solubility of phenylalanine derivatives in organic solvents for direct C-acylation [49], neat TfOH was used [50]. The neat TfOH catalytic system enabled the direct construction of a benzophenone moiety on optically pure phenylalanine via stereocontrolled Friedel–Crafts acylation (Scheme 6a). When benzoyl chloride 6 and phenylalanine derivatives 69a were used for the reaction system, a complex reaction mixture was observed with a low yield of the desired product 70a. When N-protected phenylalanine 69b was used to suppress any competing reactions, it was found to increase the product yield without any optical loss (up to 40% yield of 70b was achieved with 98% ee). Here, benzoic anhydride [51] can also be used for the production of benzophenone derivatives via direct C-acylation. Reaction of this compound with N-protected phenethylamine using neat TfOH resulted in a good yield (86%) at room temperature.
Scheme 6.
TfOH-catalyzed Friedel–Crafts acylation for introducing photoreactive moiety of (a) benzophenone; (b) (3-trifluoromethyl)phenyldiazirinyl (TPD); (c) benzophenone containing TPD on optically pure phenylalanine under mild conditions. Reagents and conditions: (i) TfOH (>50 equiv.), r.t. or 60–80 °C, 1–2 h or 10–12 h; (ii) TfOH (>25 equiv.), 0 °C or 0 °C to r.t., 2–3 h.
The use of the (3-trifluoromethyl)phenyldiazirinyl (TPD) group as a photoreactive group in photoaffinity labeling confers selectivity for probe activation without damaging the peptides and proteins under radiation of 350 nm wavelength [48,52,53]. The strategy for the synthesis of homophenylalanine or bis-homophenylalanine containing TPD moiety starts with the introduction of a TPD moiety in anisole 71 into an aspartic acid analogue 66a [48] or a glutamic acid analogue 66b [46] (Scheme 6b). In this reaction, high temperatures can result in the decomposition of the starting material 71 due to the thermolability of TPD under strongly acidic conditions [50,54]. A temperature of 0 °C is optimal for synthesis using these valuable heat-sensitive aromatic compounds. Furthermore, the reaction between 71 and 66a did not proceed when neat TiCl4 was used, whereas utilization of TfOH afforded the acylated product 72a up to a 68% yield. The acylated products 72 are intermediates that can be reduced and deprotected to produce the photoaffinity labeling probes based on homophenylalanine or bis-homophenylalanine derivatives. The mild conditions offered by TfOH catalysis can also be applied to construct not only one, but also two kinds of photophores to introduce in one probe. The strategy for this synthesis is the direct acylation of benzoyl chloride containing TPD 73 and N-protected phenylalanine 69b at room temperature (Scheme 6c). Enhancement of this reaction was evidenced by no decomposition of the diazirine moiety (product 74); and no loss of optical purity was observed after the deprotection of product 74 by NaOH (99% ee).
2.3. Forced Conditions
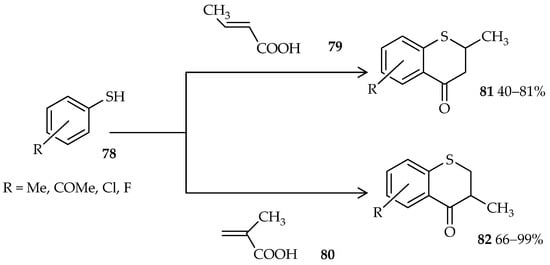
A bifunctional substrate for both the acylation and alkylation of aromatic compounds draws a lot of attention for the proposes of useful cyclic aromatic ketones formation [55]. The process, known as cyclic acylalkylation, can be formed by the TfOH catalytic system under forced conditions. A high temperature and excess catalyst suppresses the competitive intermolecular reaction to make the cyclization possible. The reaction between aromatics 75 with unsaturated carboxylic acids 76 catalyzed by TfOH has been found to produce 1-indanone (n = 0) or 1-tetralone (n = 1) forms of 77 (Scheme 7) [55]. The high temperature (at 80 °C) contributes to the induction of the cyclic acylalkylation in this reaction. In comparison, a low temperature (at 20 °C) favors the multiple terminals acylation of the alkyne moiety and carboxylic moiety of unsaturated carboxylic acid 76. Moreover, thiochroman-4-ones, which are valuable synthons and important precursors in organic syntheses, are generally synthesized via a multistep reaction; a one-pot approach was uncovered through the use of TfOH [56]. One-pot cyclic acylalkylation of thiophenols 78 and crotonic or methacrylic acid (79 or 80) under microwave irradiation and in the presence of excess TfOH gives good yields of thiochroman-4-ones 81 and 82 (Scheme 8).
Scheme 7.
TfOH-catalyzed cyclic acylalkylation of aromatic derivatives (75) and alkenyl carboxylic acid derivatives (76) under forced conditions. Reagents and conditions: TfOH (~5 equiv.), CH2Cl2 or ClCH2CH2Cl, 80 °C, 16–20 h.
Scheme 8.
TfOH-catalyzed cyclic acylalkylation of thiophenols (78) and crotonic or methacrylic acid (79 or 80) under forced conditions. Reagents and conditions: TfOH (~10 equiv.), CH2Cl2, Microwave (MW), 110–155 °C, 5 min.
3. General Features of the TfOH Catalytic Systems for O-Acylation
Esterification, ester condensation, or so-called O-acylation feature is clearly identified as the general utilization of carboxylic acids and alcohols that are usually activated by Brønsted acids. Thus, esterifications do not require superacid catalysis [9]. Indeed, typical superacids have been studied and observed as convenient catalyst which can improve the method for direct esterification, without any changes of catalytic activity even for prolonged reaction times [9,57]. This characteristic has thus led to an interest in the use of TfOH as a catalyst for O-acylation.
Rotaxanes are molecules composed of a linear dumbbell-shaped substituent flanked by one or more macrocycles. For many years, chemists have been intrigued by the challenge of synthesizing these mechanically interlocked molecules; traditional synthetic methods can only produce poor yields of rotaxanes [58]. The selective O-acylation of diethanolamine 83 by aromatic acid anhydride 84 was carried out in the presence of 1.5 equiv. of TfOH and dibenzo-24-crown-8 to afford [2]rotaxane 85 at 0 °C (Scheme 9). The use of TFA and MSA did not allow the formation of 85 and only formed the esterification product from starting material 83. Relative to the acidity of other catalysts, TfOH is sufficient for the protection of the amino group via protonation and esterification. Thus, the TfOH catalytic system enables high production yields of 85 at low temperature [59].
Scheme 9.
Selective TfOH-catalyzed O-acylation of diethanolamine 83 for the synthesis of [2]rotaxane 85. Reagents and conditions: TfOH (1.5 equiv.), dibenzo-24-crown-8, CH2Cl2, 0 °C, 6 h.
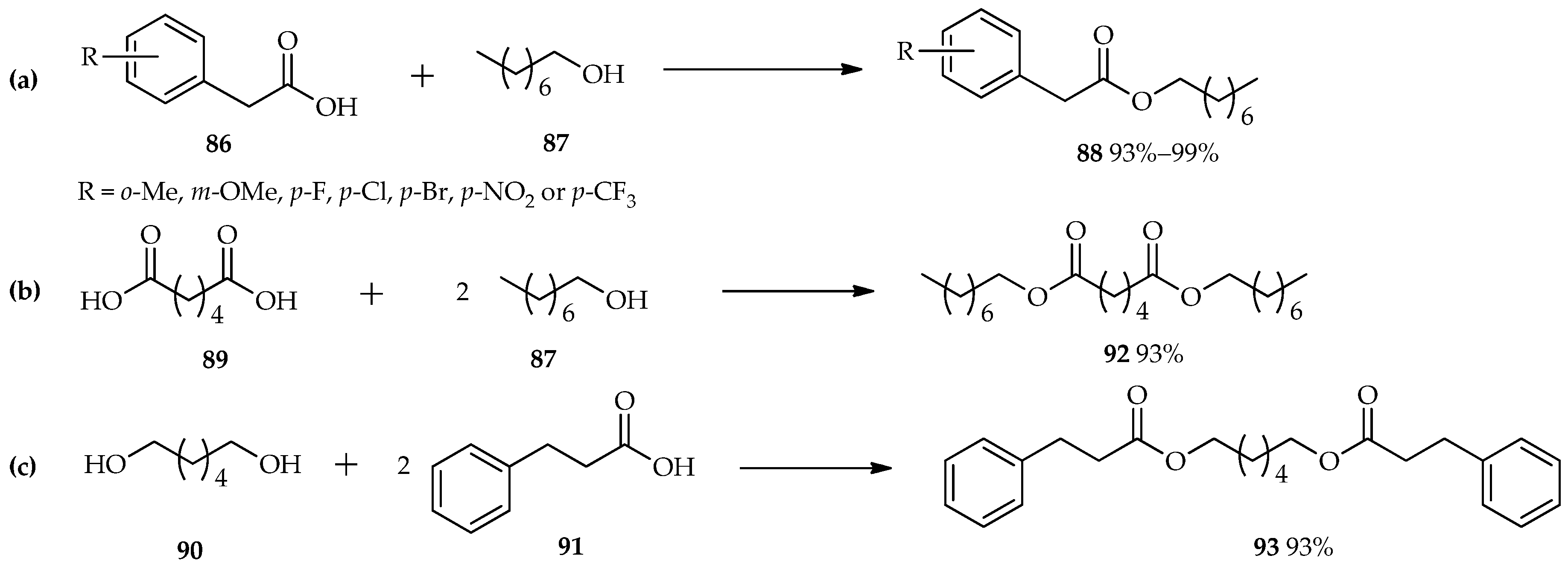
TfOH as an efficient catalyst in the esterification reaction was also studied by Shibata et al. [60]. Reactions between various benzoic acid derivatives (86) and octan-1-ol (87) were carried out using a catalytic amount of TfOH in 1,1,1,3,3-pentafluorobutane as a solvent. The unique properties of TfOH make it a more active catalyst than sulfonic acid; thus, 0.2 mol % of TfOH is sufficient for the excellent conversion of the reactants to 88 (Scheme 10a). This condition is also suitable for the O-acylation of either the diacid 89 with an alcohol 87 (Scheme 10b), or the diol 90 with carboxylic acid 91 (Scheme 10c). Both of these reactants were converted to their diesters, 92 or 93, respectively, with excellent yields without the need for extended reaction times.
Scheme 10.
TfOH-catalyzed ester condensation of (a) benzoic acid derivatives 86 and octan-1-ol 87; (b) diacid 89 and alcohol 87; (c) diol 90 and carboxylic acid 91. Reagents and conditions: TfOH (0.2 mol %), 1,1,1,3,3-pentafluorobutane, 80 °C, 18 h.
4. Special Features of TfOH in Selective C- and/or O-Acylations
C- and/or O-acylations using various substrates naturally depend on the acyl donor and acceptor used. Both reactions can be controlled by changing the reaction temperature, which is inherently related to the reaction time. The catalyst, and sometimes the solvent, also plays an important role in these reactions. One of the unique characteristics of TfOH as a catalyst is that conditions for TfOH-catalyzed acylation may be determined and adjusted to increase the reaction’s selectivity. Denoting into this term, it can be mentioned as a “special” catalytic feature of TfOH. For example, TfOH can be used in the transacylation and deacylation between several types of hindered acetophenones and anisole 1 at 70 °C in the presence of imidazolium-based ionic liquids [61]. The high yield conversion (>98% for one moiety of acyl group in hindered acetophenones), high selectivity, minimal side reactions, and the obviated use of excess TfOH illustrate its superiority over other acids utilized in these reactions.
The selective intramolecular cyclic acylation of the 2-arylphenoxyacetic acid 94, which contains two phenyl ring moieties (which are denoted as rings A and B, Figure 5) [62], is another unique characteristic of the TfOH catalytic system. Cyclic acylation of the carboxylic moiety of 94 into ring A to form arylcoumaranone 95 or ring B to form dibenzoxepine 96 can be controlled (Figure 5). Under the action of the strong acid TfOH, the intermediate of mixed anhydride with 94 can form and then further transformed into an ionic intermediate by removing the possible leaving group as –OTf. This ionic intermediate exhibits the less steric hindrance; therefore, the formation of 95 or 96 is achievable, depending upon the conditions. A low temperature is preferred for the selective formation of 95 (Figure 5a) using a similar amount of TfOH (30 equiv.) added dropwise. Meanwhile, under the same temperature, utilization of a low amount of TfOH (10 equiv.) can result in the formation of 96 (Figure 5b).
Figure 5.
Intramolecular cyclic acylation of 2-arylphenoxyacetic acid 94. Dependence of 95 and 96 formation on (a) temperature and (b) number of equivalents of TfOH. Data from [62].
The derivatization of O- and C-arylglycoside is hampered by the low solubility of the unprotected aromatic glycosides in the reaction medium and the competitive deglycosidation under acidic conditions for O-glycosides. TfOH was found to easily dissolve the carbohydrates without causing their decomposition. The low solubility of unprotected aromatic glycosides can be overcome by using TfOH as a Friedel–Crafts acylation promoter. This technique can be extended to other reactions such as direct acylation of O- and C-arylglycosides. The Friedel–Crafts acylation of the aromatic moiety and O-acylation of the glucose moiety of aryl glycoside is dependent upon the proportion of TfOH used [63]. The reaction of phenyl-β-d-glucoside 97 with acetyl chloride 98 in the presence of excess TfOH (16 equiv.) can result in the production of 98 with good yield (Scheme 11). In this case, the excess TfOH promotes not only the Friedel–Crafts acylation of the aromatic moiety, but also the O-acylation of the glucose moiety. Treatment of 97 with 1.6 equiv. of TfOH, produces only the per-O-acetylated compound 100, indicating that the O-acylation is faster than the Friedel–Crafts acylation. This result is supported by the re-treatment of 100 with a large amount of TfOH, which afforded an ~90% yield of the Friedel–Crafts product 99.
Scheme 11.
Dependence of the proportion of TfOH on C- and/or O-acylations of phenyl-β-d-glucoside 97. Reagents and conditions: Acetyl chloride 98 (solvent), 0 °C, 10 min.
The Friedel–Crafts C-acylation of phenol derivatives and acetyl agents and the Fries rearrangement of phenyl ester derivatives via an appropriate catalyst are useful approaches to the synthesis of o- or p-hydroxyaryl ketones [1,2]. In these reactions, TfOH may act as both catalyst and solvent, resulting in high efficiencies of these reactions. When phenol 101 was reacted with 1 equiv. of acetyl chloride 98 using an excess of neat TfOH (>30 mmol), p-hydroxyphenyl ketone 102 was formed (Scheme 12a) [64]. Despite the reaction being conducted at room temperature, the reaction was relatively fast and had excellent yield. Under the same conditions, neat TfOH can also be used in the Fries rearrangement of phenyl acetate 2 to produce p-hydroxyphenyl ketone 102 (Scheme 12b). In contrast to the conventional Fries rearrangement, which usually involves heating the reaction mixture to 80–180 °C [2], the Fries rearrangement of phenyl acetate 2 occurs at room temperature under the mild conditions offered by TfOH. The appropriate conditions for catalysis using neat TfOH can also be applied to direct C-acylation of acyl chlorides having various side chains to phenol derivatives. Their application to the Fries rearrangement of various phenyl carboxylate derivatives also results in high yield.
Scheme 12.
Controllable TfOH-catalyzed C- and O-acylations of phenol 101. Under neat TfOH, phenol 101 can undergo (a) C-acylation and phenyl acetate 2 can undergo (b) Fries rearrangement. Meanwhile, under limited proportion of TfOH, phenol 101 can undergo (c) O-acylations. Reagents and conditions: (i) Neat TfOH (3 mL), 1 equiv. acetyl chloride 98, r.t., 1 h; (ii) 1% TfOH (in CH3CN), 3 equiv. acetyl chloride 98, r.t., 1 h.
The mixed carboxylic trifluoromethanesulfonic anhydride is formed from the reaction of TfOH with acyl chloride [65] or carboxylic acid [66,67]. It is known as an extremely powerful acylating agent [65,67]; its reaction with toluene is highly selective when a bulky side chain is used [67]. The TfOH catalytic system for acylation of m-cresol 103 using either acetyl chloride 98 (Scheme 13a) or acetic acid 104 (Scheme 13b) has been found to have similar yields of the isomeric products (105a/105b ratio of 1.4–2:1) [64]. This result indicates that the acylation of phenolic compounds with either acetyl chloride 98 or acetic acid 104 have the same active species that plays an important role in exceeding the reaction. When m-tolyl acetate 106 was reacted with TfOH (Scheme 13c), both the Fries rearrangement and hydrolysis were observed. Even though the Fries rearrangement of 106 was reported to be faster than the reaction of m-cresol 103 and acetic acid 98 in an hour, after 16 h reaction at room temperature the yield of the products was almost the same. These results indicate competition between the Fries rearrangement and hydrolysis of m-tolyl acetate 106. However, the hydrolyzed acyl donor again underwent a Friedel–Crafts type reaction with m-cresol 103 over an extended period [64].
Scheme 13.
TfOH-catalyzed synthesis of hydroxyaryl ketone from acylation of (a) m-cresol 103 with acetyl chloride 98; (b) m-cresol 103 with acetic acid 104; and (c) Fries rearrangement of m-tolyl acetate 106. Reagents and conditions: Neat TfOH (3 mL), r.t., 16 h.
When phenol derivatives were reacted with a selected acyl donor using a catalyst, direct C-acylation was achieved and the O-acylation for the formation of phenyl ester derivatives was also observed (Scheme 12). A catalytic amount of TfOH in CH3CN (1%) used in the room-temperature reaction between phenol 101 and acetyl chloride 98 afforded phenyl acetate 2 in excellent yields (Scheme 12c) [64]. Increasing the proportion of acetyl chloride 98 (3 equiv.) resulted in a quantitative yield of phenyl acetate 2. A high proportion of the acylating agent was utilized to prevent other reactions when the available TfOH in the reaction system was very low. The interaction between CH3CN, which also functions as a solvent, and TfOH has already been studied and a wide variety of complicated structures that can be formed according to the ratio of the two compounds are known [68]. A previous study suggested that an excess amount of neat TfOH, acting as both catalyst and solvent, can catalyze the direct C-acylation of phenol 101 with acetyl chloride 98. This study showed that the unique properties of TfOH, which depends on its proportion, affects the phenol 101 acylation process and can be controlled for C- or O-acylated product synthesis [64]. However, O-acylated product of phenyl acetate 2 is also can be followed by the Fries rearrangement to p-hydroxyaryl ketones, which are known as useful reactants and/or intermediates for the manufacture of agrochemicals and pharmaceuticals.
Direct C-acylation of naphthol 107 with acetyl chloride 98 and acetic acid 104, as well as the Fries rearrangement of naphtyl acetate 108 can be conducted by using the TfOH catalytic system (Table 3). Kobayashi et al. [69] reported that the direct acylation of naphthol 107 required the use of 20% TfOH in a toluene–nitromethane (6.7:1) solution and a temperature of 100 °C (Table 3, entry 1). As mentioned above, catalysis by 1% TfOH in CH3CN at room temperature produces product 108 (Table 3, entry 2). In a study of thermodynamic analysis of phenol 101 acylation with acetic acid 104 by Sobrinho et al. [70], they found that temperature played an important role in determining the acylation product; phenyl acetate 2 is favored over hydroxyphenyl ketone derivatives at high temperature (>800 K). The product distribution was also very clear in which ~100% formation of hydroxyphenyl ketone derivatives were selective when the temperature was up to 800 K. Therefore, when the utilization of a limited proportion of TfOH was applied to naphthol 107 at a high temperature, the two parallel pathways that resulted in the production of hydroxyaryl ketones [71,72] might be pursued (the solvent effect, however, is not discussed here). First is the direct C-acylation of phenolic compound. Second is the O-acylation of phenolic compounds, which form the ester as an intermediate, and directly transform to hydroxyaryl ketones via the Fries rearrangement. Neat TfOH can also smoothly catalyze the direct C-acylation of naphthol 107 and the Fries rearrangement of 108, which affords good yields of the two isomers 109 and 110 (Table 3, entries 3 and 4). In summary, the controllability of TfOH catalysis in direct C- and/or O-acylations can be exploited to obtain the desired aromatic products from thermolabile substrates, an approach that would be of interest for further study.
Table 3.
C- and/or O-acylations of naphthol 107 and the Fries arrangement of naphthol acetate 108.
The applications of controlled TfOH-catalyzed C- and/or O-acylations of phenol 101 are showed in Scheme 14 [64,73]. In a previous section, the use of neat TfOH under mild conditions in the acylation of aromatic derivatives using acylating agent 66 (Scheme 5c) is discussed. When 1 equiv. of acylating agent 66 is reacted with phenol 101 under neat TfOH at room temperature, the C-acylation product, benzyl carbonyl derivative 111, is observed in good yield. The Fries rearrangement step can also be conducted from the phenyl ester 112 by the use of neat TfOH to produce two C-acylated isomers 111 (o- or p-position with ratio of 1.4:1 for compound 111a and 9:1 for compound 111b). O-acylation can be proceeded in the reaction between 3 equiv. of acylating agent 66 and phenol 101 by using diluted TfOH in CH3CN (3%–5%) at room temperature, producing the phenyl ester 112 in good yield. The O-acylation product can also undergo the Fries arrangement to the regioisomers 111, with isolation yields and proportions identical to those of the direct Friedel–Crafts C-acylation products. Compound 111 can then undergo reduction and deprotonation to optically pure multifunctional products, homophenylalanine or bis-homophenylalanine derivatives (>99% ee), which can be used for further analytical studies. Hence, the TfOH catalytic system has a number of functions, acting not only as a catalyst but also as a solvent. Furthermore, it can be controlled for the desired C- and/or O-acylations products synthesis.
Scheme 14.
Controllable C- and/or O-acylations of phenol 101 catalyzed by TfOH. Reagents and conditions: (i) neat TfOH, r.t., 1 h; (ii) neat TfOH, r.t., 2 h or 16 h; (iii) 3%–5% TfOH (in CH3CN), r.t., 30 min or 1 h.
5. Multifunctional Features of Deuterated TfOH (TfOD)
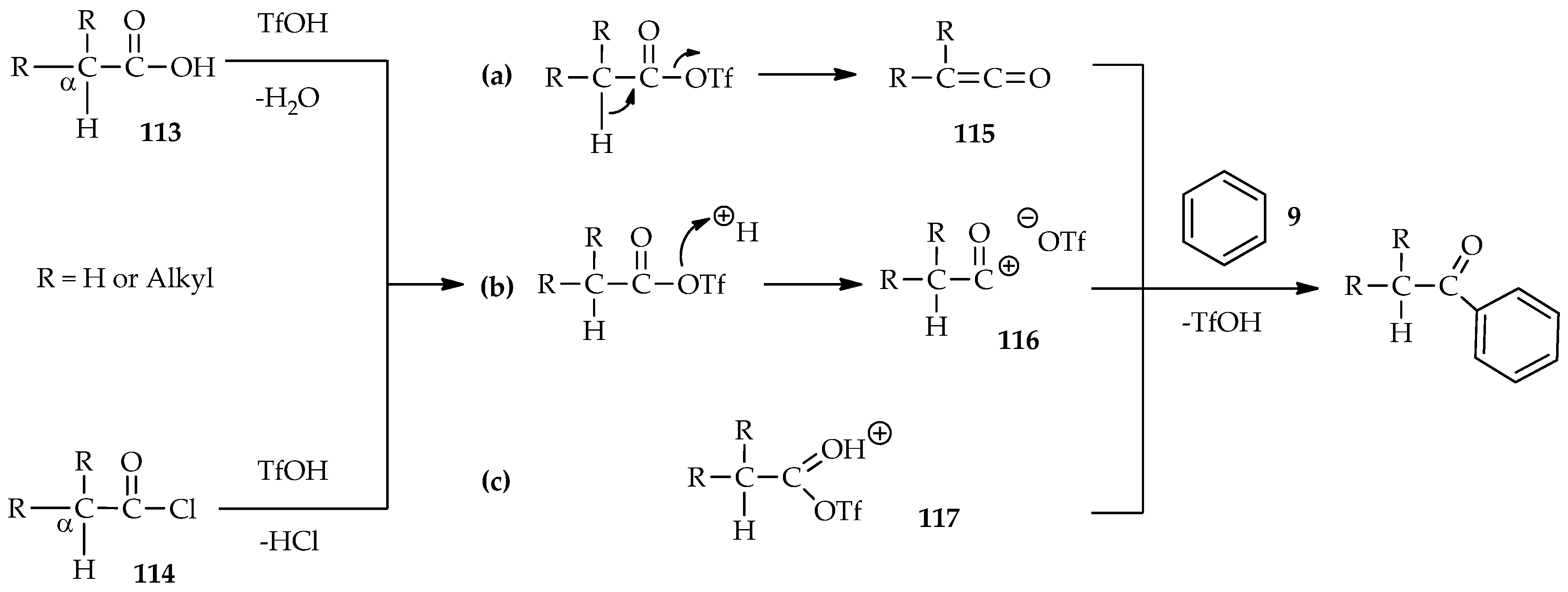
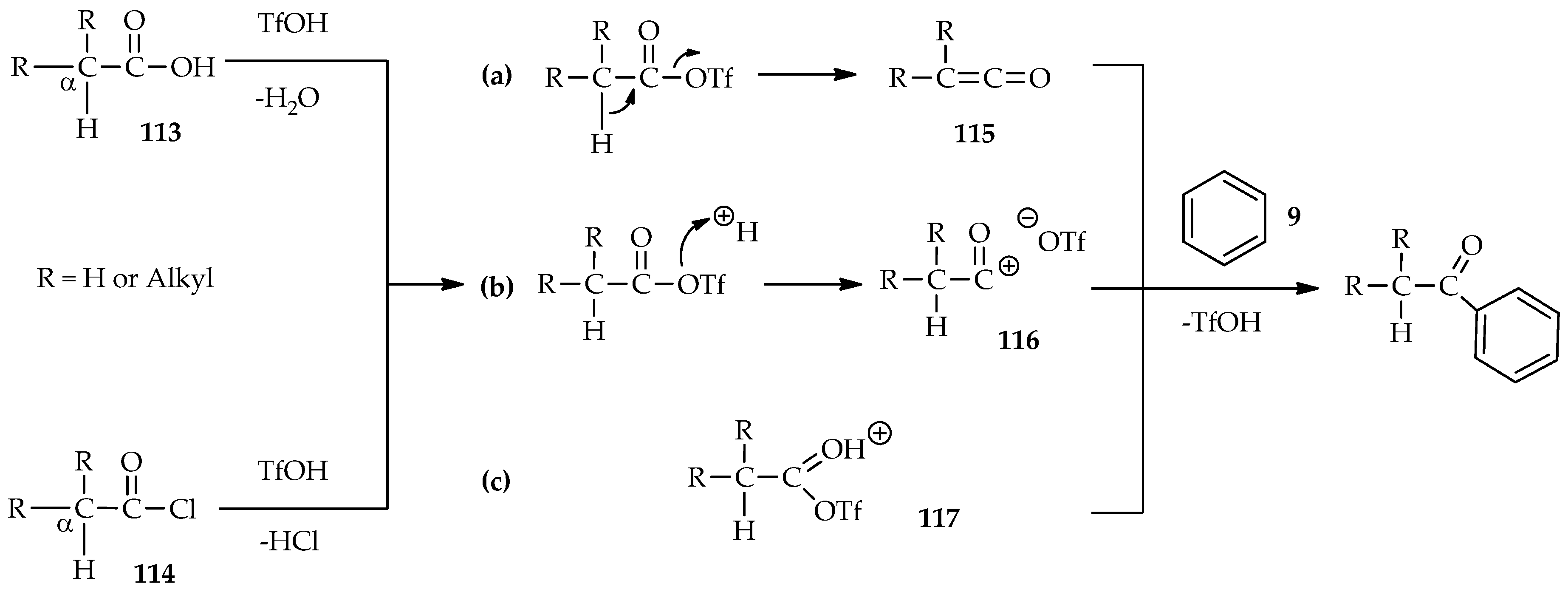
Even though catalytic amounts of TfOH are known to enable selective O- and/or C-acylation in organic solvents, the solubility of some substrates such as amino acids, which was previously mentioned above, should be taken into consideration. Selection of suitable conditions for these reactions is necessary, especially the reactions for optically active amino acids. Several plausible routes using various active species [65,66,67] for aromatic acylation exist (Scheme 15). The mixed carboxylic trifluoromethanesulfonic anhydride may be obtained by treatment of TfOH with acyl chloride [65] or carboxylic acid [66,67]. The acylation pathway for an acyl donor in the form of alkyl carboxylic acid 113 or acyl chloride 114 can produce several species. When mixed, carboxylic trifluoromethanesulfonic anhydride is deprotonated and ketene 115 may be formed (Scheme 15a). Next, if no proton is eliminated during the process, the dissociated acyl carbonium ion 116 seems more reliably formed. (Scheme 15b). Another possible species is the protonated carbonyl of the mixed anhydride 117 (Scheme 15c), in which the detailed spectroscopy has been studied. Ascertaining which intermediate has formed is a crucial step in preventing the formation of a racemic adduct during acylation. One of the advantages of TfOH potential features are the 2H-labelling experiments by using deuterated TfOH (TfOD). The use of TfOD as a catalyst, solvent, and source of deuterium in hydrogen/deuterium (H/D) exchange in the direct C-acylation of aromatic substrates provides insight into the mechanisms of these reactions. Deuterium incorporation at the α-proton of carbonyl during TfOD-catalyzed reaction between acyl donor and substrate indicates the formation of the intermediate ketene 115. Otherwise, non-deuterium incorporation at the α-proton of carbonyl indicates formation of either the acyl cabonium ion 116 or protonated carbonyl of mixed anhydride 117.
Scheme 15.
Plausible acylation routes of benzene 9 with alkyl carboxylic acid 113 or acyl chloride 114 via formation of (a) ketene 115; (b) acyl carbonium ion 116; or (c) protonated carbonyl of anhydride mixture 117.
TfOD catalysis of the direct C-acylation of toluene 118 and glutamic acid derivatives 66b has been previously established (Scheme 16) [74]. The deuterium incorporation was observed only on the aromatic protons (68%–75% deuterium incorporation) at a fine yield (94%) of the acylated product 119. The active species in the typical Friedel–Crafts acylation/electrophilic aromatic substitution is very important, especially the N-alkylated α-amino acids that behave as acyl donors. If the deprotonation of the α-proton of the carbonyl favors ketene species 115 (Scheme 15a), racemization can occur because of the loss of optical purity of the α-amino acid. Experiments for elucidating reaction mechanisms using catalysis by TfOD have revealed intramolecular cyclization of methyl-cyano-3-arylpropionate and non-deuterium incorporation of the α-proton of the recovered starting material was observed [75]. These findings suggest that acid-catalyzed deprotonation of the α-proton of methyl-cyano-3-arylpropionate does not reach equilibrium even under strongly acidic conditions. In conclusion, in the reaction process, the exclusion of the loss α-proton is feasible. A similar tendency has also been observed in the intramolecular cyclization of 3-nitro-3-phenylpropionate, which found no contribution of proton elimination during the reaction [76]. In the TfOD-catalyzed acylation of toluene 118 with glutamic acid derivatives 66b, the deuterium incorporation occurred only at aromatic protons, indicating the absence of α-proton deprotonation and that formation of ketene 115 formations was not possible.
Scheme 16.
TfOD-catalyzed C-acylation of toluene 118 and glutamic acid derivatives 66b. Reagents and conditions: TfOD, r.t., 1 h.
H/D exchange methods can generally be divided into those utilizing D2O as the deuterium source, those involving the addition of an acid or base, and those using metal-promoted H/D exchange. Commonly, heterogeneous catalytic systems are frequently used under harsh conditions and followed by dehalogenation, hydrogenation, hydrolysis, as well as epimerization and racemization [77,78]. Since a homogenous system is preferable in H/D exchange, especially in the case of optically active amino acids, the organic solvent must consider no observation of amino acid racemization during the reaction. A study that used a D2O/D2SO4 system found that conditions will lead to either partial or complete racemization of phenylalanine H/D exchange, which is indicated by the exchange of α-protons [79]. Deuterated TFA (TFA-d) is appropriate for slow H/D exchange [80], but its application to aromatic amides and amines [81] is less effective for more electron-poor substrates such as acetophenone and its derivatives [82]. In Scheme 17, a comparison can be made between phenylalanine 120 and tyrosine 121 treated with TFA-d [82] and TfOD [74,83]. It shows that the aromatic proton deuterium incorporation is generally larger when TfOD is used. Thus, the absence of α-proton exchange with TfOD indicates no loss of optical purity of amino acids. On the basis of the time dependence of H/D exchange using TfOD as monitored by mass spectroscopy, the favored sites for H/D exchange can be summarized as the o-position with respect to the hydroxyl group on tyrosine > the hydrogen atoms of phenylalanine > the m-position with respect to the hydroxyl group on tyrosine.
Scheme 17.
H/D exchange in phenylalanine 120, tyrosine 121, and phenylalanine derivatives containing TPD (122). Numbers in brackets give the percentage of deuterium in the side chain sites. Reagents and conditions: (i) TFA-d, 110 °C 16 h, [82]; (ii) TfOD, r.t., 1 h or 12 h [74,83]; (iii) TfOD, 0 °C, 5 h [83].
As mentioned previously, TfOH can be used in mild reaction conditions for C-acylation synthesis of probes containing valuable heat-sensitive photophores for photoaffinity labeling (Scheme 6). TfOD was thus also used in H/D exchange for aromatic amino acids or peptides containing photophores. The special feature utility of TfOD under mild conditions for H/D exchange of phenylalanine derivatives containing photophores has been established [83]. In this system, the phenylalanine derivative containing TPD (122; Scheme 17) can dissolve well in TfOD, and the low temperature allows H/D exchange of these valuable heat-sensitive photophores. The selective aromatic-protons deuterium incorporation by TfOD in the synthesis of other important photophores based on benzophenone derivatives via direct C-acylation of an aromatic substrate and benzoyl chloride has also been studied [84]. Fast H/D exchanges that occur only on the aromatic protons of the substrate is proposed from the exclusion of benzyl carbonium ion formation from benzoyl chloride. Intramolecular H/D exchanges between benzene and TfOD via 1,2-hydride shifts, that have been previously studied, are known to occur rapidly at room temperature [85]. However, aromatic-protons H/D exchange on the substrates containing photophores can contribute to comprehensive photoaffinity labeling studies in the future.
H/D exchange can be used not only in investigations of reaction mechanisms, but also for selective protonation/deuteration, which can greatly simplify the spectra of even the largest protein moieties [86]. Several simple exchange techniques for the selective deuteration of aromatic amino acids have been developed [79,86,87], yet α-amino acids are known to interfere in these methods because of their solubility in many organic solvents [83,88,89]. The substrate solubility in the homogenous catalytic system for H/D exchanges influences the rate of hydride transfer between the substrate and its deuterated derivative, which can be analyzed from isotopolog distributions obtained by mass spectroscopy. For example, the low solubility of isobutene in D2SO4 can limit hydride transfer to the gas–liquid interface. Thus, the cation solvated in the acid has a long residence time, which undergoes repeated deprotonation and reprotonation, in turn leading to fast H/D exchange before hydride transfer. In contrast, the solubility of isobutane in TfOD is much higher; as a result, hydride transfer may occur in the liquid phase [90] and result in fast H/D exchange. This example is in agreement with the high dissolving capacity of TfOH [12]. Therefore, TfOD can be used to dissolve most α-amino acid derivatives and H/D exchange study can be broadened into peptides utilization.
According to Wishart et al. [86], there are several criteria that must be fulfilled for improving the selectivity of deuteration of aromatic amino acids. First, the solubility of very hydrophobic amino acids must be enhanced in order to increase their labeling efficiency. Second, the labeling efficiency must not be lost and amino acid decomposition must not occur. Third, the methodological improvements should make large-scale protonation and deuteration of aromatic amino acids accessible and affordable to any well-equipped biochemistry laboratory, and finally, the method must provide significant savings in time and contribute to greater laboratory safety. The simple, safe, and high product yield of this process, as well as its ability to produce non-racemic deuterated amino acids, can be achieved because of the unique properties of TfOD as discussed above. Rapid room-temperature H/D exchange with peptides without any stereochemical changes has been achieved by controlling the amount of TfOD [74]. Leucine enkephalin 123 (Tyr-Gly-Gly-Phe-Leu/YGGFL) is a pentapeptide with two aromatic rings (tyrosine and phenylalanine; Scheme 18) that has been studied by mass spectrometry [91,92]. Leucine enkephalin 123 has been previously shown to undergo H/D exchange with ND3 [93] in the gas phase [94]. Additionally, a homogenous system may be obtained using TfOD (as shown by mass spectrometry and nuclear magnetic resonance (NMR) spectroscopy). In this system, leucine enkephalin 123 can dissolve well in TfOD even at low temperatures. Within 9 h at room temperature, four and five exchanges sites were observed. Characterizations of deuterated leucine-enkephalin 123 via digestion with chymotrypsin have shown that the favored H/D exchange sites in the order of most to least favorable are as follows: the 3-position of tyrosine > phenylalanine > 2-position of tyrosine (Scheme 18). TfOD catalytic systems may also be utilized in the development of H/D exchange methods, which may extend the application of H/D exchange to a vast range of substrates, including compounds that are valuable, heat-sensitive, and sparingly soluble in many organic solvents.
Scheme 18.
TfOD-catalyzed H/D exchange with leucine enkephalin (Tyr-Gly-Gly-Phe-Leu, YGGFL) 123 and its characterization by digestion with chymotrypsin. Reagents and conditions: (i) TfOD, r.t., 9 h; (ii) chymotrypsin [71].
6. Conclusions
In general, the catalytic features of TfOH have contributed largely to increase the effectiveness and efficiency of acid-promoted C- and/or O-acylations. The roles of TfOH as both catalyst and solvent have broadened its utilization towards various substrates. Moreover, the amenability of the neat catalytic systems under mild reaction conditions makes it useful for valuable heat-sensitive substrates. TfOH can also be used in any reaction that requires forced conditions. The special features of TfOH enable the control of C- and/or O-acylations of phenol derivatives, which are dependent upon the proportion of TfOH used; exploiting such characteristics is thus a useful approach to increasing the selectivity of these reactions. The construction of a metal-free TfOH catalytic system through the development of a solvent-free and highly selective synthesis may enhance the efficiency of direct catalytic acylation, thus possibly providing economic and environmental benefits.
Acknowledgments
Zetryana Puteri Tachrim thanks LPDP (Indonesia Endowment Fund for Education) for financial support. Part of this work was performed under the Cooperative Research Program of the Network Joint Research Center for Materials and Devices.
Author Contributions
Zetryana Puteri Tachrim, Lei Wang, Yuta Murai, Takuma Yoshida and Makoto Hashimoto designed the experiments; Zetryana Puteri Tachrim, Lei Wang, Yuta Murai, Takuma Yoshida, Natsumi Kurokawa, Fumina Ohashi and Makoto Hashimoto performed the experiments; Zetryana Puteri Tachrim, Lei Wang, Yuta Murai, Takuma Yoshida, Yasuyuki Hashidoko and Makoto Hashimoto analyzed the data; Zetryana Puteri Tachrim and Makoto Hashimoto wrote the paper.
Conflicts of Interest
The authors declare no conflicts of interest.
References
- Olah, G.A. Friedel–Crafts and Related Reactions; Interscience Publishers-John Wiley & Sons, Inc.: London/Beccles, UK, 1963; Volume 1. [Google Scholar]
- Olah, G.A. Friedel–Crafts and Related Reactions; Interscience Publishers-John Wiley & Sons, Inc.: London/Beccles, UK, 1964; Volume 3, Part 1. [Google Scholar]
- Effenberger, F.; Epple, G. Catalytic Friedel–Crafts acylation of aromatic compounds. Angew. Chem. Int. Ed. 1972, 11, 300–301. [Google Scholar] [CrossRef]
- Olah, G.A.; Arvanaghi, M.; Krishnamurthy, V.V. Heterogeneous catalysis by solid superacids. 17. Polymeric perfluorinated resin sulfonic acid (Nafion-H) catalyzed Fries rearragement of aryl ester. J. Org. Chem. 1983, 48, 3359–3360. [Google Scholar] [CrossRef]
- Sartori, G.; Maggi, R. Advances in Friedel−Crafts Acylation Reactions: Catalytic and Green Processes; CRC Press-Taylor & Francis Group: New York, NY, USA, 2010. [Google Scholar]
- Hachiya, I.; Moriwaki, M.; Kobayashi, S. Catalytic Friedel–Crafts acylation reactions using hafnium triflate as a catalyst in lithium perchlorate-nitromethane. Tetrahedron Lett. 1995, 36, 409–412. [Google Scholar] [CrossRef]
- Schinzer, D. Selectivities in Lewis Acid Promoted Reactions; Kluwer Academic Publishers: Dordrecht, The Netherlands, 1989. [Google Scholar]
- Howells, R.D.; Mc Cown, J.D. Trifluoromethanesulfonic acid and derivatives. Chem. Rev. 1977, 77, 69–92. [Google Scholar] [CrossRef]
- Olah, G.A.; Prakash, G.K.S.; Molnár, Á.; Sommer, J. Superacid Chemistry, 2nd ed.; John Wiley & Sons, Inc.: Hoboken, NJ, USA, 2009. [Google Scholar]
- Haszeldine, R.N.; Kidd, J.M. Perfluoroalkyl derivatives of sulphur. Part I. Trifluoromethanesulphonic acid. J. Chem. Soc. 1954, 4228–4232. [Google Scholar] [CrossRef]
- Rakita, P.E. Triflic acid and its derivatives. Chem. Oggi/Chem. Today 2004, 22, 48–50. [Google Scholar]
- Wang, L.; Murai, Y.; Yoshida, T.; Okamoto, M.; Tachrim, Z.P.; Hashidoko, Y.; Hashimoto, M. Utilization of acidic α-amino acids as acyl donors: An effective stereo-controllable synthesis of aryl-keto α-amino acids and their derivatives. Molecules 2014, 19, 6349–6367. [Google Scholar] [CrossRef] [PubMed]
- Akiyama, T.; Mori, K. Stronger Brønsted acids: Recent progress. Chem. Rev. 2015, 115, 9277–9306. [Google Scholar] [CrossRef] [PubMed]
- Chakraborti, A.K.; Sharma, L.; Gulhane, R. Electrostatic catalysis by ionic aggregates: Scope and limitations of Mg(ClO4)2 as acylation catalyst. Tetrahedron 2003, 59, 7661–7668. [Google Scholar] [CrossRef]
- Harmer, M.A.; Junk, C.; Rostovtsev, V.; Carcani, L.G.; Vickery, J.; Schnepp, Z. Synthesis and applications of superacids. 1,1,2,2-tetrafluoroethanesulfonic acid, supported on silica. Green Chem. 2007, 9, 30–37. [Google Scholar] [CrossRef]
- Bordwell, F.G. Equilibrium acidities in dimethyl sulfoxide solution. Acc. Chem. Res. 1988, 21, 456–463. [Google Scholar] [CrossRef]
- Keumi, T.; Morita, T.; Ozawa, Y.; Kitajima, H. The trifilic acid-catalysed deacylation and decaboxylation of polymethylbenzenecarbonyl derivatives under mild conditions. Bull. Chem. Soc. Jpn. 1989, 62, 599–601. [Google Scholar] [CrossRef]
- Sartori, G.; Maggi, R. Use of solid catalysts in Friedel–Crafts acylation reactions. Chem. Rev. 2006, 106, 1077–1104. [Google Scholar] [CrossRef] [PubMed]
- Hwang, J.P.; Prakash, G.K.S.; Olah, G.A. Trifluoromethanesulfonic acid catalyzed novel Friedel–Crafts acylation of aromatics with methyl benzoate. Tetrahedron 2000, 56, 7199–7203. [Google Scholar] [CrossRef]
- Anderson, K.W.; Tepe, J.J. Trifluoromethanesulfonic acid catalyzed Friedel–Crafts acylation of aromatics with β-lactams. Tetrahedron 2002, 58, 8475–8481. [Google Scholar] [CrossRef]
- Anderson, K.W.; Tepe, J.J. The first intermolecular Friedel–Crafts acylation with β-lactams. Org. Lett. 2002, 4, 459–461. [Google Scholar] [CrossRef] [PubMed]
- Liu, Y.; Meng, G.; Liu, R.; Szostak, M. Sterically-controlled intermolecular Friedel–Crafts acylation with twisted amides via selective N–C cleavage under mild conditions. Chem. Commun. 2016, 52, 6841–6844. [Google Scholar] [CrossRef] [PubMed]
- Schofield, K.; Swain, T. Cinnolines. Part XXV. Experiments with 3-halogeno-4-hydroxycinnolines. Some halogen exchange reactions. J. Chem. Soc. 1950, 384–392. [Google Scholar] [CrossRef]
- Wendeborn, S. Solid phase synthesis of substituted 2,3-dihydroquinolin-4-ones. Synlett 2000, 2000, 45–48. [Google Scholar]
- Anand, A.; Mehra, V.; Kumar, V. Triflic acid mediated Fries rearrangement of 3-dienyl-2-azetidinones: Facile synthesis of 3-(but-2-enylidene)quinolin-4(3H)-ones. Synlett 2013, 24, 865–867. [Google Scholar] [CrossRef]
- Hu, Y.; Fu, X.; Barry, B.-D.; Bi, X.; Dong, D. Regiospecific β-lactam ring-opening/recyclization reactions of N-aryl-3-spirocyclic-β-lactams catalyzed by a Lewis–Brønsted acids combined superacid catalyst system: A new entry to 3-spirocyclicquinolin-4(1H)-ones. Chem. Commun. 2012, 48, 690–692. [Google Scholar] [CrossRef] [PubMed]
- Roberts, R.M.G.; Wells, A.S. Trifluoromethanesulphonic acid as a catalyst in the acylation of phosphaferrocenes. Inorg. Chim. Acta 1986, 112, 167–170. [Google Scholar] [CrossRef]
- Mathey, F. Reaction des p-phenylphospholes avec le dicyclopentadienyl-difer-tetracarbonyle. synthese et etude spectrochimique des phosphaferrocenes. J. Organomet. Chem. 1977, 139, 77–87. [Google Scholar] [CrossRef]
- De-Lauzon, G.; Deschamps, B.; Fischer, J.; Mathey, F.; Mitschler, A. 1,1′-Diphosphaferrocenes. Synthesis, basic chemistry, and structure. J. Am. Chem. Soc. 1980, 102, 994–1000. [Google Scholar] [CrossRef]
- Carmichael, D.; Le Floch, P.; Le Goff, X.F.; Piechaczyk, O.; Seeboth, N. Double Friedel–Crafts acylation reactions on the same ring of a metallocene: Synthesis of a 2,5-diacetylphospharuthenocene. Chem. Eur. J. 2010, 16, 14486–14497. [Google Scholar] [CrossRef] [PubMed]
- Wrona-Piotrowicz, A.; Cegliński, D.; Zakrzewski, J. Active esters as acylating reagents in the Friedel–Crafts reaction: Trifluoromethanesulfonic acid catalyzed acylation of ferrocene and pyrene. Tetrahedron Lett. 2011, 52, 5270–5272. [Google Scholar] [CrossRef]
- Plażuk, D.; Zakrzewski, J. Acylation of ferrocene and a 1,1′-diphosphaferrocene with acyl trifluoroacetates in the presence of trifluoromethanesulfonic (triflic) acid or some metal triflates. Synth. Commun. 2004, 34, 99–107. [Google Scholar] [CrossRef]
- Plażuk, D.; Zakrzewski, J.; Salmain, M. Biotin as acylating agent in the Friedel–Crafts reaction. Avidin affinity of biotinyl derivatives of ferrocene, ruthenocene and pyrene and fluorescence properties of 1-biotinylpyrene. Org. Biomol. Chem. 2011, 9, 408–417. [Google Scholar] [CrossRef] [PubMed]
- Plażuk, D.; Zakrzewski, J. Friedel–Crafts acylation of ferrocene with alkynoic acids. J. Organomet. Chem. 2009, 694, 1802–1806. [Google Scholar] [CrossRef]
- Diamandis, E.P.; Christopoulos, T.K. The biotin-(strept)avidin system: Principles and applications in biotechnology. Clin. Chem. 1991, 37, 625–636. [Google Scholar] [PubMed]
- Muto, Y.; Murai, Y.; Sakihama, Y.; Hashidoko, Y.; Hashimoto, M. Effective Friedel–Crafts acylation of biotin acid chloride in trifluoromethanesulfonic acid. Biosci. Biotechnol. Biochem. 2012, 76, 2162–2164. [Google Scholar] [CrossRef] [PubMed]
- Murashige, R.; Ohtsuka, Y.; Sagisawa, K.; Shiraishi, M. Versatile synthesis of 3,4-dihydroisoquinolin-1(2H)-one derivatives via intra-molecular Friedel–Crafts reaction with trifluoromethanesulfonic acid. Tetrahedron Lett. 2015, 56, 3410–3412. [Google Scholar] [CrossRef]
- Kobayashi, S.; Iwamoto, S. Catalytic Friedel–Crafts acylation of benzene, chlorobenzene, and fluorobenzene using a novel catalyst system, hafnium triflate and trifluoromethanesulfonic acid. Tetrahedron Lett. 1998, 39, 4697–4700. [Google Scholar] [CrossRef]
- Dumeunier, R.; Markó, I.E. On the role of triflic acid in the metal triflate-catalysed acylation of alcohols. Tetrahedron Lett. 2004, 45, 825–829. [Google Scholar] [CrossRef]
- Nordlander, J.E.; Payne, M.J.; Njoroge, F.G.; Vishwanath, V.M.; Han, G.R.; Laikos, G.D.; Balk, M.A. A short enantiospecific synthesis of 2-amino-6,7-dihydroxy-1,2,3,4-tetrahydro-naphthalene (ADTN). J. Org. Chem. 1985, 50, 3619–3622. [Google Scholar] [CrossRef]
- Melillo, D.G.; Larsen, R.D.; Mathre, D.J.; Shukis, W.F.; Wood, A.W.; Colleluori, J.R. Practical enantioselective synthesis of a homotyrosine derivative and (R,R)-4-propyl-9-hydroxynaphthoxazine, a potent dopamine agonist. J. Org. Chem. 1987, 52, 5143–5150. [Google Scholar] [CrossRef]
- Lin, W.; He, Z.; Zhang, H.; Zhang, X.; Mi, A.; Jiang, Y. Amino acid anhydride hydrochlorides as acylating agents in Friedel–Crafts reaction: A practical synthesis of l-homophenylalanine. Synthesis 2001, 2001, 1007–1009. [Google Scholar] [CrossRef]
- Xu, Q.; Wang, G.; Wang, X.; Wu, T.; Pan, X.; Chan, A.S.C.; Yang, T. The synthesis of l-(+)-homophenylalanine hydrochloride. Tetrahedron Asymmetry 2000, 11, 2309–2314. [Google Scholar] [CrossRef]
- Griesbeck, A.G.; Heckroth, H. A simple approach to β-amino acids by acylation of arene with N-acyl aspartic anhydrides. Synlett 1997, 11, 1243–1244. [Google Scholar] [CrossRef]
- Murashige, R.; Hayashi, Y.; Hashimoto, M. Asymmetric and efficient synthesis of homophenylalanine derivatives via Friedel–Crafts reaction with trifluoromethanesulfonic acid. Tetrahedron Lett. 2008, 49, 6566–6568. [Google Scholar] [CrossRef]
- Murai, Y.; Hatanaka, Y.; Kanaoka, Y.; Hashimoto, M. Effective synthesis of optically active 3-phenyl-3-(3-trifluoromethyl) diazirinyl bishomophenylalanine derivatives. Heterocycles 2009, 79, 359–364. [Google Scholar] [CrossRef]
- Hanataka, Y.; Nakayama, H.; Kanaoka, Y. Diazirine-based photoaffinity labeling: Chemical approach to biological interfaces. Rev. Heteroatom. Chem. 1996, 14, 213–243. [Google Scholar]
- Murashige, R.; Murai, Y.; Hatanaka, Y.; Hashimoto, M. Effective synthesis of optically active trifluoromethyldiazirinyl homophenylalanine and aroylalanine derivatives with the Friedel–Crafts reaction in triflic acid. Biosci. Biotechnol. Biochem. 2009, 73, 1377–1380. [Google Scholar] [CrossRef] [PubMed]
- Wang, L.; Hisano, W.; Murai, Y.; Sakurai, M.; Muto, Y.; Ikemoto, H.; Okamoto, M.; Murotani, T.; Isoda, R.; Kim, D.; et al. Distinct metabolites for photoreactive l-phenylalanine derivatives in Klebsiella sp. CK6 isolated from rhizosphere of a wild dipterocarp sapling. Molecules 2013, 18, 8393–8401. [Google Scholar] [CrossRef] [PubMed]
- Murai, Y.; Wang, L.; Muto, Y.; Sakihama, Y.; Hashidoko, Y.; Hatanaka, Y.; Hashimoto, M. Simple and stereocontrolled preparation of benzoylated phenylalanine using Friedel–Crafts reaction in trifluoromethanesulfonic acid for photoaffinity labeling. Heterocycles 2013, 87, 2119–2126. [Google Scholar] [CrossRef]
- Murai, Y.; Masuda, K.; Ogasawara, Y.; Wang, L.; Hashidoko, Y.; Hatanaka, Y.; Iwata, S.; Kobayashi, T.; Hashimoto, M. Synthesis of photoreactive 2-phenethylamine derivatives—Synthesis of adenosine derivatives enabling functional analysis of adenosine receptors by photoaffinity labeling. Eur. J. Org. Chem. 2013, 2013, 2428–2433. [Google Scholar] [CrossRef]
- Hashimoto, M.; Hatanaka, Y. Recent progress in diazirine-based photoaffinity labeling. Eur. J. Org. Chem. 2008, 2008, 2513–2523. [Google Scholar] [CrossRef]
- Tomohiro, T.; Hashimoto, M.; Hatanaka, Y. Cross-linking chemistry and biology: Development of multifunctional photoaffinity probes. Chem. Rec. 2005, 5, 385–395. [Google Scholar] [CrossRef] [PubMed]
- Moss, R.A.; Fede, J.; Yan, S. SbF5-mediated reactions of oxafluorodiazirines. Org. Lett. 2001, 3, 2305–2308. [Google Scholar] [CrossRef] [PubMed]
- Prakash, G.K.S.; Yan, P.; Török, B.; Olah, G.A. Superacidic trifluoromethanesulfonic acid-induced cycli-acyalkylation of aromatics. Catal. Lett. 2003, 87, 109–112. [Google Scholar] [CrossRef]
- Vaghoo, H.; Prakash, G.K.S.; Narayanan, A.; Choudhary, R.; Paknia, F.; Mathew, T.; Olah, G.A. Superelectrophilic activation of crotonic/methacrylic acids: Direct access to thiochroman-4-ones from benzenethiols by microwave-assisted one-pot alkylation/cyclic acylation. Org. Lett. 2015, 17, 6170–6173. [Google Scholar] [CrossRef] [PubMed]
- Olah, G.A.; Keumi, T.; Meidar, D. Synthetic methods and reactions; 511. A convinient and improved method for esterification over Nafion-H2, a superacidic perfluorinated resinsulfonic acid catalyst. Synthesis 1978, 1978, 929–930. [Google Scholar] [CrossRef]
- Griffiths, K.E.; Stoddart, J.F. Template-directed synthesis of donor/acceptor [2]catenanes and [2]rotaxanes. Pure Appl. Chem. 2008, 80, 485–506. [Google Scholar] [CrossRef]
- Kihara, N.; Shin, J.-I.; Ohga, Y.; Takata, T. Direct preparation of rotaxane from aminoalcohol: Selective O-acylation of aminoalcohol in the presence of trifluoromethanesulfonic acid and crown ether. Chem. Lett. 2001, 30, 592–593. [Google Scholar] [CrossRef]
- Xu, X.-H.; Azuma, A.; Taniguchi, M.; Tokunaga, E.; Shibata, N. Efficient direct ester condensation between equimolar amounts of carboxylic acids and alcohols catalyzed by trifluoromethanesulfonic acid (TfOH) in Solkane365mfc. RSC Adv. 2013, 3, 3848–3852. [Google Scholar] [CrossRef]
- Sarca, V.D.; Laali, K.K. Triflic acid-promoted transacylation and deacylation reactions in ionic liquid solvents. Green Chem. 2004, 6, 245–248. [Google Scholar] [CrossRef]
- Wang, J.; Liu, J.; Lan, H.; Chu, W.; Sun, Z. Selective Friedel–Crafts acylation reactions of 2-arylphenoxyacetic acids: A simple and efficient methodology to synthesize dibenzoxepine and arylcoumaranone derivatives. Synthesis 2015, 47, 3049–3060. [Google Scholar] [CrossRef]
- Hashimoto, M.; Takahashi, M. Effective Friedel–Crafts acylations of O- and C-arylglycosides with triflic acid. Heterocycles 2009, 77, 227–231. [Google Scholar] [CrossRef]
- Murashige, R.; Hayashi, Y.; Ohmori, S.; Torii, A.; Aizu, Y.; Muto, Y.; Murai, Y.; Oda, Y.; Hashimoto, M. Comparisons of O-acylation and Friedel–Crafts acylation of phenols and acyl chlorides and Fries rearrangement of phenyl esters in trifluoromethanesulfonic acid: Effective synthesis of optically active homotyrosines. Tetrahedron 2011, 67, 641–649. [Google Scholar] [CrossRef]
- Effenberger, F.; Epple, G. Trifluoromethanesulfonic-carboxylic highly active acylating agents. Angew. Chem. Int. Ed. 1972, 11, 299–300. [Google Scholar] [CrossRef]
- Effenberger, F.; Eberhard, J.K.; Maier, A.H. The first unequivocal evidence of the reacting electrophile in aromatic acylation reactions. J. Am. Chem. Soc. 1996, 118, 12572–12579. [Google Scholar] [CrossRef]
- Roberts, R.M.G. Studies in trifluoromethanesulphonic Acid—IV Kinetics and mechanism of acylation of aromatic compounds. Tetrahedron 1983, 39, 137–142. [Google Scholar] [CrossRef]
- Salnikov, G.E.; Genaev, A.M.; Vasiliev, V.G.; Shubin, V.G. Interaction of acetonitrile with trifluoromethanesulfonic acid: Unexpected formation of a wide variety of structures. Org. Biomol. Chem. 2012, 10, 2282–2288. [Google Scholar] [CrossRef] [PubMed]
- Kobayashi, S.; Moriwaki, M.; Hachiya, I. Catalytic direct C-acylation of phenol and naphthol derivatives using carboxylic acids as acylating reagents. Tetrahedron Lett. 1996, 37, 4183–4186. [Google Scholar] [CrossRef]
- Sobrinho, E.V.; Cardoso, D.; Souza-Aguiar, E.F. Thermodynamic analysis of phenol acylation with acetic acid. J. Braz. Chem. Soc. 1998, 9, 225–230. [Google Scholar] [CrossRef]
- Padró, C.L.; Apesteguía, C.R. Acylation of phenol on solid acids: Study of the deactivation mechanism. Catal. Today 2005, 107–108, 258–265. [Google Scholar] [CrossRef]
- Padró, C.L.; Sad, M.E.; Apesteguía, C.R. Acid site requirements for the synthesis of o-hydroxyacetophenone by acylation of phenol with acetic acid. Catal. Today 2006, 116, 184–190. [Google Scholar] [CrossRef]
- Murai, Y.; Hashidoko, Y.; Hashimoto, M. Novel synthesis of optically active bishomotyrosine derivatives using the Friedel–Crafts reaction in triflic acid. Biosci. Biotechnol. Biochem. 2011, 75, 352–354. [Google Scholar] [CrossRef] [PubMed]
- Murai, Y.; Wang, L.; Masuda, K.; Sakihama, Y.; Hashidoko, Y.; Hatanaka, Y.; Hashimoto, M. Rapid and controllable hydrogen/deuterium exchange on aromatic rings of α-amino acids and peptides. Eur. J. Org. Chem. 2013, 5111–5116. [Google Scholar] [CrossRef]
- Nakamura, S.; Sugimoto, H.; Ohwada, T. Superacid-catalyzed intramolecular cyclization reaction of arylcyanopropionate: Geminal substitution effect on superelectrophilicity. J. Org. Chem. 2008, 73, 4219–4224. [Google Scholar] [CrossRef] [PubMed]
- Nakamura, S.; Sugimoto, H.; Ohwada, T. Formation of 4H-1,2-benzoxazines by intramolecular cyclization of nitroalkanes. Scope of aromatic oxygen-functionalization reaction involving a nitro oxygen atom and mechanistic insights. J. Am. Chem. Soc. 2007, 129, 1724–1732. [Google Scholar] [CrossRef] [PubMed]
- Atzrodt, J.; Derdau, V.; Fey, T.; Zimmermann, J. The renaissance of H/D exchange. Angew. Chem. Int. Ed. 2007, 46, 7744–7765. [Google Scholar] [CrossRef] [PubMed]
- Beller, M.; Bolm, C. Transition Metals for Organic Synthesis: Building Blocks and Fine Chemicals; WlLEY-VCH: Weinheim, Germany, 1998. [Google Scholar]
- Griffiths, D.V.; Feeney, J.; Roberts, G.C.K.; Burgen, A.S.V. Preparation of selectively deuterated aromatic amino acids for use in 1H NMR studies of proteins. Biochim. Biophys. Acta 1976, 446, 479–485. [Google Scholar] [CrossRef]
- Munz, D.; Webster-Gardiner, M.; Fu, R.; Strassner, T.; Goddard, W.A.; Gunnoe, T.B. Proton or metal? The H/D exchange of arenes in acidic solvents. ACS Catal. 2015, 5, 769–775. [Google Scholar] [CrossRef]
- Giles, R.; Lee, A.; Jung, E.; Kang, A.; Jung, K.W. Hydrogen-deuterium exchange of aromatic amines and amides using deuterated trifluoroacetic acid. Tetrahedron Lett. 2015, 56, 747–749. [Google Scholar] [CrossRef] [PubMed]
- Giles, R.; Ahn, G.; Jung, K.W. H-D exchange in deuterated trifluoroacetic acid via ligand-directed NHC-palladium catalysis: A powerful method for deuteration of aromatic ketones, amides, and amino acids. Tetrahedron Lett. 2015, 56, 6231–6235. [Google Scholar] [CrossRef] [PubMed]
- Wang, L.; Murai, Y.; Yoshida, T.; Okamoto, M.; Masuda, K.; Sakihama, Y.; Hashidoko, Y.; Hatanaka, Y.; Hashimoto, M. Hydrogen/Deuterium exchange of cross-linkable α-amino acid derivatives in deuterated triflic acid. Biosci. Biotechnol. Biochem. 2014, 78, 1129–1134. [Google Scholar] [CrossRef] [PubMed]
- Tachrim, Z.P.; Yoshida, T.; Kurokawa, N.; Ohashi, F.; Hashimoto, M. Selective deuterium incorporation to benzophenone derivatives. Unpublished results.
- Bakoss, H.J.; Ranson, R.J.; Roberts, R.M.G.; Sadri, A.R. Studies in trifluoromethanesulphonic acid–I protonation of aromatic derivatives. Tetrahedron 1982, 38, 623–630. [Google Scholar] [CrossRef]
- Wishart, D.S.; Sykes, B.D.; Richards, F.M. Improved synthetic methods for the selective deuteration of aromatic amino acids: Applications of selective protonation towards the identification of protein folding intermediates through nuclear magnetic resonance. Biochim. Biophys. Acta 1993, 1164, 36–46. [Google Scholar] [CrossRef]
- Matthews, H.R.; Matthews, K.S.; Opella, S.J. Selectively deuterated amino acid analogues synthesis, incorporation into proteins and NMR properties. Biochim. Biophys. Acta 1977, 497, 1–13. [Google Scholar] [CrossRef]
- Benfenati, E.; Icardi, G.; Chen, S.; Fanelli, R. Syntheses of deuterated leu-enkephalins and their use as internal standards for the quantification of leu-enkephalin by fast atom bombardment mass spectrometry. J. Label Compd. Radiopharm. 1990, 28, 411–419. [Google Scholar] [CrossRef]
- Faull, K.F.; Barchas, J.D.; Murray, S.; Halpern, B. Deuterated peptides: Platinum catalyzed exchange labeling of leucine enkephalin and related peptides. Biol. Mass Spectrom. 1983, 10, 463–470. [Google Scholar] [CrossRef]
- Goeppert, A.; Sommer, J. Activation, isomerization and H/D exchange of small alkanes in triflic acid. Catal. Lett. 1998, 56, 43–48. [Google Scholar] [CrossRef]
- Zhan, D.; Rose, J.; Fenn, J.B. Solvation studies of electrospray ions—Method and early results. J. Am. Soc. Mass Spectrom. 1998, 9, 1241–1247. [Google Scholar] [CrossRef]
- Sztaray, J.; Memboeuf, A.; Drahos, L.; Vékey, K. Leucine enkephalin—A mass spectrometry standard. Mass Spectrom. Rev. 2011, 30, 298–320. [Google Scholar] [CrossRef] [PubMed]
- Campbell, S.; Rodgers, M.T.; Marzluff, E.M.; Beauchamp, J.L. Structural and energetic constraints on gas phase hydrogen/deuterium exchange reactions of protonated peptides with D2O, CD3OD, CD3CO2D, and ND3. J. Am. Chem. Soc. 1994, 116, 9765–9766. [Google Scholar] [CrossRef]
- Ustyuzhanin, P.; Kogan, A.; Reuben, B.G.; Lifshitz, C. An electrospray-ionization—Flow-tube study of H/D exchange in protonated leucine-enkephalin. Int. J. Chem. Kinet. 2001, 33, 707–714. [Google Scholar] [CrossRef]
© 2017 by the authors. Licensee MDPI, Basel, Switzerland. This article is an open access article distributed under the terms and conditions of the Creative Commons Attribution (CC BY) license ( http://creativecommons.org/licenses/by/4.0/).















































