Abstract
Supercritical ethanolysis (scEtOH) is a method that allows the production of monomers, e.g., diethyl terephthalate (DET), from Polyethylene terephthalate PET chemical recycling. The use of the ionic liquids (ILs) such as 1-n-butyl-3-methylimidazolium tetrafluoroborate ([Bmim][BF4]) as a catalyst has advantages in such processes by enhancing the yield at reduced times, as shown in previous work from our lab. However, the effects of water and dyes (from the coloured PET-bottles) regarding those advantages have not been investigated. Here, a study of the effects of water and dyes on IL-catalysis is provided. Results showed that the yield related to DET formation was 98% when anhydrous ethanol was employed, but decreased to 30% (or less) when water was present in the reaction even in low amounts. Furthermore, the DET-formation yield also decreased to 66% or to 21% if 2-aminoanthraquinone or zinc phthalocyanine were present, respectively, even in anhydrous conditions. Poisoning effect on the IL-catalysis was observed in both cases. Thus, these data are relevant for expanding the study of ILs as catalysts in this and other reaction systems.
1. Introduction
Polyethylene terephthalate (PET), a synthetic thermoplastic polyester, is considered one of the most versatile polymers in use today [1]. This is due to the combination of desirable properties such as excellent tensile and impact strength, chemical resistance, processability, transparency, and appropriate thermal stability [2]. Industrial segments take advantage of these properties of PET to produce polyester fibers, soft drink bottles, pharmaceutical and food packagings, textiles, hardware, and electrical components, among others [1,3]. Year after year, the production of PET-based materials has increased and, as a direct consequence, a major problem faced by the plastics industry is that of the waste disposal that also increases year after year[4,5].
Growing environmental concerns have promoted searches to find reasonable methods for mitigating or avoiding plastic-waste pollution and to rethink the consumption of plastic-based products. The most promising method to control plastic-waste pollution is the chemical recycling, which has become increasingly important [6].
Many chemical recycling methods have already been developed [4]. Among such methods, supercritical fluid (SCF) technologies are considered as potentially attractive due to the environmental friendly nature of SCF [7,8]. In its critical point (or beyond that) a compound becomes a SCF and possesses: (i) low viscosity and higher diffusivities as compared to the liquid state; and (ii) high kinetic energy as compared to the gas state. Therefore, reactions under SCF are expected to be faster as compared to normal liquid-gas conditions [8]. Processes based on SCF have been focused on depolymerization.
PET can be depolymerized into its original monomers using a supercritical ethanol reaction [9] and, in certain conditions, the monomer diethyl terephthalate (DET) is obtained as the main product. However, in the absence of catalyst such a reaction occurs mostly slowly and can form different low-yield by-products [9]. One way to overcome such disadvantages is to use a catalyst. Studying the depolymerization of PET in SCF in the presence of [Bmim][BF4], Nunes et al. [10] showed that Ionic Liquids (ILs) act as catalysts for the reaction, allowing higher yields at reduced reaction times. Beyond this, ILs are considered “green solvents” and have attracted enormous research interest due to their unique features, such as the advantages of optimization of the compound characteristics through a broad selection of anion and cation combinations, and other properties such as thermal stability, non-volatility, electrochemical stability, and low flammability [11]. Thus ILs appear to be a novel and promising possibility for the chemical industries, including catalysis processes. However, despite these significant benefits, their application into viable industrial processes is far from obvious and the industrialization of IL technologies is rather slow, particularly in the field of catalysis [12,13]. Such deficiencies unfortunately might be due to of little quantitative information existing regarding the nature of interactions between ILs and different types of solute, for instance, dyes, and even the solvents when the ILs act as the solute. Such information are extremely necessary if we wish to understand why certain types of reactions occur favourably, particularly in the presence of ILs. Thus a possible and simplistic explanation might be due to the fact that the ILs are composed entirely by ions [14]. Some works show that the addition of small amounts of water to ILs changed the ILs’ properties due to the IL-water interactions [15,16]. Several studies have shown that water is not inert in the presence of [Bmim][BF4], the IL used as a catalyst in this work.
Water molecules may participate as reactants or products in elementary reaction steps. Examples reported in the literature include hydrolysis, hydration, hydrogen exchange, and free-radical oxidation chemistry [17,18,19]. Different dyes, such as anthraquinone derivatives or phthalocyanines, are added to PET during bottles-formulation and processing [9]. Currently, phthalocyanines, that belong to the most important class of dyes that have been known for more than 70 years, are extensively used [20,21,22].
Taking into account all these considerations and the evident lack of information regarding the role played by ILs in different types of reaction media, the main objective of this work was to investigate the effects of water and two different dyes (2-aminoanthraquinone or zinc phthalocyanine) on the PET depolymerization reaction catalyzed by [Bmim][BF4] under supercritical ethanol. The hypothesis that water and such dyes could affect the PET depolymerization reaction catalyzed by [Bmim][BF4] was evaluated using different reaction conditions through different techniques.
2. Results and Discussion
2.1. Effect of Water on Depolymerization of PET under scEtOH
2.1.1. Through HPLC Analysis
Table 1 describes the yields in DET formation determined by HPLC for runs at different ethanol/water ratios for colourless PET samples (exp1 to exp4) and for coloured PET samples (exp5 and exp6).
Table 1.
Experimental sets for studying the influence of water and dyes on the PET (Polyethylene terephthalate) depolymerization by the scEtOH (Supercritical ethanolysis) reaction catalyzed by [Bmim][BF4], and the yield obtained in each run. DET: diethyl terephthalate.
Experimental conditions were: pressure 115 atm; temperature 255 °C; PET mass 1.5 g; amount of ionic liquid 0.350 µL; and reaction time 45 min [10].
Chromatograms obtained through HPLC for the products originated from each run, as described in Table 1, are shown in Figure 1. The characteristic peaks on Figure 1 assigned to bis-(hydroxyethyl) terephthalate (BHET), mono-(hydroxyethyl) terephthalate (MHET), and diethyl terephthalate (DET) [9] are observed at retention times ranging from 2.0–2.5 min, 5.5–6.0 min, and 6.9–7.4 min, respectively, for the products obtained from experiments carried out in the presence of water (exp2, exp3, and exp4). Additionally, the chromatogram of the products from exp1 does not show the peak assigned to MHET (retention time 5.5–6.0 min). In contrast, on the chromatograms of the products from exp2, exp3, and exp4, the peak assigned to MHET increased in intensity as the amount of water is higher. The peak assigned to BHET (2.0–2.5 min) in the chromatogram of the products from exp1 had a lower intensity as compared to the chromatograms of the products from experiments performed in the presence of water (exp2, exp3, and exp4). Therefore, it is clear that the presence of water favours MHET and BHET formation and decreases the amount of DET formed.
Figure 1.
HPLC chromatograms obtained from the products of exp1, exp2, exp3, and exp4. Reaction conditions are described in Table 1.
The yield of DET (in %) obtained from exp1 to exp4 was plotted as a function of the percentage of water in the ethanol/water mixtures used in the reactions, as shown in Figure 2.
Figure 2.
Percentage of diethyl terephthalate DET obtained for exp1, exp2, exp3, and exp4 as a function of the percentages of water in the ethanol/water mixtures.
According to the data presented in Figure 2, it is possible to verify that the water considerably affects the DET yield in the studied conditions. Even when the PET depolymerization has been carried out in the presence of low amounts of ethanol/water (99/1 as in exp2, for instance), the DET yield decreased to 30% as compared to the reaction carried out in anhydrous condition (exp1). Such an abrupt decrease could be related to the interaction between the water molecules and the ILs’ ions. The anion [BF4−] of IL can interact with the hydrogen atoms of water molecules by hydrogen bonding as demonstrated by Cammarata et al. [15]. Furthermore, different works have reported that water molecules interact with both cation and anion groups of ILs [23]. According to these works, the cations and anions of ILs play significant role in the formation of hydrogen bonds by the water molecules, although anions are dominant. Other effects that must be considered in the [Bmim][BF4]-water system is the hydration of such ILs by the water molecules, which affects the ILs’ physical-chemistry properties and, consequently, limits the ILs’ catalytic properties [23,24]. Wamser [25] showed that 13.7% of the tetrafluoroborate anions present in an acidic/aqueous solution of HBF4 were hydrolyzed to [BF3OH]− and hydrogen fluoride. When enough amounts of water are present, both these effects probably become more pronounced and the DET yield is considerably decreased, as is clearly shown in Figure 2.
Water can be either an inert medium (acting as solvent) and/or an active moiety (acting as reactant) in a given chemical reaction. Previous studies based on experimental data suggest that the specific interactions of water molecules (e.g., solute-solvent, solvent-solvent, as well as preferential solvation of the reactants) affect the kinetics of chemical reactions at high temperature [26]. This was also observed in this work when different amounts of water (1, 2, and 4 wt % relative to amount of ethanol) were added to the reaction system. Under anhydrous ethanol conditions (exp1), the yield of DET was 98% (in wt %) while for the reactions performed in the presence of water (exp2, exp3, and exp4) the DET formation yields were equal to or less than 30%.
According to Khupse and Kumar, the presence of water had a stronger but inverse effect on an IL, i.e., the viscosity decreased greatly in the presence of small amounts of water for not only the hydrophilic but also the hydrophobic part of the IL [27]. Some works reported that the reaction is faster for high viscous ILs than for low viscous ones [7]. Therefore, an ILs’ high viscosity favours the IL-catalyst capability which allows the reaction to develop quickly. Takahashi et al. [23] reported that the addition of water in IL disrupts the H-bonded network of water molecules. The products obtained from PET depolymerization carried out under scEtOH in the presence of water were mainly DET and either ethylene glycol (EG) or BHET, as shown in Scheme 1. Additionally, by-products such as MHET, dimers, and oligomers can also be obtained. Previously, our research group [9] used the same apparatus to perform depolymerization of PET under scEtOH in the absence of IL to verify that the yield of DET obtained after 5 h of reaction corresponds to only 66 wt %. Using such conditions, those authors saw that the presence of small amounts of water shifts the reaction towards DET formation, while high amounts of water favour the formation of hydroxyl-containing by-products, such as BHET and MHET. However, the target of this work was, as much as possible, to obtain DET monomers, due to the ease of purification.
Scheme 1.
Illustrative scheme for the Polyethylene terephthalate PET depolymerization in scEtOH [(A) raw PET; (B) DET; (C) EG (ethylene glycol); (D) MHET (mono-(hydroxyethyl) terephthalate) and (E) BHET (bis-(hydroxyethyl) terephthalate).
2.1.2. 1H-NMR
Figure 3 shows the 1H-NMR spectra recorded for the products from exp1 to exp4. Except for the spectrum for the products from exp1, all the others show a common signal at 3.9 ppm (denoted as signal 5), which was assigned to the hydrogen of the hydroxyl group of MHET. As mentioned before, the presence of MHET in the products from exp2 to exp4 was inferred after observing signal 6 at the retention time range 5.5–6.0 min in the chromatograms (Figure 1) for the products of these runs. Additionally, the intensity of the signal observed at 3.9 ppm increased as the amount of water present in the PET depolymerization reaction is raised. This same observation was made after comparison of the chromatogram of the products from exp1 to those from exp2 to exp4 (Figure 1). In other words, the data from 1H-NMR match very well to the data obtained by HPLC. The other signals were attributed to: (i) H-atoms on the aromatic ring (signal 1, at 8.1 ppm); (ii) H-atoms on the ethoxyl groups (signals 2 and 3, at 4.3 and 1.38 ppm, respectively); and (iii) -CH2-OH groups of BHET (signal 7, at 3.8 ppm) and -CH2-O groups of BHET (signal 4, at 4.5 ppm).
Figure 3.
1H-NMR spectra recorded from the products of exp1, exp2, exp3, and exp4 (acetone-D6, 300 MHz).
2.1.3. FTIR Spectroscopy
The as-obtained FTIR spectra are presented in Figure 4 and, for sake of comparison, the FTIR spectrum of PET is also presented. The broad band present in all spectra (exp1 to exp4 but more intense in the spectrum of the products from exp1) was assigned to hydroxyl vibration (–OH). Such a fact indicates the presence, even in low quantity, of hydroxylated compounds such as the BHET monomers in the products from runs exp1 to exp4. As determined through quantitative analysis using HPLC, the high concentration of DET (98%) in the products from exp1 indicates the presence of a low amount of hydroxylated compounds that may interact through the presence of intra- or intermolecular hydrogen bonds. The band at 1403 cm−1 was assigned to the vibration stretching of the aromatic ring. The bands at 1712 and 1270 cm−1, observed in all spectra (exp1 to exp4), indicate the presence of C=O and C–O bonds, respectively; however, the intensities of such bands changed as the amount of water in the reaction system is altered. Another important aspect to be noticed is the presence of a strong absorption band at 720 cm−1 in the FTIR spectrum of PET, which was assigned to the –CH2– vibrational mode and is indicative of polymeric segments [28]. The presence of such a band was also observed in the spectra from products of exp1 to exp4 (see Figure 4), and the intensity of the band increases as a function of the amount of water. Such behaviour was attributed to the PET fraction (incomplete depolymerization) that remained in the reaction system, which is water dependent. As a consequence, the PET depolymerization reaction in the presence of water is not efficient as in anhydrous conditions and can be denoted as partial. This inference makes sense when the FTIR spectra of PET and of the products from exp4 are compared. Note that the FTIR spectrum of the products from exp4 (where the highest amount of water, 4 wt % related to ethanol was used) presented more characteristic bands of PET than the spectra from others runs (exp1 to exp3). Therefore, the product from exp4 is composed of a considerable amount of unreacted or partially depolymerized PET.
Figure 4.
FTIR spectra of the products from exp1, exp2, exp3, and exp4.
2.1.4. Thermal Analysis
Thermogravimetric analysis TGA (DTG) curves of PET and of the main products from exp2 to exp4 are presented in Figure 5a,b. Similar analyses were carried out with standard DET, for the sake of comparison. The TG curve of PET exhibited significant weight loss (ca. 30%) between 400 and 420 °C, which was assigned to thermal decomposition [27]. The TG curves of the products from exp2 (1% H2O), exp3 (2% H2O), and exp4 (4% H2O) showed clear differences as compared to the TG curve of standard DET. For instance, the TG and DTG curves of products from exp2 and exp3 (see Figure 5a,b) showed two thermal events; the first weight loss starts at 200–220 °C and was attributed to the thermal decomposition of the BHET fraction [29]. The second weight loss starts around 400–420 °C and was due to the thermal decomposition of the PET produced through thermal polymerization during the thermogravimetry analysis [30]. The TG curve of the products from exp4 showed three events. For this curve, the first weight loss starts at 200–220 °C and was attributed to thermal decomposition of the BHET fraction; the second weight loss starts around 250–270 °C and was attributed to the thermal decomposition of the dimers; the third event starts at 320–330 °C and was attributed to the thermal decomposition of other oligomers [29]. The TG curves from the products of exp1 to exp4 are not similar to that obtained for standard DET. The differences were attributed to the presence of water in the reaction vessel, which led the depolymerization reaction to occur only partially. This contributes to the formation of hydroxylated products such as MHET, BHET, and other by-products, for instance dimers and other oligomers; a fact that, obviously, decreases the amount of DET formed.
Figure 5.
(a) TG; (b) DTG curves of PET products from exp2 to exp4 and standard DET.
The DSC curve of PET, presented in Figure 6, shows an endothermic peak at ca. 235 °C assigned to the melting of the polymer [31] and an exothermic peak at ca. 132 °C assigned to PET crystallization [31,32]. The intensity of the last peak is sensitive to the aging [32] and to the thermal history [33] of the PET sample. As compared to the DSC curve of standard DET, the DSC curves of the products obtained from exp2, exp3, and exp4 showed clear differences. For instance, the DSC curve of the products from exp4 shows a broad endothermic peak centered at 247 °C, which can be related to the presence of a mixture of higher oligomers and to residues of not depolymerized PET. This profile does not resemble the profile observed for the standard DET. On the other hand, such a broad endothermic peak was not observed in the DSC curves of the products obtained from exp2 and exp3, which showed more similarity to the DSC curve of standard DET. As discussed before, the presence of water in the reaction system diminishes the DET yield. Instead, other hydroxylated by-products are obtained from the PET depolymerization under scEtOH if water is present, even in low amounts. The thermal analyses confirm the data observed by other techniques (HPLC, 1H-NMR, and FTIR).
Figure 6.
DSC curves of PET, products from exp2 to exp4 and standard DET.
2.2. Effect of Dye on the Depolymerization of PET under scEtOH
It will be shown in this section that beyond water, the dyes used in the PET bottle formulation/processing can also affect the PET depolymerization performed under scEtOH as the reaction is catalyzed by [Bmin][BF4]. Although the aggregation behaviour of some ILs have been reported previously [34], to the best of our knowledge there is only little information about the study of the interaction of IL monomers and their aggregates with dyes. This lack of information, coupled with the potential applications of ILs, has prompted us to investigate the interactions, under scEtOH, of imidazolium-based IL and two kinds of the dyes often incorporated in the formulation of PET bottle production. It is worthy to say that blue PET has zinc phthalocyanine as its main dye component while green PET is dyed by 2-aminoanthraquinone [29,30,31].
In order to investigate the effect of dye on the PET depolymerized reaction under scEtOH, the reaction was carried out using PET from colourless (exp1) and coloured (exp5 and exp6) waste bottles in the presence of the IL [Bmim][BF4]. The experimental conditions for each reaction are displayed in Table 1.
2.2.1. HPLC Analysis
The HPLC chromatograms for the products from runs exp5 and exp6 are shown in Figure 7 and, for the sake of comparison, the chromatogram for the products from exp1 is also shown. The chromatograms of the products from the depolymerization reactions carried out with the coloured PET waste bottles (exp5 and exp6) showed some clear differences as compared to the colourless waste bottles, and the differences also occurred if green or blue bottles were used. The products obtained from exp5 presented more DET in its composition than that obtained from exp6. This demonstrates that such a reaction is strongly influenced by the kind of dye incorporated into the polymer matrix (in the bulk), significantly influencing the yield of the product (DET).
Figure 7.
HPLC spectra of the products obtained from different kinds of PET (blue, green and colorless bottles).
The yields for DET formation on exp1 (colourless PET), exp5 (blue PET), and exp6 (green PET) were calculated from Figure 7. As compared to the colourless PET bottles, considerable yield-decrease occurred when coloured PET are depolymerized under scEtOH using [Bmim][BF4] as a catalyst. The formed-DET yield on exp1 was 98% while on exp5 and exp6 the yields were ca. 21% and 66%, respectively. From these data, it can be inferred that the presence of the dye in the PET bottles had a negative effect on the depolymerization reaction. Castro et al. [9] demonstrated that much more DET is obtained when PET from green waste bottles is utilized instead the colourless PET. The authors pointed out that the green dye incorporated into PET favours DET formation in depolymerization performed under scEtOH, but in the absence of IL. One hypothesis to explain these apparently opposite results can be built taking into account the possible interaction between the dyes and [Bmim][BF4]. It has been reported in the literature that one of the most possible types of IL-dye interaction is the ion-pair that occurs through the cationic moiety of ILs and anionic dyes [34].
2.2.2. UV-Vis Analysis
Studies performed using Nile Red and Reichardt’s dyes suggested that IL based on 1-alky-3-methylimidazolium cations acts as a H-bond donor [14,35,36]. Thus, the presence of dye in the reaction performed under scEtOH favours the [Bmim][BF4]-dye interactions, which inhibit the catalytic activity of the IL on the depolymerization reaction of PET. This provoked the low-yielded DET formation at 45 min reaction time (66% for the green bottle and 21% for the blue bottle). Therefore, it was demonstrated that IL, as a catalyst, presented selectivity to the type of dye present in PET to be depolymerized.
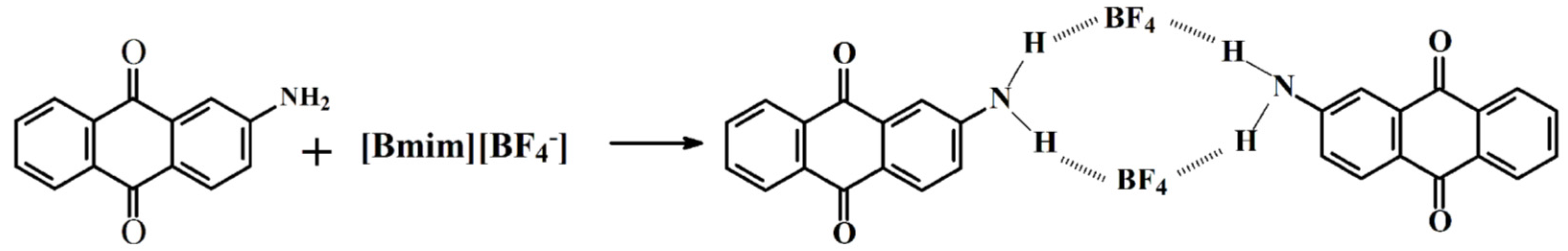
The literature states that the association of IL and dyes is largely dependent to the anionic moiety of IL [34]. The 2-aminoanthraquinone (green dye) may interact with [Bmim][BF4] through H-bonds. Such interactions occur among the amino groups (–NH2) of 2-aminoanthraquinone and the [BF4−] ions, as illustrated in Scheme 2. This scenario limits the catalytic effect of [Bmim][BF4] and, thus, a lesser amount of DET is obtained in the depolymerization reaction in the presence of 2-aminoanthraquinone.
Scheme 2.
Illustrative scheme for the interaction between the dye 2-amino-anthraquinone (green) and [Bmim][BF4].
In the case of the blue-PET waste bottles, the dye incorporated in the polymer matrix belongs to the class of metallophthalocyanines [37] and was identified in our laboratory by atomic absorption spectrophotometry (FAAS) and UV-Vis as zinc phthalocyanine (ZnPc). It should be highlighted that the IL can interact with metals, resulting in complexes [38]. The UV-Vis spectra recorded for: (i) raw ZnPc; (ii) ZnPc pre-treated in scEtOH (255 °C and 115 atm) for 45 min; and (iii) ZnPc pre-treated in scEtOH (255 °C and 115 atm) for 45 min in presence of [Bmim][BF4] are shown in Figure 8. Raw ZnPc showed a characteristic absorption band, assigned to zinc, at 665 nm and with an absorbance of 0.04. The UV-Vis spectrum of ZnPc after being exposed to scEtOH showed an absorbance equal to 0.015 at this same wavelength. The data demonstrated a small reduction in the absorbance of the characteristic ZnPc band after being exposed to scEtOH (see the inset in Figure 8). The UV-Vis spectrum recorded for the ZnPc exposed to scEtOH in the presence of [Bmim][BF4] no longer exhibited the absorption band at 665 nm (within the sensitivity of the equipment). These data strongly suggested that [Bmim][BF4] interacts with ZnPc. Interactions between ZnPc and [Bmim][BF4] result from a ligand substitution reaction, where the [BF4] substitutes the Pc in the initially ZnPc. In such a situation, the decomposition of ZnPc should be favoured due to the fact that the [BF4] ligand is present in the reaction medium (scEtOH) in higher amounts than ZnPc. Therefore, the decrease of IL catalytic capability can be explained by the effect of the presence of ZnPc in the starting materials that affects the chemical species present during the depolymerization reaction.
Figure 8.
UV-Vis spectrum of (a) raw ZnPc; (b) pre-treated ZnPc in scEtOH; and (c) pre-treated ZnPc in scEtOH with the presence of [Bmim][BF4] (the concentration of ZnPc in each case is 1.978 mg·mL−1).
Furthermore, the interactions of [Bmim][BF4] with the ZnPc complex should have higher stability than the H-bond interactions formed between the BF4− and 2-amino anthraquinone. As a consequence, lower yield of DET formation is observed when the blue PET is depolymerized under scEtOH and catalyzed by [Bmim][BF4].
3. Materials and Methods
3.1. Materials
Colourless and coloured (green and blue) PET flakes (averaged larger size c.a. 1 mm), from waste soft drink bottles, were supplied by Plaspet Reciclagens Ltda. (an enterprise located in Maringá, Brazil). Anhydrous ethanol (99.5% GL purity) was supplied by Nuclear (Diadema-SP, Brazil). Diethyl terephthalate (DET) and bis-(hydroxyethyl) terephthalate (BHET), used as standards, were purchased from Sigma-Aldrich (Geel, Belgium NJ, USA). The chemicals used for [Bmim][BF4] synthesis were: N-methylimidazole (99%) (Sigma-Aldrich, St. Louis, MO, USA); 1-chlorobutane (Sigma-Aldrich, St. Louis, MO, USA); acetonitrile (Synth, Diadema, São Paulo, Brazil); dichloromethane (Synth, Diadema, São Paulo, Brazil); and potassium tetrafluoroborate (Sigma-Aldrich, St. Louis, MO, USA). Acetonitrile was distilled over phosphorus pentoxide (P2O5), 1-chlorobutane was used as received, and ethyl acetate (Sigma-Aldrich, St. Louis, MO, USA) was distilled over P2O5 [39].
3.2. Equipment and Procedures
3.2.1. Waste PET-Flakes Preparation and Characterization
The waste PET-flakes were washed with water and dried in an oven at 100 °C until their weight was constant. The molar mass of PET was measured by viscometry (Mw of 54,600 g·mol−1), determined using the method proposed by Viana et al. [40]. The intrinsic viscosity of a PET solution in a mixture of phenol and 1,2-dichlorobenzene (1:1 w/w) was determined using an Ubbelohde-type capillary viscometer (Model Cannon J666), at 25 °C. The solution concentrations were adjusted based on sample viscosity.
3.2.2. Synthesis of 1-n-Butyl-3-Methylimidazolium Tetrafluoroborate ([Bmim][BF4])
The 1-butyl-3-methylimidazolium tetrafluoroborate, [Bmim][BF4], was synthesized according to the procedure described by Dupont et al. [39].
3.2.3. Depolymerization of PET under scEtOH Catalyzed by [Bmim][BF4]
A previous paper describes [Bmim][BF4] as a catalyst on the PET depolymerization by supercritical ethanol reaction (scEtOH) [10]. The process described here was performed according to the same methodology and using the same apparatus outlined by Castro et al. [9] and Nunes et al. [10]. The degradation reaction was carried out in a 0.1-L home-made batch-type reactor made of 316® stainless steel equipped with: (i) inlet and outlet valves; (ii) a manometer; (iii) thermometer; and (iv) a heating collar controlled by a programmable temperature controller, used to heat the reactor to the desired temperature. In this case, the temperature was fixed at 255 °C, with a precision estimated as 5 °C, measured by a J-type thermocouple. To achieve that condition, the system was heated at a heating rate of about 8 °C·min−1.
The first reaction set (exp1, see Table 1) had the following conditions: 1.5 g of PET in 60 mL of anhydrous ethanol and 0.350 μL of [Bmim][BF4]. The reactor pressure (115 atm) was attained by keeping the reactor properly closed, avoiding the need of pressurized gas for the ethanol to reach supercritical conditions. The reaction time was fixed at 45 min under the desired T and P conditions (255 °C and 115 atm) [10], after that the heating collar was turned off and removed. In sequence, the vessel was quickly cooled to room temperature using large amounts of tap water, taking less than 5 min to reach the room temperature (around 25 °C). The product was precipitated in distilled water, centrifuged, and lyophilized prior to performing further analyses. To investigate the water effect on the depolymerization process of colourless PET, beyond the anhydrous ethanol (100/0 ethanol/water ratio), three different ratios ethanol/water (v/v %) were also used: 99/1, 98/2, and 96/4, for the runs labeled as exp2, exp3, and exp4, respectively (see Table 1). Additionally, the effect of dye (present in the PET-bottle formulation) on the depolymerization process was performed using two coloured bottle types: blue and green (exp5 and exp6, respectively, see Table 1).
3.2.4. Characterization of PET and/or Products from PET Depolymerization
(i) Through HPLC
To quantify the DET formed at the end of each depolymerization run, Reversed-phase High performance liquid chromatography RP-HPLC analysis was performed using a Thermo Surveyor LC Pump Plus, PDA Plus Detector set at 240 nm and a reverse-phase C18-Kromasil column (250 × 4.6 mm) with a particle size of 5 µm and an average pore size of 100 Å. A methanol/water 80/20 v/v % mixture was used as the mobile phase at a flow rate of 1 mL·min−1. Injections of 50 µL (after degassing) were performed and a photodiode detector with a 5 cm optic length was used. For each experimental run described in Table 1, quantitative analyses were carried out from the chromatograms obtained through HPLC in order to evaluate the yield of the formed DET. In light of this, mathematical interpolation on a calibration standard curve, previously built, was necessary for quantitative analysis of the products. Diethyl terephthalate (DET, 98%, Acros Organics, Belgium, CAS 636-09-9) was used as external standard. The analytical curve (not shown) was built from standard DET solutions varying from 0.24 to 2.00 mg·mL−1 using distilled water as the solvent. The linear correlation coefficient (R2) was higher than 0.999 [10].
(ii) Through FTIR Spectroscopy
FTIR spectra used to characterize the products from depolymerization were recorded using a Bomem model MB-100 spectrometer (Thermo Fisher Scientific, Quebec, Canada), in the range of 4000–400 cm−1.
(iii) Through 1H-NMR Spectroscopy
1H-NMR spectra were used to characterize the products from depolymerization, obtained on a Varian model Mercury Plus, 300 spectrometer (Bruker, Palo Alto, CA, USA), operating at 300 MHz and calibrated with tetramethylsilane (TMS), as an internal reference. 1H-NMR analyses were performed according to Castro et al. [9].
(iv) Through Thermal Analysis (TGA and DSC)
TGA and DSC were used for investigating the thermal properties of raw PET and the products from depolymerization. TGA experiments were carried out in a thermo-gravimetric analyzer (Netzsch, model STA 409 PG/4/G Luxx (TA Instruments, New Castle, DE, USA) from 30 to 550 °C at a rate of 10 °C·min−1 under N2 gas flowing at 20 mL·min−1. DSC analyses were performed on a calorimeter Netzsch, model STA 409 PG/4/G Luxx (TA Instruments, New Castle, DE, USA) with a temperature range of 40–210 °C, heating rate of 10 °C·min−1, and N2 gas flow of 50 mL·min−1.
(v) Use of UV-Vis for Evaluating the Interaction of [Bmim][BF4] and Zinc Phthalocyanine
The interaction of zinc phthalocyanine with [Bmim][BF4] was evaluated through UV-Vis analysis performed in a UV-Vis spectrophotometer Femto, model 800Xi (FEMTO Ind. Com. Instrumentos Ltda, São Paulo, Brazil) at 240 nm. A simple experimental set was performed for evaluating the interaction between ZnPc and [Bmim][BF4]. The UV-Vis technique was utilized here to characterize ZnPc in three different cases: (i) raw ZnPc; (ii) ZnPc pre-treated in scEtOH (255 °C and 115 atm) for 45 min; and (iii) ZnPc pre-treated in scEtOH (255 °C and 115 atm) with the presence of [Bmim][BF4].
4. Conclusions
The influences of water and dyes (used to produce PET bottles) on PET depolymerization under supercritical ethanol (scEtOH) and catalyzed by the IL [Bmim][BF4] were investigated in this work. The depolymerization reactions were conducted in the presence of requested amounts of water and coloured or colourless PET flakes from waste bottles. The chemical structures of the main products were characterized through FTIR, 1H-NMR, HPLC, UV-Vis, and TGA/DSC analytical techniques. The yield of the reaction (relative to the amount of formed DET) was 98% (by weight) when the ratio of ethanol/water was 100/0, but decreased to 30% (or less) in the presence of 4% water. The yield also decreased to 66% and 28% as flakes from green and blue PET waste bottles, respectively, were used. It means that the IL [Bmim][BF4] presented catalytic selectivity towards the type of dye present in coloured PET used in the depolymerization under scEtOH. Thus, the dye used to manufacture PET bottles and the low amount of water affected the yield of DET formed in the studied reaction. It was inferred that the presence of water and/or dyes (of green and blue PET bottles) inhibited the catalytic action of the IL [Bmim][BF4] on the depolymerization of PET under scEtOH. Thus, the poisoning of the [Bmim][BF4] catalyst describes a specific experimental condition for [Bmim][BF4] to act with a high catalytic efficiency in the production of the DET monomer.
Despite this, such limitations can provide opportunities for new developments or new chemistry approaches, and we hope that findings reported in this work may attract further interest from scientists aiming to explore future industrial applications.
Acknowledgments
The authors thank CAPES and CNPq for the financial support (308337/2013-1).
Author Contributions
Cátia S. Nunes and Paulo R. Souza conceived and designed the experiments in apparatus supercritical; Cátia S. Nunes and Paulo R. Souza performed the experiments; Cátia S. Nunes and Adonilson R. Freitas analyzed the data; Michael Jackson Viera da Silva and Fernanda A. Rosa contributed reagents/materials/analysis tools for preparing the IL [Bmim][BF4]; Cátia S. Nunes and Edvani C. Muniz wrote the submitted version of the paper.
Conflicts of Interest
The authors declare no conflict of interest.
References
- Imran, M.; Kim, B.K.; Han, M.; Cho, B.G.; Kim, D.H. Sub- and supercritical glycolysis of polyethylene terephthalate (pet) into the monomer bis(2-hydroxyethyl) terephthalate (bhet). Polym. Degrad. Stab. 2010, 95, 1686–1693. [Google Scholar] [CrossRef]
- Karayannidis, G.P.; Nikolaidis, A.K.; Sideridou, I.D.; Bikiaris, D.N.; Achilias, D.S. Chemical recycling of pet by glycolysis: Polymerization and characterization of the dimethacrylated glycolysate. Macromol. Mater. Eng. 2006, 291, 1338–1347. [Google Scholar] [CrossRef]
- Misra, E.; Basavarajaiah, S.; Kumar, K.R.; Ravi, P. Effect of recycling on the properties of poly(ethylene terephthalate) films. Polym. Int. 2000, 49, 1636–1640. [Google Scholar] [CrossRef]
- Buekens, A. Introduction to feedstock recycling of plastics. In Feedstock Recycling and Pyrolysis of Waste Plastics; John Wiley & Sons, Ltd: Hoboken, NJ, 2006; pp. 1–41. [Google Scholar]
- Oromiehie, A.; Mamizadeh, A. Recycling pet beverage bottles and improving properties. Poly. Int. 2004, 53, 728–732. [Google Scholar] [CrossRef]
- Genta, M.; Iwaya, T.; Sasaki, M.; Goto, M. Supercritical methanol for polyethylene terephthalate depolymerization: Observation using simulator. Waste Manag. 2007, 27, 1167–1177. [Google Scholar] [CrossRef] [PubMed]
- Aggarwal, A.; Lancaster, N.L.; Sethi, A.R.; Welton, T. The role of hydrogen bonding in controlling the selectivity of Diels-Alder reactions in room-temperature ionic liquids. Green Chem. 2002, 4, 517–520. [Google Scholar] [CrossRef]
- Zhang, C.M.; Xu, L.; Zhang, H.H.; Yang, J.L.; Du, J.M.; Liu, Z.Y. Determination of solid products from the de-polymerization of poly (trimethylene terephthalate) in supercritical methanol. J. Chromatogr. A 2004, 1055, 115–121. [Google Scholar] [CrossRef] [PubMed]
- De Castro, R.E.N.; Vidotti, G.J.; Rubira, A.F.; Muniz, E.C. Depolymerization of poly(ethylene terephthalate) wastes using ethanol and ethanol/water in suipercritical conditions. J. Appl. Polymer Sci. 2006, 101, 2009–2016. [Google Scholar] [CrossRef]
- Nunes, C.S.; da Silva, M.J.V.; da Silva, D.C.; Freitas, A.D.; Rosa, F.A.; Rubira, A.F.; Muniz, E.C. Pet depolymerisation in supercritical ethanol catalysed by [BMIM][BF4]. Rsc Adv. 2014, 4, 20308–20316. [Google Scholar] [CrossRef]
- Kosmulski, M.; Gustafsson, J.; Rosenholm, J.B. Thermal stability of low temperature ionic liquids revisited. Thermochim. Acta 2004, 412, 47–53. [Google Scholar] [CrossRef]
- Olivier-Bourbigou, H.; Magna, L.; Morvan, D. Ionic liquids and catalysis: Recent progress from knowledge to applications. Appl. Catal. A 2010, 373, 1–56. [Google Scholar] [CrossRef]
- Su, Y.; Brown, H.M.; Li, G.S.; Zhou, X.D.; Amonette, J.E.; Fulton, J.L.; Camaioni, D.M.; Zhang, Z.C. Accelerated cellulose depolymerization catalyzed by paired metal chlorides in ionic liquid solvent. Appl. Catal. A 2011, 391, 436–442. [Google Scholar] [CrossRef]
- Gordon, C.M. New developments in catalysis using ionic liquids. Appl. Catal. A 2001, 222, 101–117. [Google Scholar] [CrossRef]
- Cammarata, L.; Kazarian, S.G.; Salter, P.A.; Welton, T. Molecular states of water in room temperature ionic liquids. Phys. Chem. Chem. Phys. 2001, 3, 5192–5200. [Google Scholar] [CrossRef]
- Kazarian, S.G.; Briscoe, B.J.; Welton, T. Combining ionic liquids and supercritical fluids: In situ ATR-IR study of CO2 dissolved in two ionic liquids at high pressures. Chem. Commun. 2000, 2047–2048. [Google Scholar] [CrossRef]
- Katritzky, A.R.; Allin, S.M.; Siskin, M. Aquathermolysis: Reactions of organic compounds with superheated water. Acc. Chem. Res. 1996, 29, 399–406. [Google Scholar] [CrossRef]
- Siskin, M.; Katritzky, A.R. Reactivity of organic-compounds in hot water-geochemical and technological implications. Science 1991, 254, 231–237. [Google Scholar] [CrossRef] [PubMed]
- Siskin, M.; Katritzky, A.R. A review of the reactivity of organic compounds with oxygen-containing functionality in superheated water. J. Anal. Appl. Pyrolysis 2000, 54, 193–214. [Google Scholar] [CrossRef]
- Akdemir, N.; Gumrukcuoglu, I.E.; Agar, E. Synthesis and characterization of novel phthalocyanines containing N-(n-octyl)mercapto acetamide substituents. Synth. React. Inorg. Met.-Org. Nano-Met. Chem. 2005, 35, 819–824. [Google Scholar] [CrossRef]
- Kalkan, A.; Bayir, Z.A. Phthalocyanines with rigid carboxylic acid containing pendant arms. Polyhedron 2006, 25, 39–42. [Google Scholar] [CrossRef]
- Kulac, D.; Bulut, M.; Altindal, A.; Ozkaya, A.R.; Salih, B.; Bekaroglu, O. Synthesis and characterization of novel 4-nitro-2-(octyloxy)phenoxy substituted symmetrical and unsymmetrical Zn(ii), Co(ii) and Lu(iii) phthalocyanines. Polyhedron 2007, 26, 5432–5440. [Google Scholar] [CrossRef]
- Takahashi, C.; Shirai, T.; Fuji, M. Observation of interactions between hydrophilic ionic liquid and water on wet agar gels by FE-SEM and its mechanism. Mater. Chem. Phys. 2012, 133, 565–572. [Google Scholar] [CrossRef]
- Liu, W.W.; Zhao, T.Y.; Zhang, Y.M.; Wang, H.P.; Yu, M.F. The physical properties of aqueous solutions of the ionic liquid [BMIM][BF4]. J. Solut. Chem. 2006, 35, 1337–1346. [Google Scholar] [CrossRef]
- Wamser, C.A. Hydrolysis of fluoboric acid in aqueous solution. J. Am. Chem. Soc. 1948, 70, 1209–1215. [Google Scholar] [CrossRef]
- Akiya, N.; Savage, P.E. Roles of water for chemical reactions in high-temperature water. Chem. Rev. 2002, 102, 2725–2750. [Google Scholar] [CrossRef]
- Khupse, N.D.; Kumar, A. Ionic liquids: New materials with wide applications. Indian J. Chem. Sect. A 2010, 49, 635–648. [Google Scholar]
- Donald, L.; Pavia, G.M.L.; Kriz, G.S.; Vyvyan, J.R. Introdução á Espectroscopia, 4th ed.; Norte-Americana ed.; CENGAGE Learning: São Paulo, Brazil, 2010. [Google Scholar]
- Wang, H.; Liu, Y.Q.; Li, Z.X.; Zhang, X.P.; Zhang, S.J.; Zhang, Y.Q. Glycolysis of poly(ethylene terephthalate) catalyzed by ionic liquids. Eur. Polym. J. 2009, 45, 1535–1544. [Google Scholar] [CrossRef]
- Chen, C.H. Study of glycolysis of poly(ethylene terephthalate) recycled from postconsumer soft-drink bottles. Iii. Further investigation. J. Appl. Polym. Sci. 2003, 87, 2004–2010. [Google Scholar] [CrossRef]
- Ghaemy, M.; Mossaddegh, K. Depolymerisation of poly(ethylene terephthalate) fibre wastes using ethylene glycol. Polym. Degrad. Stab. 2005, 90, 570–576. [Google Scholar] [CrossRef]
- McGonigle, E.A.; Daly, J.H.; Gallagher, S.; Jenkins, S.D.; Liggat, J.J.; Olsson, I.; Pethrick, R.A. Physical ageing in poly(ethylene terephthalate)—its influence on cold crystallisation. Polymer 1999, 40, 4977–4982. [Google Scholar] [CrossRef]
- Dong, W.; Zhao, J.; Li, C.X.; Gu, M.L.; Zhao, D.L.; Fan, Q.R. Study of the amorphous phase in semicrystalline poly(ethylene terephthalate) via dynamic mechanical thermal analysis. Polym. Bull. 2002, 49, 197–203. [Google Scholar] [CrossRef]
- Safavi, A.; Abdollahi, H.; Maleki, N.; Zeinali, S. Interaction of anionic dyes and cationic surfactants with ionic liquid character. J. Colloid Interface Sci. 2008, 322, 274–280. [Google Scholar] [CrossRef] [PubMed]
- Carmichael, A.J.; Seddon, K.R. Polarity study of some 1-alkyl-3-methylimidazolium ambient-temperature ionic liquids with the solvatochromic dye, nile red. J. Phys. Org. Chem. 2000, 13, 591–595. [Google Scholar] [CrossRef]
- Muldoon, M.J.; Gordon, C.M.; Dunkin, I.R. Investigations of solvent-solute interactions in room temperature ionic liquids using solvatochromic dyes. J. Chem. Soc.-Perkin Trans. 2 2001, 433–435. [Google Scholar] [CrossRef]
- Odabas, Z.; Altindal, A.; Bulut, M. Synthesis, characterization and electrical properties of novel metal-free, Co(ii), Cu(ii), Fe(ii), Mn(ii), Sn(ii) phthalocyanines peripherally tetra-substituted with 2,3-dihydro-1H-inden-5-yloxy moiety. Synth. Met. 2011, 161, 1742–1752. [Google Scholar] [CrossRef]
- Li, Z.; Sun, X.; Liu, J. Ionic liquids: Applications and perspectives. In Ionic Liquid as Novel Solvent for Extraction and Separation in Analytical Chemistry; Kokorin, A., Ed.; InTech: Rijeka, Croatia, 2011; Volume 2, pp. 154–156. [Google Scholar]
- Dupont, J.; Consorti, C.S.; Suarez, P.A.Z.; de Souza, R.F. Preparation of 1-butyl-3-methyl imidazolium-based room temperature ionic liquids. Org. Synth. 2002, 79, 236. [Google Scholar] [CrossRef]
- Viana, M.E.; Riul, A.; Carvalho, G.M.; Rubira, A.F.; Muniz, E.C. Chemical recycling of pet by catalyzed glycolysis: Kinetics of the heterogeneous reaction. Chem. Eng. J. 2011, 173, 210–219. [Google Scholar] [CrossRef]
© 2017 by the authors. Licensee MDPI, Basel, Switzerland. This article is an open access article distributed under the terms and conditions of the Creative Commons Attribution (CC BY) license ( http://creativecommons.org/licenses/by/4.0/).









