Next Article in Journal
Solventless Synthesis of Quaterphenyls and Terphenyls from Chalcones and Allylsulfones under Phase Transfer Catalysis Conditions
Next Article in Special Issue
Enantiopure C1-symmetric N-Heterocyclic Carbene Ligands from Desymmetrized meso-1,2-Diphenylethylenediamine: Application in Ruthenium-Catalyzed Olefin Metathesis
Previous Article in Journal
Highly Efficient Tetranuclear ZnII2LnIII2 Catalysts for the Friedel–Crafts Alkylation of Indoles and Nitrostyrenes
 
 
Font Type:
Arial Georgia Verdana
Font Size:
Aa Aa Aa
Line Spacing:
Column Width:
Background:
Communication

Olefin Hydroborations with Diamidocarbene–BH3 Adducts at Room Temperature

by
Dominika N. Lastovickova
1,2 and
Christopher W. Bielawski
2,3,*
1
Department of Chemistry, The University of Texas at Austin, Austin, TX 78712, USA
2
Center for Multidimensional Carbon Materials (CMCM), Institute for Basic Science (IBS), Ulsan National Institute of Science and Technology (UNIST), Ulsan 44919, Korea
3
Department of Chemistry and Department of Energy Engineering, Ulsan National Institute of Science and Technology (UNIST), Ulsan 44919, Korea
*
Author to whom correspondence should be addressed.
Catalysts 2016, 6(9), 141; https://doi.org/10.3390/catal6090141
Submission received: 13 August 2016 / Revised: 1 September 2016 / Accepted: 2 September 2016 / Published: 12 September 2016
(This article belongs to the Special Issue Tailor-Made NHC Ligands)

Abstract

:
An isolable N,N’-diamidocarbene (DAC) was previously shown to promote the B–H bond activation of various BH3 complexes. The resultant DAC–BH3 adducts facilitated olefin hydroborations under mild conditions and in the absence of exogenous initiators. The substrate scope for such transformations was further explored and is described herein. While organoboranes were obtained in quantitative yields from various terminal and internal olefins, use of the latter substrates resulted in intramolecular ring-expansion of the newly formed DAC–borane adducts.

Graphical Abstract

1. Introduction

The hydroboration of unsaturated compounds followed by oxidation is a common and versatile method for the preparation of a broad range of alcohols [1,2]. Moreover, hydroboration chemistry has been extended to afford halogenated and other oxidized hydrocarbons as well as their reduced congeners [3,4,5]. Numerous transition metal-based hydroboration catalysts have been developed over the past several decades to improve chemo-, regio- and/or stereo-selectivities [5,6,7,8,9]. Efforts toward the development of organocatalyzed analogues have also been pursued, with particular attention focused on stable carbenes, including the cyclic (alkyl)(amino) carbenes (CAACs) and the N-heterocyclic carbenes (NHCs) [10,11,12,13,14]. These carbenes form Lewis acid–base adducts upon exposure to various BH3 complexes containing dative ligands, such as dimethylsulfide (SMe2) [15,16,17,18,19]. In the absence of any external initiators, the NHC–BH3 adducts typically do not react with olefins. However, as shown in Scheme 1, the NHC–BH3 adducts do facilitate the hydroboration of a wide range of organic molecules at elevated temperatures and/or upon the addition of a radical initiator [19,20,21,22,23,24,25,26,27].
As shown in Scheme 2, we previously demonstrated that the N,N’-diamidocarbenes (DACs), a unique class of stable carbenes [28], afford 1 upon exposure to either BH3–pyridine or BH3–SMe2 [29]. Unlike NHCs and CAACs, the DACs did not displace the datively bonded Lewis base, but instead facilitated B–H activation. The relative basicity of the coordinated ligand was found to directly correlate with the stability of the corresponding DAC–BH3 adduct. For example, adduct 1a, which contains SMe2, was prone to intramolecular ring-expansion to 2 and de-coordination (Scheme 2). The use of a stronger Lewis base, such as pyridine, afforded an adduct (1b) that exhibited increased stability toward water and air; ring-expansion was not observed, even at elevated temperatures. To explore the hydroboration chemistry displayed by DAC–BH3 adducts, 1a and 1b were independently treated with a series of unactivated olefins. While 1a was successfully used as a hydroboration reagent and operated in the absence of exogenous radical initiators at room temperature, adduct 1b was found to require relatively high reaction temperatures; as such, subsequent efforts focused on the former.

2. Results and Discussion

As summarized in Scheme 3, the addition of an excess of a terminal olefin, such as 1-hexene, to a solution of 1a in CH2Cl2 resulted in the formation of 3, as determined by 1H, 13C, and 11B NMR spectroscopy as well as high resolution mass spectrometry. Inspection of the 1H NMR data revealed a diagnostic singlet at δ 6.09 ppm (C6D6), which was assigned to the methine group of 3. When an excess of 1,5-hexadiene was added to 1a, both double bonds underwent hydroboration, and 4 was obtained as the exclusive product (Scheme 4).
The ability of 1a to facilitate the hydroboration of internal olefins was also explored. When 1a was treated with an excess of cyclohexene, a product (6) containing only one cyclohexyl moiety was obtained (Scheme 5). The 1H NMR recorded for 6 showed a diagnostic singlet at δ 3.61 ppm (C6D6), which corresponded to the two hydrogen atoms at the former carbenoid center. As no reaction was observed between 2 and cyclohexene, we hypothesized that the initial formation of 5 (not observed) was rapidly followed by intramolecular ring-expansion. The hydroboration chemistry of 1a with internal olefins was further explored by independently treating 1a with 1,3- or 1,4-cyclohexadiene. Similar to the results obtained when cyclohexene was used as a substrate, the formation of ring-expanded products was observed (Scheme 6). While the hydroboration of 1,4-cyclohexadiene readily produced 8 as a single product, as evidenced by the appearance of a doublet of triplets at δ 3.56 ppm (C6D6), the hydroboration of 1,3-cyclohexadiene yielded an equimolar mixture of 7 and 8. The mixture of isomers was supported by two distinct 1H NMR doublet of triplets at δ 3.56 ppm and δ 3.73 ppm (C6D6), which were assigned to the two hydrogen atoms attached to the former carbenoid centers in the respective compounds.
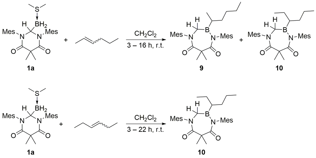
Acyclic internal olefins were also studied as hydroboration substrates. Upon the addition of cis- or trans-2-hexene to a CH2Cl2 solution of 1a, the appearance of overlapping multiplets at δ 3.67 ppm was observed in a 1:2 ratio in the corresponding 1H NMR spectrum (C6D6) recorded for the respective products 9 and 10 (Scheme 7). Over time or upon heating the reaction mixture to 55 °C, the two multiplets converted to a single multiplet resonance at δ 3.67 ppm (see Supplementary Materials, Figure S17). Similar results were reported by Curran and co-workers, who attributed the phenomena to “chain walking” of a carbene–BH3 adduct [19,20,21,22,23,24,25,26]. Additionally, when cis- or trans-3-hexene was introduced to 1a, compound 10 was obtained as the sole product, as indicated by the presence of a single multiplet at δ 3.67 ppm (C6D6). The structure of 10 was also unambiguously confirmed using single crystal X-ray crystallography (Figure 1).
Finally, efforts were directed toward the determination of conditions which facilitate a stepwise hydroboration of an internal olefin and a terminal olefin to obtain the corresponding mixed product. Upon the initial addition of excess cyclohexene to a benzene solution of 1a, the ring-expanded compound 6 was observed as the exclusive product via 1H NMR spectroscopy analysis of the crude reaction mixture. No reaction was observed upon the subsequent addition of 1-octene. In a separate experiment, a stoichiometric mixture of cyclohexene and 1-octene was added in excess to a benzene solution of 1a. The product of this reaction was determined by 1H NMR spectroscopy and mass spectrometry to contain a nearly equimolar mixture of the mixed product 11, the ring-expanded product 6, and 12 [29] (Scheme 8). We surmise that after the initial hydroboration of cyclohexene, the respective product did not enable the hydroboration of 1-octene, but instead underwent intramolecular ring-expansion to yield 6. These results indicated that 1a facilitated the hydroboration of two olefins, but only when the first reaction was with a terminal olefin. Furthermore, a 1H NMR spectrum recorded after the addition of 0.5 equiv of 1-hexene to a CD2Cl2 solution of 1a exhibited singlets at δ 6.08 ppm and δ 5.69 ppm in a 1:3 ratio, which were assigned to the methine groups of 3 and residual 1a, respectively. Based on these results, we concluded that hydroboration preceded intramolecular ring-expansion.

3. Materials and Methods

3.1. General Information

All procedures were performed in a nitrogen-filled glove box unless otherwise noted. Solvents were dried and degassed by a Vacuum Atmospheres Company solvent purification system (Vacuum Atmosphere Co., Hawthorne, CA, USA) and stored over 4 Å molecular sieves in a nitrogen-filled glove box. Unless otherwise specified, reagents were purchased from commercial sources and used without further purification. N,N’-dimesityl-4,6-diketo-5,5-dimethylpyrimidin-2-ylidene, as well as adducts 1a and 1b, were synthesized according to previously-reported procedures [29,30]. The hydroboration reactions described herein are unoptimized. Melting points were obtained using a MPA100 OptiMelt automated melting point apparatus (Stanford Research Systems Inc., Sunnyvale, CA, USA) and are uncorrected. NMR spectra were recorded on a MR 400, Inova 500, or DirectDrive 600 MHz spectrometer (Varian, Inc., Palo Alto, CA, USA), MR 400 MHz spectrometer (Agilent Technologies, Santa Clara, CA, USA) or an Ascend™ 400 MHz spectrometer (Bruker Co., Fällanden, Switzerland via Bruker Korea Co., Ltd., Seongnam-si, Korea). Chemical shifts (δ) are given in ppm and are referenced to the residual solvent (1H: C6D6, 7.16 ppm; 13C: C6D6, 128.06 ppm). Linear predictions were applied to all 11B NMR spectra to remove the signals that corresponded to the boron found in the glass of the NMR tubes used in the corresponding experiments; the 11B NMR spectrum of C6D6 as a “blank” was also collected as a reference. Infrared (IR) spectra were recorded on a Nicolet iS5 system (Thermo Fisher Scientific, Waltham, MA, USA) equipped with an iD3 attenuated total reflectance (ATR) attachment (diamond crystal) or in a KBr pellet. High resolution mass spectra (HRMS) were obtained with a Autospec-Ultima mass spectrometer (Waters Co., Milford, MA, USA) using chemical ionization (CI) or a 6530 QTOF mass spectrometer (Agilent Technologies, Santa Clara, CA, USA) using electrospray ionization (ESI). Low resolution mass spectra (LRMS) were obtained with a 6130 single quadrupole mass spectrometer equipped with an 1200 LC system (Agilent Technologies, Santa Clara, CA, USA). Elemental analyses were performed with a 2000 Organic Elemental Analyzer (Thermo Fisher Scientific, Waltham, MA, USA).

3.2. DAC–BH3 SMe2 + 1-Hexene to Obtain 3

An excess of 1-hexene (0.1 mL, 0.8056 mmol, 4.6 equiv.) was added dropwise to a stirred solution of 1a (79.6 mg, 0.1759 mmol) in dichloromethane (2.0 mL). The resulting mixture was stirred for 17 h at ambient temperature, whereupon the volatiles were removed under reduced pressure to afford 3 as a white solid (0.0961 g, 0.1720 mmol, 98% yield). mp = 120–123 °C. 1H NMR (C6D6, 499.86 MHz): δ 0.98 (br m, 26H), 1.59 (s, 3H), 2.01 (overlapping s, 9H), 2.08 (s, 6H), 2.41 (s, 6H), 6.09 (s, 1H), 6.58 (overlapping s, 2H), 6.66 (overlapping s, 2H). 13C NMR (C6D6, 125.70 MHz): δ 14.28, 19.45, 19.47, 20.78, 21.26, 22.84, 22.97, 24.34, 31.94, 48.40, 67.49, 129.76, 129.91, 135.24, 136.02, 138.01, 138.66, 172.26. 11B NMR (C6D6, 128.39 MHz): δ 78.42 (s). IR (KBr): ν = 3447.0, 2956.3, 2920.9, 2856.1, 1692.8, 1658.4, 1606.3, 1481.4, 1464.9, 1456.9, 1410.5, 1357.2, 1321.5, 1211.5, 1165.5 cm−1. HRMS (ESI): [M + H]+ calcd for C36H56N2O2B: 559.4435; found: 559.4442. Anal. Calcd for C36H55N2O2B: C, 77.40; H, 9.92; N, 5.01; found: C, 77.05; H, 10.11; N, 5.12.

3.3. DAC–BH3 SMe2 + 1,5-Hexadiene to Obtain 4

An excess of 1,5-hexadiene (ca. 0.03 mL) was added dropwise to a stirred solution of 1a (10.8 mg, 0.0237 mmol) in benzene (1.0 mL). The mixture was stirred for 20 h at ambient temperature, whereupon the volatiles were removed under reduced pressure to afford 4 as a white solid (0.0106 g, 0.0224 mmol, 95% yield). mp = 173–176 °C. 1H NMR (C6D6, 499.86 MHz): δ 0.41–1.07 (br m, 12H), 1.57 (t, J = 5.0 Hz, 3H), 2.00 (overlapping s, 9H), 2.07 (s, 6H), 2.38 (t, J = 4.5 Hz, 6H), 5.98 (s, 1H), 6.57 (s, 2H), 6.66 (s, 2H). 13C NMR (C6D6, 125.70 MHz): δ 19.16, 19.30, 19.40, 19.47, 20.77, 21.30, 22.88, 22.95, 32.69, 33.31, 48.36, 66.41, 129.49, 129.88, 135.15, 136.04, 138.06, 138.76, 172.24. 11B NMR (C6D6, 160.37 MHz): δ 78.98 (s). IR (KBr): ν = 3427.4, 2976.9, 2918.2, 2859.3, 1684.9, 1656.9, 1606.3, 1482.0, 1459.5, 1441.0, 1410.2, 1372.3, 1358.4, 1311.52, 1187.8, 1099.1, 1012.4, 849.6, 725.4, 569.5, 511.7 cm−1. HRMS (ESI): [M + H]+ calcd for C30H42N2O2B: 473.3339; found: 473.3345. Anal. Calcd for C30H41N2O2B: C, 76.26; H, 8.75; N, 5.93; found: C, 76.08; H, 8.39; N, 5.93.

3.4. DAC–BH3 SMe2 + Cyclohexene to Obtain 6

An excess of cyclohexene (ca. 0.05 mL) was added dropwise to a stirred solution of 1a (80.6 mg, 0.1781 mmol) in dichloromethane (1.0 mL). The mixture was stirred for 15 h at ambient temperature, whereupon the volatiles were removed under reduced pressure to afford 6 as a white solid (0.0780 g, 0.1651 mmol, 93% yield). mp = 81–84 °C. 1H NMR (C6D6, 499.86 MHz): δ 0.74 (br m, 4H), 1.32 (br m, 2H), 1.40 (br m, 4H), 1.77 (s, 6H), 2.05 (s, 6H), 2.09 (s, 3H), 2.13 (s, 3H), 2.16 (s, 6H), 3.61 (s, 2H), 6.76 (s, 2H), 6.81 (s, 2H). 13C NMR (C6D6, 125.70 MHz): δ 17.82, 19.06, 20.87, 20.92, 26.02, 26.41, 27.40, 29.39, 31.78, 47.39, 129.70, 129.87, 134.26, 134.41, 136.70, 136.84, 138.92, 142.24, 168.38, 176.76. 11B NMR (C6D6, 160.37 MHz): δ 53.35 (s). IR (KBr): ν = 3445.4, 2919.8, 2847.9, 2372.4, 2280.5, 1694.6, 1645.2, 1620.3, 1607.6, 1485.7, 1458.2, 1398.7, 1382.1, 1367.63, 1343.7, 1243.7, 1197.6, 1168.4, 1091.0, 755.9, 688.0 cm−1. HRMS (ESI): [M + H]+ calcd for C30H41N2O2B: 473.33390; found: 473.33470.

3.5. DAC–BH3 SMe2 + 1,4-Cyclohexadiene to Obtain 7

An excess of 1,4-cyclohexadiene (ca. 0.04 mL) was added to a stirred solution of 1a (20 mg, 0.0442 mmol) in dichloromethane (0.5 mL). The mixture was stirred for 30 min at ambient temperature, whereupon the volatiles were removed under reduced pressure to afford 7 as a white solid (0.0187g, 0.03975 mmol, 90% yield). mp = 153–159 °C. 1H NMR (C6D6, 499.86 MHz): δ 0.96 (s, 2H), 1.57 (s, 4H), 1.77 (s, 3H), 1.80 (s, 3H), 2.03 (s, 6H), 2.05 (s, 3H), 2.14 (s, 6H), 2.15 (s, 3H), 3.56 (dt, Jd = 35.00 Hz, Jt = 21.00 Hz, 2H), 5.43 (t, J = 1.5 Hz, 1H), 5.60 (m, 1H), 6.70 (m, 1H), 6.72 (m, 1H), 6.81 (s, 2H). 13C NMR (C6D6, 125.70 MHz): δ 17.80, 17.84, 19.02, 19.06, 20.84, 20.92, 25.34, 25.77, 26.00, 26.03, 26.07, 26.76, 27.43, 47.07, 124.61, 126.86, 129.68, 129.79, 129.85, 129.86, 134.20, 134.26, 134.28, 134.47, 136.80, 136.85, 138.77, 142.21, 168.31, 176.69. 11B NMR (C6D6, 160.37 MHz): δ 52.87 (s). IR (KBr): ν = 3016.7, 2916.6, 1700.13, 1683.9, 1668.4, 1652.5, 1506.1, 1484.0, 1457.2, 1398.0, 1367.9, 1344.8, 1305.3, 1256.5, 1235.3, 1207.5, 1164.1, 1095.3, 850.4 cm−1. HRMS (ESI): [M + H]+ calcd for C30H39N2O2B: 472.32130; found: 472.32120. Anal. Calcd for C30H39N2O2B: C, 76.59; H, 8.36; N, 5.95; found: C, 76.64; H, 8.32; N, 6.02.

3.6. DAC–BH3 SMe2 + 1,3-Cyclohexadiene to Obtain a Mixture of 7 + 8

An excess of 1,3-cyclohexadiene (ca. 0.04 mL) was added to a stirred solution of 1a (20 mg, 0.0442 mmol) in dichloromethane (0.5 mL). The mixture was stirred for 30 min at ambient temperature, whereupon the volatiles were removed under reduced pressure to afford a mixture of 7 + 8 as a white solid in quantitative yield. mp = 72–96 °C. 1H NMR (C6D6, 499.86 MHz): δ 0.91–1.70 (br m, 14H), 1.76 (s, 3H), 1.77 (s, 3H), 1.80 (overlapping s, 6H), 2.03 (s, 6H), 2.05 (s, 6H), 2.08 (overlapping s, 6H), 2.10 (s, 3H), 2.13 (s, 3H), 2.14 (s, 6H), 2.15 (s, 6H), 3.56 (dt, Jd = 34.49 Hz, Jt = 20.99 Hz, 2H), 3.73 (dt, Jd = 35.99 Hz, Jt = 14.50 Hz, 2H), 5.35 (m, 1H), 5.49 (m, 1H), 5.67 (m, 1H), 5.85 (m, 1H), 6.73 (m, 6H), 6.81 (s, 2H). 13C NMR (C6D6, 125.70 MHz): δ 17.78, 17.80, 17.84, 19.02, 19.03, 19.05, 19.13, 20.85, 20.87, 20.90, 20.92, 22.33, 22.59, 22.79, 22.93, 24.69, 25.22, 25.34, 25.40, 25.45, 25.77, 26.00, 26.03, 26.05, 26.71, 27.43, 29.40, 30.01, 47.07, 47.64, 53.34, 53.44, 124.73, 129.82, 129.91, 134.13, 134.20, 134.26, 134.28, 134.47, 134.50, 136.76, 136.80, 136.85, 136.86, 138.77, 138.91, 142.16, 142.20, 168.24, 168.31, 176.69, 176.78. 11B NMR (C6D6, 160.37 MHz): δ 52.81 (br s). IR (KBr): ν = 3014.0, 2920.1, 2856.7, 1700.2, 1652.5, 1484.0, 1464.9, 1397.7, 1367.2, 1305.6, 1239.8, 1164.0, 1095.3, 850.5 cm−1. HRMS (ESI): [M + H]+ calcd for C30H39N2O2B: 471.31830; found: 471.31870. Anal. Calcd for C30H39N2O2B: C, 76.59; H, 8.36; N, 5.95; found: C, 76.70; H, 8.39; N, 5.57.

3.7. DAC–BH3 SMe2 + cis-2-Hexene to Obtain a Mixture of 9 + 10

An excess of cis-2-hexene (ca. 0.05 mL) was added to a stirred solution of 1a (84.4 mg, 0.1865 mmol) in dichloromethane (2.0 mL). The mixture was stirred for 16 h at ambient temperature, whereupon the volatiles were removed under reduced pressure to afford products 9 and 10 as a white solid in 1:2 ratio (0.0765 g, 0.1612 mmol, 86% yield). mp = 60–63 °C. 1H NMR (C6D6, 499.86 MHz): δ 0.79 (m, 7H), 1.16 (m, 6H), 1.64 (s, 3H), 1.70 (s, 3H), 2.01 (m, 12H), 2.10 (s, 12H), 2.12 (s, 3H), 2.14 (s, 3H), 2.25 (m, 9H), 2.31 (m, 6H), 3.70 (m, 2H), 6.86–6.91 (s, 2H), 6.95 (s, 4H). 13C NMR (C6D6, 125.70 MHz): δ 14.03, 16.47, 17.80, 17.86, 19.01, 20.85, 20.90, 22.71, 22.96, 24.61, 24.73, 25.93, 26.01, 26.04, 26.11, 31.34, 33.45, 46.27, 53.35, 129.53, 129.60, 129.70, 129.88, 134.19, 134.22, 134.67, 136.74, 136.83, 138.76, 142.32, 168.37, 176.57. 11B NMR (C6D6, 160.37 MHz): δ 53.72 (br s). IR (KBr): ν = 3480.4, 2922.6, 2869.5, 2857.6, 1699.5, 1695.0, 1652.2, 1608.7, 1483.7, 1464.0, 1397.7, 1381.4, 1366.5, 1262.7, 1241.6, 1229.0, 1199.1, 1164.0 cm−1. HRMS (CI): [M + H]+ calcd for C30H44N2O2B: 475.3496; found: 475.3492. Anal. Calcd for C30H43N2O2B: C, 75.94; H, 9.13; N, 5.90; found: C, 75.83; H, 9.26; N, 5.76.

3.8. DAC–BH3 SMe2 + trans-2-Hexene to Obtain a Mixture of 9 + 10

An excess of trans-2-hexene (ca. 0.05 mL) was added to a stirred solution of 1a (89.4 mg, 0.1976 mmol) in dichloromethane (2.0 mL). The mixture was stirred for 3 h at ambient temperature, whereupon the volatiles were removed under reduced pressure to afford a mixture of 9 + 10 as a white solid (0.0860 g, 0.1812 mmol, 92% yield). mp = 64–67 °C. 1H NMR (C6D6, 499.86 MHz): δ 0.63 (m, 3H), 0.72 (t, J = 7.25 Hz, 3H), 0.79–1.18 (m, 7H), 1.79 (s, 6H), 2.07–2.12 (m, 12H), 2.16 (m, 3H), 3.66 (m, 2H), 6.76 (s, 2H), 6.79 (s, 2H). 13C NMR (C6D6, 125.70 MHz): δ 14.03, 16.47, 17.80, 17.86, 19.02, 20.85, 20.91, 22.71, 22.98, 24.61, 24.73, 25.94, 26.02, 26.04, 26.11, 31.34, 33.45, 46.27, 53.35, 129.53, 129.60, 129.70, 129.88, 134.20, 134.23, 134.67, 136.73, 136.82, 138.79, 142.34, 168.33, 176.58. 11B NMR (C6D6, 160.37 MHz): δ 53.72 (bs). IR (KBr): ν = 3480.4, 2954.6, 2922.6, 2869.5, 2857.6, 1699.5, 1695.0, 1652.2, 1608.7, 1483.7, 1464.0, 1397.7, 1381.4, 1366.5, 1262.7, 1241.6, 1229.0, 1199.1, 1164.0 cm−1. HRMS (CI): [M + H]+ calcd for C30H44N2O2B: 475.3496; found: 475.3503. Anal. Calcd for C30H43N2O2B: C, 75.94; H, 9.13; N, 5.90; found: C, 75.54; H, 9.08; N, 5.74.

3.9. DAC–BH3 SMe2 + cis-3-Hexene to Obtain 10

An excess of cis-3-hexene (ca. 0.05 mL) was added to a stirred solution of 1a (57.1 mg, 0.1262 mmol) in dichloromethane (2.0 mL). The mixture was stirred for 3 h at ambient temperature, whereupon the volatiles were removed under reduced pressure to afford 10 as a white solid (0.0581 g, 0.1224 mmol, 97% yield). Single crystals suitable for single crystal X-ray diffraction were grown using a slow evaporation of saturated benzene solution of product 10. mp = 60–64 °C. 1H NMR (C6D6, 499.86 MHz): δ 0.63 (m, 3H), 0.72 (t, J = 7.25 Hz, 3H), 0.80–1.17 (m, 7H), 1.80 (s, 6H), 2.08–2.12 (m, 12H), 2.16 (m, 3H), 3.67 (dt, Jd = 31.24 Hz, Jt = 20.99 Hz, 2H), 6.77 (s, 2H), 6.79 (s, 2H). 13C NMR (C6D6, 125.70 MHz): δ 14.02, 16.47, 17.81, 17.86, 19.01, 20.84, 20.90, 22.72, 22.98, 24.61, 24.73, 25.94, 26.01, 26.04, 26.11, 31.34, 33.46, 46.26, 53.36, 129.53, 129.60, 129.70, 129.88, 134.20, 134.23, 134.68, 136.73, 136.83, 138.80, 142.34, 168.36, 176.58. 11B NMR (C6D6, 160.37 MHz): δ 55.26 (br s). HRMS (CI): [M + H]+ calcd for C30H44N2O2B: 475.3496; found: 475.3498. Anal. Calcd for C30H43N2O2B: C, 75.94; H, 9.13; N, 5.90; found: C, 76.16; H, 9.10; N, 5.87.

3.10. DAC–BH3 SMe2 + trans-3-Hexene to Obtain 10

An excess of trans-3-hexene (ca. 0.04 mL) was added to a stirred solution of 1a (12.03 mg, 0.0266 mmol) in dichloromethane (2.0 mL). The mixture was stirred for 22 h at ambient temperature whereupon the volatiles were removed under reduced pressure to afford 10 as a white solid in quantitative yield. mp = 58–62 °C. 1H NMR (C6D6, 499.86 MHz): δ 0.63 (m, 3H), 0.72 (t, J = 7.25 Hz, 3H), 0.78–1.19 (m, 7H), 1.79 (s, 6H), 2.08–2.12 (m, 12H), 2.16 (m, 3H), 3.67 (dt, Jd = 31.24 Hz, Jt = 20.74 Hz, 2H), 6.76 (s, 2H), 6.79 (s, 2H). 13C NMR (C6D6, 125.70 MHz): δ 14.02, 16.46, 17.79, 17.84, 19.01, 20.85, 20.90, 22.71, 22.97, 24.60, 24.72, 25.92, 25.99, 26.02, 26.09, 31.33, 33.44, 46.28, 53.33, 129.57, 129.61, 129.71, 129.87, 134.15, 134.18, 134.65, 136.76, 136.86, 138.76, 142.27, 168.45, 176.53. 11B NMR (C6D6, 160.37 MHz): δ 53.71 (br s). HRMS (CI): [M + H]+ calcd for C30H44N2O2B: 475.3496; found: 475.3497. Anal. Calcd for C30H43N2O2B: C, 75.94; H, 9.13; N, 5.90; found: C, 76.24; H, 9.10; N, 5.79.

3.11. DAC–BH3 SMe2 + 1-Octene + Cyclohexene

An excess 1:1 molar mixture of 1-octene and cyclohexene (ca. 0.03 mL) was added dropwise to a stirred solution of 1a (10 mg, 0.0221 mmol) in dichloromethane (0.7 mL). The mixture was stirred for 12 h at ambient temperature, whereupon the crude reaction mixture was analyzed by 1H NMR spectrometry and low resolution mass spectrometry. LRMS for 6 (ESI): [M + H]+ calcd for C30H42N2O2B: 473.3; found: 473.3. LRMS for 11 (ESI): [M + H]+ calcd for C38H58N2O2B: 585.5; found: 585.5. LRMS for 12 (ESI): [M + H]+ calcd for C40H64N2O2B: 615.5; found: 615.5.

4. Conclusion

In conclusion, we have demonstrated that the DAC–BH3 adduct 1a facilitated the hydroboration of a range of olefins. The outcomes of these reactions were found to depend on the substrate employed and have provided additional insight into the underlying mechanism. While terminal olefins underwent hydroboration and afforded the expected organoboranes, the use of internal olefins typically resulted in rapid intramolecular ring-expansion of the putative products. The ring-expansion was modulated through the inclusion of terminal olefins in the corresponding reaction mixtures and afforded organoboranes that contained primary and secondary alkyl groups.

Supplementary Materials

The representative 1H, 13C, and 11B NMR spectra (Figures S1–S31) for the above described complexes as well as details about the single crystal XRD structure of 10 (Table S1) are available online at www.mdpi.com/2073-4344/6/9/141/s1.

Acknowledgments

We are grateful to Office of Naval Research (N00014-14-1-0650), the National Science Foundation (CHE-1266323), the Institute for Basic Science (IBS-R019-D1) and the BK21 Plus Program as funded by the Ministry of Education and the National Research Foundation of Korea for their support.

Author Contributions

Dominika N. Lastovickova and Christopher W. Bielawski conceived and designed experiments, analyzed the data, and wrote the manuscript.

Conflicts of Interest

The authors declare no conflict of interest. The founding sponsors had no role in the design of the study; in the collection, analyses, or interpretation of data; in the writing of the manuscript, or in the decision to publish the results.

References

  1. Brown, H.C. Organic Syntheses via Boranes; John Wiley & Sons: New York, NY, USA, 1975; pp. 77–94. [Google Scholar]
  2. Brown, H.C.; Ravindran, N. Molecular addition compounds. 3. Redistribution of borane-methyl sulfide with boron trichloride-methyl sulfide and boron tribromide-methyl sulfide as convenient routes to the corresponding haloborane-methyl sulfides. Inorg. Chem. 1977, 16, 2938–2940. [Google Scholar] [CrossRef]
  3. Brown, H.C.; Lane, C.F. Base-induced reaction of organoboranes with bromine. Convenient procedure for the anti-Markovnikov hydrobromination of terminal olefins via hydroboration-bromination. J. Am. Chem. Soc. 1970, 92, 6660–6661. [Google Scholar] [CrossRef]
  4. Brown, H.; Rao, B.C. Communications–Selective conversion of olefins into organoboranes through competitive hydroboration, isomerization and displacement reactions. J. Org. Chem. 1957, 22, 1137–1138. [Google Scholar] [CrossRef]
  5. Graham, T.J.A.; Poole, T.H.; Reese, C.N.; Goess, B.C. Regioselective semihydrogenation of dienes. J. Org. Chem. 2011, 76, 4132–4138. [Google Scholar] [CrossRef] [PubMed]
  6. Sewell, L.J.; Chaplin, A.B.; Weller, A.S. Hydroboration of an alkene by amine-boranes catalysed by a [Rh(PR3)2]+ fragment. Mechanistic insight and tandem hydroboration/dehydrogenation. Dalton Trans. 2011, 40, 7499–7501. [Google Scholar] [CrossRef] [PubMed]
  7. Evans, D.A.; Fu, G.C.; Anderson, B.A. Mechanistic study of the rhodium(I)-catalyzed hydroboration reaction. J. Am. Chem. Soc. 1992, 114, 6679–6685. [Google Scholar] [CrossRef]
  8. Burgess, K.; van der Donk, W.A.; Westcott, S.A.; Marder, T.B.; Baker, R.T.; Calabrese, J.C. Reactions of catecholborane with Wilkinson’s catalyst: Implications for transition metal-catalyzed hydroborations of alkenes. J. Am. Chem. Soc. 1992, 114, 9350–9359. [Google Scholar] [CrossRef]
  9. Chong, C.C.; Kinjo, R. Catalytic hydroboration of carbonyl derivatives, imines, and carbon dioxide. ACS Catal. 2015, 5, 3238–3259. [Google Scholar] [CrossRef]
  10. Arduengo, A.J., III; Harlow, R.L.; Kline, M. A stable crystalline carbine. J. Am. Chem. Soc. 1991, 113, 361–363. [Google Scholar] [CrossRef]
  11. Arduengo, A.J., III; Dias, H.V.R.; Harlow, R.L.; Kline, M. Electronic stabilization of nucleophilic carbenes. J. Am. Chem. Soc. 1992, 114, 5530–5534. [Google Scholar] [CrossRef]
  12. Back, O.; Henry-Ellinger, M.; Martin, C.D.; Martin, D.; Bertrand, G. 31P NMR chemical shifts of carbine-phosphinidene adducts as an indicator of the π-accepting properties of carbenes. Angew. Chem. Int. Ed. 2013, 52, 2939–2943. [Google Scholar] [CrossRef] [PubMed]
  13. Liske, A.; Verlinden, K.; Buhl, H.; Schaper, K.; Ganter, C. Determining the π-acceptor properties of N-heterocyclic carbenes by measuring the 77Se NMR chemical shifts of their selenium adducts. Organometallics 2013, 32, 5269–5272. [Google Scholar] [CrossRef]
  14. Soleilhavoup, M.; Bertrand, G. Cyclic (alkyl)(amino)carbenes (CAACs): Stable carbenes on the rise. Acc. Chem. Res. 2015, 48, 256–266. [Google Scholar] [CrossRef] [PubMed]
  15. Frey, G.D.; Lavallo, V.; Donnadieu, B.; Schoeller, W.W.; Bertrand, G. Facile splitting of hydrogen and ammonia by nucleophilic activation at a single carbon center. Science 2007, 316, 439–441. [Google Scholar] [CrossRef] [PubMed]
  16. Momeni, M.R.; Rivard, E.; Brown, A. Carbene-bound borane and silane adducts: A comprehensive DFT study on their stability and propensity for hydride-mediated ring expansion. Organometallics 2013, 32, 6201–6208. [Google Scholar] [CrossRef]
  17. Frey, G.D.; Masuda, J.D.; Donnadieu, B.; Bertrand, G. Activation of Si–H, B–H, and P–H bonds at a single nonmetal center. Angew. Chem. Int. Ed. 2010, 122, 9634–9637. [Google Scholar] [CrossRef]
  18. Ramnial, T.; Jong, H.; Mckenzie, I.D.; Jennings, M.; Clyburne, J.A.C. An imidazol-2-ylidene borane complex exhibiting inter-molecular [C–Hδ+···Hδ−–B] dihydrogen bonds. Chem. Commun. 2003, 39, 1722–1723. [Google Scholar] [CrossRef]
  19. Curran, D.P.; Solovyev, A.; Brahmi, M.M.; Fensterbank, L.; Malacria, M.; Lacôte, E. Synthesis and reactions of N-heterocyclic carbene boranes. Angew. Chem. Int. Ed. 2011, 50, 10294–10317. [Google Scholar] [CrossRef] [PubMed]
  20. Ueng, S.H.; Brahmi, M.M.; Derat, É.; Fensterbank, L.; Lacôte, E.; Malacria, M.; Curran, D.P. Complexes of borane and N-heterocyclic carbenes: A new class of radical hydrogen atom donor. J. Am. Chem. Soc. 2008, 130, 10082–10083. [Google Scholar] [CrossRef] [PubMed]
  21. Ueng, S.H.; Solovyev, A.; Yuan, X.; Geib, S.J.; Fensterbank, L.; Lacôte, E.; Malacria, M.; Newcomb, M.; Walton, J.C.; Curran, D.P. N-heterocyclic carbene boryl radicals: A new class of boron-centered radical. J. Am. Chem. Soc. 2009, 131, 11256–11262. [Google Scholar] [CrossRef] [PubMed]
  22. Walton, J.C.; Brahmi, M.M.; Fensterbank, L.; Lacôte, E.; Malacria, M.; Chu, Q.; Ueng, S.H.; Solovyev, A.; Curran, D.P. EPR studies of the generation, structure, and reactivity of N-heterocyclic carbene borane radicals. J. Am. Chem. Soc. 2010, 132, 2350–2358. [Google Scholar] [CrossRef] [PubMed]
  23. Pan, X.; Lacôte, E.; Lalevée, J.; Curran, D.P. Polarity reversal catalysis in radical reductions of halides by N-heterocyclic carbene boranes. J. Am. Chem. Soc. 2012, 134, 5669–5674. [Google Scholar] [CrossRef] [PubMed]
  24. Monot, J.; Solovyev, A.; Bonin-Dubarle, H.; Derat, É.; Curran, D.P.; Robert, M.; Fensterbank, L.; Malacria, M.; Lacôte, E. Generation and reactions of an unsubstituted N-heterocyclic carbene boryl anion. Angew. Chem. Int. Ed. 2010, 122, 9352–9355. [Google Scholar] [CrossRef]
  25. Pan, X.; Boussonnière, A.; Curran, D.P. Molecular iodine initiates hydroborations of alkenes with N-heterocyclic carbene boranes. J. Am. Chem. Soc. 2013, 135, 14433–14437. [Google Scholar] [CrossRef] [PubMed]
  26. Prokofjevs, A.; Boussonnière, A.; Li, L.; Bonin, H.; Lacôte, E.; Curran, D.P.; Vedejs, E. Borenium ion catalyzed hydroboration of alkenes with N-heterocyclic carbene-boranes. J. Am. Chem. Soc. 2012, 134, 12281–12288. [Google Scholar] [CrossRef] [PubMed]
  27. Farrell, J.M.; Hatnean, J.A.; Stephan, D.W. Activation of hydrogen and hydrogenation catalysis by a borenium cation. J. Am. Chem. Soc. 2012, 134, 15728–15731. [Google Scholar] [CrossRef] [PubMed]
  28. Moerdyk, J.P.; Schilter, D.; Bielawski, C.W. N,N′-diamidocarbenes: Isolable divalent carbons with bona fide carbene reactivity. Acc. Chem. Res. 2016, 49, 1458–1468. [Google Scholar] [CrossRef] [PubMed]
  29. Lastovickova, D.N.; Bielawski, C.W. Diamidocarbene induced B–H activation: A new class of initiator-free olefin hydroboration reagents. Organometallics 2016, 35, 706–712. [Google Scholar] [CrossRef]
  30. Hudnall, T.W.; Moerdyk, J.P.; Bielawski, C.W. Ammonia N–H activation by a N,N′-diamidocarbene. Chem. Commun. 2010, 46, 4288–4290. [Google Scholar] [CrossRef] [PubMed]
Scheme 1. Iodine initiated alkene hydroborations using N-heterocyclic carbene (NHC)–BH3 adducts (Me = methyl) [24,25].
Scheme 1. Iodine initiated alkene hydroborations using N-heterocyclic carbene (NHC)–BH3 adducts (Me = methyl) [24,25].
Catalysts 06 00141 sch001
Scheme 2. N,N’-diamidocarbene (DAC)-mediated B–H bond activation and subsequent intramolecular ring-expansion (Mes = mesityl) [29].
Scheme 2. N,N’-diamidocarbene (DAC)-mediated B–H bond activation and subsequent intramolecular ring-expansion (Mes = mesityl) [29].
Catalysts 06 00141 sch002
Scheme 3. Hydroboration of 1-hexene with 1a.
Scheme 3. Hydroboration of 1-hexene with 1a.
Catalysts 06 00141 sch003
Scheme 4. Hydroboration of 1,5-hexadiene with 1a.
Scheme 4. Hydroboration of 1,5-hexadiene with 1a.
Catalysts 06 00141 sch004
Scheme 5. Hydroboration of cyclohexene with 1a followed by intramolecular ring-expansion.
Scheme 5. Hydroboration of cyclohexene with 1a followed by intramolecular ring-expansion.
Catalysts 06 00141 sch005
Scheme 6. Hydroboration of cyclic olefins with 1a.
Scheme 6. Hydroboration of cyclic olefins with 1a.
Catalysts 06 00141 sch006
Scheme 7. Hydroboration of internal acyclic olefins with 1a.
Scheme 7. Hydroboration of internal acyclic olefins with 1a.
Catalysts 06 00141 sch007
Figure 1. (a) Front and (b) side views of the Persistence of Vision Raytracer (POV-ray) representations of 10 showing ellipsoids at 50% probability. Most of the hydrogen atoms were omitted for clarity. Selected distances (Å) and angles (°): C1–B1, 1.580 (9); B1–C28, 1.580 (9); C25–C26, 1.484 (14); C26–C27, 1.527 (10); C27–C28, 1.524 (10); C28–C29, 1.580 (10); C29–C30, 1.484 (12); C1–B1–C28, 116.0 (5). Gray = Carbon, Blue = Nitrogen, Red = Oxygen, Pink = Boron, White = Hydrogen.
Figure 1. (a) Front and (b) side views of the Persistence of Vision Raytracer (POV-ray) representations of 10 showing ellipsoids at 50% probability. Most of the hydrogen atoms were omitted for clarity. Selected distances (Å) and angles (°): C1–B1, 1.580 (9); B1–C28, 1.580 (9); C25–C26, 1.484 (14); C26–C27, 1.527 (10); C27–C28, 1.524 (10); C28–C29, 1.580 (10); C29–C30, 1.484 (12); C1–B1–C28, 116.0 (5). Gray = Carbon, Blue = Nitrogen, Red = Oxygen, Pink = Boron, White = Hydrogen.
Catalysts 06 00141 g001
Scheme 8. Competitive hydroboration reactions between terminal and internal olefins. A mixture of the three products shown was observed in a 1:1:1 ratio.
Scheme 8. Competitive hydroboration reactions between terminal and internal olefins. A mixture of the three products shown was observed in a 1:1:1 ratio.
Catalysts 06 00141 sch008

Share and Cite

MDPI and ACS Style

Lastovickova, D.N.; Bielawski, C.W. Olefin Hydroborations with Diamidocarbene–BH3 Adducts at Room Temperature. Catalysts 2016, 6, 141. https://doi.org/10.3390/catal6090141

AMA Style

Lastovickova DN, Bielawski CW. Olefin Hydroborations with Diamidocarbene–BH3 Adducts at Room Temperature. Catalysts. 2016; 6(9):141. https://doi.org/10.3390/catal6090141

Chicago/Turabian Style

Lastovickova, Dominika N., and Christopher W. Bielawski. 2016. "Olefin Hydroborations with Diamidocarbene–BH3 Adducts at Room Temperature" Catalysts 6, no. 9: 141. https://doi.org/10.3390/catal6090141

APA Style

Lastovickova, D. N., & Bielawski, C. W. (2016). Olefin Hydroborations with Diamidocarbene–BH3 Adducts at Room Temperature. Catalysts, 6(9), 141. https://doi.org/10.3390/catal6090141

Note that from the first issue of 2016, this journal uses article numbers instead of page numbers. See further details here.

Article Metrics

Back to TopTop