Dehydrogenation of Isobutane with Carbon Dioxide over SBA-15-Supported Vanadium Oxide Catalysts
Abstract
:1. Introduction
2. Results and Discussion
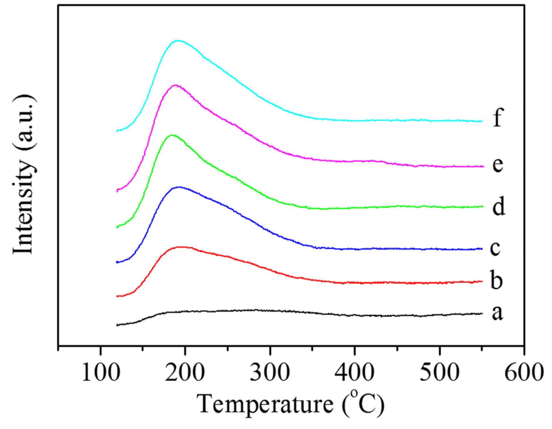
2.1. Characterization of Catalysts
2.2. Catalytic Performance
3. Materials and Methods
3.1. Catalyst Preparation
3.2. Catalyst Characterization
3.3. Catalytic Tests
4. Conclusions
Supplementary Materials
Acknowledgments
Author Contributions
Conflicts of Interest
References
- Sattler, J.J.H.B.; Ruiz-Martinez, J.; Santillan-Jimenez, E.; Weckhuysen, B.M. Catalytic dehydrogenation of light alkanes on metals and metal oxides. Chem. Rev. 2014, 114, 10613–10653. [Google Scholar] [CrossRef] [PubMed]
- Resasco, D.E.; Marcus, B.K.; Huang, C.S.; Durante, V.A. Isobutane dehydrogenation over sulfided nickel catalysts. J. Catal. 1994, 146, 40–55. [Google Scholar] [CrossRef]
- Neri, G.; Pistone, A.; De Rossi, S.; Rombi, E.; Milone, C.; Galvagno, S. Ca-doped chromium oxide catalysts supported on alumina for the oxidative dehydrogenation of isobutane. Appl. Catal. A 2004, 260, 75–86. [Google Scholar] [CrossRef]
- Sugiyama, S.; Ehiro, T.; Nitta, Y.; Itagaki, A.; Nakagawa, K.; Katoh, M.; Katoh, Y.; Akihara, S.; Yasukawa, T.; Ninomiya, W. Acidic properties of various silica catalysts doped with chromium for the oxidative dehydrogenation of isobutane to isobutene. J. Chem. Eng. Jpn. 2015, 48, 133–140. [Google Scholar] [CrossRef]
- Ehiro, T.; Itagaki, A.; Misu, H.; Kurashina, M.; Nakagawa, K.; Katoh, M.; Katou, Y.; Ninomiya, W.; Sugiyama, S. Oxidative dehydrogenation of isobutane to isobutene on metal-doped MCM-41 catalysts. J. Chem. Eng. Jpn. 2016, 49, 136–143. [Google Scholar] [CrossRef]
- Al-zahrani, S.M.; Elbashir, N.O.; Abasaeed, A.E.; Abdulwahed, M. Isobutane oxydehydrogenation on Al2O3-supported transition and rare-earth metal oxides. J. Mol. Catal. A 2004, 218, 179–186. [Google Scholar] [CrossRef]
- Cristina, R.; Zavoianu, R.; Portela, M. Isobutane oxydehydrogenation on SiO2-supported nickel molybdate catalysts: Effect of the active phase loading. Catal. Commun. 2002, 3, 85–90. [Google Scholar]
- Wang, S.B.; Zhu, Z.H. Catalytic conversion of alkanes to olefins by carbon dioxide oxidative dehydrogenation—A review. Energy Fuels 2004, 18, 1126–1139. [Google Scholar] [CrossRef]
- Shi, X.J.; Ji, S.F.; Wang, K. Oxidative dehydrogenation of ethane to ethylene with carbon dioxide over Cr-Ce/SBA-15 catalysts. Catal. Lett. 2008, 125, 331–339. [Google Scholar] [CrossRef]
- Takahara, I.; Chang, W.C.; Mimura, N.; Saito, M. Promoting effects of CO2 on dehydrogenation of propane over a SiO2-supported Cr2O3 catalyst. Catal. Today 1998, 45, 55–59. [Google Scholar] [CrossRef]
- Wang, Y.; Ohishi, Y.; Shishido, T.; Zhang, Q.H.; Yang, W.; Guo, Q.; Wan, H.L.; Takehira, K. Characterizations and catalytic properties of Cr-MCM-41 prepared by direct hydrothermal synthesis and template-ion exchange. J. Catal. 2003, 220, 347–357. [Google Scholar] [CrossRef]
- Shen, Z.H.; Liu, J.; Xu, H.L.; Yue, Y.H.; Hua, W.M.; Shen, W. Dehydrogenation of ethane to ethylene over a highly efficient Ga2O3/HZSM-5 catalyst in the presence of CO2. Appl. Catal. A Gen. 2009, 356, 148–153. [Google Scholar] [CrossRef]
- Michorczyk, P.; Ogonowski, J. Dehydrogenation of propane to propene over gallium oxide in the presence of CO2. Appl. Catal. A 2003, 251, 425–433. [Google Scholar] [CrossRef]
- Zheng, B.; Hua, W.M.; Yue, Y.H.; Gao, Z. Dehydrogenation of propane to propene over different polymorphs of gallium oxide. J. Catal. 2005, 232, 143–151. [Google Scholar] [CrossRef]
- Ding, J.F.; Qin, Z.F.; Li, X.K.; Wang, G.F.; Wang, J.G. Catalytic dehydrogenation of isobutane in the presence of carbon dioxide over nickel supported on active carbon. J. Mol. Catal. A 2010, 315, 221–225. [Google Scholar] [CrossRef]
- Shimada, H.; Akazawa, T.; Ikenaga, N.; Suzuki, T. Dehydrogenation of isobutane to isobutene with iron-loaded activated carbon catalyst. Appl. Catal. A 1998, 168, 243–250. [Google Scholar] [CrossRef]
- Ogonowski, J.; Skrzńska, E. Activity of vanadium magnesium oxide supported catalysts in the dehydrogenation of isobutane. Catal. Lett. 2006, 111, 79–85. [Google Scholar] [CrossRef]
- Nakagawa, K.; Kajita, C.; Ikenaga, N.; Ando, T.; Suzuki, T. Dehydrogenation of light alkanes over oxidized diamond-supported catalysts in the presence of carbon dioxide. Catal. Today 2003, 84, 149–157. [Google Scholar] [CrossRef]
- Bi, Y.L.; Zhen, K.J.; Valenzuela, R.X.; Jia, M.J.; Corberán, V.C. Oxidative dehydrogenation of isobutane over LaBaSm oxide catalyst: Influence of the addition of CO2 in the feed. Catal. Today 2000, 61, 369–375. [Google Scholar] [CrossRef]
- Qiao, Y.Y.; Miao, C.X.; Yue, Y.H.; Xie, Z.K.; Yang, W.M.; Hua, W.M.; Gao, Z. Vanadium oxide supported on mesoporous MCM-41 as new catalysts for dehydrogenation of ethylbenzene with CO2. Microporous Mesoporous Mater. 2009, 119, 150–157. [Google Scholar] [CrossRef]
- Li, Z.H.; Su, K.M.; Cheng, B.W.; Shen, D.X.; Zhou, Y. Effects of VOx/AlMCM-41 surface structure on ethylbenzene oxydehydrogenation in the presence of CO2. Catal. Lett. 2010, 135, 135–140. [Google Scholar] [CrossRef]
- Liu, B.S.; Rui, G.; Chang, R.Z.; Au, C.T. Dehydrogenation of ethylbenzene to styrene over LaVOx/SBA-15 catalysts in the presence of carbon dioxide. Appl. Catal. A 2008, 335, 88–94. [Google Scholar] [CrossRef]
- Liu, B.S.; Chang, R.Z.; Jiang, L.; Liu, W.; Au, C.T. Preparation and high performance of La2O3-V2O5/MCM-41 catalysts for ethylbenzene dehydrogenation in the presence of CO2. J. Phys. Chem. C 2008, 112, 15490–15501. [Google Scholar] [CrossRef]
- Zhao, D.; Feng, J.; Huo, Q.; Melossh, N.; Fredrickson, G.H.; Chmelka, B.F.; Stucky, G.D. Triblock copolymer syntheses of mesoporous silica with periodic 50 to 300 angstrom pores. Science 1998, 279, 548–552. [Google Scholar] [CrossRef] [PubMed]
- Hua, W.M.; Yue, Y.H.; Gao, Z. Acidity enhancement of SBA mesoporous molecular sieve by modification with SO42−/ZrO2. J. Mol. Catal. A 2001, 170, 195–202. [Google Scholar] [CrossRef]
- Liu, Y.M.; Cao, Y.; Yi, N.; Feng, W.L.; Dai, W.L.; Yan, S.R.; He, H.Y.; Fan, K.N. Vanadium oxide supported on mesoporous SBA-15 as highly selective catalysts in the oxidative dehydrogenation of propane. J. Catal. 2004, 224, 417–428. [Google Scholar] [CrossRef]
- Khodakov, A.; Olthof, B.; Bell, A.T.; Iglesia, E. Structure and catalytic properties of supported vanadium oxides: Support effects on oxidative dehydrogenation reactions. J. Catal. 1999, 181, 205–216. [Google Scholar] [CrossRef]
- Chao, K.J.; Wu, C.N.; Chang, H.; Lee, L.J.; Hu, S.F. Incorporation of vanadium in mesoporous MCM-41 and microporous AFI zeolites. J. Phys. Chem. B 1997, 101, 6341–6349. [Google Scholar] [CrossRef]
- Liu, Y.; Cao, Y.; Yan, S.; Dai, W.; Fan, K. Highly effective oxidative dehydrogenation of propane over vanadia supported on mesoporous SBA-15 silica. Catal. Lett. 2003, 88, 61–67. [Google Scholar] [CrossRef]
- Solsona, B.; Nieto, J.M.L.; Díaz, U. Siliceous ITQ-6: A new support for vanadia in the oxidative dehydrogenation of propane. Microporous Mesoporous Mater. 2006, 94, 339–347. [Google Scholar] [CrossRef]
- Chen, S.; Qin, Z.; Xu, X.; Wang, J. Structure and properties of the alumina-supported vanadia catalysts for ethylbenzene dehydrogenation in the presence of carbon dioxide. Appl. Catal. A 2006, 302, 185–192. [Google Scholar] [CrossRef]
- Dai, H.; Bell, A.T.; Iglesia, E. Effects of molybdena on the catalytic properties of vanadia domains supported on alumina for oxidative dehydrogenation of propane. J. Catal. 2004, 221, 491–499. [Google Scholar] [CrossRef]
- Berndt, H.; Martin, A.; Brückner, A.; Schreier, E.; Müller, D.; Kosslick, H.; Wolf, G.U.; Lücke, B. Structure and catalytic properties of VOx/MCM materials for the partial oxidation of methane to formaldehyde. J. Catal. 2000, 191, 384–400. [Google Scholar] [CrossRef]
- Sakurai, Y.; Suzaki, T.; Nakagawa, K.; Ikenaga, N.; Aota, H.; Suzuki, T. Dehydrogenation of ethylbenzene over vanadium oxide-loaded MgO catalyst: Promoting effect of carbon dioxide. J. Catal. 2002, 209, 16–24. [Google Scholar] [CrossRef]
- Chang, J.S.; Vislovskiy, V.P.; Park, M.S.; Hong, D.Y.; Yoo, J.S.; Park, S.E. Utilization of carbon dioxide as soft oxidant in the dehydrogenation of ethylbenzene over supported vanadium-antimony oxide catalyst. Green Chem. 2003, 5, 587–590. [Google Scholar] [CrossRef]
- Yuan, R.X.; Li, Y.; Yan, H.B.; Wang, H.; Song, J.; Zhang, Z.S.; Fan, W.B.; Chen, J.G.; Liu, Z.W.; Liu, Z.T.; et al. Insights into the vanadia catalyzed oxidative dehydrogenation of isobutane with CO2. Chin. J. Catal. 2014, 35, 1329–1336. [Google Scholar] [CrossRef]
- Ascoop, I.; Galvita, V.V.; Alexopoulos, K.; Reyniers, M.F.; Van Der Voort, P.; Bliznuk, V.; Marin, G.B. The role of CO2 in the dehydrogenation of propane over WOx–VOx/SiO2. J. Catal. 2016, 335, 1–10. [Google Scholar] [CrossRef]
- De Morais Batista, A.H.; Ramos, F.S.O.; Braga, T.P.; Lima, C.L.; de Sousa, F.F.; Barros, E.B.D.; Filho, J.M.; de Oliveira, A.S.; de Sousa, J.R.; Valentini, A.; et al. Mesoporous MAl2O4 (M=Cu, Ni, Fe or Mg) spinets: Characterisation and application in the catalytic dehydrogenation of ethylbenzene in the presence of CO2. Appl. Catal. A 2010, 382, 148–157. [Google Scholar] [CrossRef]
- Sun, A.L.; Qin, Z.F.; Chen, S.W.; Wang, J.G. Ethylbenzene dehydrogenation in the presence of carbon dioxide over alumina supported catalysts. Catal. Today 2004, 93–95, 273–279. [Google Scholar] [CrossRef]











| Catalyst | SBET (m2/g) | Vt a (cm3/g) | D b (nm) | TPR Results c | NH3-TPD Results d | |||||
|---|---|---|---|---|---|---|---|---|---|---|
| TM (°C) | H2 Uptake (mmol/g) | AOS | TM | Acidity | ||||||
| I | II | I | II | (°C) | (mmol/g) | |||||
| 1% V/SBA | 511 | 0.870 | 6.66 | 483 | − | 0.0618 | − | 4.4 | 192 | 0.030 |
| 3% V/SBA | 458 | 0.805 | 6.64 | 489 | 577 | 0.279 | 0.0681 | 3.8 | 193 | 0.074 |
| 5% V/SBA | 369 | 0.573 | 6.60 | 495 | 569 | 0.410 | 0.371 | 3.4 | 192 | 0.108 |
| 7% V/SBA | 331 | 0.548 | 6.57 | 473 | 573 | 0.619 | 0.480 | 3.4 | 184 | 0.112 |
| 11% V/SBA | 228 | 0.470 | 6.41 | 497 | 567 | 0.589 | 1.189 | 3.3 | 191 | 0.118 |
| 7% V/MCM | 530 | 0.553 | 3.07 | 499 | 570 | 0.559 | 0.598 | 3.3 | 189 | 0.143 |
| Catalyst | Conversion (%) | Selectivity (%) | i-C4H8 | |||||||
|---|---|---|---|---|---|---|---|---|---|---|
| i-C4H10 | CO2 | i-C4H8 | CH4 | C2H4 | C2H6 | C3H6 | C3H8 | C4H8 b | Yield (%) | |
| 1% V/SBA | 21.1(13.8) | 4.9(3.1) | 90.4(90.0) | 1.2(1.6) | 0(0) | 0(0) | 3.1(4.2) | 0.5(0.8) | 4.8(3.4) | 19.1(12.4) |
| 3% V/SBA | 30.0(18.7) | 7.7(4.7) | 89.7(92.5) | 1.0(0.9) | 0.2(0) | 0.2(0) | 2.2(2.3) | 0.3(0.3) | 6.4(4.0) | 26.9(17.3) |
| 5% V/SBA | 35.2(21.9) | 9.7(5.4) | 86.2(89.7) | 1.6(1.5) | 0.3(0) | 0.2(0) | 3.2(3.8) | 0.4(0.3) | 8.1(4.7) | 30.3(19.6) |
| 7% V/SBA | 40.8(23.1) | 11.5(5.9) | 84.8(89.1) | 1.7(1.6) | 0.3(0.2) | 0.3(0) | 3.5(3.9) | 0.5(0.5) | 8.9(4.7) | 34.6(20.6) |
| 11% V/SBA | 37.6(20.3) | 11.4(5.4) | 84.2(88.6) | 1.9(1.6) | 0.3(0) | 0.3(0) | 3.6(4.1) | 0.3(0.2) | 9.4(5.5) | 31.7(18.0) |
© 2016 by the authors; licensee MDPI, Basel, Switzerland. This article is an open access article distributed under the terms and conditions of the Creative Commons Attribution (CC-BY) license (http://creativecommons.org/licenses/by/4.0/).
Share and Cite
Wei, C.; Xue, F.; Miao, C.; Yue, Y.; Yang, W.; Hua, W.; Gao, Z. Dehydrogenation of Isobutane with Carbon Dioxide over SBA-15-Supported Vanadium Oxide Catalysts. Catalysts 2016, 6, 171. https://doi.org/10.3390/catal6110171
Wei C, Xue F, Miao C, Yue Y, Yang W, Hua W, Gao Z. Dehydrogenation of Isobutane with Carbon Dioxide over SBA-15-Supported Vanadium Oxide Catalysts. Catalysts. 2016; 6(11):171. https://doi.org/10.3390/catal6110171
Chicago/Turabian StyleWei, Chunling, Fangqi Xue, Changxi Miao, Yinghong Yue, Weimin Yang, Weiming Hua, and Zi Gao. 2016. "Dehydrogenation of Isobutane with Carbon Dioxide over SBA-15-Supported Vanadium Oxide Catalysts" Catalysts 6, no. 11: 171. https://doi.org/10.3390/catal6110171
APA StyleWei, C., Xue, F., Miao, C., Yue, Y., Yang, W., Hua, W., & Gao, Z. (2016). Dehydrogenation of Isobutane with Carbon Dioxide over SBA-15-Supported Vanadium Oxide Catalysts. Catalysts, 6(11), 171. https://doi.org/10.3390/catal6110171

