Abstract
This study employed an in-situ displacement technique to eliminate the oxide layer present on the surface of micron aluminum (μAl). Utilizing the exposed metallic aluminum, we facilitated the displacement of copper and nickel nanoparticles. These nanoparticles, approximately 90 nanometers in size, were densely adhered to the surface of the μAl particles. The elemental composition and structural characteristics of the composite particles were meticulously analyzed using Scanning Electron Microscopy (SEM), X-Ray Diffraction (XRD), Energy Dispersive Spectroscopy (EDS), Vibrating Sample Magnetometry (VSM), and X-Ray Photoelectron Spectroscopy (XPS). Subsequently, thermal analysis and combustion performance assessments were conducted to elucidate the catalytic effects of the composite particles ([nCu+nNi]/μAl) on the thermal decomposition and combustion efficiency of ammonium perchlorate (AP). The results elucidate that the nanoparticles immobilized on the surface of μAl are unequivocally metallic copper (nCu) and metallic nickel (nNi). Following the application of nCu and nNi, the oxidation reaction of μAl accelerated by nearly 400 °C; furthermore, the incorporation of [nCu+nNi]/μAl raised the thermal decomposition peak temperature of AP by approximately 130 °C. Notably, the thermal decomposition activation energy of raw AP reached as high as 241.7 kJ/mol; however, upon doping with [nCu+nNi]/μAl, this activation energy significantly diminished to 161.4 kJ/mol. The findings of the combustion experiments revealed that both the raw AP and the AP modified solely with μAl were impervious to ignition via the hot wire method. In contrast, the AP doped with [nCu+nNi]/μAl demonstrated pronounced combustion characteristics, achieving an impressive peak flame temperature of 1851 °C. These results substantiate that the nCu and nNi, when deposited on the surface of μAl, not only facilitate the oxidation and combustion of μAl but also significantly enhance the thermal decomposition and combustion dynamics of ammonium perchlorate. Consequently, the [nCu+nNi]/μAl composite shows considerable promise for application in high-burn-rate hydroxyl-terminated polybutadiene (HTPB) propellants.
1. Introduction
Micro-aluminum (μAl) powder possesses distinct advantages, characterized by its high density and substantial heat release during combustion, which render it invaluable in diverse applications such as propellants, explosives, and pyrotechnics [1,2,3,4,5]. The incorporation of μAl into solid rocket propellants can markedly enhance their specific impulse [6]. Furthermore, when μAl is added to composite explosives, it significantly elevates the heat generated during detonation and markedly enhances their energy output [7]. Historically, explosives containing μAl were predominantly employed in underwater munitions; however, with the advent and progression of thermobaric weapons, the utilization of μAl in these advanced explosive formulations has seen substantial growth [8]. Concurrently, the introduction of μAl in pyrotechnics has also been shown to enhance their visual and auditory effects [9,10,11].
Nevertheless, in the case of μAl, the oxidation process is not only impeded by its remarkable thermodynamic stability but also significantly constrained by the structural attributes of the oxide layer enveloping the surfaces of μAl particles. Typically, Al2O3 manifests in five distinct polymorphs: amorphous, theta, delta, gamma, and alpha [12]. Among these, theta-Al2O3 and delta-Al2O3 are characterized by their inherent instability. These crystal phases undergo transformative interconversion with rising temperatures, during which their crystalline structures—particularly density—experience substantial alterations [12]. At ambient temperature, a dense layer of amorphous alumina envelops the surface of μAl, effectively isolating the aluminum metal from atmospheric oxygen. As the temperature ascends, amorphous Al2O3 progresses towards crystallization, evolving into various crystalline alumina phases. In the differential scanning calorimetry (DSC) analysis, each pronounced oxidation event, denoted by an exothermic peak, is attributable to the transformations occurring within the Al2O3 layer. Trunov et al. [12] elucidated that in atmospheric conditions, within the temperature range of 300 °C to 1450 °C, the oxidation of μAl undergoes three distinctly exothermic processes. Each of these heat-release events is attributed to the crystallization—or transformation—of alumina on the μAl surface. Such crystalline transformations signify a considerable alteration in the density of the alumina layer. As the temperature ascends, the density of the alumina layer increases substantially. When the mass of the oxide layer remains constant, a pronounced increase in density necessitates the rupture of the oxide layer, consequently exposing the reactive elemental aluminum to the atmosphere. This exposure leads to rapid oxidation by atmospheric oxygen, culminating in a significant release of heat. The oxidation phenomenon associated with μAl has garnered widespread recognition within the academic community [13,14,15,16]. These intricate phase transition processes fundamentally underpin the diminished reactivity of μAl. Consequently, it is only through the modification of this oxide layer that we can substantially enhance the thermal reactivity of μAl.
Researchers have demonstrated that the application of organic fluorides, specifically polytetrafluoroethylene [17]; carbon-based materials such as carbon and graphene oxide [18,19]; and nanoscale transition metal oxides (including Co3O4, Fe2O3, ZnO, etc.) [20], alongside nanoscale metals [21,22,23,24], to coat the surface of micron-sized aluminum (μAl) particles can considerably enhance their thermal reactivity. Notably, for μAl, the incorporation of transition metal particles, such as copper [25], cobalt [26], nickel [27], and iron [28], significantly augments the thermal oxidation efficiency of μAl. Consequently, transition metal nanoparticles assume a pivotal role in the oxidation process of μAl. Initially, these metallic nanoparticles displace the Al2O3 coating that typically enshrouds the μAl particles. As the temperature escalates, these nanoparticles are preferentially oxidized into their respective metal oxides at lower temperatures, concurrently releasing a measurable amount of heat. Subsequently, at low temperatures, these oxides are readily reducible through interaction with aluminum (a form of thermite reaction), owing to their proximity to the metallic aluminum. The temperature at which this reduction occurs is significantly lower than the phase transition temperature of the alumina layer, thereby considerably enhancing the oxidation process of micro-aluminum (μAl). Furthermore, at reduced temperatures, these thermite reactions also liberate heat, further facilitating the oxidation of μAl. In essence, the presence of nanoparticle metal coatings on the surface of μAl alters its oxidation mechanism, rendering the oxidation of aluminum more facile. Consequently, as indicated by the DSC traces, we observe that the oxidation of nCu/μAl after coating yields a greater heat generation and an increased heat flux compared to uncoated μAl [29]. Current experimental investigations have demonstrated that the application of nano-sized copper (Cu) and nickel (Ni) coatings on μAl dramatically enhances the thermal reactivity of μAl powder. For instance, within the nCu/μAl-WO3 system, an excess of oxidizer leads to a maximum heat release that attains 86% of the theoretical value, representing a 1.54-fold increase compared to the uncoated material. Similarly, in the nNi/μAl-SnO2 system, an increase in the concentration of nano-sized nickel corresponds with a proportional rise in the system’s heat release [30]. Therefore, in the pursuit of enhancing the oxidation efficiency of μAl, it is plausible to apply a coating of nano-sized copper or nickel onto the surfaces of μAl particles. The pertinent question that arises is this: given that the catalytic influence of these metallic particles on the thermal decomposition of ammonium perchlorate (AP) has been established, what is the significance of this investigation? This leads us to our main inquiry: what are the advantages of utilizing bimetallic nanoparticles to coat μAl?
Indeed, the implementation of bimetallic coatings to encapsulate μAl represents a significant innovation and advancement in the preparation process. The traditional methodology, which relies solely on single metal coatings, is inadequate for achieving bimetallic encapsulation of μAl. When two transition metal chlorides or nitrates are concurrently dissolved in deionized water, they experience rapid hydrolysis. Thus, the selection of an appropriate chelating agent is imperative for stabilizing these metals. Through extensive experimental investigation, we have discovered that the incorporation of EDTA-2Na (C10H14N2Na2O8) effectively stabilizes elevated concentrations of copper and nickel ions, thereby preventing hydrolysis. Consequently, this outcome is the culmination of numerous experiments, representing a significant technological endeavor fraught with challenges. Nonetheless, beyond the synthesis of [nCu+nNi]/μAl, the paramount importance of this study resides in the potential of bimetallic materials to exert a synergistic catalytic influence that enhances the thermal decomposition or combustion efficiency of ammonium perchlorate when employed as a fuel. This synergistic catalytic effect is anticipated to surpass the efficacy exhibited by individual metal catalysts.
Now, let us examine another research objective of this article, specifically concerning ammonium perchlorate. It is well-established that AP is the most prevalent oxidizer utilized in solid propellants, exhibiting an impressive oxygen balance of approximately +34%. Notably, the combustion of ammonium perchlorate results solely in gaseous products, which imparts propellants utilizing AP as the oxidizer with a superior specific impulse when contrasted with those incorporating potassium nitrate, ammonium nitrate, or potassium perchlorate as oxidizers [31,32,33]. Nonetheless, ammonium perchlorate is encumbered by a significant drawback: its thermal decomposition temperature is considerably elevated, typically exceeding 430 °C. This limitation engenders notable kinetic deficiencies in the combustion of AP-based propellants. Consequently, over the past two decades, researchers have endeavored to synthesize various materials aimed at reducing the thermal decomposition temperature of AP and enhancing the burn rate of AP-based propellants [34,35,36,37,38,39,40]. In this discussion, we shall refrain from reiterating the findings of prior studies. Notably, certain investigations have demonstrated that the incorporation of nano-copper (Cu) and nano-nickel (Ni) markedly lowers the decomposition temperature of AP by 130.2 °C and 112.9 °C, respectively [23,27]. These results signify that nano-Cu and nano-Ni serve as effective catalysts for enhancing the thermolysis of AP, with nano-Cu exhibiting the most pronounced catalytic activity, closely followed by nano-Ni. This observation prompts us to revisit the pivotal question: what is the significance of this research? Indeed, the hallmark of this study resides in the innovative application of a novel methodology for the concurrent deposition of nano-sized copper (Cu) and nickel (Ni) onto the surface of micron-scale aluminum (μAl). This approach facilitates a comprehensive investigation into their synergistic catalytic effects on the thermal decomposition and combustion performance of ammonium perchlorate. The endeavor aspires to achieve a triad of objectives: enhancing the oxidation efficiency of μAl, optimizing the thermal decomposition efficiency of AP, and improving the dispersibility of the nanocatalysts. It is also imperative to acknowledge that this research represents a significant progression, building upon the foundational work established in prior investigations.
2. Results and Discussion
2.1. Characterization of [nCu+nNi]/μAl
The micro-morphology and structural characteristics of the synthesized [nCu+nAl]/μAl composite particles were meticulously investigated. Initially, the scanning electron microscopy (SEM) images and energy-dispersive X-Ray spectroscopy (EDS) spectra of the composite particles are presented in Figure 1. Figure 1a–d reveals that the μAl particles exhibit remarkable uniformity in size, with an approximate diameter of 20 µm. Furthermore, the surface of each μAl particle is intricately adorned with a layer of diminutive nanoparticles measuring approximately 90 to 100 nm. To elucidate the elemental composition of the nanoparticles that coat the surface of μAl, we performed EDS analysis on the composite particles, as illustrated in Figure 1e–i. It is evident that the composite particles consist of four elemental constituents: aluminum (Al), copper (Cu), nickel (Ni), and oxygen (O). These elements are homogeneously distributed across the surface of the μAl spheres. Notably, the green hue associated with aluminum is the most pronounced, suggesting that the aluminum originates from the elemental Al beneath the coating layer. While the concentration of oxygen is relatively low, its presence indicates that some degree of oxidation of aluminum, nickel, or copper has occurred during the synthesis process. The distributions of copper and nickel on the surface of the microspheres exhibit remarkable uniformity, and their intense coloration signifies that these metals, in a specific valence state, are uniformly deposited upon the μAl particles.
Figure 1.
SEM images and EDS spectrum of [nCu+nNi]/μAl: (a–d) SEM images of [nCu+nNi]/μAl; (e–h) Element mapping corresponding to [nCu+nNi]/μAl; (i) Elemental characterization of [nCu+nNi]/μAl.
In our experimental design, we strategically aimed to coat the surface of μAl with metallic nano-copper and nano-nickel. Consequently, we performed X-Ray diffraction (XRD) analysis on the [nCu+nNi]/μAl composite particles, with the results illustrated in Figure 2a,b. The XRD patterns reveal a substantial presence of metallic aluminum within the composite particles; however, no diffraction peaks corresponding to aluminum oxide were observed. It is paramount to note that the absence of Al2O3 peaks does not entirely exclude the possibility of aluminum oxide forming on the μAl surface, as the aluminum oxide produced at ambient conditions is typically amorphous in nature. Clearly defined diffraction peaks associated with both copper and nickel metals are observed. It is noteworthy that the total mass of the Cu and Ni coating we devised amounts to 5 wt.%. Furthermore, the XRD apparatus employed in this study was a standard X-Ray diffractometer, which effectively identified the presence of metallic copper and metallic nickel. This finding suggests that the nanoparticles adhering to the surface of μAl primarily comprise a blend of metallic nanoparticles of copper (nCu) and nickel (nNi), rather than their respective oxides, CuO and NiO.

Figure 2.
XRD patterns (a,b) and magnetic hysteresis loop (c–e) of [nCu+nNi]/μAl; (b) is the enlarged view of (a); (d,e) are the enlarged views of (c).
It is well established that in systems containing aluminum, oxygen, copper, and iron, both aluminum and aluminum oxide exhibit no ferromagnetic properties, while copper and copper oxide similarly lack ferromagnetism. Nickel oxide demonstrates only exceptionally weak ferromagnetism; conversely, it is metallic nickel that exhibits robust ferromagnetic characteristics. To elucidate the magnetic properties of the synthesized composite particles, we employed Vibrating Sample Magnetometry (VSM) analysis, the results of which are illustrated in Figure 2c–e. Figure 2c reveals that the [nCu+nNi]/μAl composite particles manifest two distinct VSM curves, indicating the presence of two ferromagnetic substances: one exhibiting strong magnetism and the other weak magnetism. In Figure 2d, the prominent VSM curve displays a significant ferromagnetic response, complete with a discernible coercive force, aligning closely with findings documented in the literature [41]. Undoubtedly, nickel oxide exhibits a degree of ferromagnetism, as illustrated in Figure 2e. However, its ferromagnetic characteristics are not pronounced; indeed, it demonstrates only weak magnetism in the presence of an external magnetic field, characterized by a low coercive force when the external field is absent [42]. Notably, the composite particles synthesized in this investigation maintain a discernible residual magnetic field even after the external magnetic field dissipates. This behavior closely resembles the hysteresis loop observed in metallic nickel rather than that of nickel oxide [43]. In Figure 2c, the black line delineates the VSM curve of nickel oxide, which aligns closely with findings reported in the literature [42]. The presence of nickel oxide suggests that a minor degree of oxidation has transpired on the surface of the metallic nickel. The VSM curve further reveals that the concentration of NiO is remarkably low. The ferromagnetic behavior, as denoted by the red coloration in Figure 2c, arises from the presence of metallic nano-nickel, confirming the VSM spectrum’s indication of metallic nickel’s existence. Moreover, the XRD patterns illustrated in Figure 2a,b corroborate the presence of metallic copper. Consequently, these findings suggest that the structure of the [nCu+nNi]/μAl composite particles consists of a mixture of copper and nickel nanoparticles densely coated on the surface of μAl. This configuration effectively mitigates the restrictive influence of the original Al2O3 layer on the oxidation of metallic aluminum.
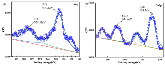
Figure 3 presents the X-Ray photoelectron spectroscopy (XPS) data of the composite (nCu+nNi)/μAl. Panel 3a displays the comprehensive XPS spectrum, while panels 3b to 3e delineate the fine spectra corresponding to O1s, Al2p, Ni2p, and Cu2p, respectively. All spectra have been calibrated using the C1s peak at 285.0 eV as a reference. The XPS results appear rather discouraging. As illustrated in Figure 3b, the oxygen content within (nCu+nNi)/μAl is attributable to the surface oxides of aluminum, copper, and nickel powders, suggesting that the surface of (nCu+nNi)/μAl is coated with their respective oxides. Notably, the XPS peak area associated with alumina is the most pronounced, indicating that the predominant source of oxygen is Al2O3, a result of the considerable proportion of μAl present in the (nCu+nNi)/μAl composite. According to Figure 3c, the characteristic peak of Al 2p observed in (nCu+nNi)/μAl arises from the presence of Al2O3. Figure 3d,e presents the X-Ray Photoelectron Spectroscopy (XPS) characteristic peaks corresponding to typical NiO and CuO, respectively. The aforementioned XPS findings unequivocally indicate the presence of significant metal oxides on the surface of (nCu+nNi)/μAl. This phenomenon is expected, given that metallic nCu, nNi, and μAl are readily susceptible to oxidation upon exposure to oxygen in the atmosphere or aqueous solutions with a pH value below 7. This outcome further underscores the importance of performing XPS analyses. Three key factors contribute to this observation. Firstly, elemental copper and nickel, which have been reduced through interaction with elemental aluminum, have indeed experienced partial oxidation in either the solution or the ambient atmosphere. Secondly, prior to conducting the XPS assessment, the samples were not subjected to argon plasma polishing, thereby allowing the oxide layers on the surfaces of elemental copper, nickel, and aluminum to remain intact. Thirdly, it is important to note that X-Ray photoelectron spectroscopy (XPS) functions differently from energy-dispersive X-Ray spectroscopy (EDS) and X-Ray diffraction (XRD). XPS is limited to probing the surface of materials to a depth of only 1 to 3 nanometers. However, we posit that at least 5 nanometers of the surface of the nano-copper and nano-nickel synthesized in this investigation have undergone oxidation to form copper oxide and nickel oxide. It is noteworthy that, as illustrated by the scanning electron microscopy (SEM) images, the dimensions of the nano-copper and nano-nickel produced in this study are approximately 90 nanometers. Consequently, the absence of spectral peaks corresponding to metallic copper (Cu) and nickel (Ni) in the XPS analysis is entirely expected. Therefore, the results from the XPS measurements indicate the presence of approximately 3 nanometers of copper oxide and nickel oxide on the surfaces of the copper and nickel nanoparticles but should not be misinterpreted as a definitive absence of metallic copper and nickel on the surface of the μ-Al substrate. Moreover, the X-Ray diffraction (XRD) pattern revealed no discernible diffraction peaks corresponding to copper oxide or nickel oxide; instead, only the distinct peaks of elemental copper and elemental nickel were observed. This finding suggests that the oxidation levels of the copper and nickel metals are not sufficiently pronounced to be detected by XRD analysis. It is important to acknowledge that, in the context of the thermolysis of ammonium perchlorate, the catalytic efficacy of nano-sized copper (nCu) and nano-sized nickel (nNi) is fundamentally comparable to that of their oxide counterparts, nCuO and nNiO [44,45]. Nonetheless, as we progress with material synthesis, it remains imperative to address the oxidation susceptibility of metallic copper and nickel in future investigations. In summary, this study confirms the presence of elemental nickel and elemental copper through XRD and VSM tests, indicating that the synthesis of (nCu+nNi)/μAl composite particles has been successful. The principal challenge now is to devise strategies to mitigate excessive oxidation of metallic nCu and nNi during the preparation process.

Figure 3.
XPS spectra of [nCu+nNi]/μAl and [nCu+nNi] shell: (a) whole spectrum; (b) for O1s; (c) for Al2o; (d) for Ni2p; (e) for Cu2p.
Figure 4 presents the laser confocal microscopy scanning image of (nCu+nNi)/μAl composite microspheres. Panel 64 exhibits a two-dimensional pseudocolor map of a randomly selected composite microsphere, wherein a circular distribution of colors signifies varying distances from each position on the microsphere to the reference plane [46]. These findings illustrate that the microspheres exhibit commendable sphericity. Observed from the top view in Figure 4c, the contour lines representing the surface roughness of the microspheres reveal a relatively smooth surface [47]. This indicates that the nano-Cu and nano-Ni effectively create a cohesive coating on the μAl particle surfaces, demonstrating a highly proficient coating quality.
Figure 4.
Laser microscope photos of [nCu+nNi]/μAl microspheres: (a) color of [nCu+nNi]/μAl; (b) height of [nCu+nNi]/μAl; (c) 3D image of [nCu+nNi]/μAl.
2.2. Thermal Analyses
In this study, we aim to investigate the benefits of surface coating with nano-copper (nCu) and nano-nickel (nNi) as alternatives to alumina, specifically to enhance the oxidation activity of micron-sized aluminum (μAl) and to facilitate the dispersion of nano-catalysts for the thermolysis of ammonium perchlorate. To achieve this, we conducted a series of thermal analysis tests on the samples. Initially, thermogravimetric-differential scanning calorimetry (TG-DSC) was performed on the [nCu+nNi]/μAl composite in an oxygen-rich environment, allowing for a comparative analysis with unmodified μAl. The findings are illustrated in Figure 5. In Figure 5a, the DSC, TG, and derivative thermogravimetric (DTG) curves of unaltered μAl are presented. The DSC curve distinctly reveals a pronounced endothermic peak at approximately 660 degrees Celsius, indicative of the melting phase of μAl. Concurrently, a broad exothermic peak emerges around 1200 degrees Celsius, which can be attributed to the oxidation of μAl by atmospheric oxygen. The TG curve indicates that the weight gain of pristine μAl in the presence of oxygen reaches approximately 105% at 1200 °C, a finding that corroborates previous studies conducted by other scholars [12]. In contrast, the weight gain of the [nCu+nNi]/μAl composite attains around 120% at a notably lower temperature of 950 °C, aligning closely with theoretical predictions. Notably, as illustrated in Figure 5b, the DSC curve for [nCu+nNi]/μAl reveals an exothermic peak attributed to its reaction with oxygen at approximately 880 °C. In comparison, the DSC peak for μAl occurs around 1200 °C. These observations suggest that the oxidation process of [nCu+nNi]/μAl occurs to a significantly greater extent than that of pristine μAl in an oxygen environment. The potential mechanisms by which nanoscale metallic particles augment the thermal reactivity of μAl were thoroughly elucidated in the introduction [29,30].
Figure 5.
TG−DSC curves of raw μAl (a) and [nCu+nNi]/μAl (b).
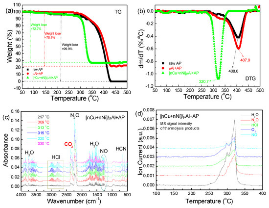
Next, we shall examine the catalytic effects of the [nCu+nNi]/μAl composite on the thermal decomposition of ammonium perchlorate. Initially, we employed a physical mixing technique to combine a specified quantity of raw μAl with raw AP. Subsequently, [nCu+nNi]/μAl was blended with the raw AP, adhering to the stoichiometric ratio delineated in Equation 1 for the mass ratio of μAl (or [nCu+nNi]/μAl) to raw AP. For clarity, we designate the two resultant mixtures as (μAl+AP) and ([nCu+nNi]/μAl+AP). DSC analyses were performed on these mixtures as well as on pure AP, and the findings are illustrated in Figure 6. As depicted in Figure 6a, the DSC curve for (μAl+AP) reveals a minor endothermic peak coupled with a prominent exothermic peak, corresponding to the crystal transformation of AP and its subsequent thermal decomposition, respectively. Furthermore, with an increase in the heating rate, the temperature corresponding to the phase transition peak of AP remained relatively unchanged, whereas the temperature of the decomposition peak exhibited a notable increase. The DSC traces of pure AP at various heating rates are illustrated in Figure 6c. These traces demonstrate that pure AP consistently displays a crystalline transformation peak in addition to a thermolysis peak. Notably, the temperatures of both the crystalline transformation peak and the thermolysis peak correspond closely to those observed in the [μAl+AP] samples. This observation suggests that the incorporation of μAl does not significantly modify the thermal decomposition profile of AP, indicating that pure μAl has negligible catalytic influence on the thermal decomposition of AP. In Figure 6b, for the AP composite doped with [nCu+nNi]/μAl, there was no significant alteration in the crystalline transformation peak; however, the temperature of its thermal decomposition peak demonstrated a marked decrease in comparison to the values depicted in Figure 6a,c. In Figure 6b, the DSC curve for the composite [nCu+nNi]/μAl+AP, recorded at a heating rate of 15 °C/min, reveals a pronounced exothermic peak at 336.3 °C, indicative of the thermal decomposition of catalyzed AP. In contrast, the exothermic peaks for pure AP and the combination (μAl+AP) occur at higher temperatures, specifically at 430.4 °C and 434.4 °C, respectively. This observation underscores the potent catalytic effects exerted by nCu and nNi when adsorbed onto the surface of μAl, as their incorporation markedly accelerates the thermal decomposition of AP. Such a finding is indeed an encouraging indication of enhanced reactivity.
5Al + 3NH4ClO4 → 2.5Al2O3 + 3HCl + 1.5N2 + 4.5H2O
Figure 6.
DSC traces of samples: (a) μAl+AP; (b) [nCu+nNi]/μAl+AP; (c) raw AP; (d) fitting curves; (e) fit degree.
It is well acknowledged that the limited dispersibility of nanoparticles within the system has long posed a formidable challenge in this field. In this study, we initially applied a combined coating of nano-copper and nano-nickel onto the surface of μAl and subsequently blended this composite with pure AP. This novel approach markedly enhances the dispersibility of the nanoparticles, constituting a significant technological advancement relative to prior research. The [nCu+nNi]/μAl composite material has good dispersibility, which improves its activity; on the other hand, the Cu and Ni metal particles used have high activity and act as nanocatalysts in the reaction, which improves the reactivity of nano-aluminum powder. Table 1 shows that at the heating rate of 5 °C/min, the exothermic peak of AP has different degrees of change under different modification methods. However, after adding [nCu+nNi]/μAl, compared with the raw AP, the exothermic decomposition peak of the modified AP was advanced by the most, reaching 99.3 °C. The exothermic peaks of 20 °C/min doped with nano-copper and nano-nickel are 367 °C and 388 °C, respectively, which were 110.2 °C and 89.2 °C earlier, respectively. But this is achieved at a heating rate of 20 °C/min. It is evident that the catalytic efficacy of the [nCu+nNi] composite significantly surpasses that of the individual catalysts, nCu or nNi. This underscores the phenomenon of catalytic synergy.
Table 1.
Peak temperature of AP under different modification methods.
The various thermochemical parameters were computed using Equations (2)–(6) [50], allowing for the characterization of the thermodynamic and kinetic properties of raw ammonium perchlorate and AP doped with μAl or a combination of [nCu+nNi]/μAl. The findings are presented in Figure 6d and summarized in Table 2. Notably, Figure 6d illustrates that the relationship between 1/Tp and ln(β/Tp2) for all samples demonstrates a robust linear correlation, with a coefficient of determination (R2) exceeding 0.99. This suggests that the activation energy and pre-exponential factor derived from DSC data are highly precise. The kinetic data in Table 1 reveal that the activation energy (EK) for all reactions ranges from 161 to 242 kJ/mol, with the EK value for [nCu+nNi]/μAl+AP being lower than that of both raw AP and μAl+AP [51,52,53]. However, the rate constants (k) for the three samples do not exhibit significant disparities. Thermodynamic analysis reveals that the activation enthalpy (ΔH≠) for the composite [nCu+nNi]/μAl+AP approaches its minimum value, signifying that its activation process necessitates the absorption of comparatively less heat. Notably, the activation enthalpy for [nCu+nNi]/μAl+AP is demonstrably lower than that of the other samples. The variations in activation free energy (ΔG≠) among the three samples are minimal, and all values are positive, indicating that the activation processes for both raw AP and catalyzed AP are non-spontaneous, necessitating the absorption of a specific amount of heat to attain the activated state. All recorded values of activation entropy (ΔS≠) are positive, suggesting an increase in the degree of freedom within the systems following activation and indicating the potential generation of gas during the activation process. The kinetic compensation effect illustrated in Figure 6e reveals that the [EK-ln(AK)] data points for the three exothermic reactions align in a linear fashion, signifying a uniformity in their kinetic mechanisms concerning thermal reactions. This consistency is understandable, as each exothermic peak is associated with the thermal decomposition of ammonium perchlorate.
where Tp is the peak temperature in the DSC trace with a heating rate of 10 °C min−1; KB and h are the Boltzmann (KB = 1.381 × 10−23 J/K) and Planck constants (h = 6.626 × 10−34 J/s), respectively; β is the heating rate; Tei is the extrapolated onset temperature at a specific heating rate; Teo is the extrapolated onset temperature at the heating rate closest to zero; Q is the theoretical decomposition heat per mole of explosive; M is the theoretical mass per mole of explosive; EK and AK are the activation energy and pre-exponential factor calculated by the Kissinger equation.
Table 2.
Data of thermodynamics, kinetics, and 5-s burst points.
In order to investigate the catalytic mechanism of [nCu+nNi]/μAl on the thermal decomposition of AP, we conducted TG-IR-MS combined analysis on [nCu+nNi]/μ Al+AP samples, and the results are shown in Figure 7. Figure 7 predominantly involved the thermal decomposition of the ammonium perchlorate without substantial reaction with μAl. The thermal decomposition profile of [nCu+nNi]/μAl+AP reveals that its initiation temperature is approximately 300 degrees Celsius, with its thermal decomposition occurring significantly earlier than that of the two other samples. This observation underscores the considerable catalytic influence exerted by the nCu and nNi coatings on the surface of μAl during the thermal decomposition of ammonium perchlorate. In contrast, pure aluminum exhibits no catalytic effect on this decomposition process. Furthermore, post-decomposition analysis indicates that approximately 28 wt.% of residual mass remains, suggesting that the residual material comprises [nCu+nNi]/μAl. This finding is largely consistent with the designed mass ratio of [nCu+nNi]/μAl to ammonium perchlorate. This observation suggests that throughout the heating process, no thermal reaction occurred between [nCu+nNi]/μAl and AP. Instead, [nCu+nNi]/μAl served solely as a catalyst for the thermal decomposition of AP, thereby significantly enhancing the rate of this decomposition. The DTG curves presented in Figure 7b further illustrate that the decomposition profiles of μAl+AP and raw AP are fundamentally analogous. In contrast, the thermal decomposition of [nCu+nNi]/μAl+AP is markedly advanced. Additionally, the DTG peak associated with [nCu+nNi]/μAl+AP is considerably more pronounced than those corresponding to μAl+AP and raw AP, indicating a significantly elevated thermal weight loss rate for [nCu+nNi]/μAl+AP relative to its counterparts. This finding underscores the potent catalytic influence of [nCu+nNi]/μAl on the thermal decomposition of AP while simultaneously suggesting an absence of reaction between [nCu+nNi]/μAl and either AP or its thermal decomposition products at lower temperatures. In addition, Figure 7c,d jointly demonstrate that after the addition of [nCu+nNi]/μAl, the thermal decomposition of AP generates a large amount of H2O, a certain amount of HCl, N2O, O2, and a small amount of NO. The generation of O2 indicates that the thermal decomposition products of AP have not reacted with [nCu+nNi]/μAl, which is caused by insufficient temperature, as the oxidation of [nCu+nNi]/μAl occurs at least above 800 degrees Celsius. The impurity in the CO2 peak data in Figure 7c comes from the decomposition of a small amount of CO2 and organic matter in the air, which is a normal phenomenon. Compared with the TG-IR spectra of pure AP in reference [38], it can be seen that overall, within 500 degrees Celsius, the thermal decomposition mechanism of [nCu+nNi]/μAl+AP is basically the same as that of pure AP.
Figure 7.
TG−IR−MS combined analyses of samples: (a) TG traces; (b) DTG curves; (c) IR spectra of thermolysis products of [nCu+nNi]/μAl+AP; (d) MS signal intensity of thermolysis products of [nCu+nNi]/μAl+AP.
The thermal sensitivity of energetic materials is intrinsically linked to their thermal decomposition characteristics. In this study, we examined the thermal sensitivities of raw AP, μAl combined with AP, and a composite of [nCu+nNi]/μAl mixed with AP, as assessed through burst point experiments. The findings are presented in Table 1 and illustrated in Figure 8. The methodologies employed for determining the 5-s burst point (T5s) and the activation energy (E) are detailed in references [54,55,56]. Furthermore, in the burst point experiments, the mass ratio of μAl (or [nCu+nNi]/μAl) to raw AP adheres to the stoichiometric ratios delineated in Equation (1). The results indicate that the T5s of the three samples consistently range from 284 to 302 °C, revealing no significant discrepancies among the samples. Notably, the larger sample size employed in the burst point tests, in contrast to that used in DSC experiments, resulted in the observed 5-s burst points being significantly lower than the exothermic peak temperatures recorded in the DSC analyses. This observation constitutes a standard experimental phenomenon. In the analysis of the three samples discussed in this article, the explosion points displayed no significant differences, indicating that the thermal sensitivity of ammonium perchlorate remains largely unaffected by the surface coating of μAl. The variation in activation energy (E) exhibited a pattern consistent with alterations in T5s. The activation energies for the samples were found to lie within the range of 28~45 kJ/mol, with only minor fluctuations. As illustrated in Figure 8c, there is no discernible linear relationship between T5s and E across all samples, suggesting that the kinetic mechanisms governing the reactions of these samples diverge significantly. In summary, the thermal sensitivity of AP doped with the [nCu+nNi]/μAl composite is comparable to that of both raw AP and AP doped solely with μAl. This observation indicates that the incorporation of the [nCu+nNi]/μAl composite does not enhance the thermal sensitivity of ammonium perchlorate.
Figure 8.
Burst point testing of samples: (a) the raw data; (b) the plots; (c) E−T5s; (d) the histograms.
2.3. Combustion Performance
2.3.1. Combustion in Closed Bomb
To conduct a preliminary investigation into the influence of [nCu+nNi] on the combustion performance of μAl and ammonium perchlorate, we meticulously introduced a measured quantity of the sample into a sealed combustion bomb and initiated ignition using a heated wire. A pressure sensor was repurposed to monitor and document the fluctuations in pressure within the confined explosive chamber over time, while a high-speed camera captured the combustion flame dynamics of the sample. The results are presented in Figure 9. For the various combinations of fuel and oxidizer, the mass ratio of the fuel (μAl or [nCu+nNi]/μAl) to the oxidizer (AP) aligns with the zero-oxygen equilibrium stoichiometric ratio outlined in Equation (1). Observations in Figure 9a and Figure 11 reveal that both the raw AP and the μAl+AP mixture exhibit minimal combustion under the hot wire ignition conditions, resulting in only a faint flame, which primarily corresponds to their thermal decomposition. However, Figure 9c illustrates that the mixture of [nCu+nNi]/μAl+AP experienced vigorous combustion under identical conditions. Notably, within the interval of 499 to 982 milliseconds, the high-speed camera captured exceptionally luminous flames. Figure 9d,e reveals that the pressure variations resulting from the combustion or decomposition of both raw AP and μAl+AP are negligible. In contrast, Figure 9f,g demonstrates that the combustion of [nCu+nNi]/μAl+AP induces a substantial increase in pressure within the sealed explosive apparatus. Furthermore, the rate of pressure augmentation associated with the combustion of [nCu+nNi]/μAl+AP significantly surpasses that observed for raw AP and μAl+AP. Consequently, the combustion experiment conducted in a sealed explosive apparatus demonstrated that the [nCu+nNi] coating on the surface of micro-aluminum markedly enhanced the combustion performance of ammonium perchlorate and μAl. In this context, both AP and μAl exhibited vigorous combustion under sealed conditions. Conversely, the unrefined AP and the mixture of μAl with AP exhibited negligible ignition.
Figure 9.
Combustion performance of samples: (a) flame images of raw AP; (b) flame images of μAl+AP; (c) flame images of [nCu+nNi]/μAl+AP; (d) pressure curve of raw AP; (e) pressure curve of μAl+AP; (f) pressure curve of (nCu+nNi)/μAl+AP; (g) max pressures and boost rates.
2.3.2. Combustion in the Air
In addition to the investigations of constant-volume combustion within a sealed explosive device, we also examined the combustion characteristics of three samples in an atmospheric environment at room temperature and pressure, as illustrated in Figure 10. The specific fuel and oxidizer combinations were selected such that the mass ratio of the fuel—represented by either μAl or the equivalent proportion of [nCu+nNi]/μAl—to the oxidizer (AP) correlates with the zero-oxygen equilibrium stoichiometric ratio outlined in Equation (1). During this assessment, we observed that neither raw AP nor μAl could be ignited by the hot wire. Consequently, the infrared camera failed to register any flame indicative of their combustion, precluding the possibility of measuring combustion temperatures via flame analysis. In contrast, the composition of [nCu+nNi]/μAl+AP exhibited vigorous combustion when subjected to ignition via the hot wire. The thermal infrared images presented in Figure 10a–f illustrate that the combustion of the [nCu+nNi]/μAl+AP composite occurs in two distinct processes, which engender two vibrant flames. The temperature-time curve depicted in Figure 10g further corroborates this observation. Infrared camera measurements reveal that the peak temperatures recorded during the combustion of [nCu+nNi]/μAl+AP are merely 1851 °C and 1753 °C, considerably lower than the theoretically predicted value of 3389 °C (refer to Table 3). This discrepancy is attributed to incomplete combustion of the [nCu+nNi]/μAl+AP mixture and does not reflect any inaccuracies in the theoretical or experimental data; indeed, both sets of values remain valid. Furthermore, the thermal infrared camera findings unequivocally demonstrate that the combustion performance of [nCu+nNi]/μAl+AP is markedly superior to that of raw ammonium perchlorate and the μAl+AP mixture. This reinforces the assertion that the [nCu+nNi] compound significantly enhances the combustion efficiency of micro-aluminum in conjunction with AP.
Figure 10.
Thermal infrared images (a–f) and curves of burning time to flame temperature (g) of [nCu+nNi]/μAl+AP.
Table 3.
Thermodynamic data of combustion of samples at atmospheric pressure.
Consequently, whether in a sealed bomb or ambient air, the incorporation of nano-sized copper and nickel significantly enhances the combustion efficiency of ammonium perchlorate at an initial pressure of 1 atm and a temperature of 298 K. Current technological limitations hinder our comprehensive understanding of the catalytic mechanisms by which nano-copper (nCu) and nano-nickel (nNi) facilitate the thermal decomposition and combustion of ammonium perchlorate. However, it can be firmly established that at lower temperatures, nano-copper and nano-nickel engage in redox reactions with oxidants prior to the involvement of metallic aluminum within an oxidative environment, resulting in the formation of corresponding copper oxide and nickel oxide. These oxidation-reduction processes proceed with remarkable rapidity and intensity, releasing substantial quantities of heat, thereby acting as numerous nano-scale active centers throughout the thermal decomposition or combustion of ammonium perchlorate. Indeed, the catalytic influence of [nCu+nNi] on the combustion of AP+μAl is markedly superior to their catalytic impact on the thermal decomposition of AP. As illustrated in Figure 11, throughout the combustion process of [nCu+nNi]/μAl+AP, [nCu+nNi] not only facilitates the thermal decomposition of AP but also enhances the oxidation reaction of μAl, which is typically inhibited by the presence of the oxide layer. Thus, based on the inferred combustion mechanism and the empirical data, it becomes evident that under the dual influence of [nCu+nNi], the system [nCu+nNi]/μAl+AP demonstrates exceptional combustion performance.
Figure 11.
Speculation diagram of catalysis mechanism of coated Al.
The combustion process of three distinct samples at a pressure of 1 atm was meticulously simulated using the NASA-CEA2 code, and a variety of parameters were subsequently calculated. The findings are presented in Table 3 and illustrated in Figure 12. It is evident from Table 3 that the adiabatic flame temperature predicted by the NASA-CEA2 model is lower than the experimentally measured flame temperature. The computational results indicate that the adiabatic flame temperatures for the μAl+AP and [nCu+nNi]/μAl+AP formulations are comparably elevated, significantly surpassing the adiabatic flame temperature of pure ammonium perchlorate. From a theoretical standpoint, it can be inferred that the adiabatic flame temperature of μAl+AP marginally exceeds that of [nCu+nNi]/μAl+AP, attributable to the considerably lower combustion heat released by copper and nickel in contrast to aluminum. Nevertheless, an analysis of the experimental results indicates that μAl+AP did not experience significant combustion; rather, it underwent thermal decomposition. In contrast, the mixture of [nCu+nNi]/μAl+AP displayed vigorous combustion, culminating in a considerably elevated combustion temperature. Despite both μAl+AP and [nCu+nNi]/μAl+AP exhibiting a negative change in free energy from a thermodynamic perspective, notable discrepancies emerge in the kinetics of their combustion reactions under equivalent hot wire ignition conditions. The combustion reaction rate for [nCu+nNi]/μAl+AP is markedly superior to that of μAl+AP. Consequently, although μAl+AP is represented in Table 3 as having greater heat release and a higher adiabatic flame temperature, its practical combustion performance remains inadequate, characterized solely by thermal decomposition rather than vigorous combustion phenomena. This finding further substantiates that the combined presence of [nCu+nNi] exerts a pronounced catalytic influence on the combustion kinetics of AP and μAl. As depicted in Figure 12, there exists a remarkable consistency between the predicted combustion products and their corresponding mole fractions, specifically μAl+AP and [nCu+nNi]/μAl+AP. The resultant combustion products are characterized by a substantial presence of chlorine (Cl), hydrogen (H), hydrogen chloride (HCl), dihydrogen (H2), water (H2O), nitrogen (N2), oxygen (O2), and solid aluminum oxide (Al2O3). Notably, this observation suggests that, despite the stoichiometric ratio indicating a zero oxygen equilibrium, the predicted products remain oxygen-rich. This finding implies, to a certain extent, that formulations exhibiting a marginally negative oxygen balance are associated with optimal reaction performance, characterized by the highest combustion heat and adiabatic flame temperature.
Figure 12.
The molar ratio of combustion products of samples: (a) μAl+AP; (b) [nCu+nNi]/μAl+AP; (c) Raw AP.
2.3.3. Heats of Combustion in Oxygen Bomb
In this study, we employed an automatic calorimeter to quantify the heat of combustion for four distinct samples under pressure of 3 MPa in pure oxygen: raw μAl, [nCu+nNi]/μAl, μAl+AP, and [nCu+nNi]/μAl+AP. The results of these tests are illustrated in Figure 13. For both μAl+AP and [nCu+nNi]/μAl+AP, the mass ratio of μAl or [nCu+nNi]/μAl to ammonium perchlorate corresponds to the zero oxygen equilibrium stoichiometric ratio as defined in Equation (1). It is noteworthy that, during this experiment, the combustion of raw μAl and [nCu+nNi]/μAl in an oxygen environment exhibited a detrimental effect on the stainless steel container of the oxygen bomb. Consequently, the experimentally determined heat of combustion for raw μAl and [nCu+nNi]/μAl was measured at merely −24,988 kJ/kg and −21,952 kJ/kg, respectively, significantly lower than the theoretical heat of combustion for pure aluminum powder, which is −31,000 kJ/kg. Nevertheless, the disparity in combustion heat between the two materials is negligible, with the combustion heat of [nCu+nNi]/μAl being marginally less than that of μAl. This phenomenon can be attributed to the considerably lower combustion heats of copper (−2500 kJ/kg) and nickel (−4100 kJ/kg) in comparison to aluminum (−31,000 kJ/kg), which consequently leads to a reduction in the overall combustion heat of [nCu+nNi]/μAl relative to μAl. This observation underscores the validity and consistency of our experimental findings. Furthermore, upon evaluating the combustion heats of μAl+AP and [nCu+nNi]/μAl+AP, it remains evident that the combustion heat of the latter is still slightly inferior to that of μAl+AP. The observed results can be attributed to the significantly lower combustion heat of copper and nickel in pure oxygen compared to that of aluminum. Furthermore, when ammonium perchlorate was employed as the primary oxidizer, the thermal output from the oxidation reactions of μAl and [nCu+nNi]/μAl was markedly diminished in comparison to the heat release observed when utilizing pure oxygen as the oxidizing agent. This phenomenon arises from the differing characteristics of the oxidizers used and represents a typical occurrence in experimental contexts.
Figure 13.
Heat release of combustion in pure and excessive oxygen.
3. Experimental Sections
3.1. Materials
Micro-aluminum powder (μAl, d50 ≈ 20 μm, >98%), nickel chloride (NiCl2·6H2O, C.P.), copper chloride (CuCl2·6H2O, C.P.), EDTA-2Na (C10H14N2Na2O8, C.P.), and ammonium fluoride (NH4F, C.P.) were obtained from Sino Pharm of China. Ammonium perchlorate (NH4ClO4, AP) was purchased from Gansu Yinguang Chemical Factory.
3.2. Preparation of [nCu+nNi]/μAl
Here, [nCu+nNi]/μAl refers to the nanocomposite that the micron Al is coated with metallic nCu and nNi. The whole process was carried out at ambient temperature and pressure, and the preparation mechanism of [nCu+nNi]/μAl is shown in Figure 14. Typically, a dense oxide layer is present on the surface of μAl particles, which is unavoidable. If this oxide layer is not broken, the metallic aluminum trapped inside cannot undergo a displacement reaction with transition metal ions in the solution. Therefore, to successfully prepare [nCu+nNi]/μAl, the first step is to remove this alumina layer. In aqueous solutions, the substances that can rapidly dissolve alumina are strong acids and strong bases. However, while they dissolve the alumina layer, they also significantly corrode the metallic aluminum particles. After extensive experimentation, ammonium fluoride attracted our attention. Ammonium fluoride plays an important role in dissolving the aluminum oxide layer. In addition, as long as the concentration of ammonium fluoride is well controlled, it dissolves only the alumina layers in the solution without significantly corroding metallic aluminum. In particular, the fluoride ions in the solution can easily react with the alumina layer to form [AlF6]3+ ions, which are highly soluble in water, thus removing the oxide layer and allowing the displacement reaction between metallic aluminum and transition metal ions to proceed rapidly in weakly alkaline aqueous solutions.
Figure 14.
Schematic diagram of the preparation process of [nCu+nNi]/μAl: (a) preparation flowchart; (b) schematic of principle.
Initially, approximately 5 g of micro-aluminum (μAl, d50 ≈ 20 μm) dry powder should be placed into an agate mortar, where it should be meticulously ground until there is no agglomerated μAl. Subsequently, 0.359 g of nickel(II) chloride hexahydrate (NiCl2·6H2O) and 0.16 g of copper(II) chloride dihydrate (CuCl2·2H2O), along with a minimal quantity of the complexing agent ethylenediaminetetraacetic acid disodium salt (EDTA-2Na), are to be dissolved in 15 mL of distilled water to yield a clear green solution. Following this, 2 g of crushed ice is introduced into the aforementioned solution, after which 1.5 g of the previously ground μAl is incorporated. Under vigorous stirring and the application of high-intensity ultrasound, a homogeneous suspension based on μAl is generated. Lastly, 0.5 g of ammonium fluoride (NH4F) is dissolved in an additional 2 mL of distilled water to produce a colorless and transparent solution. This ammonium fluoride solution is then concurrently added to the μAl-based suspension along with 3 g of crushed ice. Under conditions of stirring, yet devoid of ultrasound, a robust magnet was placed at the exterior bottom of the beaker after a duration of ten minutes. This strategic placement facilitated the adsorption of the μAl powder, which is coated with metallic nano-nickel (nNi) and nano-copper (nCu), to the beaker’s base. Subsequently, the magnetically attracted materials were subjected to a washing process with distilled water (three times), followed by anhydrous ethanol (twice), and finally acetone (once). The resultant wet residual material was then filtered. Ultimately, the wet residue underwent freeze-drying utilizing a freeze dryer, yielding a dry powder composed of [nCu+nNi]/μAl. This entire procedure for the preparation of the [nCu+nNi]/μAl powder was conducted at ambient temperature, as depicted in Figure 14.
3.3. Characterization and Tests
Scanning Electron Microscope (SEM) images were taken using the TESCAN MIRA3, the elemental composition of the samples was checked using Energy Dispersive Spectroscopy (EDS) on the SEM, and the samples were gold sprayed using an ion sprayer to increase the conductivity of the samples prior to use. Empyrean X-Ray diffractometer (XRD) and X-Ray photoelectron spectroscopy (XPS) were used to characterize the phase and structural composition. The surface roughness and sphericity of the samples were characterized by an OLS5000 laser microscope. The exothermic reaction properties of the samples were studied by thermogravimetry and differential scanning calorimetry (TG-DSC). Differential scanning calorimetry (DSC, DSC-100) with heating rates of 5, 7, 10, and 15 °C/min was used to study the thermal decomposition of AP, and the sample masses were 5 mg. A high-speed camera was used in constant volume combustion tests (Shanghai Shuangxu Electronics Co., Ltd. Shanghai, China). The heat of combustion was measured using a fully automatic calorimeter (ZDHW-4). The thermal imager (HT30-300010001) was employed to measure and record the combustion flame temperature. The schematic diagram of the combustion performance testing device is shown in Figure 15. Thermal sensitivity tests (i.e., 5 s bursting point tests) were carried out in compliance with GJB772A-97 method 606.1; the quantitative sample was heated by the Wood alloy bath, and the sample responded after a delay.
Figure 15.
Diagram of combustion performance testing device: (a) constant volume combustion vessel; (b) constant pressure combustion device.
4. Conclusions
In this article, we report the successful dense coating of metallic copper and nickel nanoparticles onto the surface of micron-sized aluminum particles. Characterization results reveal that the nanoparticles adhering to the micron aluminum are, indeed, metallic copper and nickel. However, it should be noted that a minor fraction of the copper and nickel nanoparticles experienced oxidation during the preparation process. Furthermore, thermal analysis experiments demonstrated that the inclusion of copper and nickel nanoparticles notably accelerated the oxidation of micron aluminum and significantly expedited the thermal decomposition of ammonium perchlorate. Notably, the activation energy for the thermal decomposition of ammonium perchlorate was markedly diminished, which serves as a promising indication of enhanced reactivity. Furthermore, we undertook a comprehensive investigation into the impacts of nanoparticulate copper and nickel on the combustion performance of micron aluminum and AP. The findings reveal that samples devoid of nano-copper (nCu) and nano-nickel (nNi) exhibit negligible ignitability when subjected to a hot wire, whereas the composite [nCu+nNi]/μAl+AP readily ignites and engages in vigorous combustion upon similar exposure. Furthermore, in our investigation of combustion heat, we observed that the combustion heat of the composite [nCu+nNi]/μAl was only marginally lower than that of μAl itself. This finding suggests that the incorporation of nCu and nNi does not significantly impair the energetic performance of micro-aluminum. Collectively, these results illustrate that the nCu and nNi coated on the surface of micro-aluminum substantially enhance the decomposition, oxidation, and combustion kinetics of ammonium perchlorate and micro-aluminum. Consequently, [nCu+nNi]/μAl emerges as a superior fuel for solid propellants compared to pure micron aluminum.
Author Contributions
Y.W.: Data analysis and Writing; X.S.: Writing, Methodology, Formal analysis, Validation, and Supervision. All authors have read and agreed to the published version of the manuscript.
Funding
This research received no external funding.
Institutional Review Board Statement
This study was conducted in compliance with data protection regulations. The use of personal data was approved by the Ethics Committee of the North University of China Ethics Committee, ensuring that all data were anonymized and securely stored.
Data Availability Statement
All data generated or analyzed during this study are included in this article.
Acknowledgments
Thank you to Chongwei An and Fengsheng Li for their help with the software.
Conflicts of Interest
There are no conflicts of interest to declare.
References
- Jackson, T.L.; Buckmaster, J.; Wang, X. Modeling of propellants containing ultrafine aluminum. J. Propuls. Power 2007, 23, 158–165. [Google Scholar]
- Yuan, J.F.; Liu, J.Z.; Zhou, Y.N.; Wang, J.; Xv, T. Aluminum agglomeration of AP/HTPB composite propellant. Acta Astronaut. 2019, 156, 14–22. [Google Scholar]
- Gautham, M.G.; Ramakrishna, P.A. Combustion characteristics of aluminum-water gelled composite propellant. J. Propuls. Power 2018, 34, 1345–1353. [Google Scholar]
- Gottfried, J.L.; Smith, D.K.; Wu, C.C.; Pantoya, M.L. Improving the explosive performance of aluminum nanoparticleswith aluminum iodate hexahydrate (AIH). Sci. Rep. 2018, 8, 8036. [Google Scholar]
- Pourmortazavi, S.M.; Hajimirsadeghi, S.S.; Kohsari, I.; Fathollahi, M.; Hosseini, S. Thermal decomposition of pyrotechnic mixtures containing either aluminum or magnesium powder as fuel. Fuel 2008, 87, 244–251. [Google Scholar]
- Li, C.D.; Pi, Z.L.; Wang, F.; Wu, Y. Pore structure regulation of aluminum powder as a filler for high energy solid propellants. Mater. Chem. Phys. 2024, 314, 128911. [Google Scholar]
- Makhov, M.N. Effect of aluminum and boron additives on the heat of explosion and acceleration ability of high explosives. Russ. J. Phys. Chem. B 2015, 9, 50–55. [Google Scholar]
- Cudzilo, S.; Trzcinski, W.A.; Paszula, J.; Szala, M.; Chyłek, Z. Performance of magnesium, Mg-Al alloy and silicon in thermobaric explosives—A comparison to aluminium. Propellant Explos. Pyrotech. 2020, 45, 1691–1697. [Google Scholar]
- Azhagurajan, A.; Selvakumar, N.; Thanulingam, T.L. Thermal and sensitivity analysis of nano aluminium powder for firework application. J. Therm. Anal. Calorim. 2011, 105, 259–267. [Google Scholar]
- Han, Z.Y.; Jiang, Q.; Du, Z.M.; Hoon, H.H.; Yu, Y.; Zhang, Y.; Li, G.; Sun, Y. A novel environmental-friendly and safe unpacking powder without magnesium, aluminum and sulphur for fireworks. J. Hazard. Mater. 2019, 373, 835–843. [Google Scholar]
- Pantoya, M.L.; Granier, J.J. The effect of slow heating rates on the reaction mechanisms of nano and micron composite thermite reactions. J. Therm. Anal. Calorim. 2006, 85, 37–43. [Google Scholar] [CrossRef]
- Trunov, M.A.; Schoenitz, M.; Zhu, X.Y.; Dreizin, E.L. Effect of polymorphic phase transformations in Al2O3 film on oxidation kinetics of aluminum powders. Combust. Flame 2005, 140, 310–318. [Google Scholar]
- Jeurgens, L.P.H.; Sloof, W.G.; Tichelaar, F.D.; Mittemeijer, E. Composition and chemical state of the ions of aluminium-oxide films formed by thermal oxidation of aluminum. Surf. Sci. 2002, 506, 313–332. [Google Scholar]
- Sánchez-López, J.C.; Fernández, A.; Conde, C.F.; Conde, A.; Morant, C.; Sanz, J. The melting behavior of passivated nanocrystalline aluminum. Nanostruct. Mater. 1996, 7, 813–822. [Google Scholar]
- Wang, S.X.; Liang, K.M.; Zhang, X.H.; Wang, G.-L. Influence of heating-rate on DTA curve of the aluminothermic reaction. J. Mater. Sci. Lett. 2003, 22, 855–856. [Google Scholar]
- Schoenitz, M.; Ward, T.S.; Dreizin, E.L. Fully dense nano-composite energetic powders prepared by arrested reactive milling. Proc. Combust. Inst. 2005, 30, 2071–2078. [Google Scholar]
- Kim, K.T.; Kim, D.; Kim, C.K.; Choi, Y.J. A facile synthesis and efficient thermaloxidation of polytetrafluoroethylene-coated aluminum powders. Mater. Lett. 2016, 167, 262–265. [Google Scholar]
- Guo, L.G.; Song, W.L.; Xie, C.S.; Zhang, X.; Hu, M. Characterization and thermalproperties of carbon-coated aluminum nanopowders prepared by laser-induction complex heating in methane. Mater. Lett. 2007, 61, 3211–3214. [Google Scholar]
- Lyu, J.Y.; Chen, S.W.; He, W.; Zhang, X.X.; Tang, D.Y.; Liu, P.J.; Yan, Q.L. Fabrication of high-performancegraphene axidle doped PVDF/CuO/Al nanocomposites via electrospinning. Chem. Eng. 2019, 368, 129–137. [Google Scholar]
- Zhou, H.; Lv, B.L.; Wu, D.; Xu, Y. Synthesis of polycrystalline Co3O4 nanowires with excellent ammonium perchlorate catalytic decompositionproperty. Mater. Res. Bull. 2014, 60, 492–497. [Google Scholar]
- Cheng, Z.P.; Chu, X.Z.; Yin, J.Z.; Dai, B.; Zhao, W.; Jiang, Y.; Xu, J.; Zhong, H.; Zhao, P.; Zhang, L. Formation of compositefuels by coating aluminum powder with a cobalt nanocalalyst: Enhanced heat release and catalytic performance. Chem. Eng. 2020, 385, 123859. [Google Scholar]
- Cheng, Z.P.; Chu, X.Z.; Zhao, W.; Yin, J.; Dai, B.; Zhong, H.; Xu, J.; Jiang, Y. Controllable synthesis of Cu/Al energetic nanocomposites with excellent heat release and combustion performance. Appl. Surf. Sci. 2020, 513, 145704. [Google Scholar]
- Liu, L.L.; Li, F.S.; Tan, L.; Ming, L.; Yi, Y. Effects of nanometer Ni, Cu, Al and NiCu powders on the thermal decomposition of ammonium perchlorate. Propellants Explos. Pyrotech. 2004, 29, 34–38. [Google Scholar]
- Song, M.R.; Chen, M.; Zhang, Z.J. Effect of Zn powders on the thermal decomposition of ammonium perchlorate. Propellants Explos. Pyrotech. 2008, 33, 261–265. [Google Scholar]
- Yan, J.; Wang, H.; Jin, B.; Zeng, M.; Peng, R. Cu-MOF derived Cu/Cu2O/C nanocomposites for the efficient thermal decomposition of ammonium perchlorate. J. Solid State Chem. 2021, 297, 122060. [Google Scholar]
- Duan, H.Z.; Lin, X.Y.; Liu, G.P.; Li, F.S. Synthesis of Co nanoparticles and their catalytic effect on the decomposition of ammonium perchlorate. Chin. J. Chem. Eng. 2008, 16, 325–328. [Google Scholar]
- Duan, H.Z.; Lin, X.Y.; Liu, G.P.; Xu, L.; Li, F.S. Synthesis of Ni nanoparticles and their catalytic effect on the decomposition of ammonium perchlorate. J. Mater. Process. Technol. 2008, 208, 494–498. [Google Scholar]
- Kou, Y.; Wang, Y.; Zhang, J.; Guo, K.G.; Song, X.L. Iron/aluminum nanocomposites prepared by one-step reduction method and their effects on thermal decomposition of AP and AN. Def. Technol. 2023, 22, 74–87. [Google Scholar] [CrossRef]
- Wang, Y.; Jiang, W.; Cheng, Z.P.; Chen, W.F.; An, C.; Song, X.; Li, F. Thermite reaction of Al/Cu core-shell nanocomposites with WO3. Thermochim. Acta 2007, 463, 69–76. [Google Scholar]
- Wang, Y.; Song, X.L.; Jiang, W.; Deng, G.D.; Guo, X.D.; Liu, H.Y.; Li, F.S. Synthesis of nano-nickel-coated micro-aluminum and thermal reactivity of aluminum/nickel stannic-oxide thermite. Int. J. Energetic Mater. Chem. Propuls. 2011, 10, 231–243. [Google Scholar]
- Zi, R.C.; Han, Z.Y.; Yu, Y.; Wang, C.; Zhang, X.; Guo, X.; Chen, J.; Zhang, X.; Yang, J. Properties of mixed crystal coprecipitation substances of ammonium nitrate and potassium perchlorate prepared by the evaporative solvent method. ACS Omega 2023, 9, 1573–1590. [Google Scholar] [PubMed]
- Wang, Y.; Song, X.L.; Li, F.S. Thermal behavior and decomposition mechanism of ammonium perchlorate and ammonium nitrate in the presence of nanometer triaminoguanidine nitrate. ACS Omega 2019, 4, 214–225. [Google Scholar] [PubMed]
- Lee, D.G.; Lee, C.J. Fuel-Rich combustion with ammonium perchlorate addition in a staged hybrid rocket engine. J. Propuls. Power 2017, 33, 1581–1588. [Google Scholar]
- Zhou, L.Y.; Cao, S.B.; Zhang, L.L.; Xiang, G.; Wang, J.; Zeng, X.; Chen, J. Facet effect of Co3O4 nanocatalysts on the catalytic decomposition of ammonium perchlorate. J. Hazard. Mater. 2020, 392, 122358. [Google Scholar]
- Vara, J.A.; Dave, P.N.; Chaturvedi, S. Investigating catalytic properties of nanoferrites for both AP and nano-AP based composite solid propellant. Combust. Sci. Technol. 2021, 193, 2290–2304. [Google Scholar]
- Song, X.L.; Wang, Y.; Song, D.; An, C.; Wang, J. Catalysis of a nanometer solid super acid of SO42−/TiO2 on the thermal decomposition of ammonium nitrate. Nanomater. Nanotechnol. 2016, 6, 23. [Google Scholar] [CrossRef]
- Song, X.L.; Wang, Y.; Song, D.; An, C.; Wang, J. Thermal decomposition of ammonium perchlorate and ammonium nitrate doped with nanometer SO42−/Fe2O3 solid strong acid as catalyst. Sci. Technol. Energetic Mater. 2016, 77, 65–71. [Google Scholar]
- Wang, Y.; Song, X.L.; Li, F.S. Nanometer ammonium perchlorate and ammonium nitrate with 2D network structure prepared via rapid freezing technology. Nanomaterials 2019, 9, 1605. [Google Scholar]
- Meng, S.H.; Liu, J.F.; Kong, X.T.; Du, S.G. Preparation of TiO2/CNTs nanocomposite and its catalytic performance on the thermal decomposition of ammonium perchlorate. Transit. Met. Chem. 2020, 45, 545–551. [Google Scholar]
- Hu, Y.H.; Tao, B.; Shang, F.; Zhou, M.X.; Hao, D.; Fan, R.; Xia, D.; Yang, Y.; Pang, A.; Lin, K. Thermal decomposition of ammonium perchlorate over perovskite catalysts: Catalytic decomposition behavior, mechanism and application. Appl. Surf. Sci. 2020, 513, 145849. [Google Scholar]
- Carignan, L.P.; Lacroix, C.; Ouimet, A.; Ciureanu, M.; Yelon, A.; Ménard, D. Magnetic anisotropy in arrays of Ni, CoFeB, and Ni/Cu nanowires. J. Appl. Phys. 2007, 102, 023905. [Google Scholar] [CrossRef]
- Rani, B.J.; Saravanakumar, B.; Ravi, G.; Ganesh, V.; Sakunthala, A.; Yuvakkumar, R. Structural, optical and magnetic properties of NiO nanopowders. J. Nanosci. Nanotechnol. 2018, 18, 4658–4666. [Google Scholar] [PubMed]
- Liu, X.S.; Hu, F.; Zhu, D.R.; Jia, D.N.; Wang, P.-P.; Ruan, Z.; Cheng, C.-H. One-step synthesis of carbon nanotubes with Ni nanoparticles as a catalyst by the microwave-assisted polyol method. J. Alloys Compd. 2011, 509, 2829–2832. [Google Scholar]
- Chen, L.J.; Li, G.S.; Qi, P.; Li, L.O. Thermal decomposition of ammonium perchlorate activated via addition of NiO nanocrystals. J. Therm. Anal. Calorim. 2008, 92, 765–769. [Google Scholar]
- Chen, L.J.; Li, G.S.; Li, L.O. CuO nanocrystals in thermal decomposition of ammonium perchlorate. J. Therm. Anal. Calorim. 2008, 91, 581–587. [Google Scholar]
- Li, J.W.; Li, J.F.; Zhang, D.X.; Wu, B.D. Preparation of Micron-scale DAP-4-based Energetic Composite Microspheres by Microfluidic Technology and its Characterization. Chin. J. Energ. Mater. 2024, 32, 249–255. [Google Scholar]
- Shi, J.H.; Wu, B.D.; Zhou, J.Q.; Ren, D.W. One-step rapid preparation of CL-20/TNT co-crystal assembly and spheroidized coating based on droplet microfluidic technology. Def. Technol. 2023, 27, 251–262. [Google Scholar]
- Guo, Y.Y.; Liu, Y.; Guan, Q. Preparation of micron-sized ammonium perchlorate with narrow particle size distribution based on microfluidic technology. Initiat. Pyrotech. 2024, 33–39. [Google Scholar]
- Zhang, T.T.; Jiang, Y.Q.; Huo, W.L. Preparation and combustion properties of AP@Al composites. Solid Rocket. Technol. 2024, 47, 1–13. [Google Scholar]
- Kissinger, H.E. Reaction kinetics in differential thermal analysis. Anal. Chem. 1957, 29, 1702–1706. [Google Scholar]
- Han, Z.W.; Han, Y.C.; Xu, S. Preparation of nano-cerium dioxide and its effect on the thermal decomposition of ammonium perchlorate. J. Therm. Anal. Calorim. 2014, 116, 273–278. [Google Scholar] [CrossRef]
- Fujimura, K.; Miyake, A. The effect of specific surface area of TiO2 on the thermal decomposition of ammonium perchlorate. J. Therm. Anal. Calorim. 2010, 99, 27–31. [Google Scholar] [CrossRef]
- Shim, H.M.; Lee, E.A.; Kim, J.K. Formation of tungsten/ammonium perchlorate composites and their reaction kinetics. Cent. Eur. J. Energ. Mater. 2015, 12, 703–722. [Google Scholar]
- Song, Y.; Song, X.L.; Song, D.; Liang, L.; An, C.; Wang, J. Synthesis, thermolysis, and sensitivities of HMX/NC energetic nanocomposites. J. Hazard. Mater. 2016, 312, 73–83. [Google Scholar] [CrossRef]
- Yu, Z.H.; Song, X.L.; Kou, Y.; Wang, Y.; An, C. Characterization and testing for lowest eutectic mixture of TNBA/DNTF. Propellants Explos. Pyrotech. 2023, 48, e202200201. [Google Scholar] [CrossRef]
- Dong, C.; Wang, Y.; Jia, K.H.; Song, D.; Song, X.; An, C. Preparation and characterization of high-reactivity explosive-based nano-boron microspheres. Particuology 2024, 93, 125–136. [Google Scholar] [CrossRef]
Disclaimer/Publisher’s Note: The statements, opinions and data contained in all publications are solely those of the individual author(s) and contributor(s) and not of MDPI and/or the editor(s). MDPI and/or the editor(s) disclaim responsibility for any injury to people or property resulting from any ideas, methods, instructions or products referred to in the content. |
© 2025 by the authors. Licensee MDPI, Basel, Switzerland. This article is an open access article distributed under the terms and conditions of the Creative Commons Attribution (CC BY) license (https://creativecommons.org/licenses/by/4.0/).