Green Chemistry’s Contribution to the Kamal Qureshi Protocol: Comparing Various Activating Modes, the Use of Bentonitic Clay as the Catalyst, and the Use of a Green Solvent
Abstract
1. Introduction
2. Results and Discussion
2.1. Mechanochemical Production of DIM®
2.2. DIM® Production Comparing Diverse Activating Procedures
2.3. Statistically Significant Differences
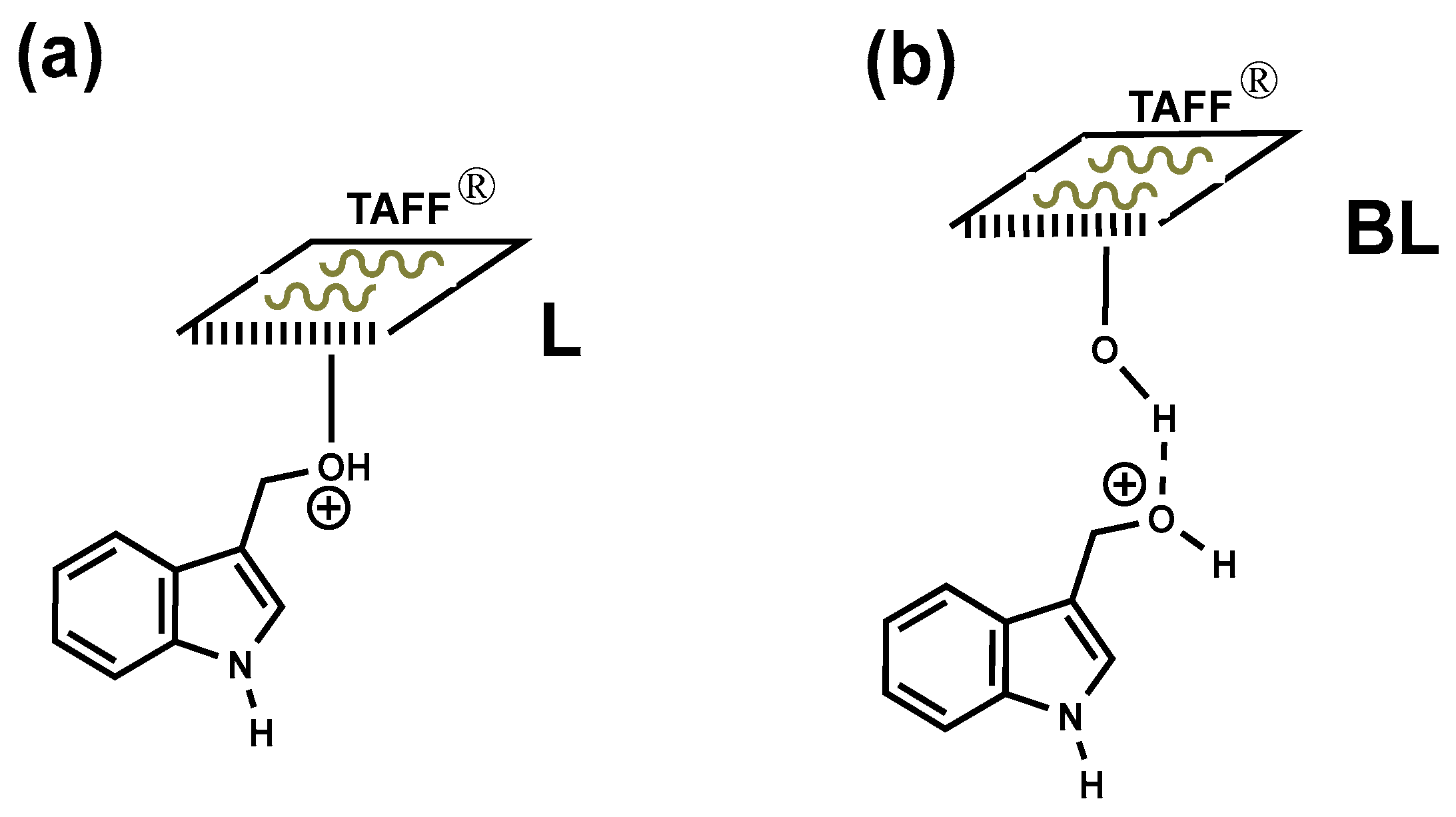
2.4. Structural Attribution
2.5. Generalization by Intelli-Mixer R2-2 Mode to Produce Various DIMs
3. Materials and Methods
3.1. General
3.2. Synthesis of DIM® Employing TCh-HSBM
3.2.1. Mortar/Pestle Procedure
3.2.2. HSBM Restch Model PM100 Device Procedure
3.2.3. Intelli-Mixer R2-2 Device Procedure
3.3. Production of DIM® by Comparison of Other Non-Conventional Activating Reaction Modes
3.4. DIMs Production Employing Intelli-Mixer R2-2 Device
3.5. Optional Studies Involving Different Green Solvents
3.6. Potential Improvements, Large-Scale Optimization, or Applications in Other Reactions
3.7. Statistical Process Control
4. Conclusions
Supplementary Materials
Author Contributions
Funding
Data Availability Statement
Acknowledgments
Conflicts of Interest
Abbreviations
| UNESCO | United Nations Educational, Scientific, and Cultural Organization |
| DIM® | Diindolylmethane |
| GCh | Green Chemistry |
| DESD | Decade to Educate for a Sustainable Development |
| SD | Sustainable Development |
| NIR | Near |
| MW | Microwave-irradiation |
| US | Sonochemistry |
| MCh | Mechanochemistry |
| TCh | Tribochemistry |
| HSBM | High-Speed Ball Milling |
| TAFF® | Tonsil Actisil FF |
| I3C | indole-3-carbinol |
| MCR | Multicomponent Reaction |
| KQ-3MCR | Kamal Quereshi–Three Multicomponent Reaction |
| GC-MS | Gas Chromatography–Mass Spectrometry |
| EI-MS | Electron Ionization–Mass Spectrometry |
References
- Anastas, P.T.; Warner, J.C. Green Chemistry: Theory and Practice; Oxford University Press: New York, NY, USA, 1998. [Google Scholar]
- Tundo, P.; Anastas, P.; Black, D.S.C.; Brent, J.; Collins, T.J.; Memoli, S.; Miyamoto, J.; Polyakoff, M.; Tumas, W. Synthetic pathways and processes in green chemistry. Introductory overview. Pure Appl. Chem. 2000, 72, 1207–1228. [Google Scholar] [CrossRef]
- Anastas, P.T.; Williamson, T.C. Green Chemistry, Frontiers in Benign Chemical Syntheses and Processes; Oxford University Press: Great Britain, UK, 1998. [Google Scholar]
- Wender, P.A.; Handy, S.T.; Wright, D.L. Towards the ideal synthesis. Chem. Ind. 1997, 19, 765–769. [Google Scholar]
- Education for Sustainable Development. Available online: https://en.unesco.org/themes/education-sustainable-development (accessed on 18 December 2024).
- Escobedo, R.; Miranda, R.; Martínez, J. Infrared irradiation: Toward green chemistry, a review. Int. J. Mol. Sci. 2016, 17, 453. [Google Scholar] [CrossRef]
- Martínez, J.; Miranda, R. Infrared irradiation, an excellent, alternative green energy source. In Green Chemistry Applications; Murat, E., Yüksel, E., Eds.; Chapter 3; IntechOpen: London UK, 2019; ISBN 9781789841244. [Google Scholar] [CrossRef]
- Kappe, C.O.; Pieber, B.; Dallinger, D. Microwave effects in organic synthesis: Myth or reality? Angew. Chem. Int. Ed. 2013, 52, 1088–1094. [Google Scholar] [CrossRef] [PubMed]
- Cravotto, G.; Calcio Gaudino, E.; Cintas, P. On the mechanochemical activation by ultrasound. Chem. Soc. Rev. 2013, 42, 7521–7534. [Google Scholar] [CrossRef]
- Wang, G.-W. Mechanochemical organic synthesis. Chem. Soc. Rev. 2013, 42, 7668–7700. [Google Scholar] [CrossRef]
- Friederike Burmeister, C.; Kwade, A. Process engineering with planetary ball mills. Chem. Soc. Rev. 2013, 42, 7660–7667. [Google Scholar] [CrossRef] [PubMed]
- Miranda Ruvalcaba, R.; Álvarez Toledano, C.; Penieres Carrillo, J.G.; Fragoso Medina, A.J. Fuentes alternas para la activación de reacciones. In Química Verde: Una Vía de Contribución al Desarrollo Sostenible; Miranda, R., Compilator, Eds.; Universidad Nacional Autónoma de México: Estado de México, Mexico, 2017; ISBN 9786070290947. [Google Scholar]
- Anastas, P.T.; Kirchhoff, M.M.; Williamson, T.C. Catalysis as a foundational pillar of green chemistry. Appl. Catal. A Gen. 2001, 221, 3–13. [Google Scholar] [CrossRef]
- Miranda, R.; Rios, H.; Delgado, F.; Castro, M.; Cogordán, A.; Salmón, A. Characterization of, a bentonitic clay and its application as catalyst in the preparation of benzyltoluenes and oligotoluenes. Appl. Catal. A Gen. 2003, 244, 217–233. [Google Scholar] [CrossRef]
- Rakel, D. Cancer. In Integrative Medicine, 4th ed.; Section 14; Elsevier: Amsterdam, The Netherlands, 2017; ISBN 9780323358682. [Google Scholar]
- Gong, Y.; Sohn, H.; Xue, L.; Firestone, G.L.; Bjeldanes, L.F. 3,3′-Diindolylmethane is a novel mitochondrial H+-ATP synthase inhibitor that can induce p21(Cip1/Waf1) expression by induction of oxidative stress in human breast cancer cells. Cancer Res. 2006, 66, 4880–4887. [Google Scholar] [CrossRef]
- Acharya, A.; Das, I.; Singh, S.; Saha, T. Chemopreventive properties of indole-3-carbinol, diindolylmethane and other constituents of cardamom against carcinogenesis. Recent Pat. Food Nutr. Agric. 2010, 2, 166–177. [Google Scholar] [CrossRef]
- Rogan, E.G. The natural chemopreventive compound indole-3-carbinol: State of the science. In Vivo 2006, 20, 221–228. [Google Scholar]
- Kim, Y.S.; Milner, J.A. Targets for indole-3-carbinol in cancer prevention. J. Nutr. Biochem. 2005, 16, 65–73. [Google Scholar] [CrossRef]
- Del Priore, G.; Gudipudi, D.K.; Montemarano, N.; Restivo, A.M.; Malanowska-Stega, J.; Arslan, A.A. Oral diindolylmethane (DIM): Pilot evaluation of a nonsurgical treatment for cervical dysplasia. Gynecol. Oncol. 2010, 116, 464–467. [Google Scholar] [CrossRef] [PubMed]
- Castañon, A.; Tristram, A.; Mesher, D.; Powell, N.; Beer, H.; Ashman, S.; Rieck, G.; Fielder, H.; Fiander, A.; Sasieni, P. Effect of diindolylmethane supplementation on low-grade cervical cytological abnormalities: Double-blind, randomised, controlled trial. Br. J. Cancer. 2012, 106, 45–52. [Google Scholar] [CrossRef] [PubMed]
- Biersack, B. 3,3′-Diindolylmethane and its derivatives: Nature-inspired strategies tackling drug resistant tumors by regulation of signal transduction, transcription factors and microRNAs. Cancer Drug Resist. 2020, 3, 867–878. [Google Scholar] [CrossRef] [PubMed]
- Sundberg, R.J. The Chemistry of Indoles; Academic Press: New York, NY, USA, 2012; ISBN 9780124144682. [Google Scholar]
- Fahy, E.; Potts, B.C.M.; Faulkner, D.J.; Smith, K. 6-Bromotryptamine derivatives from the Gulf of California Tunicate Didemnum candidum. J. Nat. Prod. 1991, 54, 564–569. [Google Scholar] [CrossRef]
- Bifulco, G.; Bruno, I.; Riccio, R.; Lavayre, J.; Bourdy, G. Further brominated bis- and tris-indole alkaloids from the deep-water new Caledonian marine sponge Orina sp. J. Nat. Prod. 1995, 58, 1254–1260. [Google Scholar] [CrossRef]
- Bell, R.; Carmeli, S.; Sar, N. Vibrindole A, a metabolite of the marine bacterium, Vibrio parahaemolyticus, isolated from the toxic mucus of the boxfish Ostracion cubicus. J. Nat. Prod. 1994, 57, 1587–1590. [Google Scholar] [CrossRef]
- Garbe, T.R.; Kobayashi, M.; Shimizu, N.; Takesue, N.; Ozawa, M.; Yukawa, H. Indolyl carboxylic acids by condensation of indoles with α-keto acids. J. Nat. Prod. 2000, 63, 596–598. [Google Scholar] [CrossRef]
- Kamal, A.; Qureshi, A.A. Synthesis of some substituted di-indolyl-methanes in aqueous medium at room temperature. Tetrahedron 1963, 19, 513–520. [Google Scholar] [CrossRef]
- Fessner, W.-D.; Grund, C.; Prinzbach, H. Domino and pincer cycloadditions with syn-o,o’-dibenzenes scope and π-facial stereoselectivity. Tetrahedron Lett. 1989, 30, 3133–3136. [Google Scholar] [CrossRef]
- Guin, A.K.; Pal, S.; Chakraborty, S.; Chakraborty, S.; Paul, N.D. Oxygen dependent switchable selectivity during ruthenium catalyzed selective synthesis of C3-alkylated indoles and bis(indolyl)methanes. J. Org. Chem. 2023, 88, 16755–16772. [Google Scholar] [CrossRef]
- Galathri, E.M.; Kuczmera, T.J.; Nachtsheim, B.J.; Kokotos, C.G. Organocatalytic Friedel-Crafts arylation of aldehydes with indoles utilizing N-heterocyclic iod(az)olium salts as halogen-bonding catalysts. Green Chem. 2024, 26, 825–831. [Google Scholar] [CrossRef]
- Nallagangula, M.; Subaramanian, M.; Kumar, R.; Balaraman, E. Transition metal-catalyst in interrupted borrowing hydrogen strategy. Chem. Commun. 2023, 59, 7847–7862. [Google Scholar] [CrossRef]
- Pasuparthy, S.D.; Maiti, B. Facile synthesis of bis(indol-3-yl)methane derivatives catalyzed by carboxylic acid functionalized ionic liquid at room temperature: Investigation of photophysical properties, DFT calculations and molecular docking with bovine serum albumin. Tetrahedron 2024, 153, 133845. [Google Scholar] [CrossRef]
- Kumbhar, V.; Raskar, R.; Chafle, R.; Nikam, V.; Kumbhar, A.; Pawar, R.; Chaskar, M.; Gugale, G.; Khairnar, B. ProHSO4: An efficient catalyst for solvent-free synthesis of bis(indolyl)methanes and their in silico screening for potential biological activity. Results Chem. 2023, 6, 101023. [Google Scholar] [CrossRef]
- Katrun, P.; Atthawilai, K.; Kuhakarn, C. A simple and efficient preparation of bis(indolyl)methanes catalyzed by HCl/silica gel under solvent-free conditions. Arkivoc 2021, 8, 190–203. [Google Scholar] [CrossRef]
- Tanemura, K. Acceleration under solvent-drop grinding: Synthesis of bis(indolyl)methanes using small amounts of organic solvents or ionic liquids. Tetrahedron Lett. 2021, 82, 153391. [Google Scholar] [CrossRef]
- Mhaldar, S.N.; Mandrekar, K.S.; Gawde, M.K.; Shet, R.V.; Tilve, S.G. Solventless mechanosynthesis of bis(indolyl)methanes. Synth. Commun. 2019, 49, 94–101. [Google Scholar] [CrossRef]
- Bhakare, S.D.; Gaikwad, S.B.; Jogdand, R.B. Bismuth triflate catalyzed ecofriendly and efficient synthesis of bis(indolyl)methanes by grinding approach. Heterocycl. Lett. 2016, 6, 421–425. [Google Scholar]
- Ravi, K.; Krishnakumar, B.; Swaminathan, M. BiCl3-loaded montmorillonite K10: A new solid acid catalyst for solvent-free synthesis of bis(indolyl)methanes. Res. Chem. Intermed. 2015, 41, 5353–5364. [Google Scholar] [CrossRef]
- Fekri, L.Z.; Nikpassand, M.; Kohansal, M. Fe+3-montmorillonite K10, as effective, eco-friendly, and reusable catalyst for the synthesis of bis(1H-indol-3-yl)methanes under grinding condition. Russ. J. Gen. Chem. 2015, 85, 2861–2866. [Google Scholar] [CrossRef]
- Ravi, K.; Krishnakumar, B.; Swaminathan, M. Efficient, rapid, and solvent-free synthesis of substituted bis(indolyl)methanes using sulfated anatase titania as a solid acid catalyst. Synth. React. Inorg. Met.-Org. Nano-Met. Chem. 2015, 45, 1380–1386. [Google Scholar] [CrossRef]
- Bihani, M.; Bora, P.P.; Askari, H.; Bez, G. Cooperative Catalysis of silica gel with physisorbed water in the synthesis of bis(indolyl)alkanes. Indian J. Chem. 2014, 53B, 877–883. [Google Scholar]
- Siddiqui, Z.N.; Tarannum, S. Xanthan sulfuric acid: An efficient and biodegradable solid acid catalyst for the synthesis of bis(indolyl)methanes under solvent-free conditions. Comptes Rendus Chim. 2013, 16, 829–837. [Google Scholar] [CrossRef]
- Shirini, F.; Ghaffari Khaligh, N.; Goli Jolodar, O. An efficient and practical synthesis of bis(indolyl)methanes catalyzed by N-sulfonic acid poly(4-vinylpyridinium) chloride. Dyes Pigm. 2013, 98, 290–296. [Google Scholar] [CrossRef]
- Talukdar, D.; Jyoti Thakur, A. A green synthesis of symmetrical bis(indol-3-yl)methanes using phosphate-impregnated titania catalyst under solvent free grinding conditions. Green Chem. Lett. Rev. 2013, 6, 55–61. [Google Scholar] [CrossRef][Green Version]
- Banothu, J.; Gali, R.; Velpula, R.; Bavantula, R.; Crooks, P.A. An eco-friendly improved protocol for the synthesis of bis(3-indolyl)methanes using poly(4-vinylpyridinium)hydrogen sulfate as efficient, heterogeneous, and recyclable solid acid catalyst. ISRN Org. Chem. 2013, 2013, 616932. [Google Scholar] [CrossRef]
- Boroujeni, K.P.; Parvanak, K. Efficient and solvent-free synthesis of bis-indolylmethanes using silica gel supported aluminium chloride as a reusable catalyst. Chin. Chem. Lett. 2011, 22, 939–942. [Google Scholar] [CrossRef]
- Li, J.-T.; Sun, S.-F. Synthesis of diindolylmethanes (DIMs) catalyzed by silicotungstic acid by grinding method. E-J. Chem. 2010, 7, 922–926. [Google Scholar] [CrossRef][Green Version]
- Veisi, H.; Gholbedaghi, R.; Malakootikhah, J.; Sedrpoushan, A.; Maleki, B.; Kordestani, D. Trichloroisocyanuric acid-catalyzed reaction of indoles: An expeditious synthesis of bis-indolyl, tris-indolyl, di(bis-indolyl), tri(bis-indolyl), and tetra(bis-indolyl)methane under solid-state conditions. J. Heterocycl. Chem. 2010, 47, 1398–1405. [Google Scholar] [CrossRef]
- Iglesias, L.; Aguilar, C.; Bandyopadhyay, D.; Banik, B.K. A new bismuth nitrate-catalyzed electrophilic substitution of indoles with carbonyl compounds under solvent-free conditions. Synth. Commun. 2010, 40, 3678–3682. [Google Scholar] [CrossRef]
- Zhang, J.-M.; Xu, R.-P.; Tian, Y.; Zhou, J.-H. SbCl3 catalyzed solventless synthesis of bis(indolyl)alkanes under grinding. Chem. Res. Chin. Univ. 2009, 25, 941–944. [Google Scholar]
- Sadaphal, S.A.; Sonar, S.S.; Ware, M.N.; Shingare, M.S. Cellulose sulfuric acid: Reusable catalyst for solvent-free synthesis of bis(indolyl)methanes at room temperature. Green Chem. Lett. Rev. 2008, 1, 191–196. [Google Scholar] [CrossRef]
- Khodaei, M.M.; Mohammadpoor-Baltork, I.; Memarian, H.R.; Khosropour, A.R.; Nikoofar, K.; Ghanbary, P. Synthesis of 3-substituted indoles promoted by pulverization-activation method catalyzed by Bi(NO3)3•5H2O. J. Heterocycl. Chem. 2008, 45, 377–381. [Google Scholar] [CrossRef]
- Bandgar, B.P.; Patil, A.V.; Kamble, V.T. Fluoroboric acid adsorbed on silica gel catalyzed synthesis of bisindolyl alkanes under mild and solvent-free conditions. Arkivoc 2007, 16, 252–259. [Google Scholar] [CrossRef]
- An, L.-T.; Ding, F.-Q.; Zou, J.-P.; Lu, X.-H.; Zhang, L.-L. An efficient and solvent-free reaction for synthesis of bis(indol-3-yl)methanes catalyzed by sulfamic acid. Chin. J. Chem. 2007, 25, 822–827. [Google Scholar] [CrossRef]
- Pasha, M.A.; Jayashankara, V.P. p-Toluensulfonic acid (p-TSA) catalyzed efficient synthesis of bis(indolyl)methanes under grindstone method. J. Pharmacol. Toxicol. 2006, 1, 585–590. [Google Scholar] [CrossRef][Green Version]
- Ji, S.-J.; Wang, S.-J.; Zhang, Y.; Loh, T.-P. Facile synthesis of bis(indolyl)methanes using catalytic amount of iodine at room temperature under solvent-free conditions. Tetrahedron 2004, 60, 2051–2055. [Google Scholar] [CrossRef]
- Penieres-Carrillo, J.G.; García-Estrada, J.G.; Gutiérrez-Ramírez, J.L.; Alvarez-Toledano, C. Infrared-assisted eco-friendly selective synthesis of diindolylmethanes. Green Chem. 2003, 5, 337–339. [Google Scholar] [CrossRef]
- Velasco-Bejarano, B.; Sánchez-Torres, L.E.; García-Estrada, J.G.; Miranda Ruvalcaba, R.; Alvarez, C.; Penieres-Carrillo, G. Diindolylmethane derivatives as apoptosis inductors in L5178y cells. J. Mex. Chem. Soc. 2008, 52, 224–228. [Google Scholar]
- Martínez, J.; Sánchez, L.; Pérez, F.J.; Carranza, V.; Delgado, F.; Reyes, L.; Miranda, R. Uncatalysed production of coumarin-3-carboxylic acids: A green approach. J. Chem. 2016, 2016, 1–6. [Google Scholar] [CrossRef]
- Escobedo-González, R.G.; Pérez Martínez, H.; Nicolás-Vázquez, M.I.; Martínez, J.; Gómez, G.; Nava Serrano, J.; Carranza Téllez, V.; Vargas-Requena, C.L.; Miranda Ruvalcaba, R. Green production of indolyl quinones, derivatives of Perezone, and related molecules, promising antineoplastic compounds. J. Chem. 2016, 2016, 1–10. [Google Scholar] [CrossRef]
- Zarco Juarez, M.; Martinez, J.O.; Noguez Cordova, O.; Nicolás Vázquez, M.I.; Ramírez-Apan, T.; Pérez Flores, J.; Miranda Ruvalcaba, R.; Arroyo Razo, G.A. A green approach to the production of hybrid diindolylmethane-phenylboronic acids via a 3MCR: Promising antineoplasic molecules. J. Chem. 2013, 2013, 1–9. [Google Scholar] [CrossRef]
- Martínez, J.; Romero-Vega, S.; Abeja-Cruz, R.; Álvarez-Toledano, C.; Miranda, R. Green approach-multicomponent production of boron-containing Hantzsch and Biginelli esters. Int. J. Mol. Sci. 2013, 14, 2903–2915. [Google Scholar] [CrossRef]
- Reyes, L.; Corona, S.; Arroyo, G.; Delgado, F.; Miranda, R. Eco-contribution for the production of N-arylnitrones: Solvent-free and assisted by microwaves. Int. J. Mol. Sci. 2010, 11, 2576–2583. [Google Scholar] [CrossRef]
- Noguez, M.O.; Garcia, A.; Ibarra, C.; Cabrera, A.; Aceves, J.M.; Nicolás, M.I.; Miranda, R. Green synthesis of bis-Biginelli esters, with vasodilatory effects, their mass spectrometric and physical studies. Trends Org. Chem. 2009, 13, 75–82. [Google Scholar]
- Martínez, J.; Velasco-Bejarano, B.; Delgado, F.; Pozas, R.; Torres Dominguez, H.; Trujillo Ferrara, J.G.; Arroyo, G.A.; Miranda Ruvalcaba, R. Eco-contribution to the chemistry of perezone, a comparative study, using different modes of activation and solventless conditions. Nat. Prod. Commun. 2008, 3, 1465–1468. [Google Scholar] [CrossRef]
- Gómez, R.; Ramírez-San Juan, E.; Miranda, R.; Villalobos-Molina, R.; Delgado, F.; Osnaya, R.; Trujillo Ferrara, J. Vasodilator effects of bis-dihydropyridines structurally related to nifedipine. Med. Chem. 2006, 2, 527–534. [Google Scholar] [CrossRef]
- Martínez, J.; Cortés, J.F.; Miranda, R. Green chemistry metrics, a review. Processes 2022, 10, 1274. [Google Scholar] [CrossRef]
- Pérez, H.; Miranda, R.; Saaverda-Leos, Z.; Zarraga, R.; Alonso, P.; Moctezuma, E.; Martínez, J. Green and facile sol-gel synthesis of the mesoporous SiO2-TiO2 catalyst by four different activation modes. RSC Adv. 2020, 10, 39580–39588. [Google Scholar] [CrossRef]
- Khaligh, N.G. Ultrasound-assisted one-pot synthesis of substituted coumarins catalyzed by poly(4-vinylpyridinium) hydrogen sulfate as an efficient and reusable solid acid catalyst. Ultrasonics Sonochem. 2013, 20, 1062–1068. [Google Scholar] [CrossRef] [PubMed]
- Kamal, A.; Khan, M.N.A.; Reddy, K.S.; Srikanth, Y.V.V.; Ahmed, S.K.; Kumar, K.P.; Murthy, U.S.N. An efficient synthesis of bis(indolyl)methanes and evaluation of their antimicrobial activities. J. Enzyme Inhib. Med. Chem. 2009, 24, 559–565. [Google Scholar] [CrossRef]
- Bennett Jr, R.; Maggiolo, A.; Shah, T. Displacement of the indolyl sulphide linkage in the synthesis of 3-substituted indoles. J. Heterocycl. Chem. 1981, 18, 391–394. [Google Scholar] [CrossRef]
- Noguchi-Yachide, T.; Tetsuhashi, M.; Aoyama, H.; Hashimoto, Y. Enhancement of chemically-induced HL-60 cell differentiation by 3,3’-diindolylmethane derivatives. Chem. Pharm. Bull. 2009, 57, 536–540. [Google Scholar] [CrossRef]
- Ji, S.-J.; Zhou, M.-F.; Gu, D.-G.; Jiang, Z.-Q.; Loh, T.-P. Efficient FeIII-catalyzed synthesis of bis(indolyl)methanes in ionic liquids. Eur. J. Org. Chem. 2004, 2004, 1584–1587. [Google Scholar] [CrossRef]
- Pal, R. New greener alternative for biocondensation of aldehydes and indoles using lemon juice: Formation of bis-, tris-, and tetra-indoles. Int. J. Org. Chem. 2013, 3, 136–142. [Google Scholar] [CrossRef]
- Penieres-Carrillo, J.G.; Luna, R.; López-Cortés, J.G.; Ortega-Jiménez, F.; Valdez-Rojas, E.; García-Estrada, J.G.; Fernández-Aulis, F.; Alvarez, C. Synthesis of novel benzimidazole-diindolylmethane hybrid compounds within the green chemistry. Arch. Org. Chem. 2017, 4, 210–221. [Google Scholar] [CrossRef]
- Tornquist, B.L.; Bueno, G.P.; Manzano Willing, J.C.; de Oliveira, I.M.; Stefani, H.A.; Rafique, J.; Saba, S.; Almeida Iglesias, B.; Botteselle, G.V.; Manarin, F. Ytterbium (III) triflate/sodium dodecyl sulfate: A versatile recyclable and water-tolerant catalyst for the synthesis of bis(indolyl)methanes (BIMs). ChemistrySelect 2018, 3, 6358–6363. [Google Scholar] [CrossRef]
- Qu, H.-E.; Xiao, C.; Wang, N.; Yu, K.-H.; Hu, Q.-S.; Liu, L.-X. RuCl3∙3H2O catalyzed reactions: Facile synthesis of bis(indolyl)methanes under mild conditions. Molecules 2011, 16, 3855–3868. [Google Scholar] [CrossRef]
- Miranda, R.; Escobar, J.; Delgado, F.; Salmón, M.; Cabrera, A. Catalytic promotion of piperonyl alcohol to trimethylendioxyorthocyclophane by bentonitic earth, or by hydrochloric acid. J. Mol. Cat. A Chem. 1999, 150, 299–305. [Google Scholar] [CrossRef]
- Salmon, M.; Zavala, N.; Cabrera, A.; Cárdenas, J.; Gaviño, R.; Miranda, R.; Martínez, M. Aromatic substitution reactions of benzyl derivatives with a bentonite-clay. J. Mol. Cat. A Chem. 1995, 104, L127–L129. [Google Scholar] [CrossRef]
- Delgado, F.; Tamariz, J.; Zepeda, G.; Landa, M.; Miranda, R.; García, J. Knoevenagel condensation catalyzed by a mexican bentonite using infrared irradiation. Synth. Commun. 1995, 25, 753–759. [Google Scholar] [CrossRef]
- Available online: https://www.directindustry.es/fabricante-industrial/molino-industria-farmaceutica-110616.html (accessed on 19 December 2024).
- Available online: https://emjuvi.com/molinos-industriales/ (accessed on 19 December 2024).
- Available online: http://tecnologiafarmaceuticaop.blogspot.com/2013/10/molinos.html (accessed on 19 December 2024).
- Braga, D.; Maini, L.; Grepioni, F. Mechanochemical preparation of co-crystals. Chem. Soc. Rev. 2013, 42, 7638–7648. [Google Scholar] [CrossRef] [PubMed]
- Takacs, L. The historical development of mechanochemistry. Chem. Soc. Rev. 2013, 42, 7649–7659. [Google Scholar] [CrossRef] [PubMed]
- Ralphs, K.; Hardacre, C.; James, S.L. Application of heterogeneous catalysts prepared by mechanochemical synthesis. Chem. Soc. Rev. 2013, 42, 7701–7718. [Google Scholar] [CrossRef]
- Boldyreva, E. Mechanochemistry of inorganic and organic systems: What is similar, what is different? Chem. Soc. Rev. 2013, 42, 7719–7738. [Google Scholar] [CrossRef]
- Jongh, P. Recent development and future opportunities for mechanochemistry. RSC Mechanochem. Blog. 2024. Available online: https://blogs.rsc.org/mr/2024/09/19/mr-iupac/?doing_wp_cron=1740177972.0980401039123535156250 (accessed on 21 February 2025).





| Product Reported 1 | General Reaction Condition | Average Yield (%) | Reference |
|---|---|---|---|
| 3–5, 6, 10–12 | Indole, aromatic aldehyde, cat. 2 prolinium hydrogen sulfate, solvent-free, support-free, hand-grinding at rt 3, 5 min. | 88 | [34] |
| 3–6, 12 | Indole, aromatic aldehyde, cat. 2 HCl-SiO2, mortar/pestle, rt 3, 20 min. | 88 | [35] |
| 3–4, 12 | Indole, aromatic aldehyde, cat. 2 Sc(OTf)3, solvent, ground at rt 3, 110 min. | 60 | [36] |
| 3–6, 10, 12 | Indole, aromatic aldehyde, cat. 2 silica gel, ball milling using 10 balls, 20 min. | 82 | [37] |
| 3, 6, 10–11 | Indole, aromatic aldehyde, cat. 2 Bi(OTf)3, grinding, rt 3, 8 min. | 79 | [38] |
| 3–6, 12 | Indole, aromatic aldehyde, cat. 2 BiCl3-MK10, mortar/pestle, rt 3, 4 min. | 85 | [39] |
| 3, 6, 11–12 | Aromatic aldehyde or substituted hydrazone, indole, cat. 2 Fe+3-montmorillonite K10, mortar/pestle, 4 min. | 91 | [40] |
| 3–6, 12 | Indole, aromatic aldehyde, cat. 2 TiO2-SO42−, ground mortar/pestle at rt 3. | 79 | [41] |
| 3–5, 11–12 | Aromatic aldehyde, indole, cat. 2 silica gel, mortar/pestle, 20 min. | 55 | [42] |
| - | Indole, aromatic aldehydes, cat. 2 XSA, grinding. | 87 | [43] |
| 3–4, 6, 9, 12 | Indole, aromatic aldehyde, cat. 2 N-sulfonic acid poly(4-vinylpyridinium), pestle/mortar at rt 3, solvent-free. | 82 | [44] |
| 3–4, 6, 11 | Indole, aromatic aldehyde, cat. 2 phosphate-impregnated titania, solvent-free, mortar/pestle at rt 3, 1 min. | 72 | [45] |
| 3–6, 10–11 | Poly(4-vinylpyridinium)hydrogen sulfate, indole, and aryl aldehyde, mortar/pestle at rt 3, 14 min. | 91 | [46] |
| 3–6, 8, 11–12 | Indole, aromatic aldehyde or ketone, cat. 2 SiO2-AlCl3, mortar/pestle at rt 3, 40 min. | 78 | [47] |
| 3–6, 10–12 | Aldehyde or ketone, indole, cat. 2 silicotungstic acid, mortar/pestle at rt 3. | 70 | [48] |
| 3–6, 9, 11–12 | Indole, aldehyde or ketone, cat. 2 TCCA, mortar/pestle, 5 min. | 87 | [49] |
| 3–4, 6, 11–12 | Indole, aromatic aldehyde, cat. 2 bismuth nitrate, mortar/pestle at rt 3, 11 min. | 89 | [50] |
| 3–6, 11–12 | Indole, aromatic aldehyde, cat. 2 SbCl3, mortar/pestle at rt 3, 15 min. | 81 | [51] |
| 3–4, 6, 12 | Indole, aromatic aldehyde, cat. 2 CSA, mortar/pestle at rt 3. | 89 | [52] |
| 3, 5–6, 8, 11–12 | Indole, aromatic aldehyde, cat. 2 Bi(NO3)3•5H2O, pestle/mortar, 7 min. | 81 | [53] |
| 2–3 | Indole, aldehyde, cat. 2 HBF4-SiO2, mortar/pestle, 10 min. | 86 | [54] |
| 3–4, 6, 9 | Aromatic aldehyde, indole, cat. 2 sulfamic acid, mortar/pestle, 25 °C, 5 min. | 81 | [55] |
| 3–4, 6, 12 | Indole, aromatic aldehyde, cat. 2 p-TSA, mortar/pestle at 25 °C. | 78 | [56] |
| 3–6, 12 | Aromatic aldehyde, indole, I2, mortar/pestle at rt 3, 10 min. | 82 | [57] |
| (a) | TCh-HSBM Device: PM100. Time Reaction: 30 min | |||
| Frequency (rpm)/% formation from GC-MS | 100/0.00 | 200/0.97 | 300/6.30 | 400/18.35 |
| (b) | TCh-HSBM device: PM100. Time reaction: 60 min | |||
| Frequency (rpm)/% formation from GC-MS | 100/25.1 | 200/57.8 | 300/73.6 | 400/78.5 |
| (c) | Intelli-Mixer R2-2. Time reaction: 15 min | |||
| Frequency (rpm)/% formation from GC-MS | 25/59.6 | 50/66.9 | 75/77.6 | 99/80.1 |
| Alternative Activation Source 1 | Experiment | % Formation by GC-MS |
|---|---|---|
| NIR | 1 | 63.75 |
| 2 | 65.41 | |
| 3 | 65.10 | |
| MW | 1 | 25.19 |
| 2 | 24.98 | |
| 3 | 26.20 | |
| US | 1 | 42.36 |
| 2 | 41.09 | |
| 3 | 41.27 |
| Product/ Reaction Time (h) | R | Yield (%) Experimental/Literature | mp (°C) Experimental/Literature | EI-MS M+• (% ra) |
|---|---|---|---|---|
| 1/2 | H | 75/90 [72] | 166–168/166–167 [72] | 246 (89) [73 |
| 2/1.5 | Me | 49/85 [71] | 150–152/153–155 [71] | 260 (10) [73] |
| 3/0.7 | C6H5 | 90/75 [46] | 123–125/125–127 [46] | 322 (40) [26] |
| 4/1.5 | p-OMeC6H4 | 39/70 [58] | 190–192/191–193 [58] | 352 (100) [41] |
| 5/2 | o-ClC6H4 | 69/92 [46] | 68–72/72–74 [74] | 356 (100) [41] |
| 6/1.5 | p-ClC6H4 | 68/96 [46] | 76–80/76–77 [75] | 356 (100) [41] |
| 7/1.5 | m-CHOC6H4 | 75/94 [76] | 190/176–178 [76] | 350 (100) [76] |
| 8/1.5 | p-CHOC6H4 | 83/85 [58] | 201–203/203–204 [58] | 350 (100) [76] |
| 9/1.5 | p-NMe2C6H4 | 46/55 [58] | 168/166–168 [58] | 365 [59] 2 |
| 10/1.5 | o-NO2C6H4 | 93/80 [71] | 70–75/70–72 [77] | 367 (20) [77] |
| 11/1 | m-NO2C6H4 | 80/80 [71] | 265/265–266 [58] | 367 (20) [78] |
| 12/1 | p-NO2C6H4 | 70/85 [71] | 223/221–223 [58] | 367 (100) [41] |
| 13/1 | o-B(OH)2C6H4 | 53/46 [62] | 141–144/141–146 [62] | 366 [62] 2 |
| 14/1 | m-B(OH)2C6H4 | 42/41 [62] | 179–181/180–184 [62] | 366 [62] 2 |
| 15/1 | p-B(OH)2C6H4 | 42/61 [62] | 187–193/190–195 [62] | 366 [62] 2 |
Disclaimer/Publisher’s Note: The statements, opinions and data contained in all publications are solely those of the individual author(s) and contributor(s) and not of MDPI and/or the editor(s). MDPI and/or the editor(s) disclaim responsibility for any injury to people or property resulting from any ideas, methods, instructions or products referred to in the content. |
© 2025 by the authors. Licensee MDPI, Basel, Switzerland. This article is an open access article distributed under the terms and conditions of the Creative Commons Attribution (CC BY) license (https://creativecommons.org/licenses/by/4.0/).
Share and Cite
Fragoso-Medina, A.J.; Hernández-Fernández, J.A.; Nicolás-Vázquez, M.I.; Martínez, J.; Rivera Espejel, A.L.; Saavedra-Leos, M.Z.; Pérez Flores, F.J.; Miranda Ruvalcaba, R. Green Chemistry’s Contribution to the Kamal Qureshi Protocol: Comparing Various Activating Modes, the Use of Bentonitic Clay as the Catalyst, and the Use of a Green Solvent. Catalysts 2025, 15, 238. https://doi.org/10.3390/catal15030238
Fragoso-Medina AJ, Hernández-Fernández JA, Nicolás-Vázquez MI, Martínez J, Rivera Espejel AL, Saavedra-Leos MZ, Pérez Flores FJ, Miranda Ruvalcaba R. Green Chemistry’s Contribution to the Kamal Qureshi Protocol: Comparing Various Activating Modes, the Use of Bentonitic Clay as the Catalyst, and the Use of a Green Solvent. Catalysts. 2025; 15(3):238. https://doi.org/10.3390/catal15030238
Chicago/Turabian StyleFragoso-Medina, Amira Jalil, Jesús A. Hernández-Fernández, María Inés Nicolás-Vázquez, Joel Martínez, Adriana Lizbeth Rivera Espejel, María Z. Saavedra-Leos, Francisco Javier Pérez Flores, and René Miranda Ruvalcaba. 2025. "Green Chemistry’s Contribution to the Kamal Qureshi Protocol: Comparing Various Activating Modes, the Use of Bentonitic Clay as the Catalyst, and the Use of a Green Solvent" Catalysts 15, no. 3: 238. https://doi.org/10.3390/catal15030238
APA StyleFragoso-Medina, A. J., Hernández-Fernández, J. A., Nicolás-Vázquez, M. I., Martínez, J., Rivera Espejel, A. L., Saavedra-Leos, M. Z., Pérez Flores, F. J., & Miranda Ruvalcaba, R. (2025). Green Chemistry’s Contribution to the Kamal Qureshi Protocol: Comparing Various Activating Modes, the Use of Bentonitic Clay as the Catalyst, and the Use of a Green Solvent. Catalysts, 15(3), 238. https://doi.org/10.3390/catal15030238

