Next Article in Journal
Reverse Steam Rising: A Novel Route to Hierarchical Nickel Organometallics for Enhanced Oxygen Evolution
Next Article in Special Issue
Catalytic Biomass Conversion into Fuels and Materials: Sustainable Technologies and Applications
Previous Article in Journal
Emulsion Systems Stabilized with Nonionic Emulsifier and Cross-Linked Polyacrylic Acid: A Promising Strategy to Enhance the Activity of Immobilized CALB
Previous Article in Special Issue
Algae to Biofuels: Catalytic Strategies and Sustainable Technologies for Green Energy Conversion
 
 
Font Type:
Arial Georgia Verdana
Font Size:
Aa Aa Aa
Line Spacing:
Column Width:
Background:
Article

Hydrothermal Upgrading of Industrial Hemp Waste: Effect of Cultivars and Fibre Sheath Presence on Bio-Oil Yield

1
Department of Chemistry, Faculty of Agrobiology, Food and Natural Resources, Czech University of Life Sciences Prague, 165 00 Prague, Czech Republic
2
ORLEN Unipetrol RPA, Záluží 1, 436 70 Litvinov, Czech Republic
3
Faculty of Science and Engineering, Åbo Akademi University, Tuomiokirkontori 3, 20500 Turku, Finland
4
Department of Graphic Arts and Photophysics, Faculty of Chemical Technology, University of Pardubice, Studentská 95, 532 10 Pardubice, Czech Republic
*
Author to whom correspondence should be addressed.
Catalysts 2025, 15(10), 917; https://doi.org/10.3390/catal15100917
Submission received: 17 July 2025 / Revised: 2 September 2025 / Accepted: 8 September 2025 / Published: 24 September 2025

Abstract

Industrial hemp is an abundant agricultural residue with potential for sustainable fuel production. In this work, stalks of two hemp cultivars (Futura-75 and Fedora-17), considered either before or after fibre extraction (with and without fibre sheath), were processed by hydrothermal upgrading (HTU) to obtain bio-oil. A total of twelve autoclave reactions were conducted using 10 g of biomass and 2–4 g of potassium carbonate as a catalyst. The resulting bio-oils exhibited significantly reduced oxygen content (26–36%) compared to the raw feedstock (47%) and achieved higher heating values of 25.9–32.1 MJ/kg versus 17.7–17.9 MJ/kg for the untreated biomass. Fractionation analysis revealed that the main products were high-boiling (>360 °C) and diesel-range fractions, while overall yields ranged from 21.3% to 32.8%. The highest yield was obtained from Fedora-17 with the fibre sheath and 2 g of catalyst. Overall, the study highlights the potential of hemp waste as a renewable feedstock for liquid fuel production and demonstrates how fibre content and cultivar type influence both yield and product quality.

1. Introduction

Climate change is a pressing global issue that must be addressed to protect both the environment and human well-being. The continued use of fossil fuels has a significant impact on the atmosphere, increasing the concentration of pollutants such as CO2, CO, NOx, volatile organic compounds (VOCs), SO2, and others [1]. These emissions put growing pressure on both industrialized and developing countries to reduce greenhouse gas emissions, particularly in the transport sector [2].
One promising solution is the utilization of hemp biomass as renewable raw material. While industrial hemp is primarily cultivated for fibre extraction in textile production, its residual biomass shows potential as a feedstock for liquid biofuel production. Industrial hemp is classified as a second-generation lignocellulose biomass and consists mainly of cellulose (39–50%), hemicelluloses (18–25%), and lignin (21–24%). Moreover, it is a fast-growing crop that provides a high biomass yield in a short time. For example, one hectare of hemp can generate four to five times more biomass during its four-month vegetative period than a forest produces in an entire year [3]. Additionally, a single hectare of hemp can sequester up to 2.5 tonnes of CO2 during growth [4], offsetting emissions generated during processing.
Due to its biological and agricultural characteristics, which align with economic, environmental, and social criteria, hemp biomass fits well within the concept of sustainable development. Furthermore, hemp has the potential to partially replace crops like corn while also providing soil protection benefits; unlike corn, hemp contributes to anti-erosion effects [5]. Erosion, along with the loss of organic matter, soil compaction, stagnation, and contamination, remains one of the most serious problems in soil management across the Czech Republic and Europe more broadly [6].
Nevertheless, bio-oil derived from hemp waste presents challenges: its relatively high oxygen content and instability limit fuel quality, requiring further upgrading steps. From an environmental perspective, hydrothermal processing may also generate wastewater streams that demand proper treatment. Moreover, the economic feasibility of hemp-based bio-oil is constrained by the costs of biomass collection, transport, and downstream refining.
Broader opportunities of utilizing hemp biomass arise from its thermochemical conversion into bio-oil, biogas, or ethanol, where all parts of the plant can be valorized. Hemp also shows considerable seasonal variation in fuel properties (calorific value, heat of combustion, ash content, and ash softening temperature) making it a versatile raw material. One particularly promising pathway for biomass conversion is hydrothermal upgrading (HTU). This process yields liquid biofuels classified as second generation, since they originate from non-food lignocellulosic biomass such as industrial hemp [7].
A key advantage of HTU is the use of water as the reaction medium together with potassium carbonate (K2CO3) as a catalyst. Unlike stronger alkaline bases such as KOH or NaOH, which are corrosive and hazardous [8], potassium carbonate is inexpensive, easy to handle, and far safer in operation. It also eliminates the need for mineral acids (e.g., H2SO4, HCl), whose corrosivity and neutralization by-products pose environmental burdens [9]. Another benefit is that HTU avoids the high energy requirements of pyrolysis, operating instead at comparatively mild temperatures of 300–350 °C [10]. These lower process temperatures improve the overall energy efficiency, which is especially important in today’s unstable energy landscape.
The resulting bio-oil can be upgraded to conventional hydrocarbon fuel by removing nearly all oxygen and reducing molecular weight by hydrorefining and hydrocracking, reaching a calorific value of up to 35 MJ/kg [11]. Another notable advantage is that HTU does not require pre-drying of the input biomass [12], which reduces both energy demand and costs. As highlighted in previous studies, the HTU process enables the conversion of cellulose into longer hydrocarbons within the gasoline and diesel range. In general, three main types of reactions can be distinguished [13]:
-
Alkali salts such as K2CO3 promote the hydrolysis of macromolecules (cellulose and hemicellulose producing smaller fragments (C5–C6), most likely organic acids, via dehydration, dehydrogenation, deoxygenation, and decarboxylation.
-
These organic acids can further degrade into H2O, CO2, and lighter hydrocarbons (C4–C5) with lower oxygen content.
-
Alternatively, part of these intermediates may undergo condensation, cyclization, and polymerization reactions, leading to larger hydrocarbons in the C5–C30 range, which are typically reported as the main constituents of bio-oil [14].
The choice and use of the extraction solvent are important for the final yield of bio-crude resulting from hydrothermal treatment, as well as its energy efficiency and properties. Solvents such as toluene, dichloromethane [15], hexane or acetone can be employed as extraction agent [16]. Among these, acetone has been reported to recover the bio-oil with higher carbon numbers and molecular weights, showing the best carbon and energy recovery among tested solvent [17]. Using acetone as the extraction solvent therefore allows the production of denser bio-crude that can remain in liquid form after subsequent refining steps such as cracking and oxygen or sulphur removal.
At present, the global geopolitical situation has placed significant pressure on European countries due to a shortage of diesel fuel [18]. Considering the capacity of HTU to produce second-generation diesel-range bio-oil, together with its comparatively low energy requirements, this process represents a promising route for mitigating current EU energy challenges.
Building on these considerations, the present study focuses on the conversion of industrial hemp into bio-oil through HTU. Two cultivars (Futura-75 and Fedora-17), with and without fibre sheath, were employed under varying catalyst amounts (2, 3, and 4 g K2CO3 per run). The objective was to obtain and characterize the resulting bio-oil, with the prospect of upgrading it into motor fuels, preferably diesel (C11–C21), through cracking, desulphurization, and deoxygenation. By examining the influence of fibre content and catalyst amount, this work provides new insights into the valorization of hemp waste as a sustainable feedstock, while also emphasizing the relatively low energy demand of HTU and its potential to yield diesel-range products.

2. Results and Discussion

The evaluation of the results was focused on the yield of the bio-oil product, as well as the effect of different amounts of K2CO3 catalyst and the use of two hemp cultivars with or without the fibre sheath. The overall mass balance and yield percentages of all reactions are presented in Table 1.
Overall, the unprocessed Fedora-17 hemp (with fibre sheath) appears more promising for fuel production, giving higher bio-oil yields (31.49–32.84 wt.%) when used as feedstock. In contrast, for the Futura-75 cultivar the opposite trend was observed, with higher bio-oil yields obtained from fibre-free stalks (26.54–31.42 wt.%). These yields are somewhat lower than those reported for certain lignocellulosic feedstocks under optimized HTU/HTL conditions (e.g., 35–43% for verbascum stalk, ~40% for rice straw, up to 75% for corncob, and ~36% for cotton cocoon shell with acetone as solvent [10]). The lower values in our study can be attributed to the use of water as solvent and the short reaction time (15 min), yet the process remains attractive given its simplicity and reliance on inexpensive, green reagents. Considering the potential valorization of hemp residues after fibre extraction, Futura-75 therefore seems more advantageous, as it provides higher yields from fibre-free biomass. No consistent trend was observed for different catalyst amounts, indicating that this variable did not significantly affect the bio-oil yield within the experimental conditions.
With respect to gas production, Futura-75 generally produced slightly lower gas yields compared to Fedora-17. For both cultivars, the absence of the fibre sheath tended to increase gas yields, although with some exceptions (e.g., Test 11). These differences, however, were relatively minor and fall within the range of experimental uncertainty. The catalyst amount appears to exert a stronger influence, with higher catalyst loadings leading to slightly reduced gas yields.

Product Analysis

The main properties of the biocrude oils obtained from HTU processing of Futura-75 and Fedora-17 are shown in Table 2. For comparison, the elemental composition and higher heating value (HHV) of the feedstock are described in the Materials and Methods Section. The most significant difference is related to the oxygen content, which is lower in the bio-oils compared to the feedstock. The oxygen content of the oils ranged from 26–36 wt.%, whereas the raw hemp materials contained 46.8–47.5 wt.% oxygen. Herbaceous biomass generally contains more ash than woody biomass, primarily due to ash-forming minerals, and it also has higher levels of extractives and insoluble fibres such as lignin, hemicellulose, and cellulose [19,20]. As a result, the ash content in the produced bio-oils ranged from 2.8 to 6 wt.% (Table 2).
The removal of oxygen significantly influenced the elemental composition of the produced bio-oils, increasing their hydrogen-to-carbon ratio. This in turn suggests an improvement in the calorific value of the products. The calculated higher heating values confirm this trend, as the second-highest HHV was observed for Test 7, which also exhibited the highest H/C ratio (Table 2). A high H/C ratio is often associated with a greater energy density of liquid fuels, as it may reflect a higher proportion of hydrogen-rich compounds such as saturated hydrocarbons. However, in this study the detailed hydrocarbon composition (e.g., paraffins vs. aromatics) was not determined, and the observed correlation should therefore be regarded as indicative.
Analogous to the pure yields, the two highest HHVs (31.26 and 32.12 MJ/kg) were obtained for Fedora-17 with fibres, whereas the calorific values were lower when the same hemp was processed without fibres. An opposite trend was seen for Futura-75, where fibre-free samples gave slightly higher HHVs than their fibre-containing counterparts. Considering the hemp-waste material (fibre-free biomass), the HHVs ranged from 29.94 to 31.12 MJ/kg for both cultivars, which is only slightly below the maximum achieved value (32.12 MJ/kg) but markedly higher than the HHV of the raw feedstock (17.7–17.9 MJ/kg in this work; ~18.5 MJ/kg reported in the literature [21].
Generally, the HHV increases with lower oxygen content. The relatively high HHV obtained for Test 10 (31.12 MJ/kg) can be explained by its high carbon content (63.1%) and the lowest oxygen fraction (27.02%) among the fibre-free samples, which favoured energy density despite the absence of fibres. In terms of product density, the highest value (902.17 kg/m3) was measured for Test 10 (Futura-75 without fibres), while the lowest (834.75 kg/m3) was obtained in Test 12 (Fedora-17 without fibres). This indicates that the impact of fibre removal on density depends on the cultivar: for Fedora-17, fibre-free oils generally had lower density compared to fibre-containing ones, while for Futura-75 the reverse was observed. The fibre sheath, composed mainly of cellulose, lignin, hemicellulose, pectin, wax, and ash, consists of large molecular structures that can influence product distribution and, in many cases, promote the formation of heavier fractions, though cultivar-specific effects were evident.
In a broader perspective, the HHVs obtained in this work (25.9–32.1 MJ/kg) fall within the ranges reported for bio-oils derived from lignocellulosic feedstocks processed by HTU/HTL (typically 16–25 MJ/kg [22], 24.3 MJ/kg [23]). Nevertheless, they remain below the values normally achieved after catalytic upgrading or hydrotreatment (≈34–41 MJ/kg [24,25]), underlining the need for further upgrading steps to enhance the energy density of hemp-derived bio-oils to the level of advanced biofuels.
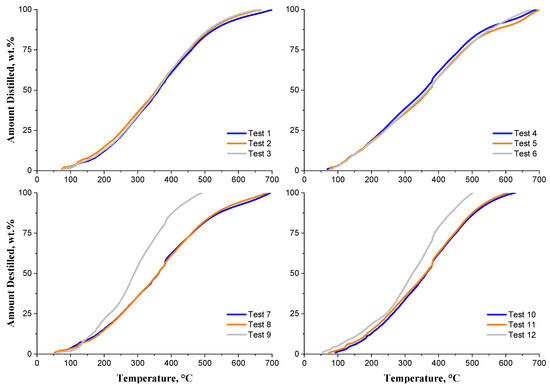
As mentioned in the introduction, plant biomass typically produces mainly C5–C6 hydrocarbons through the hydrolysis of cellulose and hemicellulose in the presence of alkaline salts such as carbonates. During the HTU process, these short-chain compounds can undergo condensation, cyclization, and polymerization reactions, leading to the formation of larger molecules. This tendency is reflected in the SIMDIS results (Figure 1), where the distillation curves of the obtained bio-oils extend up to 700 °C and show that, in most cases, more than half of the product fraction lies above 360 °C. Such high-boiling fractions are consistent with the presence of heavier compounds, indicating that molecular growth reactions occurred during the process.
Nevertheless, raw bio-oil cannot be directly applied as a transport fuel due to its high viscosity, high oxygen content, and corrosiveness. Therefore, producing heavier bio-crude for subsequent refining—such as cracking or deep oxygen removal—is advantageous [25]. From the distillation curves, it can be observed that, except for Tests 9 and 12, more than 50% of the bio-oils consist of fractions boiling above 360 °C. This finding is further supported by the fractionation data presented in Table 3.
Table 3 shows that the dominant fractions of raw bio-oil are the residual fraction (>360 °C), and diesel-cut equivalent (180–360 °C), which is a desirable finding considering the current diesel fuel shortage in Europe. The results for the differences between hemp cultivars are rather comparable. Regarding the diesel fraction of the tests using Futura-75, processing the material with fibres results in slightly higher yields of the diesel fraction and seems to confirm the previous finding related to the higher density of the products of those tests.
This trend is less apparent in Fedora-17, except in Tests 9 and 12, which stand out for their unusually high diesel fraction (58 wt.% and 47 wt.%, respectively) combined with a markedly reduced residual fraction (26 wt.% and 38 wt.%). This deviation from the general pattern, where residual fractions typically exceeded 50 wt.%, makes these two cases particularly notable.
Generally, for Futura-75 with fibres, the gasoline, jet fuel, and diesel fraction yields were in the range of 8–10 wt.%, 27–28 wt.%, and 39–41 wt.%, respectively. While processing Futura-75 without fibres, the fraction yields were 13 wt.%, 28–31 wt.%, and 32–36 wt.% for gasoline, jet fuel, and diesel fractions, respectively. For the tests processing Fedora-17 with fibre sheath, the fractionation results were in a range of 11–16 wt.% for gasoline, 28–47 wt.%, for jet-fuel, and 37–58 wt.% for the diesel fraction equivalent. In the case of Fedora-17 without fibres, the corresponding ranges were 9–15 wt.%, 29–31 wt.%, and 38–47 wt.%.
Comparable trends have been reported for hydrothermally processed algal oils, where the crude products were largely composed of heavy fractions boiling above 330 °C, with lighter fractions becoming significant only after additional thermal upgrading [26]. In contrast, the hemp-derived oils in this study already contained considerable proportions of diesel-range products (up to 32–58 wt.%), underscoring the positive influence of catalytic HTU conditions compared to purely thermal treatments.
Since the raw bio-oils obtained from hemp stalks (with or without the fibre sheath) contain significant residual fractions, nearly all products required further refining. Residual fractions were typically 51–55 wt.%, with the sole exception being Test 12, where the residual fraction was 38 wt.%.
The attenuated total reflectance (ATR) technique was applied to the bio-oil samples to identify their characteristic absorption signals (Figure 2 and Figure 3).
The spectra show a band from 3110 to 3690 cm−1 corresponding to OH groups and bands from 2820 to 3110 cm−1 typical of the methylene and methyl groups derived from cellulose, hemicellulose, and lignin [27]. Signals at 1709 cm−1, 1361 cm−1, and 1221 cm−1 indicate the presence of lignin derivatives, with the first attributed to C=C stretch, the second to aromatic C-H deformation [28], and the third to the C-O-H band, confirming the existence of the CH2OH groups from hexose units [29]. A peak at 1093 cm−1 confirms the presence of di- or oligosaccharides associated with glycoside linkages [28]. ATR results for the Fedora-17 cultivar were nearly identical, with only slight differences in signal intensity. Overall, the spectra confirm the presence of biomass-derived compounds in the bio-oil.
As mentioned in the introduction, oxygen is removed during the HTU process in the form of water and carbon dioxide through deoxygenation and decarboxylation of carboxylic acids. This is supported by the gas composition of all collected products presented in Table 4, where CO2 is dominant, ranging from 89.21 to 96.61 wt.%
Among the detected gaseous components, CO was present at concentrations of 1.69–6.83 wt.% traces of hydrogen and methane were also detected in all cases. No clear trends were detected between hemp cultivars or the presence of fibre sheath. However, the amount of catalyst appeared to influence the formation of unsaturated hydrocarbons, as higher catalyst loadings resulted in a lower proportion of alkenes. The detection of heavier hydrocarbons in the gas phase most likely arose from incomplete condensation during sampling, since the thermo-probe measures the heating mantle temperature rather than the actual temperature inside the reaction vessel, which can prevent full condensation of higher-boiling compounds.
In addition to liquid and gaseous products, the HTU process also generates a small amount of solid residue, primarily originating from lignin-rich and mineral components of hemp feedstock. Although not quantified in this study, such residue could potentially be valorized as a low-grade fuel or as a precursor for activated carbon, thereby reducing waste and improving the sustainability of the process. These aspects emphasize that HTU not only produces liquid bio-oil but also provides opportunities for comprehensive utilization of hemp biomass.
Thus, industrial hemp biomass emerges as a promising feedstock for bio-oil production. Despite its high oxygen content, the HTU process produces bio-oil with significantly improved characteristics for subsequent upgrading into motor fuels. Moreover, it allows the conversion of hemp waste into a more valuable product in an environmentally friendly way, making this pathway particularly attractive from both technological and ecological perspectives. Overall, these results highlight the relevance of HTU in advancing renewable fuel production and support its potential role in addressing current energy challenges.

3. Materials and Methods

3.1. Feedstock Properties

As feedstock, two cultivars of industrial hemp, Futura-75 and Fedora-17, were used. The raw material was delivered in the form of stalks and was milled for this research using a belt sander to obtain sawdust. The hemp stalks were harvested in Poland at the time of seed maturity on 28 September 2021. The harvested samples were grown naturally in the field to facilitate easier separation of the fibre from the husk. After drying, the husk was mechanically separated from the fibre. The drying of the stalks took place naturally in a barn, protected from the direct sunlight and rain.
The experimental plot was located in the third climate zone (warm and slightly humid) with an average annual temperature of 8–9 °C and annual precipitation is 550–650 mm. After collection and drying, the raw material was stored in a dry, ventilated place without exposure to UV radiation, to prevent degradation.
Considering that this hemp is typically cultivated for fibre extraction, two sets of samples were prepared from each cultivar: with and without the fibre sheath. The characteristics of the prepared raw materials are presented in Table 5.
In all prepared feedstock materials, the properties were generally similar, with the main difference observed in nitrogen content, which was slightly higher for Fedora-17 in both fibre-containing and fibre-free samples. The elemental composition of the feedstock ranged between 46–47% carbon, 5.6–6% hydrogen, less than 0.05% sulfur, and 46.8–47.5% oxygen. Oxygen content was calculated by difference, accounting for the measured elements and the ash-metal oxides.
The higher heating value of the feedstock was calculated from the ultimate analysis using Equation (2), yielding 17.7–17.9 MJ/kg across the different samples. This calculated range was used for comparison with the products and is in reasonable agreement with the literature-reported HHV of hemp biomass (~18.5 MJ/kg [21]). To further assess the energetic characteristics of the prepared feedstock, the H/C atomic ratio was determined according to the elemental composition (Equation (1)).

3.2. Other Materials Used

The HTU process employs a “green” catalyst and solvent. In this study, analytical grade potassium carbonate (K2CO3, Lachner) was used as the catalyst, while demineralized water prepared at ORLEN UniCRE a.s. served as the reaction medium. As mentioned in the introduction, acetone has been found to dissolve larger bio-oil molecules compared to other commonly used solvents in HTU experiments. Therefore, analytical grade acetone from Sigma-Aldrich was applied in this work for bio-oil recovery.

3.3. Experimental Procedure and Tests Conditions

Twelve HTU experiments were performed in a batch reactor (Parr Instruments, model 4575/76) equipped with a 300 mL reaction vessel and controlled by a 4848B unit. For each run, 10 g of milled feedstock (sawdust, prepared with a belt-sander) was loaded into the vessel, followed by the addition of 2, 3, or 4 g of catalyst and 100 mL of demineralized water. The filled vessel was weighed, sealed, and subjected to a 20-min pressure test at 120 bar of nitrogen at ambient temperature. After depressurization, heating was initiated at a rate of 8.3 °C/min. The reaction time of 15 min was counted once the temperature of 315 °C was reached. Throughout heating and reaction, the mixture was stirred at 500 RPM.
At the end of the test, heating was switched off and airflow cooling applied. To ensure comparability, gas samples were collected at 34 °C. The reactor was then opened, and the vessel was re-weighed to calculate the number of gaseous products from the weight difference. The reaction mixture was transferred to a bottle (aqueous fraction), and 150 mL of acetone was added to dissolve bio-oil residues deposited on the vessel walls and stirrer. This recovery was carried out for 20 min in the closed reactor under stirring (500 rpm). The acetone-soluble fraction was then transferred to a 250 mL bottle.
Residual bio-oil present in the aqueous fraction was recovered by vacuum filtration through a fine paper filter. The filter was subsequently washed with the acetone fraction and two additional 100 mL doses of pure acetone. The combined acetone-soluble fraction was concentrated using a rotary evaporator to remove acetone, and the recovered bio-oil was weighed. Ash content was determined by the weight difference of the paper filter before and after filtration and drying (80 °C, 30 min). The specific conditions of each test are summarized in Table 6.

3.4. Feedstock and Products Analyses

The raw feedstock materials, four samples of finely milled stalks of Fedora-17 and Futura-75, with and without fibre sheath, were characterized by elemental analysis (C, H, N, S) using a FLASH 2000 Elemental Analyzer (Thermo Fisher Scientific S.p.A. Milan, Italy), according to the ASTM D5291 and ASTM D5453 [30,31].
The bio-oil samples were analyzed by the same elemental analysis method as for the feedstock. Distillation curves were obtained by high-temperature simulated distillation (SIMDIS) according to ASTM D7169 [32], on an Agilent 7890A GC system equipped with FID detection and a Restek MTX-1HT SimDist column (5 m, 0.53 mm i.d., 0.10 µm film). The oven temperature was programmed from 40 °C to 425 °C at a heating rate of 15 °C/min. The SIMDIS results were used to determine the fractional composition of the products, with boiling ranges of 50–180 °C, 120–290 °C, 180–360 °C, and >360 °C corresponding to gasoline, jet fuel, diesel, and residual fractions, respectively.
The density of the bio-oil samples at 15 °C was determined using a KYOTO DA-645 semi-hydrometer (manufacturer: Kyoto Electronics Manufacturing Co. LTD, Kyoto, Japan). To identify the main functional groups present, attenuated total reflectance (ATR) spectroscopy was performed with 64 scans at a resolution of 4 cm−1, using a Nicolet iS10 (Thermo Scientific, Waltham, MA, USA) equipped with a diamond crystal.
For comparison of the energetic values between the feedstock and the resulting bio-oils, the H/C ratio was calculated from the molecular weight of carbon and hydrogen and their elemental contents in the sample composition, according to Equation (1).
H / C   r a t i o = w t . %   H a t o m i c   m a s s   H w t . %   C a t o m i c   m a s s   C
For a clearer justification of the improved energetic values between feedstock and produced liquids, the higher heating value (HHV) was calculated from the elemental composition of the samples using Equation (2) [33].
H H V = 341 C + 1323 H + 68 S 15.3 A 120 ( O + N )
where C, H, S, A, O, and N represent the contents of carbon, hydrogen, sulfur, ash, oxygen, and nitrogen, respectively.
The pure yield of the HTU experiments was calculated as the mass of recovered bio-oil (acetone-soluble compounds after solvent evaporation) divided by the mass of hemp sawdust used as feedstock, expressed as a percentage, according to Equation (3) [34].
P u r e   y i e l d = m B O m H S W 100 %
where m B O is the mass of bio-oil recovered from the reaction mixture, and m H S W as the initial mass of hemp sawdust.
Gaseous products were collected in gas-tight sampling bags directly from the reactor outlet and subsequently analyzed by gas chromatography using Agilent’s “Refinery Gas Analysis” method on an Agilent 7890A system. The instrument was equipped with three channels: a hydrogen channel with TCD (Haysep Q, Molsieve 5A columns), a permanent gases channel with TCD (Haysep Q, Molsieve 5A), and a hydrocarbons channel with FID (DB-1, P-S12 columns). Quantification was performed using calibration curves with certified gas mixtures.

4. Conclusions

Two cultivars of industrial hemp biomass (Futura-75 and Fedora-17), with and without the fibre sheath, were tested in the HTU process using different catalyst amounts. In all reactions, oxygen was efficiently removed via decarboxylation, resulting in bio-oils with 24–44% less oxygen compared to the original biomass. Catalyst loading had no measurable effect on the bio-oil yield. The only clear dependencies were related to the amount of gas produced and the fraction of unsaturated hydrocarbons in its composition. The resulting higher heating values (29.94–31.12 MJ/kg) represented an increase of more than 60% relative to the feedstock (17.7–17.9 MJ/kg). The fractional distribution showed that the raw bio-oils were dominated by diesel-range compounds. Bio-oils obtained from feedstock without the fibre sheath, i.e., true hemp-waste material, contained particularly high proportions of residual fraction requiring further processing (>50 wt.% in most cases, except Test 12). The HTU process exhibited relatively low bio-oil yields (21.29–32.84%). However, considering its low energy demand, the use of inexpensive and “green” reagents, and its ability to produce diesel-range products, the process shows strong potential for further development, particularly under current conditions of energy and fuel scarcity. Although the elemental compositions of Futura-75 and Fedora-17 are similar, the two cultivars differ in morphology and agricultural application: Futura-75 is a tall cultivar with higher fibre content, whereas Fedora-17 is shorter and typically cultivated for seeds. Including both cultivars in this study demonstrated that the HTU process is effective for hemp biomass of different morphological types, confirming its robustness and applicability to realistic hemp-waste streams.
While a detailed techno-economic and energy consumption analysis was beyond the scope of this study, the relatively mild operating conditions and the use of low-cost, environmentally benign catalysts suggest promising cost and energy efficiency compared with alternative thermochemical processes. Future research should address current limitations, particularly the relatively low yields and residual oxygen content of the bio-oil, and focus on catalyst optimization, process scaling, and upgrading strategies. By overcoming these challenges, HTU of hemp biomass could evolve into a viable route for sustainable diesel production.

Author Contributions

Conceptualization, J.H., V.H., T.H. and J.M.H.H.; methodology, V.H., T.H. and J.M.H.H.; software, I.H., N.Š. and J.J.; validation, J.H., J.F., J.M.H.H. and V.H.; formal analysis, J.H., N.Š., J.F., I.H. and J.J.; investigation, J.H., J.F. and N.Š.; resources, J.H. and T.H.; data curation, V.H., J.M.H.H. and I.H.; writing—original draft preparation, J.H., N.Š., J.F. and J.M.H.H.; writing—review and editing, J.H., N.Š., J.F. and J.J.; visualization, J.H., J.F., V.H., N.Š. and I.H.; supervision, V.H., T.H. and J.M.H.H.; project administration, J.H. and V.H.; funding acquisition, J.H. and T.H. All authors have read and agreed to the published version of the manuscript.

Funding

The publication is a result of the project which was carried out within the financial support of ORLEN Unipetrol RPA s.r.o.

Data Availability Statement

The raw data supporting the conclusions of this article will be made available by the authors on request.

Conflicts of Interest

Author Tomáš Herink was employed by the company ORLEN Unipetrol RPA. The remaining authors declare that the research was conducted in the absence of any commercial or financial relationships that could be construed as a potential conflict of interest.

Abbreviations

The following abbreviations are used in this manuscript:
ASTMAmerican standard test method
ATRAttenuated total reflectance
EUEuropean Union
H/C ratioMolecular ratio of hydrogen to carbon
HHVHigher heating value
HTUHydrothermal upgrading
m_BOMass of bio-oil
m_HSWMass of hemp saw-dust
p.a.“Per analysis” (purity grade)
RPMRevolutions per minute
SIMDISSimulated distillation
UVUltraviolet (radiation)
VOCsVolatile organic compounds

References

  1. U.S. Environmental Protection Agency. Progress Cleaning the Air and Improving People’s Health. Available online: https://www.epa.gov/clean-air-act-overview/progress-cleaning-air-and-improving-peoples-health (accessed on 12 February 2024).
  2. European Economic Area. (EEA). National Emissions Reported to the UNFCCC and to the EU Greenhouse Gas Monitoring Mechanism. Available online: https://www.eea.europa.eu/ims/greenhouse-gas-emissions-from-transport (accessed on 12 February 2024).
  3. Pargar, F.; Talukdar, S.; Pal, K.; Zanotti, C. Hemp Waste Valorization as Biofuel and Cement Replacement in Cement and Concrete Production. Waste Biomass Valorization 2021, 12, 913–923. [Google Scholar] [CrossRef]
  4. Wawro, A.; Batog, J.; Gieparda, W. Chemical and Enzymatic Treatment of Hemp Biomass for Bioethanol Production. Appl. Sci. 2019, 9, 5348. [Google Scholar] [CrossRef]
  5. Honzík, R.; Bjelková, M.; Muňoz, J.; Váňa, V. Cultivation of Seeded Hemp Cannabis sativa L. for Biogas Production; Crop Research Institute: Prague, Czech Republic, 2012. [Google Scholar]
  6. Honzík, R.B.M. Situational and Outlook Report—Soil; Department of Agriculture: Prague, Czech Republic, 2018. [Google Scholar]
  7. SNaik, N.; Goud, V.V.; Rout, P.K.; Dalai, A.K. Production of first and second generation biofuels: A comprehensive review. Renew. Sustain. Energy Rev. 2010, 14, 578–597. [Google Scholar] [CrossRef]
  8. Linares-Solano, A.; Lillo-Rodenas, M.A.; Marco Lozar, J.P.; Kunowsky, M.; Romero Anaya, A.J. NaOH and KOH for preparing activated carbons used in energy and environmental applications. Int. J. Energy Environ. Econ. 2012, 20, 59–91. [Google Scholar]
  9. Agarwal, C.; Pandey, A.K. Remediation and recycling of inorganic acids and their green alternatives for sustainable industrial chemical processes. Environ. Sci. Adv. 2023, 2, 1306–1339. [Google Scholar] [CrossRef]
  10. Akhtar, J.; Amin, N.A.S. A review on process conditions for optimum bio-oil yield in hydrothermal liquefaction of biomass. Renew. Sustain. Energy Rev. 2011, 15, 1615–1624. [Google Scholar] [CrossRef]
  11. Zhu, Y.; Biddy, M.J.; Jones, S.B.; Elliott, D.C.; Schmidt, A.J. Techno-economic analysis of liquid fuel production from woody biomass via hydrothermal liquefaction (HTL) and upgrading. Appl. Energy 2014, 129, 384–394. [Google Scholar] [CrossRef]
  12. Pospíšil, M.; Šebor, G.; Šimáček, P.; Mužíková, Z. New Trends in the Production of Biofuels 444 and Their Use in Transport. 2012. Available online: http://www.chemicke-listy.cz/ojs3/index.php/chemicke-listy/article/view/837/837 (accessed on 16 March 2024).
  13. Agrawal, R.K. Fundamentals of thermochemical biomass conversion, by R.P. Overend, T.A. Milne and L. Mudge (Eds.), 1985, 1159 pages, isbn 0-85334-306-3, elsevier science publishing company, $193 U.S. Can. J. Chem. Eng. 1987, 65, 1037–1038. [Google Scholar] [CrossRef]
  14. Pittman, C.U.; Mohan, D.; Eseyin, A.; Li, Q.; Ingram, L.; Hassan, E.B.; Mitchell, B.; Guo, H.; Steele, P.H. Characterization of Bio-oils Produced from Fast Pyrolysis of Corn Stalks in an Auger Reactor. Energy Fuels 2012, 26, 3816–3825. [Google Scholar] [CrossRef]
  15. Watson, J.; Lu, J.; de Souza, R.; Si, B.; Zhang, Y.; Liu, Z. Effects of the extraction solvents in hydrothermal liquefaction processes: Biocrude oil quality and energy conversion efficiency. Energy 2019, 167, 189–197. [Google Scholar] [CrossRef]
  16. Jahromi, H.; Rahman, T.; Roy, P.; Adhikari, S. Hydrotreatment of solvent-extracted biocrude from hydrothermal liquefaction of municipal sewage sludge. Energy Convers. Manag. 2022, 263, 115719. [Google Scholar] [CrossRef]
  17. Zhao, B.; Wang, H.; Xu, S.; Qian, L.; Li, H.; Gao, J.; Zhao, G.; Ray, M.B.; Xu, C.C. Influence of extraction solvents on the recovery yields and properties of bio-oils from woody biomass liquefaction in sub-critical water, ethanol or water–ethanol mixed solvent. Fuel 2022, 307, 121930. [Google Scholar] [CrossRef]
  18. Wittels, J. Europe Is Set to Start Winter Seriously Short of Diesel Fuel. 2022. Available online: https://www.bloomberg.com/news/articles/2022-08-09/europe-is-set-to-start-winter-seriously-short-of-diesel-fuel (accessed on 16 March 2024).
  19. Mayer, Z.A.; Apfelbacher, A.; Hornung, A. Effect of sample preparation on the thermal degradation of metal added biomass. J. Anal. Appl. Pyrolysis 2012, 94, 170–176. [Google Scholar] [CrossRef]
  20. Zhai, J.; Burke, I.T.; Mayes, W.M.; Stewart, D.I. New insights into biomass combustion ash categorisation: A phylogenetic analysis. Fuel 2021, 287, 119469. [Google Scholar] [CrossRef]
  21. Lekavicius, V.; Shipkovs, P.S.; Rucins, A. Thermo-Insulation Properties of Hemp-Based Products. Latv. J. Phys. Tech. Sci. 2015, 52, 38–51. [Google Scholar] [CrossRef]
  22. Dickerson, T.; Soria, J. Catalytic Fast Pyrolysis: A Review. Energies 2013, 6, 514–538. [Google Scholar] [CrossRef]
  23. Prajitno, H.; Insyani, R.; Park, J.; Ryu, C.; Kim, J. Non-catalytic upgrading of fast pyrolysis bio-oil in supercritical ethanol and combustion behavior of the upgraded oil. Appl. Energy 2016, 172, 12–22. [Google Scholar] [CrossRef]
  24. Nam, H.; Choi, J.; Capareda, S.C. Comparative study of vacuum and fractional distillation using pyrolytic microalgae (Nannochloropsis oculata) bio-oil. Algal Res. 2016, 17, 87–96. [Google Scholar] [CrossRef]
  25. Panwar, N.L.; Paul, A.S. An overview of recent development in bio-oil upgrading and separation techniques. Environ. Eng. Res. 2020, 26, 200382. [Google Scholar] [CrossRef]
  26. Roussis, S.G.; Cranford, R.; Sytkovetskiy, N. Thermal Treatment of Crude Algae Oils Prepared Under Hydrothermal Extraction Conditions. Energy Fuels 2012, 26, 5294–5299. [Google Scholar] [CrossRef]
  27. MMateus, M.; Acero, N.F.; Bordado, J.C.; Santos, R.G.D. Sonication as a foremost tool to improve cork liquefaction. Ind. Crops Prod. 2015, 74, 9–13. [Google Scholar] [CrossRef]
  28. Mateus, M.M.; Guerreiro, D.; Ferreira, O.; Bordado, J.C.; Santos, R.G.D. Heuristic analysis of Eucalyptus globulus bark depolymerization via acid-liquefaction. Cellulose 2017, 24, 659–668. [Google Scholar] [CrossRef]
  29. Kizil, R.; Irudayaraj, J.; Seetharaman, K. Characterization of Irradiated Starches by Using FT-Raman and FTIR Spectroscopy. J. Agric. Food Chem. 2002, 50, 3912–3918. [Google Scholar] [CrossRef]
  30. ASTM D5291; Standard Test Methods for Instrumental Determination of Carbon, Hydrogen, and Nitrogen in Petroleum Products and Lubricants. ASTM International: West Conshohocken, PA, USA, 2016.
  31. ASTM D5453; Standard Test Method for Determination of Total Sulfur in Light Hydrocarbons, Spark Ignition Engine Fuel, Diesel Engine Fuel, and Engine Oil by Ultraviolet Fluorescence. ASTM International: West Conshohocken, PA, USA, 2000.
  32. ASTM D7169; Standard Test Method for Boiling Point Distribution of Samples with Residues Such as Crude Oils and Atmospheric and Vacuum Residues by High Temperature Gas Chromatography. ASTM International: West Conshohocken, PA, USA, 2020.
  33. Bilgen, S.; Keleş, S.; Kaygusuz, K. Calculation of higher and lower heating values and chemical exergy values of liquid products obtained from pyrolysis of hazelnut cupulae. Energy 2012, 41, 380–385. [Google Scholar] [CrossRef]
  34. Karagoz, S.; Bhaskar, T.; Muto, A.; Sakata, Y. Hydrothermal upgrading of biomass: Effect of KCO concentration and biomass/water ratio on products distribution. Bioresour. Technol. 2006, 97, 90–98. [Google Scholar] [CrossRef]
Figure 1. Simulated distillation (SIMDIS) curves of bio-oils obtained from HTU processing of Futura-75 and Fedora-17 hemp cultivars with and without fibre sheath.
Figure 1. Simulated distillation (SIMDIS) curves of bio-oils obtained from HTU processing of Futura-75 and Fedora-17 hemp cultivars with and without fibre sheath.
Catalysts 15 00917 g001
Figure 2. ATR spectra of the bio-oil obtained from HTU processing of the Futura-75 hemp cultivar.
Figure 2. ATR spectra of the bio-oil obtained from HTU processing of the Futura-75 hemp cultivar.
Catalysts 15 00917 g002
Figure 3. ATR spectra of the bio-oil obtained from HTU processing of the Fedora-17 hemp cultivar.
Figure 3. ATR spectra of the bio-oil obtained from HTU processing of the Fedora-17 hemp cultivar.
Catalysts 15 00917 g003
Table 1. Mass balance of HTU experiments with Futura-75 and Fedora-17 hemp cultivars.
Table 1. Mass balance of HTU experiments with Futura-75 and Fedora-17 hemp cultivars.
Hemp cultivarFutura-75
With fibresWithout fibres
Test Nr.123456
Catalyst amount, g432432
Gases, g8.288.688.979.089.1710.01
Solids (ash), g0.310.260.470.610.380.28
Water, g98.9398.9397.6997.6697.3196.67
Bio-oil, g2.482.132.882.653.143.04
Pure yield 1, %24.8321.2928.7626.5431.4230.40
Hemp cultivarFedora-17
With fibresWithout fibres
Test Nr.789101112
Catalyst amount, g432432
Gases, g9.109.579.6611.669.2210.37
Solids (ash), g0.580.520.560.570.540.46
Water, g97.0596.7598.4998.7597.6898.19
Bio-oil, g3.273.153.283.022.562.98
Pure yield 1, %32.7431.4932.8430.2425.6229.79
1 Calculated using Equation (3).
Table 2. Elemental composition and properties of bio-oils from Futura-75 and Fedora-17 hemp biomass.
Table 2. Elemental composition and properties of bio-oils from Futura-75 and Fedora-17 hemp biomass.
Hemp cultivarFutura-75
With fibresWithout fibres
Test Nr.123456
Carbon, %60.3059.8055.0058.6059.6059.80
Hydrogen, %9.669.828.7410.4010.6010.10
Sulfur, %<0.05<0.05<0.05<0.05<0.05<0.05
Nitrogen, %<0.05<0.05<0.05<0.05<0.05<0.05
Oxygen 1, %29.9430.2836.1630.9029.7030.00
Density (15 °C), kg/m3882.90866.50886.65841.23834.37845.39
H/C ratio 21.901.951.892.112.112.01
Ash, %3.082.644.676.093.832.83
HHV 3, MJ/kg29.7029.7125.9029.9430.7230.11
Hemp cultivarFedora-17
With fibresWithout fibres
Test Nr.789101112
Carbon, %60.2063.3061.7063.1061.2059.70
Hydrogen, %10.8010.4010.009.789.7710.30
Sulfur, %<0.05<0.05<0.05<0.05<0.05<0.05
Nitrogen, %<0.05<0.05<0.05<0.05<0.05<0.05
Oxygen 1, %28.9026.2028.2027.0228.9329.90
Density (15 °C), kg/m3874.70876.58861.91902.17843.31834.75
H/C ratio 22.131.951.931.841.902.05
Ash, %5.755.255.645.655.394.61
HHV 3, MJ/kg31.2632.1230.8031.1230.2430.32
1 Calculated by difference; 2 Calculated using Equation (1); 3 Calculated using Equation (2).
Table 3. Fractional composition of bio-oils from HTU processing of Futura-75 and Fedora-17 hemp cultivars (with and without fibre sheath).
Table 3. Fractional composition of bio-oils from HTU processing of Futura-75 and Fedora-17 hemp cultivars (with and without fibre sheath).
Hemp cultivarFutura-75
With fibresWithout fibres
Test Nr.123456n-Alkane equivalent
Gasoline (50–180 °C), wt.%8108131313C5–C10
Jet-Fuel (120–290 °C), wt.%272827312829C8–C16
Diesel (180–360 °C), wt.%393941363234C11–C21
Residual (>360 °C), wt.%535151515553C22+
Hemp cultivarFedora-17
With fibresWithout fibres
Test Nr.789101112n-Alkane equivalent
Gasoline (50–180 °C), wt.%12111691115C5–C10
Jet-Fuel (120–290 °C), wt.%282947293031C8–C16
Diesel (180–360 °C), wt.%373858393847C11–C21
Residual (>360 °C), wt.%515126525138C22+
Table 4. Composition of gaseous products from HTU of Futura-75 and Fedora-17 hemp biomass (with and without fibre sheath), determined by Refinery Gas Analysis (RGA).
Table 4. Composition of gaseous products from HTU of Futura-75 and Fedora-17 hemp biomass (with and without fibre sheath), determined by Refinery Gas Analysis (RGA).
Hemp cultivarFutura-75
With fibresWithout fibres
Test Nr.123456
H2, %wt.0.220.240.260.370.360.17
CO2, %wt.96.6190.3290.9294.8291.7192.42
CO, %wt.1.696.836.183.606.125.40
CH4, %wt.0.100.140.140.230.160.14
C2-C6 Alkanes, %wt.0.640.700.670.370.390.54
C2-C6 Alkenes, %wt.0.491.101.460.541.191.08
C6+, %wt.0.250.660.350.070.080.26
Hemp cultivarFedora-17
With fibresWithout fibres
Test Nr.789101112
H2, %wt.0.360.290.290.370.220.21
CO2, %wt.93.0393.3191.7393.6693.4289.21
CO, %wt.4.494.605.464.514.795.93
CH4, %wt.0.200.140.160.240.140.16
C2-C6 Alkanes, %wt.0.920.421.020.490.342.98
C2-C6 Alkenes, %wt.0.721.071.280.670.871.35
C6+, %wt.0.300.170.070.080.240.15
Table 5. Elemental composition and calculated properties of Futura-75 and Fedora-17 hemp feedstocks, with and without fibre sheath.
Table 5. Elemental composition and calculated properties of Futura-75 and Fedora-17 hemp feedstocks, with and without fibre sheath.
ParameterFutura-75Fedora-17
with fibreswithout fibreswith fibreswithout fibres
Carbon, %46.1046.7046.9046.40
Hydrogen, %6.005.655.635.81
Sulphur, %<0.05<0.05<0.05<0.05
Nitrogen, %0.320.350.590.45
Oxygen 1, %47.5347.2546.8347.29
H/C ratio1.551.441.431.49
HHV 2, MJ/kg17.9217.6917.7517.78
1 Calculated by difference (including the ash-metal oxides content). 2 HHV calculated from the ultimate analysis using Equation (2).
Table 6. Experimental conditions of HTU runs with Futura-75 and Fedora-17.
Table 6. Experimental conditions of HTU runs with Futura-75 and Fedora-17.
Hemp CultivarFutura-75Fedora-17
With fibresWithout fibresWith fibresWithout fibres
Test Nr.123456789101112
Catalyst amount4 g3 g2 g4 g3 g2 g4 g3 g2 g4 g3 g2 g
Reaction time15 min
Temp.315 °C
Disclaimer/Publisher’s Note: The statements, opinions and data contained in all publications are solely those of the individual author(s) and contributor(s) and not of MDPI and/or the editor(s). MDPI and/or the editor(s) disclaim responsibility for any injury to people or property resulting from any ideas, methods, instructions or products referred to in the content.

Share and Cite

MDPI and ACS Style

Hájek, J.; Hönig, V.; Šarkov, N.; Frątczak, J.; Hradecká, I.; Jenčík, J.; Herrador, J.M.H.; Herink, T. Hydrothermal Upgrading of Industrial Hemp Waste: Effect of Cultivars and Fibre Sheath Presence on Bio-Oil Yield. Catalysts 2025, 15, 917. https://doi.org/10.3390/catal15100917

AMA Style

Hájek J, Hönig V, Šarkov N, Frątczak J, Hradecká I, Jenčík J, Herrador JMH, Herink T. Hydrothermal Upgrading of Industrial Hemp Waste: Effect of Cultivars and Fibre Sheath Presence on Bio-Oil Yield. Catalysts. 2025; 15(10):917. https://doi.org/10.3390/catal15100917

Chicago/Turabian Style

Hájek, Jiří, Vladimir Hönig, Nikita Šarkov, Jakub Frątczak, Ivana Hradecká, Jan Jenčík, Jose Miguel Hidalgo Herrador, and Tomáš Herink. 2025. "Hydrothermal Upgrading of Industrial Hemp Waste: Effect of Cultivars and Fibre Sheath Presence on Bio-Oil Yield" Catalysts 15, no. 10: 917. https://doi.org/10.3390/catal15100917

APA Style

Hájek, J., Hönig, V., Šarkov, N., Frątczak, J., Hradecká, I., Jenčík, J., Herrador, J. M. H., & Herink, T. (2025). Hydrothermal Upgrading of Industrial Hemp Waste: Effect of Cultivars and Fibre Sheath Presence on Bio-Oil Yield. Catalysts, 15(10), 917. https://doi.org/10.3390/catal15100917

Note that from the first issue of 2016, this journal uses article numbers instead of page numbers. See further details here.

Article Metrics

Back to TopTop