Production of Green Fuel Using a New Synthetic Magnetite Mesoporous Nano-Silica Composite Catalyst for Oxidative Desulfurization: Experiments and Process Modeling
Abstract
1. Introduction
2. Results and Discussion
2.1. Evaluation of Prepared Catalysts
2.1.1. Chemical Composition
2.1.2. X-ray Diffraction
2.1.3. Fourier Transform Infrared (FTIR)
2.1.4. TGA (Thermal Gravimetric Analysis)
2.1.5. Particle Size Distribution
2.1.6. FESEM-EDX
2.2. Experimental Section
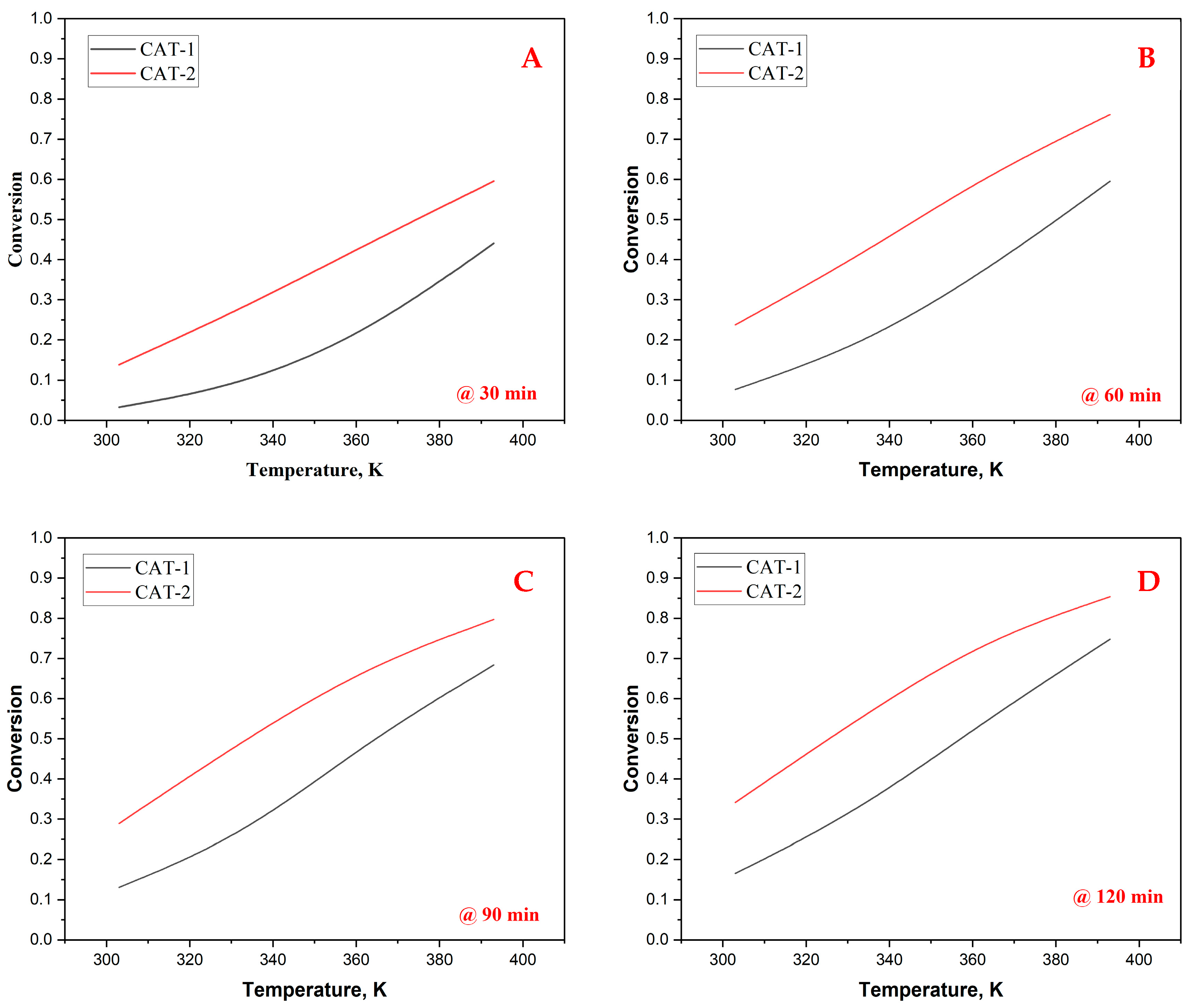
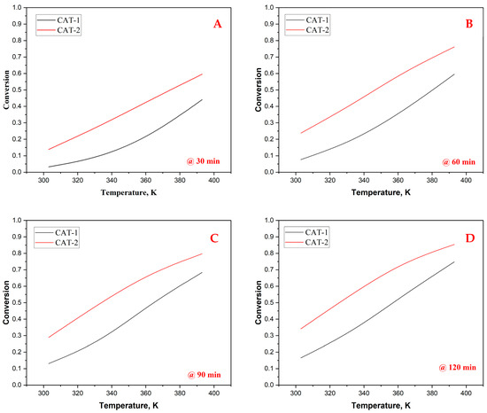
2.2.1. The Influence of Reaction Temperature
- The higher temperature favorably influenced the reaction rate, as described by the Arrhenius equation. This leads to a notable rise in the conversion of sulfur-based compounds, as reported in the literature [18].
- Furthermore, temperature can affect various transport and physical properties of the gases and liquids involved, such as density, viscosity, gas diffusivity, and Henry’s constant. Specifically, an increase in temperature leads to an increase in both Henry’s constant and the diffusivity of reactants (sulfur and oxidant in the presence of catalyst) in the reaction media. Additionally, temperature impacts properties like viscosity, which decrease with increasing temperature. However, the oxidation reaction is favored with higher temperatures, as the absorption of molecular oxygen in the liquid, the dispersion of sulfur compounds, and the rate of dissolved oxygen reaching active sites inside the catalyst pores all increase with rising temperatures.
- The higher temperatures can be explained by the fact that faster-moving reactants have a higher probability of interacting. Moreover, for the catalyst used, the finest sulfones may have been readily desorbed from the surface at high temperatures [20].
- The catalysts’ oxidation temperature has a substantial effect on their activity, and the density of acidic centers, which determine the catalytic properties, depends on the temperature at which the catalyst has been calcined. This has led to enhanced removal of sulfur compounds from diesel fuel [21,22].
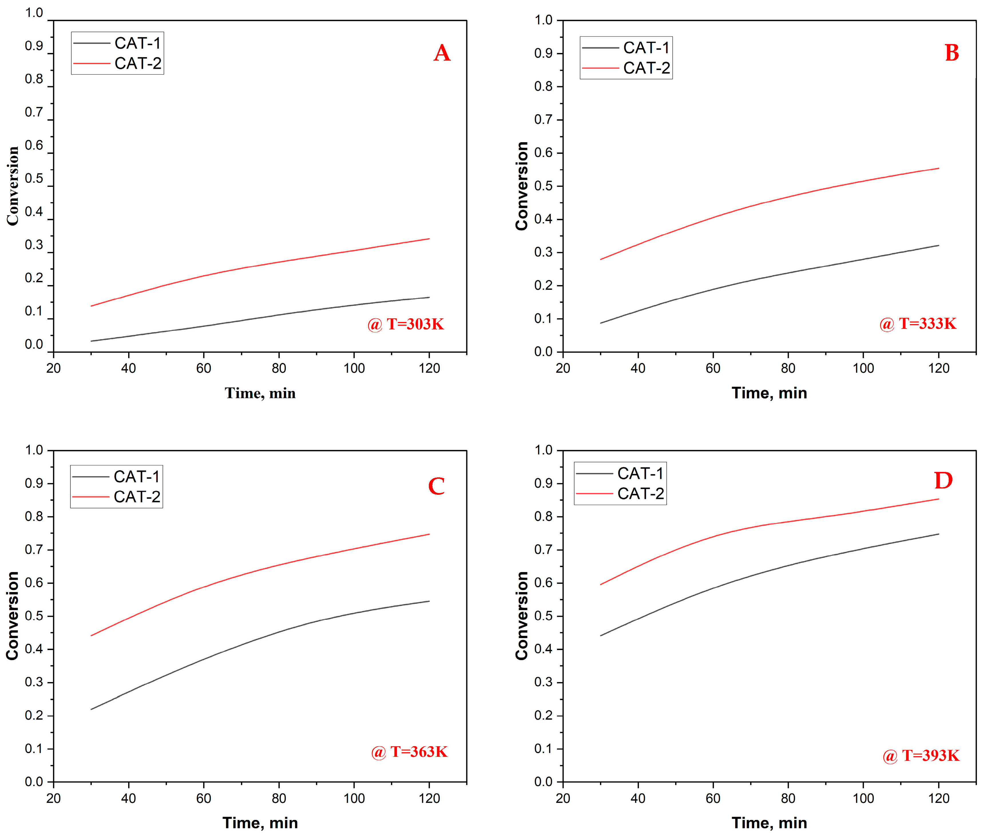
2.2.2. The Impact of Reaction Time
2.3. Estimation of Kinetic Parameters
2.3.1. Linear Approach
Activation Energy (E)
2.3.2. Approach with Non-linear Regression Method
For CAT-1
- Reaction rate:
- Concentration profile:
For CAT-2
- Reaction rate:
- Concentration profile:
2.4. Experimental Findings and Simulation Outcomes
2.5. Optimal Conversion to Eco-Friendly Fuel
3. Experimental Methodology
- (a)
- Nano-silica was made using bentonite.
- (b)
- Using the precipitation process, two composite supports (nano-silica + HY-zeolite) were prepared with varying percentages of HY-zeolite: support-1: nanoparticles of silica only; support-2: nanoparticle composed of 80% nano-silica and 20% HY-zeolite.
- (c)
- Using the impregnation process, two types of nanocatalysts were created:
- Fe2O3/nano-silica nanoparticle (CAT-1).
- Fe2O3/(80% nano-silica + 20% HY-zeolite) nanoparticle (CAT-2).
3.1. Materials and Equipment
3.1.1. Kerosene Feedstock (Fuel Feed)
3.1.2. Oxidant
3.1.3. Active Components for Catalyst Preparation
3.1.4. HY-Zeolite
3.1.5. Equipment
3.2. Nano-Silica Preparation
3.3. Preparation of Iron-Supported Nano-Silica Catalyst
3.4. Oxidative Desulfurization Reactor
3.4.1. Batch Reactor
3.4.2. The ODS Reaction
3.5. Experimental Testing
Experimental Procedure for ODS Reactions
- A round-bottom flask was charged with 80 mL of the feedstock before proceeding with other steps.
- The flask was placed in a heating mantle stirrer, and an air hose was connected to a condenser as well.
- Measures were taken to ensure that heat was not transferred to the condenser through the kerosene vapor, and the condenser was supplied with cooled water.
- A thermometer measured the temperature at which the overall reaction occurred.
3.6. Analysis of Liquid Samples
4. Mathematical Modeling of ODS Process
- The reactor is isothermal at a constant pressure.
- A reactant that is in excess is in the gaseous state.
- Reactor design produces a homogeneous environment throughout.
4.1. Mass Balance Equation
- Input of sulfur, mass/time = 0.
- Output of sulfur, mass/time = 0.
- Consumption of sulfur by reaction, mass = −(rRS)V dt.
- at t = 0, CRS = CRSO
- t = t, CRS = CRS
4.2. Reaction Rate
4.3. Efficiency of Reactors
4.3.1. Effectiveness Ratio ()
4.3.2. Catalyst Surface (Sp) and External Volume (Vp)
4.3.3. Effective Diffusivity (Dei)
4.3.4. Viscosity
4.3.5. Molar Volume
5. Technique Used to Estimate Kinetic Parameters
Optimization Problem Formulation for Parameter Estimation
| Given | The reactor configuration, the type of catalyst used, and the process conditions of a specific process |
| Determine | The order of the oxidation reaction (n1) and the reaction rate constant (k) at different temperatures (303, 333, 363, 393 K) for each catalyst and calculate the activation energy (E) and pre-exponential factor using linear regression of the Arrhenius equation. |
| Subjected to | All optimization variables are subject to conversion rate limits and linear limitations. |
| Min | SSE (OBJ) |
| , j = CAT-1, CAT-2, CAT-3 and CAT-4), | S.t. f(z, x(z),ẋ(z), u(z), v) = 0 (batch reactor) |
| Min | SSE |
| , j = CAT-1, CAT-2, CAT-3 and CAT-4), | S.t.f (z, x(z),ẋ(z), u(z), v) = 0 (batch reactor) |
6. Conclusions
Author Contributions
Funding
Data Availability Statement
Conflicts of Interest
Nomenclature
| Molecular diffusivity (cm2/s) | |
| Specific gravity of kerosene at 15.6 °C | |
| Liquid molecular weight of kerosene (g/gmol) | |
| Molecular weight of sulfur (g/gmol) | |
| R | Gas constant |
| Reaction rate of sulfur | |
| Pore radius (nm) | |
| Particle radius (nm) | |
| External surface area of catalyst particle (cm2) | |
| Specific surface area of particle (cm2/g) | |
| External volume of catalyst particle (cm3) | |
| Pore volume (cm3) | |
| Mean average boiling point (°C) | |
| Greek Symbols | |
| Effectiveness factor | |
| Thiel modulus | |
| Porosity | |
| Tortuosity | |
| Bulk density | |
| Particle density | |
| Density of kerosene at 15.6 °C . | |
| Viscosity of liquid | |
| Liquid molar volume | |
| Critical molar volume of liquid | |
| Critical volume of sulfur | |
| Initial (at time = 0) |
References
- Fichman, B.T. Annual Energy Review 2011; USDOE Energy Information Administration (EIA): Washington, DC, USA, 2012. [Google Scholar]
- Speight, J.G. The Desulfurization of Heavy Oils and Residua; CRC Press: Boca Raton, FL, USA, 1999. [Google Scholar]
- Yengejeh, S.M.; Allahyari, S.; Rahemi, N. Efficient oxidative desulfurization of model fuel by visible-light-driven MoS2-CeO2/SiO2-Al2O3 nano photocatalyst coating. Process Saf. Environ. Prot. 2020, 143, 25–35. [Google Scholar] [CrossRef]
- Humadi, J.I.; Nawaf, A.T.; Jarullah, A.T.; Ahmed, M.A.; Hameed, S.A.; Mujtaba, I.M. Design of new nano-catalysts and digital basket reactor for oxidative desulfurization of fuel: Experiments and modelling. Chem. Eng. Res. Des. 2023, 190, 634–650. [Google Scholar] [CrossRef]
- Wan, M.-W. Development of a Portable, Modular Unit for the Optimization of Ultrasound-Assisted Oxidative Desulfurization of Diesel; University of Southern California: Los Angeles, CA, USA, 2006. [Google Scholar]
- Shi, M.; Zhang, D.; Yu, X.; Li, Y.; Wang, X.; Yang, W. Deep oxidative desulfurization catalyzed by (NH4) 5H6PV8Mo4O40 using molecular oxygen as an oxidant. Fuel Process. Technol. 2017, 160, 136–142. [Google Scholar] [CrossRef]
- Hassan, S.U.; Ahmad, S.; Farid, M.A.; Nadeem, S.; Ali, Z.; Abro, R.; Mohyuddin, A.; Nazir, M.S.; Hussain, M.; Park, Y.K. Designing polyoxometalate based hybrid catalysts for efficient removal of hazardous sulfur from fuel via heterogeneous oxidative desulfurization. J. Ind. Eng. Chem. 2022, 116, 438–446. [Google Scholar] [CrossRef]
- Kargar, H.; Ghahramaninezhad, M.; Shahrak, M.N.; Balula, S.S. An effective magnetic catalyst for oxidative desulfurization of model and real fuels: Fe3O4/ZIF-8/TiO2. Microporous Mesoporous Mater. 2021, 317, 10992. [Google Scholar] [CrossRef]
- Zhang, T.; Huang, B.; Elzatahry, A.A.; Alghamdi, A.; Yue, Q.; Deng, Y. Synthesis of podlike magnetic mesoporous silica nanochains for use as enzyme support and nanostirrer in biocatalysis. ACS Appl. Mater. Interfaces 2020, 12, 17901–17908. [Google Scholar] [CrossRef] [PubMed]
- Saleh, T.A.; Sulaiman, K.O.; Al-Hammadi, S.A.; Dafalla, H.; Danmaliki, G.I. Adsorptive desulfurization of thiophene, benzothiophene and dibenzothiophene over activated carbon manganese oxide nanocomposite: With column system evaluation. J. Clean. Prod. 2017, 154, 401–412. [Google Scholar] [CrossRef]
- Yan, F.; Jiang, J.; Tian, S.; Liu, Z.; Shi, J.; Li, K.; Chen, X.; Xu, Y. A green and facile synthesis of ordered mesoporous nanosilica using coal fly ash. ACS Sustain. Chem. Eng. 2016, 4, 4654–4661. [Google Scholar] [CrossRef]
- Wan Abu Bakar, W.; Rusmidah, A.; Abdul Kadir, A.; Wan Mokhtar, W. The Role of Molybdenum Oxide Based Catalysts on Oxidative Desulfurization of Diesel Fuel. Mod. Chem. Appl. 2015, 3, 1–3. [Google Scholar] [CrossRef]
- Kamel, L.; Anbia, M. Composite beads of molybdenum oxide supported on textured silicon as an oxidative desulfurization nanocatalyst. Silicon 2020, 12, 1325–1336. [Google Scholar] [CrossRef]
- Zhu, Z.; Ma, H.; Liao, W.; Tang, P.; Yang, K.; Su, T.; Ren, W.; Lü, H. Insight into tri-coordinated aluminum dependent catalytic properties of dealuminated Y zeolites in oxidative desulfurization. Appl. Catal. B Environ. 2021, 288, 120022. [Google Scholar] [CrossRef]
- Aguado, J.; Serrano, D.; Rodríguez, J. Zeolite Beta with hierarchical porosity prepared from organofunctionalized seeds. Microporous Mesoporous Mater. 2008, 115, 504–513. [Google Scholar] [CrossRef]
- Zhang, S.; Lv, T.; Feng, Z.; Wang, F.; Liu, X.; Wang, W.; Wang, Y.; Meng, C. OSDA-free synthesis of zeolite beta by magadiite hydrothermal conversion method and an insight into the changes of medium-range structure during crystallization. Microporous Mesoporous Mater. 2019, 278, 81–90. [Google Scholar] [CrossRef]
- Hamidzadeh, M.; Komeili, S.; Saeidi, M. Seed-induced synthesis of ZSM-5 aggregates using the Silicate-1 as a seed: Characterization and effect of the Silicate-1 composition. Microporous Mesoporous Mater. 2018, 268, 153–161. [Google Scholar] [CrossRef]
- Dionigi, C.; Ivanovska, T.; Liscio, F.; Milita, S.; Corticelli, F.; Ruani, G. Fabrication and properties of non-isolating γ-alumina meso-foam. J. Alloys Compd. 2016, 666, 101–107. [Google Scholar] [CrossRef]
- Huang, P.; Luo, G.; Kang, L.; Zhu, M.; Dai, B. Preparation, characterization and catalytic performance of HPW/aEVM catalyst on oxidative desulfurization. RSC Adv. 2017, 7, 4681–4687. [Google Scholar] [CrossRef]
- Paraskos, J.; Frayer, J.; Shah, Y. Effect of holdup incomplete catalyst wetting and backmixing during hydroprocessing in trickle bed reactors. Ind. Eng. Chem. Process Des. Dev. 1975, 14, 315–322. [Google Scholar] [CrossRef]
- Alheety, M.A.; Al-Jibori, S.A.; Karadağ, A.; Akbaş, H.; Ahmed, M.H. A novel synthesis of MnO2, nanoflowers as an efficient heterogeneous catalyst for oxidative desulfurization of thiophenes. Nano-Struct. Nano-Objects 2019, 20, 100392. [Google Scholar] [CrossRef]
- Salman, M.S.; Jafar, S.A.; Abdullah, G.H.; Humadi, J.I.; Ahmed, M.A.; Mohammed, A.M. Development of an electrochemical reactor with rotating anode for fast and ultra-deep catalytic desulfurization of diesel: Experimental and modeling. Chem. Eng. Commun. 2024, 211, 1508–1523. [Google Scholar] [CrossRef]
- Zulfiqar, U.; Subhani, T.; Husain, S. Synthesis and characterization of silica nanoparticles from clay. J. Asian Ceram. Soc. 2016, 4, 91–96. [Google Scholar] [CrossRef]
- Al-Ghouti, M.A.; Al-Degs, Y.S.; Khalili, F.I. Minimisation of organosulphur compounds by activated carbon from Diesel fuel: Mechanistic study. Chem. Eng. J. 2010, 162, 669–676. [Google Scholar] [CrossRef]
- Wei, S.; He, H.; Cheng, Y.; Yang, C.; Zeng, G.; Qiu, L. Performances, kinetics and mechanisms of catalytic oxidative desulfurization from oils. RSC Adv. 2016, 6, 103253–103269. [Google Scholar] [CrossRef]
- Poyton, A.; Varziri, M.S.; McAuley, K.B.; McLellan, P.J.; Ramsay, J.O. Parameter estimation in continuous-time dynamic models using principal differential analysis. Comput. Chem. Eng. 2006, 30, 698–708. [Google Scholar] [CrossRef]
- Nawaf, A.T.; Humadi, J.I.; Jarullah, A.T.; Ahmed, M.A.; Hameed, S.A.; Mujtaba, I.M. Design of nano-catalyst for removal of phenolic compounds from wastewater by oxidation using modified digital basket baffle batch reactor: Experiments and modeling. Processes 2023, 11, 1990. [Google Scholar] [CrossRef]
- Maslova, O.; Senko, O.; Akopyan, A.; Lysenko, S.; Anisimov, A.; Efremenko, E. Nanocatalysts for oxidative desulfurization of liquid fuel: Modern solutions and the perspectives of application in hybrid chemical-biocatalytic processes. Catalysts 2021, 11, 1131. [Google Scholar] [CrossRef]
- Santos, M.R.F.D.; Pedrosa, A.M.G.; Souza, M.J.B.D. Oxidative desulfurization of thiophene on TiO2/ZSM-12 zeolite. Mater. Res. 2016, 19, 24–30. [Google Scholar] [CrossRef][Green Version]
- Ugal, J.R.; Jima’a, R.B.; Al-Jubori, W.M.K.; Bayader, F.A.; Al-Jubori, N.M. Oxidative desulfurization of hydrotreated gas oil using Fe2O3 and Pd loaded over activated carbon as catalysts. Orient. J. Chem. 2018, 34, 1091. [Google Scholar] [CrossRef]
- Dehkordi, A.M.; Kiaei, Z.; Sobati, M.A. Oxidative desulfurization of simulated light fuel oil and untreated kerosene. Fuel Process. Technol. 2009, 90, 435–445. [Google Scholar] [CrossRef]
- Perego, C.; Millini, R. Porous materials in catalysis: Challenges for mesoporous materials. Chem. Soc. Rev. 2013, 42, 3956–3976. [Google Scholar] [CrossRef]
- Goldberg, M.A.; Akopyan, A.V.; Gafurov, M.R.; Makshakova, O.N.; Donskaya, N.O.; Fomin, A.S.; Polikarpova, P.P.; Anisimov, A.V.; Murzakhanov, F.F.; Leonov, A.V.; et al. Iron-doped mesoporous powders of hydroxyapatite as molybdenum-impregnated catalysts for deep oxidative desulfurization of model fuel: Synthesis and experimental and theoretical studies. J. Phys. Chem. C 2021, 125, 11604–11619. [Google Scholar] [CrossRef]
- Corma, A. From microporous to mesoporous molecular sieve materials and their use in catalysis. Chem. Rev. 1997, 97, 2373–2420. [Google Scholar] [CrossRef]
- Karre, A.V.; Dadyburjor, D.B. Review of iron-based catalysts with and without zeolite supports used in fischer-tropsch processes. Chem. Eng. Commun. 2022, 209, 967–987. [Google Scholar] [CrossRef]
- Zhang, J.; Tang, X.; Yi, H.; Yu, Q.; Zhang, Y.; Wei, J.; Yuan, Y. Synthesis, characterization and application of Fe-zeolite: A review. Appl. Catal. A Gen. 2022, 630, 118467. [Google Scholar] [CrossRef]
- Abd Zaid, S.M.; AbdulRazak, A.A.; Abid, M.F. A review of nano-catalyst applications in kerosene desulfurization techniques. J. Appl. Sci. Nanotechnol. 2022, 2, 86–102. [Google Scholar] [CrossRef]
- Srivastava, V.C. An evaluation of desulfurization technologies for sulfur removal from liquid fuels. RSC Adv. 2012, 2, 759–783. [Google Scholar] [CrossRef]
- Khan, N.A.; Hasan, Z.; Jhung, S.H. Adsorptive removal of hazardous materials using metal–organic frameworks (MOFs): A review. J. Hazard. Mater. 2013, 244–245, 444–456. [Google Scholar] [CrossRef] [PubMed]
- Nadkarni, R.K. Spectroscopic Methods for the Determination of Sulfur in Petroleum Products; ASTM International: West Conshohocken, PA, USA, 2011. [Google Scholar]
- Tam, P.S.; Kittrell, J.R.; Eldridge, J.W. Desulfurization of fuel oil by oxidation and extraction. 1. Enhancement of extraction oil yield. Ind. Eng. Chem. Res. 1990, 29, 321–324. [Google Scholar] [CrossRef]
- Nehlsen, J.; Benziger, J.; Kevrekidis, I. Oxidation of aliphatic and aromatic sulfides using sulfuric acid. Ind. Eng. Chem. Res. 2006, 45, 518–524. [Google Scholar] [CrossRef]
- Bagherzadeh, M.; Amini, M. Synthesis, characterization and catalytic study of a novel iron (III)-tridentate Schiff base complex in sulfide oxidation by UHP. Inorg. Chem. Commun. 2009, 12, 21–25. [Google Scholar] [CrossRef]
- Jiang, X.; Li, H.; Zhu, W.; He, L.; Shu, H.; Lu, J. Deep desulfurization of fuels catalyzed by surfactant-type decatungstates using H2O2 as oxidant. Fuel 2009, 88, 431–436. [Google Scholar] [CrossRef]
- Di Giuseppe, A.; Crucianelli, M.; De Angelis, F.; Crestini, C.; Saladino, R. Efficient oxidation of thiophene derivatives with homogeneous and heterogeneous MTO/H2O2 systems: A novel approach for, oxidative desulfurization (ODS) of diesel fuel. Appl. Catal. B Environ. 2009, 89, 239–245. [Google Scholar] [CrossRef]
- Wallace, T.; Schriesheim, A.; Hurwitz, H.; Glaser, M. Base-catalyzed oxidation of mercaptans in presence of inorganic transition metal complexes. Ind. Eng. Chem. Process Des. Dev. 1964, 3, 237–241. [Google Scholar] [CrossRef]
- Zannikos, F.; Lois, E.; Stournas, S. Desulfurization of petroleum fractions by oxidation and solvent extraction. Fuel Process. Technol. 1995, 42, 35–45. [Google Scholar] [CrossRef]
- Sengupta, A.; Kamble, P.D.; Basu, J.K.; Sengupta, S. Kinetic study and optimization of oxidative desulfurization of benzothiophene using mesoporous titanium silicate-1 catalyst. Ind. Eng. Chem. Res. 2012, 51, 147–157. [Google Scholar] [CrossRef]
- Al-Malki, A. Desulfurization of Gasoline and Diesel Fuels, Using Non-Hydrogen Consuming Techniques; King Fahd University of Petroleum and Minerals: Dhahran, Saudi Arabia, 2004. [Google Scholar]
- Nawaf, A.T.; Gheni, S.A.; Jarullah, A.T.; Mujtaba, I.M. Optimal design of a trickle bed reactor for light fuel oxidative desulfurization based on experiments and modeling. Energy Fuels 2015, 29, 3366–3376. [Google Scholar] [CrossRef]
- Ion, C.S.; Bombos, M.; Doukeh, R.; Vasilievici, G.; Matei, V. Kinetics of 1-dodecanethiol Desulfurization by Reactive Adsorbtion on MgO/dolomite. Rev. Chim. 2018, 69, 3439–3444. [Google Scholar] [CrossRef]
- Jarullah, A.T.; Mujtaba, I.M.; Wood, A.S. Kinetic model development and simulation of simultaneous hydrodenitrogenation and hydrodemetallization of crude oil in trickle bed reactor. Fuel 2011, 90, 2165–2181. [Google Scholar] [CrossRef]



















| Element | Symbol | Concentration % |
|---|---|---|
| Silicon | SiO2 | 71.14 |
| Magnesium | MgO | 0.0552 |
| Aluminum | Al2O3 | 0.4179 |
| Phosphorus | P2O5 | 0.5621 |
| Sulfur | SO3 | 5.729 |
| Chlorine | Cl | 0.03876 |
| Potassium | K2O | <0.0012 |
| Calcium | CaO | 0.1619 |
| Titanium | TiO2 | 3.010 |
| Chromium | Cr2O3 | 0.01824 |
| Manganese | MnO | 0.00367 |
| Iron | Fe2O3 | 0.6977 |
| Cobalt | CoO | <0.00039 |
| Nickel | NiO | 0.00648 |
| Copper | CuO | 0.00075 |
| Zinc | ZnO | 0.00274 |
| Gallium | Ga | 0.00045 |
| Another element | - | 0.11952 |
| Sum of concentration | - | 81.97 |
| Element | Symbol | Concentration % |
|---|---|---|
| Silicon | SiO2 | 51.56 |
| Magnesium | MgO | 0.0863 |
| Aluminum | Al2O3 | 11.24 |
| Phosphorus | P2O5 | 0.6316 |
| Sulfur | SO3 | 3.652 |
| Potassium | K2O | 0.0927 |
| Calcium | CaO | 0.1326 |
| Titanium | TiO2 | 2.995 |
| Vanadium | V2O5 | 0.0314 |
| Chromium | Cr2O3 | 0.00472 |
| Manganese | MnO | 0.01570 |
| Iron | Fe2O3 | 10.88 |
| Copper | CuO | 0.00603 |
| Zinc | ZnO | 0.00510 |
| Another component | 0.091201 | |
| Sum of concentration | 81.45 |
| Parameter | Notation | Measurement Unit | Numerical Value |
|---|---|---|---|
| Initial amount | Ct | wt% | 0.1966 |
| Duration | time1, time2, time3, time4 | min | time1 = 30, time2 = 60, time3 = 90, time4 = 120 |
| Temperature | T1, T2, T3, T4 | K | T1 = 303, T2 = 333, T3 = 363, T4 = 393 |
| Kerosene density at 15.5 °C | gm/cm3 | 0.8205 | |
| Average boiling point | TmeABP | °R | 787 |
| Acceleration gravity | g | m/sec2 | 9.81 |
| Gas constant | R | J/mole.°K | 8.314 |
| Pore volume per unit catalyst mass | Vg | cm3/gm | VgCAT-1 = 0.606 VgCAT-2 = 0.625 |
| Particle surface area | Sg | cm2/gm | SgCAT-1 = 2,426,700 SgCAT-2 = 2,501,380 |
| Catalyst particle volume | Vp | cm3 | VpCAT-1 = 5.2158 × 10−19 VpCAT-2 = 5.2245 × 10−19 |
| Particle’s external surface area | Sp | cm2 | SpCAT-1 = 3.13297 × 10−12 SpCAT-2 = 3.1365 × 10−12 |
| Density | ρB | gm/cm3 | ρB.CAT-1 = 0.667 ρB.CAT-2 = 0.687 |
| Molecular weight of kerosene | MwL | gm/mole | 170 |
| Molecular weight of sulfur | Mwi | gm/mole | 32.06 |
| Pore radius average | rg | nm | rg,CAT-1 = 4.9944 rg,CAT-2 = 4.9972 |
| Parameter | Value | Unit |
|---|---|---|
| n | 2.000 | _ |
| k1 | 0.0106 | |
| k2 | 0.0233 | |
| k3 | 0.0544 | |
| k4 | 0.1296 | |
| SSE | 2.9922 × 10−4 | _ |
| Parameter | Value | Unit |
|---|---|---|
| n | 1.9861 | _ |
| k1 | 0.0207 | |
| k2 | 0.0538 | |
| k3 | 0.1165 | |
| k4 | 0.2278 | |
| SSE | 2.1999 × 10−4 | _ |
| Catalyst | E (kJ/mol) | Frequency Factor |
|---|---|---|
| CAT-1 | 25.8108 | 399.2151 |
| CAT-2 | 26.2407 | 710.1669 |
| Parameter | Value | Unit |
|---|---|---|
| n | 1.9955 | _ |
| E | 30.7646 | KJ/mol. |
| ko | 1455.7723 | |
| SSE | 1.4621 × 10−4 | _ |
| Parameter | Value | Unit |
|---|---|---|
| n | 1.9869 | _ |
| E | 25.8635 | KJ/mol. |
| ko | 1681.5340 | |
| SSE | 1.5799 × 10−4 | _ |
| Temperature (K) | Time (min) | Sulfur Content (wt. %) | Conversion | Error % | ||
|---|---|---|---|---|---|---|
| Experimental | Predicted | Experimental | Predicted | |||
| 303 | 30 | 0.1902 | 0.1851 | 0.0325 | 0.0590 | 2.6940 |
| 303 | 60 | 0.1815 | 0.1748 | 0.0768 | 0.1108 | 3.6760 |
| 303 | 90 | 0.1709 | 0.1656 | 0.1307 | 0.1576 | 3.0688 |
| 303 | 120 | 0.1641 | 0.1574 | 0.1653 | 0.1998 | 4.0846 |
| 333 | 30 | 0.1749 | 0.1729 | 0.0874 | 0.1210 | 1.1594 |
| 333 | 60 | 0.1578 | 0.1542 | 0.1973 | 0.2156 | 2.2465 |
| 333 | 90 | 0.1457 | 0.1392 | 0.2589 | 0.2919 | 4.4216 |
| 333 | 120 | 0.1334 | 0.1269 | 0.3214 | 0.3545 | 4.8582 |
| 363 | 30 | 0.1534 | 0.1488 | 0.2197 | 0.2431 | 2.9650 |
| 363 | 60 | 0.1227 | 0.1197 | 0.3758 | 0.3911 | 2.3924 |
| 363 | 90 | 0.0991 | 0.1002 | 0.4959 | 0.4908 | 1.0974 |
| 363 | 120 | 0.0894 | 0.0861 | 0.5452 | 0.5625 | 3.6793 |
| 393 | 30 | 0.1099 | 0.1114 | 0.4409 | 0.4333 | 1.3928 |
| 393 | 60 | 0.0799 | 0.0777 | 0.5953 | 0.6047 | 2.6920 |
| 393 | 90 | 0.0622 | 0.0597 | 0.6836 | 0.6964 | 4.0148 |
| 393 | 120 | 0.0496 | 0.0484 | 0.7477 | 0.7536 | 2.3081 |
| Temperature (K) | Time (min) | Sulfur Content (wt. %) | Conversion | Error % | ||
|---|---|---|---|---|---|---|
| Experimental | Predicted | Experimental | Predicted | |||
| 303 | 30 | 0.1694 | 0.1747 | 0.1383 | 0.1113 | 3.1557 |
| 303 | 60 | 0.1499 | 0.1572 | 0.2375 | 0.2004 | 4.8965 |
| 303 | 90 | 0.1398 | 0.1429 | 0.2889 | 0.2731 | 2.2202 |
| 303 | 120 | 0.1295 | 0.1309 | 0.3413 | 0.3341 | 1.1193 |
| 333 | 30 | 0.1416 | 0.1483 | 0.2797 | 0.2456 | 4.7459 |
| 333 | 60 | 0.1152 | 0.1189 | 0.4140 | 0.3952 | 3.2956 |
| 333 | 90 | 0.0988 | 0.0993 | 0.4975 | 0.4949 | 0.5145 |
| 333 | 120 | 0.0876 | 0.0852 | 0.5544 | 0.5667 | 2.7597 |
| 363 | 30 | 0.1099 | 0.1153 | 0.4409 | 0.4140 | 4.8970 |
| 363 | 60 | 0.0784 | 0.0814 | 0.6012 | 0.5859 | 3.8378 |
| 363 | 90 | 0.0624 | 0.0629 | 0.6826 | 0.6805 | 0.7395 |
| 363 | 120 | 0.0497 | 0.0512 | 0.7472 | 0.7400 | 2.9511 |
| 393 | 30 | 0.0795 | 0.0825 | 0.5956 | 0.5804 | 3.7622 |
| 393 | 60 | 0.0496 | 0.0520 | 0.7614 | 0.7354 | 4.8996 |
| 393 | 90 | 0.0399 | 0.0379 | 0.7970 | 0.8070 | 4.9001 |
| 393 | 120 | 0.0288 | 0.0298 | 0.8535 | 0.8482 | 3.5993 |
| Temperature (K) | Time (min) | Sulfur Content (wt. %) | Conversion | Error % | ||
|---|---|---|---|---|---|---|
| Experimental | Predicted | Experimental | Predicted | |||
| 303 | 30 | 0.1902 | 0.1885 | 0.0325 | 0.0417 | 0.8947 |
| 303 | 60 | 0.1815 | 0.1810 | 0.0768 | 0.0793 | 0.2555 |
| 303 | 90 | 0.1709 | 0.1741 | 0.1307 | 0.1144 | 1.8965 |
| 303 | 120 | 0.1641 | 0.1678 | 0.1653 | 0.1469 | 2.2248 |
| 333 | 30 | 0.1749 | 0.1741 | 0.0874 | 0.1144 | 0.4521 |
| 333 | 60 | 0.1578 | 0.1562 | 0.1973 | 0.2054 | 0.9967 |
| 333 | 90 | 0.1457 | 0.1417 | 0.2589 | 0.2794 | 2.7661 |
| 333 | 120 | 0.1334 | 0.1296 | 0.3214 | 0.3413 | 2.8569 |
| 363 | 30 | 0.1534 | 0.1485 | 0.2197 | 0.2446 | 3.1823 |
| 363 | 60 | 0.1227 | 0.1193 | 0.3758 | 0.3931 | 2.7662 |
| 363 | 90 | 0.0991 | 0.0997 | 0.4959 | 0.4933 | 0.5862 |
| 363 | 120 | 0.0894 | 0.0856 | 0.5452 | 0.5651 | 4.2606 |
| 393 | 30 | 0.1099 | 0.1153 | 0.4409 | 0.4140 | 4.8952 |
| 393 | 60 | 0.0799 | 0.0815 | 0.5953 | 0.5854 | 2.0034 |
| 393 | 90 | 0.0622 | 0.0630 | 0.6836 | 0.6795 | 1.3054 |
| 393 | 120 | 0.0496 | 0.0514 | 0.7477 | 0.7388 | 3.5296 |
| Temperature (K) | Time (min) | Sulfur Content (wt. %) | Conversion | Error % | ||
|---|---|---|---|---|---|---|
| Experimental | Predicted | Experimental | Predicted | |||
| 303 | 30 | 0.1694 | 0.1738 | 0.1383 | 0.1158 | 2.6066 |
| 303 | 60 | 0.1499 | 0.1557 | 0.2375 | 0.2078 | 3.8948 |
| 303 | 90 | 0.1398 | 0.1410 | 0.2889 | 0.2825 | 0.8931 |
| 303 | 120 | 0.1295 | 0.1289 | 0.3413 | 0.3444 | 0.4810 |
| 333 | 30 | 0.1416 | 0.1477 | 0.2797 | 0.2486 | 4.3185 |
| 333 | 60 | 0.1152 | 0.1182 | 0.4140 | 0.3986 | 2.6218 |
| 333 | 90 | 0.0988 | 0.0985 | 0.4975 | 0.4989 | 0.3038 |
| 333 | 120 | 0.0876 | 0.0844 | 0.5544 | 0.5707 | 3.6631 |
| 363 | 30 | 0.1099 | 0.1145 | 0.4409 | 0.4178 | 4.1502 |
| 363 | 60 | 0.0784 | 0.0806 | 0.6012 | 0.5900 | 2.7996 |
| 363 | 90 | 0.0624 | 0.0621 | 0.6826 | 0.6839 | 0.4212 |
| 363 | 120 | 0.0497 | 0.0505 | 0.7472 | 0.7429 | 1.6689 |
| 393 | 30 | 0.0795 | 0.0825 | 0.5956 | 0.5805 | 3.7277 |
| 393 | 60 | 0.0496 | 0.0520 | 0.7614 | 0.7354 | 4.8722 |
| 393 | 90 | 0.0399 | 0.0379 | 0.7970 | 0.8070 | 4.9152 |
| 393 | 120 | 0.0288 | 0.0298 | 0.8535 | 0.8482 | 3.6126 |
| Parameters | The Summation of Squared Errors (SSE) | |
|---|---|---|
| Linear Approach | Non-Linear Approach | |
| CAT-1 | 299.2197 × 10−6 | 146.213 × 10−6 |
| CAT-2 | 219.9992 × 10−6 | 157.995 × 10−6 |
| Parameter | Value | Unit |
|---|---|---|
| Csulfur,t | 0.1911 | wt.% |
| T | 546 | K |
| Time | 199 | min |
| Conversion | 99.0432 | % |
| Parameter | Value | Unit |
|---|---|---|
| Csulfur,t | 0.2443 | wt.% |
| T | 550 | K |
| Time | 193.6332 | min |
| Conversion | 99.1042 | % |
| Sulfur Compound | Oxidant/Catalyst | Sulfur Removal | Reference |
|---|---|---|---|
| TH | n-heptane, H2O2/TiO2/ZSM-12 | 60% | [29] |
| DBT | Diesel, H2O2/Fe2O3/ AC | 71% | [30] |
| S-compounds | Kerosene, H2O2/formic acid | 87% | [31] |
| S-compounds | Kerosene, air/20% HY-zeolite and 80% nano-silica | 87.88% | Present study |
| Variables | Conditions |
|---|---|
| Catalyst | CAT-1, CAT-2 |
| Temperature (°C) | 30, 60, 90, 120 |
| Reaction time (min) | 30, 60, 90, 120 |
| Property | Value |
|---|---|
| Flash point, °C | 40.5 |
| API | 47.5 |
| Density at 15.6 °C, g/cm3 | 0.7904 |
| Color | +20 |
| IBP, °C | 147 |
| EP, °C | 265 |
| Sulfur, ppm | 1966 |
| Materials | Purity % | Company | Role |
|---|---|---|---|
| Deionized water | - | SDI | Solvent of active materials |
| Fe(NO3)3·9H2O | 98 | Himedia | Active metal |
| Characteristic | Value |
|---|---|
| Crystallinity percentage | 92.3 |
| Pore volume (cm3/g) | 0.388 |
| Surface area (m2/g) | 499.4 |
| Particle size (nm) | 94.31 |
| Bulk density (g/cm3) | 0.648 |
| Pore size (nm) | 31.14 |
| HY-Zeolite Component | Wt. % |
|---|---|
| SiO2 | 57.96 |
| Al2O3 | 19.01 |
| Na2O | 1.954 |
| SiO2/Al2O3 molar ratio | 5.183 |
| Equipment | Specification | Supplier |
|---|---|---|
| Tubular Furnace | Heating length 300 mm, Max. temperature 1200 °C | SAFTherm, Luoyang, China |
| Magnetic heater stirrer | Stirring speed 100–1500 rpm, capacity 100–3000 mL, Max. temperature 380 °C | JISICO, Seoul, Republic of Korea |
| Vacuum pump | 1/4 hp, model VE125N | Manufacturer is Value, DEIRA DUBAI, Dubai, UAE |
| X-ray diffraction instrument | XRD-6000 model | Shimadzu company, Tokyo, Japan |
| Atomic Force Microscope device | SPM-AT 3000, Scanning Probe Microscope, AA 3000 | Angstrom-Advance Inc., contact model Stoughton, MA, USA |
| FESEM device | Zeiss-EM10C-100KV | ZEISS Sigma company, Oberkochen, Germany |
| Materials and Components | Purity% | Supplier |
|---|---|---|
| Sodium hydroxide (NaOH) | 98% | Sigma Aldrich (Burlington, MA, USA) |
| Ammonium hydroxide (NH4OH) | 28% | GCC Ltd. Company (London, UK) |
| Sulfuric acid (H2SO4) | 98% | GCC Ltd. company |
| Bentonite clay | 97% | GCC Ltd. company |
| Deionized water | - | CHD Chemicals Ltd. Company (Chandigarh, India) |
| Ethanol (C2H5OH) | 98% | Analytical laboratory (Telford, PA, USA) |
| Catalyst Type | Surface Area, m2/g | Pore Volume, cm3/g | Bulk Density, g/cm3 |
|---|---|---|---|
| SiO2 (support) | 341.31 | 0.853 | 0.932 |
| CAT-1 (0% HY-zeolite and 100% nano-silica) | 242.67 | 0.606 | 0.667 |
| CAT-2 (20% HY-zeolite and 80% nano-silica) | 250.138 | 0.625 | 0.687 |
Disclaimer/Publisher’s Note: The statements, opinions and data contained in all publications are solely those of the individual author(s) and contributor(s) and not of MDPI and/or the editor(s). MDPI and/or the editor(s) disclaim responsibility for any injury to people or property resulting from any ideas, methods, instructions or products referred to in the content. |
© 2024 by the authors. Licensee MDPI, Basel, Switzerland. This article is an open access article distributed under the terms and conditions of the Creative Commons Attribution (CC BY) license (https://creativecommons.org/licenses/by/4.0/).
Share and Cite
Jarullah, A.T.; Hussein, A.K.; Al-Tabbakh, B.A.; Hameed, S.A.; Mujtaba, I.M.; Saeed, L.I.; Humadi, J.I. Production of Green Fuel Using a New Synthetic Magnetite Mesoporous Nano-Silica Composite Catalyst for Oxidative Desulfurization: Experiments and Process Modeling. Catalysts 2024, 14, 529. https://doi.org/10.3390/catal14080529
Jarullah AT, Hussein AK, Al-Tabbakh BA, Hameed SA, Mujtaba IM, Saeed LI, Humadi JI. Production of Green Fuel Using a New Synthetic Magnetite Mesoporous Nano-Silica Composite Catalyst for Oxidative Desulfurization: Experiments and Process Modeling. Catalysts. 2024; 14(8):529. https://doi.org/10.3390/catal14080529
Chicago/Turabian StyleJarullah, Aysar T., Ahmed K. Hussein, Ban A. Al-Tabbakh, Shymaa A. Hameed, Iqbal M. Mujtaba, Liqaa I. Saeed, and Jasim I. Humadi. 2024. "Production of Green Fuel Using a New Synthetic Magnetite Mesoporous Nano-Silica Composite Catalyst for Oxidative Desulfurization: Experiments and Process Modeling" Catalysts 14, no. 8: 529. https://doi.org/10.3390/catal14080529
APA StyleJarullah, A. T., Hussein, A. K., Al-Tabbakh, B. A., Hameed, S. A., Mujtaba, I. M., Saeed, L. I., & Humadi, J. I. (2024). Production of Green Fuel Using a New Synthetic Magnetite Mesoporous Nano-Silica Composite Catalyst for Oxidative Desulfurization: Experiments and Process Modeling. Catalysts, 14(8), 529. https://doi.org/10.3390/catal14080529

