Direct Synthesis of Calcium Lactate through the Reaction of Glycerol with Calcium Hydroxide Catalyzed by Bimetallic AuCu/SiO2 Nanocatalysts
Abstract
1. Introduction
2. Results and Discussion
2.1. XRD Analysis
2.2. TEM and HRTEM Analyses
2.3. XPS Analysis
2.4. N2 Physisorption
2.5. Catalytically Hydrothermal Conversion of Glycerol with Calcium Hydroxide to Calcium Lactate
2.5.1. Impact of Catalyst Composition
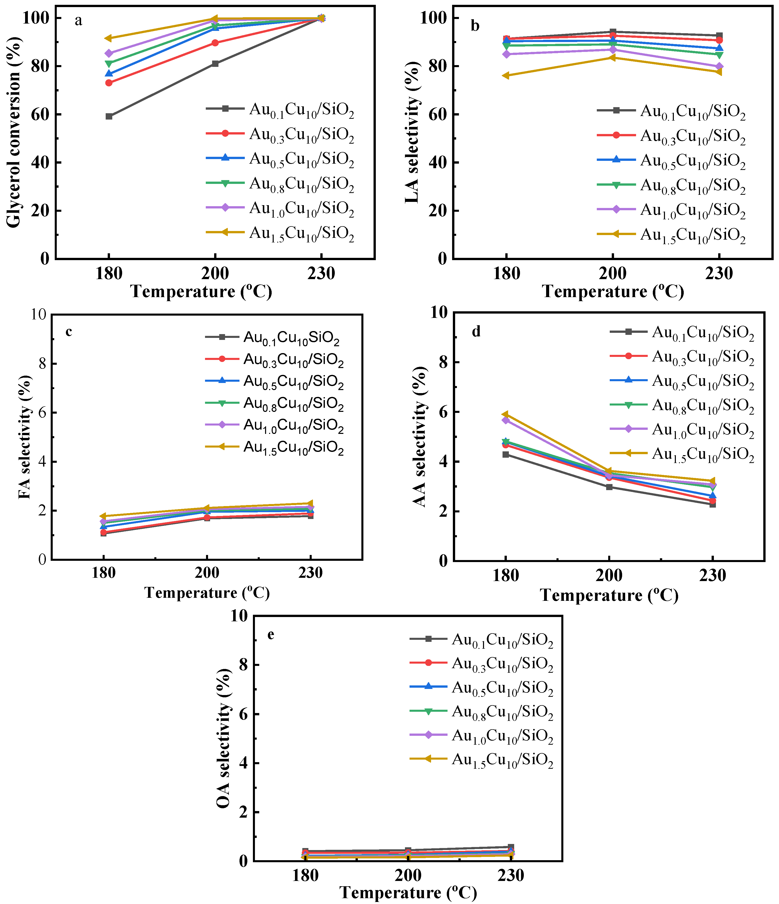
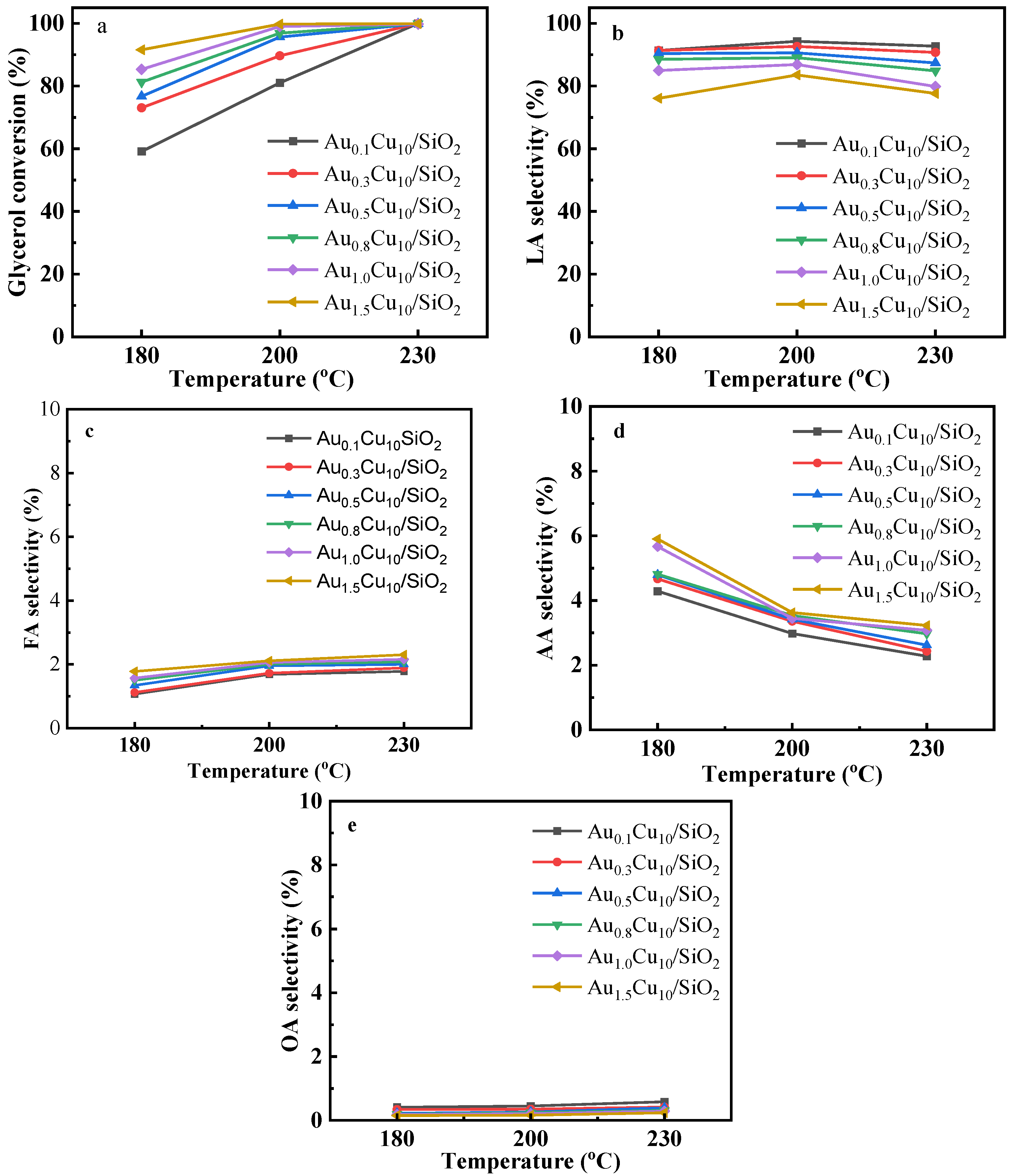
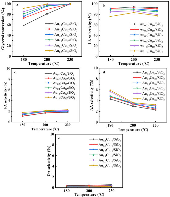
2.5.2. Impact of Reaction Temperature
2.5.3. Impact of Calcium Hydroxide Content
2.5.4. Impacts of Glycerol Concentration and Catalyst Content
2.6. Reaction Kinetics Simulation
3. Experimental
3.1. Materials
3.2. Preparation of AuCu/SiO2 Nanocatalysts
3.3. Characterization
3.4. Catalysis
4. Conclusions
Supplementary Materials
Author Contributions
Funding
Data Availability Statement
Conflicts of Interest
References
- Raman, A.A.A.; Tan, H.W.; Buthiyappan, A. Two-step purification of glycerol as a value added by product from the biodiesel production process. Front. Chem. 2019, 7, 774. [Google Scholar] [CrossRef] [PubMed]
- Global Info Research, Global Glycerol Market 2023 by Manufacturers, Regions, Type and Application, Forecast to 2029. Available online: https://www.globalinforesearch.com/search/glycerol (accessed on 26 January 2024).
- Agrawal, D.; Budakoti, M.; Kumar, V. Strategies and tools for the biotechnological valorization of glycerol to 1, 3-propanediol: Challenges, recent advancements and future outlook. Biotechnol. Adv. 2023, 66, 108177. [Google Scholar] [CrossRef] [PubMed]
- Xu, S.; Xiao, Y.; Zhang, W.; Liao, S.; Yang, R.; Li, J.; Hu, C. Relay catalysis of copper-magnesium catalyst on efficient valorization of glycerol to glycolic acid. Chem. Eng. J. 2022, 428, 132555. [Google Scholar] [CrossRef]
- Liu, D.; Liu, J.-C.; Cai, W.; Ma, J.; Yang, H.B.; Xiao, H.; Li, J.; Xiong, Y.; Huang, Y.; Liu, B. Selective photoelectrochemical oxidation of glycerol to high value-added dihydroxyacetone. Nat. Commun. 2019, 10, 1779. [Google Scholar] [CrossRef] [PubMed]
- Keogh, J.; Deshmukh, G.; Manyar, H. Green synthesis of glycerol carbonate via transesterification of glycerol using mechanochemically prepared sodium aluminate catalysts. Fuel 2021, 310, 122484. [Google Scholar] [CrossRef]
- Pemmana, H.R.; Barnwal, P.K.; Uppaluri, R.V.S.; Peela, N.R. Selective aerobic-oxidation of glycerol to lactic acid over ruthenium-vanadium bimetallic catalysts. J. Ind. Eng. Chem. 2023, 124, 224–231. [Google Scholar] [CrossRef]
- Wang, C.; Zhang, X.; Li, J.; Qi, X.; Guo, Z.; Wei, H.; Chu, H. Gold nanoparticles on nanosheets derived from layered rare-earth hydroxides for catalytic glycerol-to-lactic acid conversion. ACS Appl. Mater. Interfaces 2021, 13, 522–530. [Google Scholar] [CrossRef]
- Razali, N.; Abdullah, A.Z. Production of lactic acid from glycerol via chemical conversion using solid catalyst: A review. Appl. Catal. A Gen. 2017, 543, 234–246. [Google Scholar] [CrossRef]
- Wang, A.; Xu, Q.; Yin, H.; Xiao, L.; He, Y. Synthesis of calcium lactate starting from glycerol and calcium hydroxide catalyzed by copper-based catalysts in aqueous solution. Mater. Sci. Eng. B 2023, 296, 116678. [Google Scholar] [CrossRef]
- Redina, E.A.; Kapustin, G.I.; Tkachenko, O.P.; Greish, A.A.; Kustov, L.M. Effect of ultra-low amount of gold in oxide supported bimetallic Au–Fe and Au–Cu catalysts on liquid-phase aerobic glycerol oxidation in water. Catal. Sci. Technol. 2021, 11, 5881–5897. [Google Scholar] [CrossRef]
- Sever, B.; Yildiz, M. Conversion of glycerol to lactic acid over Au/bentonite catalysts in alkaline solution. React. Kinet. Mech. Catal. 2020, 130, 863–874. [Google Scholar] [CrossRef]
- Zhang, C.; Wang, T.; Liu, X.; Ding, Y. Selective oxidation of glycerol to lactic acid over activated carbon supported Pt catalyst in alkaline solution. Chin. J. Catal. 2016, 37, 502–509. [Google Scholar] [CrossRef]
- Evans, C.D.; Douthwaite, M.; Carter, J.H.; Pattisson, S.; Kondrat, S.A.; Bethell, D.; Knight, D.W.; Taylor, S.H.; Hutchings, G.J. Enhancing the understanding of the glycerol to lactic acid reaction mechanism over AuPt/TiO2 under alkaline conditions. J. Chem. Phys. 2020, 152, 134705. [Google Scholar] [CrossRef] [PubMed]
- Qiu, K.; Shu, Y.; Zhang, J.; Gao, L.; Xiao, G. Effective and stable zeolite imidazole framework-supported copper nanoparticles (Cu/ZIF-8) for glycerol to lactic acid. Catal. Lett. 2022, 152, 172–186. [Google Scholar] [CrossRef]
- Moreira, A.B.F.; Nogueira, D.S.; Freitas, I.C.; Souza Júnior, R.L.; Chagas, C.A.; Souza, M.M.V.M.; Manfro, R.L. Hydrothermal transformation of glycerol to lactic acid in alkaline medium using Cu catalysts obtained from hydrotalcite-like precursors. Waste Biomass Valori. 2023, 14, 2335–2347. [Google Scholar] [CrossRef]
- Torres, S.; Palacio, R.; López, D. Support effect in Co3O4-based catalysts for selective partial oxidation of glycerol to lactic acid. Appl. Catal. A Gen. 2021, 621, 118199. [Google Scholar] [CrossRef]
- Chen, L.; Ren, S.; Ye, X.P. Lactic acid production from glycerol using CaO as solid base catalyst. Fuel Process. Technol. 2014, 120, 40–47. [Google Scholar] [CrossRef]
- Ren, S.; Ye, X.P.; Ayers, P.D. Tandem catalytic conversion of glycerol using solid catalysts followed by transesterification to produce alkyl lactate. RSC Adv. 2015, 5, 53230–53239. [Google Scholar] [CrossRef]
- Mann, J.B.; Meek, T.L.; Knight, E.T.; Capitani, J.F.; Allen, L.C. Configuration energies of the d-block elements. J. Am. Chem. Soc. 2000, 122, 5132–5137. [Google Scholar] [CrossRef]
- Feng, Y.; Zhang, F.; Xuan, L.; Zhu, Y. Ionic electronegativity. J. Dalian Inst. Light Ind. 1998, 17, 70–76. [Google Scholar]
- Yao, Y.; Wu, X.; Chen, B.; Tu, Z.; Gutiérrez, O.Y.; Cui, Y.; Wang, J.; Huang, J.; Xu, Y.; Sun, H.; et al. Copper-based catalyst confined in carbon nanocages reactor for condensed esters hydrogenation: Tuning of copper species by confined SiO2 and the methanol resistance. ACS Sustain. Chem. Eng. 2021, 9, 16270–16280. [Google Scholar] [CrossRef]
- Hernández-Ramírez, E.; Wang, J.A.; Chen, L.F.; Valenzuela, M.A.; Dalai, A.K. Partial oxidation of methanol catalyzed with Au/TiO2, Au/ZrO2 and Au/ZrO2-TiO2 catalysts. Appl. Surf. Sci. 2017, 399, 77–85. [Google Scholar] [CrossRef]
- Zhang, A.; Zhang, L.; Jing, G.; Zhang, H.; Wang, S.; Su, H.; Zeng, S. Promotion of Au3+ reduction on catalytic performance over the Au/CuOeCeO2 catalysts for preferential CO oxidation. Int. J. Hydrogen Energy 2018, 43, 10322–10333. [Google Scholar] [CrossRef]
- Wang, A.; Zhang, M.; Yin, H.; Liu, S.; Liu, M.; Hu, T. Direct reaction between silicon and methanol over Cu-based catalysts: Investigation of active species and regeneration of CuCl catalyst. RSC Adv. 2018, 8, 19317–19325. [Google Scholar] [CrossRef] [PubMed]
- Li, S.; Li, S.M.; Wang, Y.; Tang, C.; Qiu, L.; Yu, S. Selective oxidation of glycerol to lactic acid catalyzed by CuO/activated carbon and reaction kinetics. ACS Omega 2024, 9, 10583–10591. [Google Scholar] [CrossRef] [PubMed]
- Zhang, J.; Zhu, G.; Wang, X.; Mai, Y.; Chen, J. Selective catalytic conversion of glycerol to lactic acid over Cu-ZnO@C catalysts. Catal. Commun. 2023, 181, 106733. [Google Scholar] [CrossRef]
- Yin, H.X.; Zhang, C.; Yin, H.; Gao, D.; Shen, L.; Wang, A. Hydrothermal conversion of glycerol to lactic acid catalyzed by Cu/hydroxyapatite, Cu/MgO, and Cu/ZrO2 and reaction kinetics. Chem. Eng. J. 2016, 288, 332–343. [Google Scholar] [CrossRef]
- Liu, H.; Huang, Z.; Xia, C.; Jia, Y.; Chen, J.; Liu, H. Selective hydrogenolysis of xylitol to ethylene glycol and propylene glycol over silica dispersed copper catalysts prepared by a precipitation–gel method. ChemCatChem 2014, 6, 2918–2928. [Google Scholar] [CrossRef]
- Liu, L.; Ye, X.P. Simultaneous production of lactic acid and propylene glycol from glycerol using solid catalysts without external hydrogen. Fuel Process. Technol. 2015, 137, 55–65. [Google Scholar] [CrossRef]
- Wang, A.; Xu, Q.; Yin, H. Synthesis of lactic acid starting from glycerol catalyzed by CaO supported CuO and metallic Cu catalysts in Ca(OH)2 aqueous solution. React. Kinet. Mech. Catal. 2022, 135, 3205–3221. [Google Scholar] [CrossRef]
- Roy, D.; Subramaniam, B.; Chaudhari, R.V. Cu-based catalysts show low temperature activity for glycerol conversion to lactic acid. ACS Catal. 2011, 1, 548–551. [Google Scholar] [CrossRef]
- Shen, L.; Zhou, X.; Wang, A.; Yin, H.; Yin, H.X.; Cui, W. Hydrothermal conversion of high-concentrated glycerol to lactic acid catalyzed by bimetallic CuAux (x = 0.01–0.04) nanoparticles and their reaction kinetics. RSC Adv. 2017, 7, 30725–30739. [Google Scholar] [CrossRef]
- Beine, A.K.; Wang, X.; Vennewald, M.; Schmidt, R.U.S.; Glotzbach, C.; Palkovits, R.; Hausoul, P.J.C. On the effect of alkaline earth metal cations in the hydrogenolysis of glycerol over Pt/C—An experimental and theoretical study. ChemCatChem 2022, 14, e202101940. [Google Scholar] [CrossRef]










| Catalysts | SBET (m2∙g−1) | Vpore (cm3∙g−1) | Dpore (nm) |
|---|---|---|---|
| SiO2 | 221.4 | 0.57 | 11.10 |
| Cu3/SiO2 | 151.3 | 1.14 | 28.34 |
| Cu5/SiO2 | 141.0 | 1.07 | 26.67 |
| Cu10/SiO2 | 132.4 | 0.71 | 21.06 |
| Au1/SiO2 | 104.2 | 0.75 | 28.16 |
| Au0.1Cu10/SiO2 | 151.9 | 0.73 | 18.83 |
| Au0.3Cu10/SiO2 | 212.2 | 0.73 | 15.05 |
| Au0.5Cu10/SiO2 | 177.8 | 0.65 | 14.07 |
| Au0.8Cu10/SiO2 | 160.5 | 0.60 | 12.76 |
| Au1.0Cu10/SiO2 | 105.0 | 0.62 | 11.96 |
| Au1.5Cu10/SiO2 | 104.6 | 0.60 | 11.91 |
| Catalysts | Glycerol Conversion (%) | Product Selectivity (%) | Yield (%) | Carbon Balance (%) | |||
|---|---|---|---|---|---|---|---|
| OA | FA | LA | AA | LA | |||
| Cu3/SiO2 | 22 | 0.2 | 5 | 60 | 8 | 13 | 73.2 |
| Cu5/SiO2 | 44 | 0.1 | 1 | 77 | 2 | 34 | 80.1 |
| Cu10/SiO2 | 67 | 0.2 | 2 | 87 | 1 | 58 | 90.2 |
| Au1/SiO2 | 24 | 0.3 | 0.2 | 4 | 1 | 1 | 5.5 |
| Au0.1Cu10/SiO2 | 81 | 0.2 | 2 | 94 | 3 | 76 | 99.2 |
| Au0.3Cu10/SiO2 | 90 | 0.2 | 2 | 93 | 3 | 84 | 98.2 |
| Au0.5Cu10/SiO2 | 96 | 0.2 | 2 | 91 | 3 | 87 | 96.2 |
| Au0.8Cu10/SiO2 | 97 | 0.2 | 2 | 89 | 4 | 86 | 95.2 |
| Au1.0Cu10/SiO2 | 99 | 0.2 | 1 | 87 | 3 | 86 | 91.2 |
| Au1.5Cu10/SiO2 | 100 | 0.2 | 2 | 84 | 4 | 84 | 90.2 |
Disclaimer/Publisher’s Note: The statements, opinions and data contained in all publications are solely those of the individual author(s) and contributor(s) and not of MDPI and/or the editor(s). MDPI and/or the editor(s) disclaim responsibility for any injury to people or property resulting from any ideas, methods, instructions or products referred to in the content. |
© 2024 by the authors. Licensee MDPI, Basel, Switzerland. This article is an open access article distributed under the terms and conditions of the Creative Commons Attribution (CC BY) license (https://creativecommons.org/licenses/by/4.0/).
Share and Cite
Li, C.; Cui, X.; Wang, A.; Yin, H.; Li, Y.; Lin, Q.; Guo, J. Direct Synthesis of Calcium Lactate through the Reaction of Glycerol with Calcium Hydroxide Catalyzed by Bimetallic AuCu/SiO2 Nanocatalysts. Catalysts 2024, 14, 318. https://doi.org/10.3390/catal14050318
Li C, Cui X, Wang A, Yin H, Li Y, Lin Q, Guo J. Direct Synthesis of Calcium Lactate through the Reaction of Glycerol with Calcium Hydroxide Catalyzed by Bimetallic AuCu/SiO2 Nanocatalysts. Catalysts. 2024; 14(5):318. https://doi.org/10.3390/catal14050318
Chicago/Turabian StyleLi, Changqing, Xinyue Cui, Aili Wang, Hengbo Yin, Yuting Li, Qiao Lin, and Junjie Guo. 2024. "Direct Synthesis of Calcium Lactate through the Reaction of Glycerol with Calcium Hydroxide Catalyzed by Bimetallic AuCu/SiO2 Nanocatalysts" Catalysts 14, no. 5: 318. https://doi.org/10.3390/catal14050318
APA StyleLi, C., Cui, X., Wang, A., Yin, H., Li, Y., Lin, Q., & Guo, J. (2024). Direct Synthesis of Calcium Lactate through the Reaction of Glycerol with Calcium Hydroxide Catalyzed by Bimetallic AuCu/SiO2 Nanocatalysts. Catalysts, 14(5), 318. https://doi.org/10.3390/catal14050318

